Copper Corrosion Behavior in Simulated Concrete-Pore Solutions
Abstract
1. Introduction
2. Materials and Methods
2.1. Samples and Solution Preparation
2.2. Immersion Tests and Surface Characterization
2.3. Electrochemical Measurements
3. Results and Discussion
3.1. Surface Morphology and Analysis of the Cu Surface after Exposure to Concrete-Pore Solutions I and II
3.1.1. Scanning Electronic Microscopy
3.1.2. X-ray Diffraction Patterns
3.1.3. X-ray Photoelectron Spectroscopy
3.2. Electrochemical Measurements
3.2.1. Open Circuit Potential (OCP)
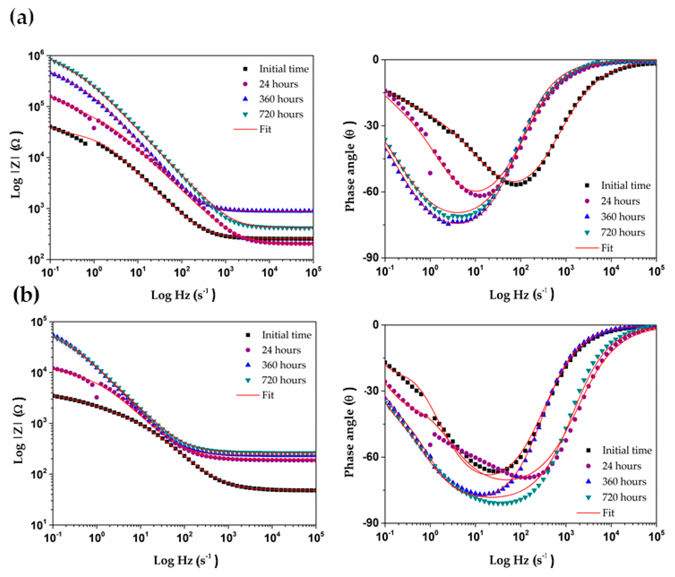
3.2.2. Electrochemical Impedance Spectroscopy (EIS)
3.2.3. Potentiodynamic Polarization Curves (PDP)
3.2.4. Electrochemical Noise Measurements
3.2.5. Cyclic Voltammetry Measurements
4. Conclusions
Author Contributions
Funding
Acknowledgments
Conflicts of Interest
References
- Emregül, K.C.; Aksüt, A.A. The behavior of aluminum in alkaline media. Corros. Sci. 2000, 42, 2051–2067. [Google Scholar] [CrossRef]
- Woods, H. Corrosion of Embedded Materials Other Than Reinforcing Steel. In Significance of Tests and Properties of Concrete and Concrete-Making Materials; Mielenz, R., Bloem, D., Gregg, L., Gregg, L., Kesler, C., Price, W., Eds.; ASTM International: West Conshohocken, PA, USA, 1966; pp. 230–238. [Google Scholar] [CrossRef]
- Halstead, P.E. The corrosion of metals in contact with concrete. Chem. Ind. 1957, 34, 1132–1137. [Google Scholar]
- Duffó, G.S.; Farina, S.B.; Rodríguez, F.M. Corrosion behaviour of non-ferrous metals embedded in mortar. Constr. Build. Mater. 2019, 210, 548–554. [Google Scholar] [CrossRef]
- Freire, F. Edificio Automatizado de Oficinas: Uso del Cobre en la Arquitectura; Universidad Peruana de Ciencias Aplicadas: Lima, Perú, 2001. [Google Scholar]
- Pourbaix, M. Atlas of Electrochemical Equilibria in Aqueous Solutions; NACE: Houston, TX, USA, 1974; pp. 384–392. [Google Scholar]
- Nürnberger, U. Corrosion of metals in contact with mineral building materials. Otto Graf J. 2001, 12, 69–80. [Google Scholar]
- Nürnberger, U. Corrosion of metals in contact with mineral building materials. In Corrosion of Reinforcement in Concrete. Mechanisms, Monitoring, Inhibitors and Rehabilitation Techniques; Raupach, M., Elsener, B., Polder, R., Mietz, J., Eds.; Woodhead Publishing Limited: Cambridge, UK, 2007; pp. 1–9. [Google Scholar] [CrossRef]
- Freedman, S. Corrosion of nonferrous metals in contact with concrete. Mod. Concr. 1970, 36, 33–34. [Google Scholar]
- Xu, H.C.; Seshadri, G.; Kelber, J.A. Effect of Sulfur on the Oxidation of Copper in Aqueous Solution. J. Electrochem. Soc. 2000, 147, 558–561. [Google Scholar] [CrossRef]
