Flow Stress Behaviour and Static Recrystallization Characteristics of Hot Deformed Austenite in Microalloyed Medium-Carbon Bainitic Steels
Abstract
1. Introduction
2. Materials and Methods
3. Results and Discussion
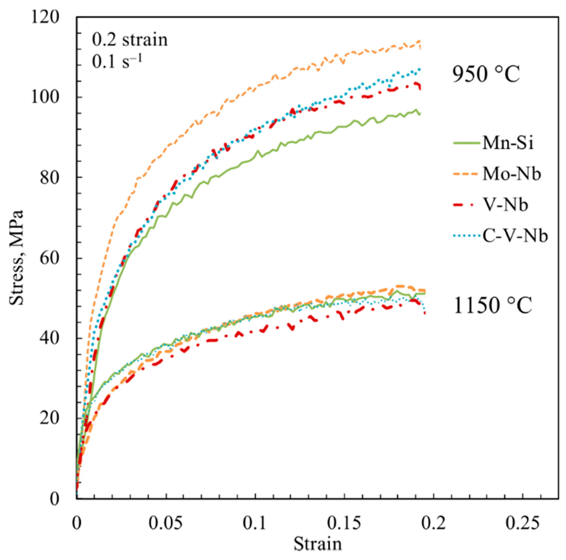
3.1. Flow Stress Behaviour
3.2. Stress Relaxation Behaviour
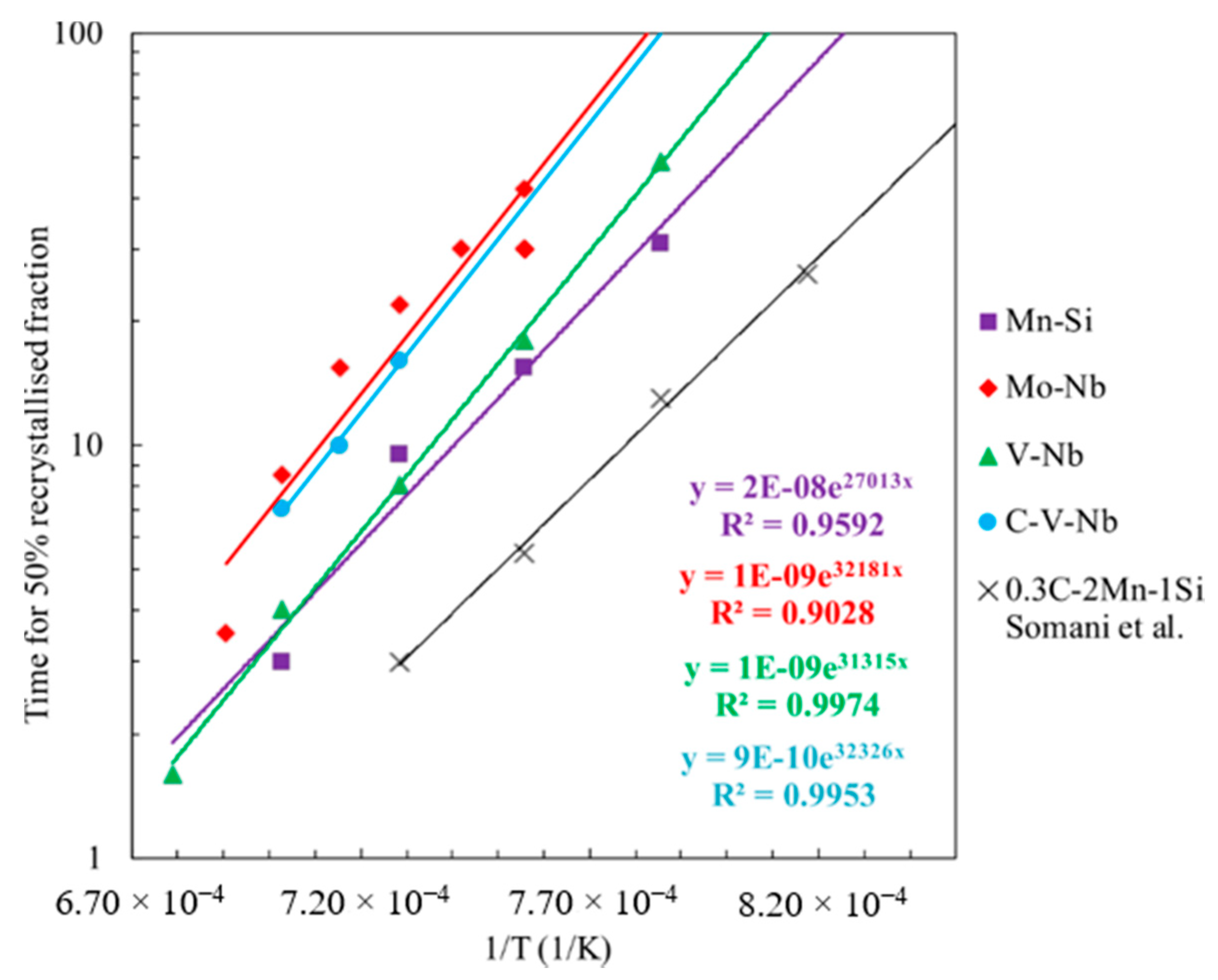
3.3. Effect of Temperature and Precipitation on SRX Rate
3.4. Powers of Strain and Strain Rate
3.5. Effect of Grain Size on SRX Rate
3.6. Apparent Activation Energy of Recrystallization (Qapp)
3.7. Effect of Mo, V and Nb on Qrex
3.8. Fractional Softening Equations
4. Conclusions
Author Contributions
Funding
Institutional Review Board Statement
Informed Consent Statement
Data Availability Statement
Acknowledgments
Conflicts of Interest
References
- Sourmail, T.; Smanio, V.; Ziegler, C.; Heuer, V.; Kuntz, M.; Caballero, F.G.; Garcia-Mateo, C.; Cornide, J.; Elvira, R.; Leiro, A.; et al. Novel nanostructured bainitic steel grades to answer the need for high-performance steel components (Nanobain). RFSR 2013. [Google Scholar] [CrossRef]
- Garcia-Mateo, C.; Paul, G.; Somani, M.; Porter, D.; Bracke, L.; Latz, A.; de Andres, C.G.; Caballero, F.G. Transferring nanoscale bainite concept to lower C contents: A perspective. Metals 2017, 7, 159. [Google Scholar] [CrossRef]
- Fan, H.L.; Zhao, A.M.; Li, Q.C.; Guo, H.; He, J.G. Effects of ausforming strain on bainite transformation in nanostructured bainite steel. Int. J. Miner. Metall. Mater. 2017, 24, 264–270. [Google Scholar] [CrossRef]
- Zhang, M.; Wang, Y.H.; Zheng, C.L.; Zhang, F.C.; Wang, T.S. Effects of ausforming on isothermal bainite transformation behaviour and microstructural refinement in medium-carbon Si-Al-rich alloy steel. Mater. Des. 2014, 62, 168–174. [Google Scholar] [CrossRef]
- Kaikkonen, P.M.; Somani, M.C.; Miettunen, I.H.; Porter, D.A. Constitutive flow behaviour of austenite at low temperatures and its influence on bainite transformation characteristics of ausformed. Mater. Sci. Eng. 2020, 775, 9–11. [Google Scholar] [CrossRef]
- Pandit, A.; Murugaiyan, A.; Podder, A.S.; Haldar, A.; Bhattacharjee, D.; Chandra, S.; Ray, R.K. Strain induced precipitation of complex carbonitrides in Nb-V and Ti-V microalloyed steels. Scr. Mater. 2005, 53, 1309–1314. [Google Scholar] [CrossRef]
- Medina, S.F.; Mancilla, J.E. Static recrystallization modelling of hot deformed steels containing several alloying elements. ISIJ Int. 1996, 36, 1070–1076. [Google Scholar] [CrossRef]
- García-Mateo, C.; López, B.; Rodriguez-Ibabe, J.M. Static recrystallization kinetics in warm worked vanadium microalloyed steels. Mater. Sci. Eng. A 2001, 303, 216–225. [Google Scholar] [CrossRef]
- Vervynckt, S.; Verbeken, K.; Thibaux, P.; Liebeherr, M.; Houbaert, Y. Control of the austenite recrystallization in niobium microalloyed steels. Mater. Sci. Forum 2010, 638–642, 3567–3572. [Google Scholar] [CrossRef]
- Esterl, R.; Sonnleitner, M.; Schnitzer, R. Microstructural analysis of the recrystallization behavior of low alloyed steels. Steel Res. Int. 2019, 90, 1–10. [Google Scholar] [CrossRef]
- Pereda, B.; López, B.; Rodriguez-Ibabe, J.M. Increasing the non-recrystallization temperature of Nb microalloyed steels by Mo addition. In Proceedings of the Microstructure, Properties and Performance Proceedings, Pittsburgh, PA, USA, 1–3 July 2007; pp. 151–159. [Google Scholar]
- Liu, W.J.; Jonas, J.J. A stress relaxation method for following carbonitride precipitation in austenite at hot working temperatures. Metall. Trans. A 1988, 19, 1403–1413. [Google Scholar] [CrossRef]
- Medina, S.F.; Quispe, A. Improved model for static recrystallization kinetics of hot deformed austenite in low alloy and Nb/V microalloyed steels. ISIJ Int. 2001, 41, 774–781. [Google Scholar] [CrossRef]
- Sellars, C.M.; Whiteman, J.A. Recrystallization and grain growth in hot rolling. Met. Sci. 1979, 13, 187–194. [Google Scholar] [CrossRef]
- Sellars, C.M.; Davies, G.J. Hot working and forming processes. In Proceedings of the International Conference Organized Jointly by the Sheffield Metallurgical and Engineering Association and the University of Sheffield in Assocation with The Metals Society, London, UK, 8 January 1980. [Google Scholar]
- Karjalainen, L.P. Stress relaxation method for investigation of softening kinetics in hot deformed steels. Mater. Sci. Technol. 1995, 11, 557–565. [Google Scholar] [CrossRef]
- Karjalainen, L.P.; Perttula, J. Characteristics of static and metadynamic recrystallization and strain accumulation in hot-deformed austenite as revealed by the stress relaxation method. ISIJ Int. 1996, 36, 729–736. [Google Scholar] [CrossRef]
- Somani, M.C.; Karjalainen, L.P.; Porter, D.A.; Morgridge, A.R. Regression modelling of the recrystallization kinetics of austenite. In Thermomechanical Processing: Mechanics, Microstructure and Control; The University of Sheffield, Dept. of Engineering Materials: Sheffield, UK, 2002; pp. 436–441. [Google Scholar]
- Elwazri, A.M.; Essadiqi, E.; Yue, S. Kinetics of metadynamic recrystallization in microalloyed steels. ISIJ Int. 2004, 44, 744–752. [Google Scholar] [CrossRef]
- Lin, Y.C.; Chen, M.S.; Zhong, J. Study of static recrystallization kinetics in a low alloy steel. Comput. Mater. Sci. 2008, 44, 316–321. [Google Scholar] [CrossRef]