- King, F. Corrosion of Copper in Alkaline Chloride Environments. Swedish Nuclear Fuel and Waste Management Co.: Stockholm, Sweden, 2002; pp. 27–58. [Google Scholar]
- Feng, Y.; Siow, K.S.; Teo, W.K.; Tan, K.L.; Hsieh, A.K. Corrosion mechanisms and products of copper in aqueous solutions at various pH values. Corrosion 1997, 53, 389–398. [Google Scholar] [CrossRef]
- Ma, L.; Wang, L.; Li, C.; Guo, J.; Shrotriya, P.; Deng, C.; Zhao, J. Hybrid nanosecond laser processing and heat treatment for rapid preparation of super-hydrophobic copper surface. Metals 2019, 9, 668. [Google Scholar] [CrossRef]
- Francis, P.; Lee, T. The Use of Synthetic Environments for Corrosion Testing; ASTM International: West Conshohocken, PA, USA, 1988. [Google Scholar] [CrossRef]
- Berke, N.; Chaker, V.; Whiting, D. Corrosion Rates of Steel in Concrete; ASTM International: West Conshohocken, PA, USA, 1990. [Google Scholar] [CrossRef]
- Veleva, L.; Alpuche-Aviles, M.A.; Graves-Brook, M.K.; Wipf, D.O. Comparative cyclic voltammetry and surface analysis of passive films grown on stainless steel 316 in concrete pore model solutions. J. Electroanal. Chem. 2002, 537, 85–93. [Google Scholar] [CrossRef]
- Cabrini, M.; Fontana, F.; Lorenzi, S.; Pastore, T.; Pellegrini, S. Effect of organic inhibitors on chloride corrosion of steel rebars in alkaline pore solution. J. Chem. 2015, 2015, 1–10. [Google Scholar] [CrossRef]
- Cabrini, M.; Lorenzi, S.; Pastore, T. Cyclic voltammetry evaluation of inhibitors for localised corrosion in alkaline solutions. Electrochim. Acta 2014, 124, 156–164. [Google Scholar] [CrossRef]
- Jolivet, D.; Bonen, D.M.; Shah, S.P. The corrosion resistance of coated steel dowels determined by impedance spectroscopy. Cem. Concr. Res. 2007, 37, 1134–1143. [Google Scholar] [CrossRef]
- Andrade, C.; Blanco, V.M.; Collazo, A.; Keddam, M.; Nóvoa, X.R.; Takenouti, H. Cement paste hardening process studied by impedance spectroscopy. Electrochim. Acta 1999, 44, 4313–4318. [Google Scholar] [CrossRef]
- Jiang, J.Y.; Liu, Y.; Chu, H.Y.; Wang, D.; Ma, H.; Sun, W. Pitting Corrosion Behaviour of New Corrosion-Resistant Reinforcement Bars in Chloride-Containing Concrete Pore Solution. Materials 2017, 10, 903. [Google Scholar] [CrossRef]
- Jiang, J.Y.; Wang, D.; Chu, H.Y.; Ma, H.; Liu, Y.; Gao, Y.; Shi, J.; Sun, W. The passive film growth mechanism of new corrosion-resistant steel rebar in simulated concrete pore solution: Nanometer structure and electrochemical study. Materials 2017, 10, 412. [Google Scholar] [CrossRef]
- Cabrini, M.; Lorenzi, S.; Pastore, T. Study of localized corrosion of steel reinforcing in inhibited alkaline solutions. Metall. Ital. 2013, 105, 21–31. [Google Scholar]
- Oranowska, H.; Szklarska-Smialowska, Z. An electrochemical and ellipsometric investigation of surface films grown on iron in saturated calcium hydroxide solutions with or without chloride ions. Corros. Sci. 1981, 21, 735–747. [Google Scholar] [CrossRef]
- Berman, H. The Effect of Sodium Chloride on the Corrosion of Concrete Reinforcing Steel and on the pH of Calcium Hydroxide Solution; Federal Highway Administration: Washington, DC, USA, 1974. [Google Scholar]
- Ftikos, C.; Parissakis, G. The combined action of Mg2+ and Cl− ions in cement pastes. Cem. Concr. Res. 1985, 15, 593–599. [Google Scholar] [CrossRef]
- Zakroczymski, T.; Fan, C.J.; Szklarska-Smialowska, Z. Kinetics and mechanism of passive film formation on iron in 0.05 M NaOH. J. Electrochem. Soc. 1985, 132, 2862–2867. [Google Scholar] [CrossRef]
- Montemor, M.F.; Simoes, A.M. Analytical characterization of the passive film formed on steel in cement past intersticial solutions. Port. Electrochim. Acta 1995, 13, 453–456. [Google Scholar]
- Montemor, M.F.; Simoes, A.M.; Ferreira, M.G. Analytical characterization of the passive film formed on steel in solutions simulating the concrete interstitial electrolyte. Corrosion 1998, 54, 347–353. [Google Scholar] [CrossRef]
- Moreno, M.; Morris, W.; Alvarez, M.G.; Duffó, G.S. Corrosion of reinforcing steel in simulated concrete pore solutions: Effect of carbonation and chloride content. Corros. Sci. 2004, 46, 2681–2699. [Google Scholar] [CrossRef]
- Saremi, M.; Mahallati, E. A study on chloride-induced depassivation of mild steel in simulated concrete pore solution. Cem. Concr. Res. 2002, 32, 1915–1921. [Google Scholar] [CrossRef]
- Bertolini, L.; Bolzoni, F.; Pastore, T.; Pedeferri, P. Behaviour of stainless steel in simulated concrete pore solution. Br. Corros. J. 1996, 31, 218–222. [Google Scholar] [CrossRef]
- Chen, W.; Du, R.G.; Ye, C.Q.; Zhu, Y.F.; Lin, C.J. Study on the corrosion behavior of reinforcing steel in simulated concrete pore solutions using in situ Raman spectroscopy assisted by electrochemical techniques. Electrochim. Acta 2010, 55, 5677–5682. [Google Scholar] [CrossRef]
- Zhang, F.; Pan, J.; Lin, C. Localized corrosion behaviour of reinforcement steel in simulated concrete pore solution. Corros. Sci. 2009, 51, 2130–2138. [Google Scholar] [CrossRef]
- Veleva, L.; Alpuche-Aviles, M.A.; Graves-Brook, M.K.; Wipf, D.O. Voltammetry and surface analysis of AISI 316 stainless steel in chloride-containing simulated concrete pore environment. J. Electroanal. Chem. 2005, 578, 45–53. [Google Scholar] [CrossRef]
- Fajardo, S.; Bastidas, D.M.; Ryan, M.P.; Criado, M.; McPhail, D.S.; Bastidas, J.M. Low-nickel stainless steel passive film in simulated concrete pore solution: A SIMS study. Appl. Surf. Sci. 2010, 256, 6139–6143. [Google Scholar] [CrossRef]