- Somani, M.C.; Karjalainen, L.P. Validation of the new regression model for the static recrystallisation of hot-deformed austenite in special steels. In Materials Science Forum; Trans Tech Publications Ltd.: Baech, Switzerland, 2004; pp. 335–340. [Google Scholar] [CrossRef]
- Somani, M.C.; Karjalainen, L.P. Modelling the deformation and annealing processes: Physical and regression approaches. Mater. Sci. Forum 2007, 550, 583–588. [Google Scholar] [CrossRef]
- Somani, M.C.; Karjalainen, L.P. A rationale for SRX regression model of hot-deformed austenite using an orthogonal Taguchi L8 matrix steels. In Materials Science Forum; Trans Tech Publications Ltd.: Baech, Switzerland, 2012; pp. 751–757. [Google Scholar] [CrossRef]
- Suikkanen, P.P.; Lang, V.T.E.; Somani, M.C.; Porter, D.A.; Karjalainen, L.P. Effect of silicon and aluminium on austenite static recrystallization kinetics in high-strength TRIP-aided steels. ISIJ Int. 2012, 52, 471–476. [Google Scholar] [CrossRef][Green Version]
- Somani, M.C.; Porter, D.A.; Karjalainen, L.P.; Kantanen, P.K.; Kömi, J.I.; Misra, D.K. Static recrystallization characteristics and kinetics of high-silicon steels for direct quenching and partitioning. Int. J. Mater. Res. 2019, 110, 183–193. [Google Scholar] [CrossRef]
- Perttula, J.; Kantanen, P.; Karjalainen, P. Effect of precipitation on flow stress and recrystallization in Nb- and Ti-bearing austenite. Scand. J. Metall. 1998, 27, 128–132. [Google Scholar]
- Medina, S.F.; Quispe, A.; Gómez, M. Strain induced precipitation effect on austenite static recrystallisation in microalloyed steels. Mater. Sci. Technol. 2003, 19, 99–108. [Google Scholar] [CrossRef]
- Lan, L.Y.; Qiu, C.L.; Zhao, D.W.; Gao, X.H.; Du, L.X. Dynamic and static recrystallization behavior of low carbon high niobium microalloyed steel. J. Iron Steel Res. Int. 2011, 18, 55–60. [Google Scholar] [CrossRef]
- Buhler, M.; Gomez, G.R.; Pérez, T. Effect of Nb in solid solution on the austenite decomposition kinetic of a V-Nb-Ti microalloyed steel. In Proceedings of the 1st International Conference, Super-High Strength Steels, Rome, Italy, 2–4 November 2005; pp. 1–10. [Google Scholar]
- Grajcar, A.; Kuziak, R. Softening kinetics in Nb-microalloyed TRIP steels with increased Mn content. In Advanced Materials Research; Trans Tech Publications Ltd.: Baech, Switzerland, 2011; pp. 119–122. [Google Scholar] [CrossRef]
- Rees, G.I.; Perdrix, J.; Maurickx, T.; Bhadeshia, H. The effect of niobium in solid-solution on the transformation kinetics of bainite. Mater. Sci. Eng. 1995, 194, 179–186. [Google Scholar] [CrossRef]
- Dutta, B.; Valdes, E.; Sellars, C.M. Mechanism and kinetics of strain induced precipitation of Nb(C,N) in austenite. Acta Metall. Mater. 1992, 40, 653–662. [Google Scholar] [CrossRef]
- Lenard, J.G.; Pietrzyk, M.; Cser, L. Mathematical and Physical Simulation of the Properties of Hot Rolled Products; Elsevier Science Ltd.: Amsterdam, The Netherlands, 1999; ISBN 9780080427010. [Google Scholar] [CrossRef]
- Barbosa, R.; Boratto, F.; Yue, S.; Jonas, J.J. The influence of chemical composition on the recrystallisation behaviour of microalloyed steels. In Processing, Microstructure and Properties of HSLA Steels; The Minerals, Metals & Materials Society (TMS): Warrendale, PA, USA, 1988; pp. 51–61. [Google Scholar]
- Bai, D.; Bodnar, R.; Ward, J.; Dorricott, J.; Sande, S. Development of discrete X80 line pipe at SSAB Americas. In International Symposium on the Recent Developments in Plate Steels; The Association for Iron & Steel Technology (AIST): Warrendale, PA, USA, 2011; Available online: http://digital.library.aist.org/pages/PR-258-002.htm (accessed on 8 December 2020).
- Rollett, A.; Humphreys, F.; Rohrer, G.S.; Hatherly, M. Recrystallization and Related Annealing Phenomena, 2nd ed.; Elsevier Ltd.: Amsterdam, The Netherlands, 2004. [Google Scholar] [CrossRef]
- Avrami, M. Kinetics of phase change. II Transformation-time relations for random distribution of nuclei. J. Chem. Phys. 1940, 8, 212–224. [Google Scholar] [CrossRef]
- Sakui, S.; Sakai, T.; Takeishi, K. Hot deformation of austenite in a plain carbon steel. Trans. Iron. Steel Inst. Jpn. 1977, 17, 718–725. [Google Scholar] [CrossRef]
- Grajcar, A.; Kuziak, R. Dynamic recrystallization behavior and softening kinetics in 3Mn-1.5Al TRIP steels. In Advanced Materials Research; Trans Tech Publications Ltd.: Baech, Switzerland, 2011; pp. 330–333. [Google Scholar] [CrossRef]
- Singh, N.; Kostryzhev, A.G.; Killmore, C.R.; Pereloma, E.V. Effect of Mo, Nb and V on hot deformation behaviour, microstructure and hardness of microalloyed steels. In Materials Science Forum; Trans Tech Publications Ltd.: Baech, Switzerland, 2018; pp. 3–8. [Google Scholar] [CrossRef]
- Karjalainen, L.; Pettula, J.; Xu, Y.; Niu, J. Stress relaxation, a novel technique for measuring the softening kinetics in hot-deformed austenite. In Proceedings of the 7th Physical Simulation of Casting, Hot Rolling and Welding, Tsukuba, Japan, 21–23 January 1997; pp. 231–236. [Google Scholar]
- Perttula, J.S.; Karjalainen, L.P. Recrystallisation rates in austenite measured by double compression and stress relaxation methods. Mater. Sci. Technol. 1998, 14, 626–630. [Google Scholar] [CrossRef]