- Bragança, M.O.; Portella, K.F.; Bonato, M.M.; Alberti, E.; Marino, C.E. Performance of Portland cement concretes with 1% nano-Fe3O4 addition: Electrochemical stability under chloride and sulfate environments. Constr. Build. Mater. 2016, 117, 152–162. [Google Scholar] [CrossRef]
- Andrade, C.; Keddam, M.; Nóvoa, X.R.; Pérez, M.C.; Rangel, C.M.; Takenouti, H. Electrochemical behaviour of steel rebars in concrete: Influence of environmental factors and cement chemistry. Electrochim. Acta 2001, 46, 3905–3912. [Google Scholar] [CrossRef]
- Freire, L.; Catarino, M.A.; Godinho, M.I.; Ferreira, M.J.; Ferreira, M.G.; Simoes, A.M.; Montemor, M.F. Electrochemical and analytical investigation of passive films formed on stainless steels in alkaline media. Cem. Concr. Compos. 2012, 34, 1075–1081. [Google Scholar] [CrossRef]
- Wang, L.; Zhan, S.; Tang, X.; Xiu, Q.; Qian, K. Pore Solution Chemistry of Calcium Sulfoaluminate Cement and Its Effects on Steel Passivation. Appl. Sci. 2019, 9, 1092. [Google Scholar] [CrossRef]
- ASTM International. ASTM G31-12a. In Standard Guide for Laboratory Immersion Corrosion Testing of Metals; ASTM International: West Conshohocken, PA, USA, 2012. [Google Scholar]
- ASTM International. ASTM, G-1. In Standard Practice for Preparing, Cleaning, and Evaluating Corrosion Test Specimens; ASTM International: West Conshohocken, PA, USA, 2017. [Google Scholar]
- ASTM International. ASTM, G199-09. In Standard Guide for Electrochemical Noise Measurement; ASTM International: West Conshohocken, PA, USA, 2014. [Google Scholar]
- Mattsson, E.; Holm, R. Copper and Copper alloys. In ASTM STP 435; Ailor, W., Coburn, S., Eds.; ASTM International: West Conshohocken, PA, USA, 1968; pp. 187–210. [Google Scholar] [CrossRef]
- Lopesino, P.; Alcántara, J.; de la Fuente, D.; Chico, B.; Jiménez, J.; Morcillo, M. Corrosion of Copper in Unpolluted Chloride-Rich Atmospheres. Metals 2018, 8, 866. [Google Scholar] [CrossRef]
- Fernández, J.; Renedo, M.J. Sulfation and Carbonation Competition in the Treatment of Flue Gas from a Coal-Based Power Plant by Calcium Hydroxide. Int. J. Chem. React. Eng. 2015, 13, 177–182. [Google Scholar] [CrossRef][Green Version]
- Ribotta, S.B.; La orgia, L.F.; Gassa, L.M.; Folquer, M.E. Characterization of anodic films formed on copper in 0.1 M borax solution. J. Electroanal. Chem. 2008, 624, 262–268. [Google Scholar] [CrossRef]
- Babić, R.; Metikoš-Huković, M.; Jukić, A. A study of copper passivity by electrochemical impedance spectroscopy. J. Electrochem. Soc. 2001, 148, B146–B151. [Google Scholar] [CrossRef]
- Strehblow, H.H.; Titze, B. The investigation of the passive behaviour of copper in weakly acid and alkaline solutions and the examination of the passive film by esca and ISS. Electrochim. Acta 1980, 25, 839–850. [Google Scholar] [CrossRef]
- Yasuda, H.; Yu, Q.; Chen, M. Interfacial factors in corrosion protection: An EIS study of model systems. Prog. Org. Coat. 2001, 41, 273–279. [Google Scholar] [CrossRef]
- Xia, S.J.; Yue, R.; Rateick, R.G.; Birss, V.I. Electrochemical studies of AC/DC anodized Mg alloy in NaCl solution. J. Electrochem. Soc. 2004, 151, B179–B187. [Google Scholar] [CrossRef]
- Wen, L.; Wang, Y.; Zhou, Y.; Guo, L.; Ouyang, J.H. Microstructure and corrosion resistance of modified 2024 Al alloy using surface mechanical attrition treatment combined with microarc oxidation process. Corros. Sci. 2011, 53, 473–480. [Google Scholar] [CrossRef]
- Nishikata, A.; Ichihara, Y.; Tsuru, T. An application of electrochemical impedance spectroscopy to atmospheric corrosion study. Corros. Sci. 1995, 37, 897–911. [Google Scholar] [CrossRef]
- Danaee, I.; Khomami, M.N.; Attar, A. Corrosion behavior of AISI 4130 steel alloy in ethylene glycol–water mixture in presence of molybdate. Mater. Chem. Phys. 2012, 135, 658–667. [Google Scholar] [CrossRef]
- Galai, M.; Benqlilou, H.; Ebn Touhami, M.; Belhaj, T.; Berrami, K.; El Kafssaoui, H. Comparative analysis for the corrosion susceptibility of copper alloys in sandy soil. Environ. Eng. Res. 2018, 23, 164–174. [Google Scholar] [CrossRef]
- Danaee, I.; Noori, S. Kinetics of the hydrogen evolution reaction on NiMn graphite modified electrode. Int. J. Hydrogen Energy 2011, 36, 12102–12111. [Google Scholar] [CrossRef]
- Naseer, A.; Khan, A.Y. A study of growth and breakdown of passive film on copper surface by electrochemical impedance spectroscopy. Turk. J. Chem. 2009, 33, 739–750. [Google Scholar] [CrossRef]
- Yeganeh, M.; Saremi, M. A comparison between the corrosion behavior of nanostructured copper thin films deposited on oxidized silicon and copper sheet in alkaline media. Surf. Coat. Technol. 2010, 205, 2218–2224. [Google Scholar] [CrossRef]
- Mansfeld, F. Tafel slopes and corrosion rates obtained in the pre-Tafel region of polarization curves. Corros. Sci. 2005, 47, 3178–3186. [Google Scholar] [CrossRef]
- ASTM International. ASTM International. ASTM G102-89. In Standard Practice for Calculation of Corrosion Rates and Related Information from electrochemical Measurements; ASTM International: West Conshohocken, PA, USA, 2015. [Google Scholar]
- Rosborg, B. Recorded Corrosion Rates on Copper Electrodes in the Prototype Repository at the Äspö HRL; Swedish Nuclear Fuel and Waste Management Co.: Stockholm, Sweden, 2013; pp. 7–29. [Google Scholar]