- Hodgson, P.D.; Gibbs, R.K. A mathematical model to predict the mechanical properties of hot rolled C-Mn and microalloyed steels. ISIJ Int. 1992, 32, 1329–1338. [Google Scholar] [CrossRef]
- Sellars, C.M. Modelling microstructural development during hot rolling. Mater. Sci. Technol. 1990, 6, 1072–1081. [Google Scholar] [CrossRef]
- Lang, V.; Suikkanen, P.; Somani, M.; Porter, D.; Karjalainen, P. Static recrystallization kinetics of austenite after hot deformation of carbide-free bainitic steels. In Proceedings of the International Science Technology Conference, St. Petersburg, Russia, 22–24 June 2011; pp. 301–304. [Google Scholar]
- Ll, G.; Maccagno, T.M.; Bai, D.Q.; Jonas, J.J. Effect of initial grain size on the static recrystallization kinetics of Nb microalloyed steels. ISIJ Int. 1996, 36, 1479–1485. [Google Scholar] [CrossRef]
- Somani, M.C.; Porter, D.A.; Hamada, A.S.; Karjalainen, L.P. High-temperature flow stress and recrystallization characteristics of Al-bearing microalloyed TWIP steels. Metall. Mater. Trans. A Phys. Metall. Mater. Sci. 2015, 46, 5329–5342. [Google Scholar] [CrossRef]
- Cabañas, N.; Akdut, N.; Penning, J.; de Cooman, B.C. High-temperature deformation properties of austenitic Fe-Mn alloys. Metall. Mater. Trans. A Phys. Metall. Mater. Sci. 2006, 37, 3305–3315. [Google Scholar] [CrossRef]
- Shen, W.; Zhang, C.; Zhang, L.; Xu, Q.; Cui, Y.; Xu, Y. A modified Avrami equation for kinetics of static recrystallization of Nb-V microalloyed steel: Experiments and numerical simulation. Vacuum 2018, 150, 116–123. [Google Scholar] [CrossRef]












| Steel Code | C | Si | Mn | Cr | Mo | V | Nb | PAGS (µm) |
|---|---|---|---|---|---|---|---|---|
| Mn-Si | 0.39 | 1.4 | 2.0 | 0.7 | <0.01 | 0.02 | <0.01 | 650 |
| Mo-Nb | 0.40 | 1.3 | 2.0 | 0.7 | 0.30 | 0.02 | 0.026 | 461 |
| V-Nb | 0.40 | 1.3 | 2.0 | 0.7 | <0.01 | 0.10 | 0.018 | 417 |
| C-V-Nb | 0.48 | 1.3 | 2.0 | 0.7 | <0.01 | 0.10 | 0.021 | 401 |
| Steel Code | TRH (°C)/tRH (min) | PAGS (µm) | TDef (°C) | Strain | Strain Rate (s−1) |
|---|---|---|---|---|---|
| Mn-Si | 1250/2 | 650 | 900, 950, 1000, 1050, 1150, 1200 | 0.2 | 0.1 |
| 1050 | 0.125–0.4 | 0.1 | |||
| 1050 | 0.2 | 0.01–5 | |||
| 1250/1 | 132 | 1000, 1050, 1100 | 0.2 | 0.1 | |
| 1050 | 0.15–0.35 | 0.1 | |||
| 1150/2 | 121 | 1050 | 0.2 | 0.1 | |
| Mo-Nb | 1250/2 | 461 | 900, 950, 1000, 1075, 1125, 1150, 1175, 1200 | 0.2 | 0.1 |
| 1100 | 0.125–0.4 | 0.1 | |||
| 1100 | 0.2 | 0.01–5 | |||
| 1250/1 | 195 | 1000, 1050, 1100 | 0.2 | 0.1 | |
| 1050 | 0.15–0.35 | 0.1 | |||
| 1150/2 | 157 | 1050 | 0.2 | 0.1 | |
| V-Nb | 1250/2 | 417 | 900, 950, 1000, 1050, 1150, 1200 | 0.2 | 0.1 |