- Dawson, J. Electrochemical Noise Measurement: The Definitive In-Situ Technique for Corrosion Applications. In Electrochemical Noise Measurement for Corrosion Applications; Kearns, J., Scully, J., Roberge, P., Reichert, D., Dawson, J., Eds.; ASTM International: West Conshohocken, PA, USA, 1996; Volume 1277, pp. 3–35. [Google Scholar] [CrossRef]
- Legat, A.; Dolecek, V. Corrosion monitoring system based on measurement and analysis of electrochemical noise. Corrosion 1995, 51, 295–300. [Google Scholar] [CrossRef]
- Zaafarany, I.; Boller, H. Electrochemical behavior of copper electrode in sodium hydroxide solutions. Curr. World Environ. 2009, 4, 277. [Google Scholar] [CrossRef]
- El Haleem, S.A.; Ateya, B.G. Cyclic voltammetry of copper in sodium hydroxide solutions. J. Electroanal. Chem. Interfacial Electrochem. 1981, 117, 309–319. [Google Scholar] [CrossRef]
- Dong, S.; Xie, Y.; Cheng, G. Cyclic voltammetric and spectroelectrochemical studies of copper in alkaline solution. Electrochim. Acta 1992, 37, 17–22. [Google Scholar] [CrossRef]
- Latimer, W. Oxidation Potentials, 2nd ed.; Prentice-Hall: New York, NY, USA, 1952; p. 188. [Google Scholar]
- Ambrose, J.; Barradas, R.G.; Shoesmith, D.W. Investigations of copper in aqueous alkaline solutions by cyclic voltammetry. J. Electroanal. Chem. Interfacial Electrochem. 1973, 47, 47–64. [Google Scholar] [CrossRef]
- Thomas, D.; Rasheed, Z.; Jagan, J.S.; Kumar, K.G. Study of kinetic parameters and development of a voltammetric sensor for the determination of butylated hydroxyanisole (BHA) in oil samples. J. Food Sci. Technol. 2015, 52, 6719–6726. [Google Scholar] [CrossRef] [PubMed]
- Bard, A.; Faulkner, J. Electrochemical Methods—Fundamentals and Applications, 2nd ed.; John Wiley & Sons: New York, NY, USA, 2001; pp. 226–260. [Google Scholar]














| Portland Cement | Cement Extract b | |||
|---|---|---|---|---|
| Compound | Weight % a | Weight % b | Ion | Concentration mmol/L |
| SiO2 | 21.35 | 22.30 | Ca2+ | 6.4 |
| Al2O3 | 4.87 (as Al3+) | 4.62 | K+ | 35.1 |
| Fe2O3 | 2.89 (as Fe3+) | 2.44 | Na+ | 18.3 |
| CaO | 66.84 (as Ca2+) | 58.42 | SO42- | - |
| K2O | 0.39 | 0.35 | OH− | 56.4 |
| Na2O | 0.08 | 0.28 | - | - |
| SO3 | 2.42 | 2.20 | - | - |
| MgO | 1.16 (as Mg2+) | 1.92 | - | - |

| Element Weight % | Zone A | Zone B | ||
|---|---|---|---|---|
| 360 h | 720 h | 360 h | 720 h | |
| Cu | 66.88 | 70.82 | 10.53 | 26.52 |
| O | 28.37 | 26.00 | 56.23 | 43.04 |
| Ca | 1.55 | 1.10 | 18.77 | 17.55 |
| C | 3.20 | 2.08 | 14.47 | 12.89 |

| Element Weight % | Zone A | Zone B | ||
|---|---|---|---|---|
| 360 h | 720 h | 360 h | 720 h | |
| Cu | 67.95 | 69.68 | 34.57 | 13.80 |
| O | 27.37 | 27.72 | 28.16 | 51.29 |
| Ca | 1.31 | 0.45 | 2.35 | 19.41 |
| C | 2.60 | 1.84 | 27.98 | 15.49 |
| Na | - | - | 4.06 | - |
| K | 0.77 | - | 2.88 | - |
| Al | - | 0.32 | - | - |
| Time (h) | Sat. Ca(OH)2 Solution I (mV vs. SHE) | Cement Extract Solution II (mV vs. SHE) |
|---|---|---|
| Initial | 62 ± 0.07 | 47 ± 0.12 |
| 24 | 108 ± 0.01 | 81 ± 0.33 |
| 360 | 136 ± 0.02 | 79 ± 0.05 |
| 720 | 152 ± 0.07 | 29± 0.04 |
| Time (h) | ||||||||
|---|---|---|---|---|---|---|---|---|
| Parameter | Initial | 24 | 360 | 720 | ||||
| I | II | I | II | I | II | I | II | |
| Rs (kΩ·cm2) | 2.5 × 10−1 | 4.8 × 10−2 | 1.9 × 10−1 | 1.9 × 10−1 | 8.8 × 10−1 | 2.3 × 10−1 | 4.1 × 10−1 | 2.6 × 10−1 |
| Ccp (F·cm−2·Hz1-ncp) | 5.4 × 10−6 | 2.5 × 10−5 | 2.1 × 10−6 | 2.3 × 10−5 | 1.2 × 10−6 | 1.4 × 10−5 | 6.8 × 10−7 | 1.6 × 10−5 |
| ncp | 8.6 × 10−1 | 8.1 × 10−1 | 8.4 × 10−1 | 8.3 × 10−1 | 9.2 × 10−1 | 9.0 × 10−1 | 9.0 × 10−1 | 8.5 × 10−1 |
| Rcp (kΩ·cm2) | 3.1 × 10 | 1.3 | 8.3 × 10 | 9.4 | 3.5 × 102 | 6.0 × 102 | 7.0 × 102 | 6.0 × 101 |
| Cdl (F·cm−2·Hz1-ncp) | 8.5 × 10−5 | 2.4 × 10−4 | 7.8 × 10−6 | 2.0 × 10−4 | 3.7 × 10−6 | 4.8 × 10−5 | 2.2 × 10−6 | 6.8 × 10−5 |
| ndl | 1 | 5.1 × 10−1 | 8.1 × 10−1 | 8.3 × 10−1 | 9.2 × 10−1 | 6.1 × 10−1 | 8.9 × 10−1 | 6.3 × 10−1 |
| Rct (kΩ·cm2) | 0.1 × 102 | 3.3 | 1.3 × 102 | 4.4 | 3.4 × 102 | 0.7 × 102 | 6.5 × 102 | 5.3 × 101 |
| Rp (kΩ·cm2) | 4.7 × 101 | 4.7 | 2.1 × 102 | 1.4 × 10 | 6.9 × 102 | 1.3 × 102 | 1.3 × 103 | 1.1 × 102 |
| c2 | 5.4 × 10−3 | 3.7 × 10−4 | 1.2 × 10−2 | 1.7 × 10−2 | 5.6 × 10−4 | 8.5 × 10−4 | 4.2 × 10−3 | 8.3 × 10−4 |
| Time (h) | Sat. Ca(OH)2 | Cement Extract | ||
|---|---|---|---|---|
| Rp (kΩ·cm2) | jcorr (µA·cm2) | Rp (kΩ·cm2) | jcorr (µA·cm2) | |
| Initial | 4.7 × 10 | 6.4 × 10−1 | 4.7 | 6.2 |
| 24 | 2.1 × 102 | 1.4 × 10−1 | 1.3 × 10 | 2.1 |
| 360 | 6.9 × 102 | 4.0 × 10−2 | 1.3 × 102 | 2.3 × 10−1 |
| 720 | 1.3 × 103 | 2.0 × 10−2 | 1.1 × 102 | 2.7 × 10−1 |
© 2020 by the authors. Licensee MDPI, Basel, Switzerland. This article is an open access article distributed under the terms and conditions of the Creative Commons Attribution (CC BY) license (http://creativecommons.org/licenses/by/4.0/).
Share and Cite
Bacelis, Á.; Veleva, L.; Alpuche-Avilés, M.A. Copper Corrosion Behavior in Simulated Concrete-Pore Solutions. Metals 2020, 10, 474. https://doi.org/10.3390/met10040474
Bacelis Á, Veleva L, Alpuche-Avilés MA. Copper Corrosion Behavior in Simulated Concrete-Pore Solutions. Metals. 2020; 10(4):474. https://doi.org/10.3390/met10040474
Chicago/Turabian StyleBacelis, Ángel, Lucien Veleva, and Mario A. Alpuche-Avilés. 2020. "Copper Corrosion Behavior in Simulated Concrete-Pore Solutions" Metals 10, no. 4: 474. https://doi.org/10.3390/met10040474
APA StyleBacelis, Á., Veleva, L., & Alpuche-Avilés, M. A. (2020). Copper Corrosion Behavior in Simulated Concrete-Pore Solutions. Metals, 10(4), 474. https://doi.org/10.3390/met10040474