| 1050 | 0.125–0.4 | 0.1 | |||
| 1050 | 0.2 | 0.01–5 | |||
| 1250/1 | 207 | 1000, 1100 | 0.2 | 0.1 | |
| 1050 | 0.15–0.35 | 0.1 | |||
| C-V-Nb | 1250/2 | 401 | 900, 950, 1000, 1050, 1125, 1150, 1200 | 0.2 | 0.1 |
| 1050 | 0.125–0.4 | 0.1 | |||
| 1050 | 0.2 | 0.01–5 | |||
| 1150/1 | 154 | 1050 | 0.2 | 0.1 |
| Steel | Source | TP [°C] | Ps [s] | Pf [s] |
|---|---|---|---|---|
| 0.07C-0.96Mn-0.21Si-0.004V-0.046Nb-0.011Ti | Perttula [26] | 900 | 30–50 | |
| 0.21C-1.1Mn-0.2Si-0.062V | Medina [27] | 800–900 | 20–80 | 100–500 |
| 0.2C-1.0Mn-0.2Si-0.007Nb | Medina [27] | 850–950 | 30–90 | 110–600 |
| 0.19C-1.5Mn-0.45Si-0.125V-0.035Nb | Pandit [6] | 1000 | 30 | 100 |
| 0.11C-1.23Mn-0.23Si-0.048V-0.058Nb-0.017Ti | Buhler [29] | 920 | 25 | 550 |
| 0.06C-1.9Mn-0.33Si-0.09Nb-0.01Ti | Lan [28] | 900–1000 | 7–30 | 10–50 |
| Mo-Nb | Current study | 900–950 | 30–40 | 300–400 |
| V-Nb | Current study | 900–950 | 30–40 | 150–500 |
| Steel Code | Boratto Tnr (°C) | Regression Tnr (°C) | Approx. Tnr (°C) |
|---|---|---|---|
| Mn-Si | 596 | 901 | 900 |
| Mo-Nb | 674 | 1018 | 1015 |
| V-Nb | 645 | 999 | 1000 |
| C-V-Nb | 697 | 1014 | 1020 |
Publisher’s Note: MDPI stays neutral with regard to jurisdictional claims in published maps and institutional affiliations. |
© 2021 by the authors. Licensee MDPI, Basel, Switzerland. This article is an open access article distributed under the terms and conditions of the Creative Commons Attribution (CC BY) license (http://creativecommons.org/licenses/by/4.0/).
Share and Cite
Kaikkonen, P.M.; Somani, M.C.; Karjalainen, L.P.; Kömi, J.I. Flow Stress Behaviour and Static Recrystallization Characteristics of Hot Deformed Austenite in Microalloyed Medium-Carbon Bainitic Steels. Metals 2021, 11, 138. https://doi.org/10.3390/met11010138
Kaikkonen PM, Somani MC, Karjalainen LP, Kömi JI. Flow Stress Behaviour and Static Recrystallization Characteristics of Hot Deformed Austenite in Microalloyed Medium-Carbon Bainitic Steels. Metals. 2021; 11(1):138. https://doi.org/10.3390/met11010138
Chicago/Turabian StyleKaikkonen, Pentti M., Mahesh C. Somani, Leo Pentti Karjalainen, and Jukka I. Kömi. 2021. "Flow Stress Behaviour and Static Recrystallization Characteristics of Hot Deformed Austenite in Microalloyed Medium-Carbon Bainitic Steels" Metals 11, no. 1: 138. https://doi.org/10.3390/met11010138
APA StyleKaikkonen, P. M., Somani, M. C., Karjalainen, L. P., & Kömi, J. I. (2021). Flow Stress Behaviour and Static Recrystallization Characteristics of Hot Deformed Austenite in Microalloyed Medium-Carbon Bainitic Steels. Metals, 11(1), 138. https://doi.org/10.3390/met11010138

