Mechanical Properties, Thermal Stability and Microstructures of W-Re-ZrC Alloys Fabricated by Spark Plasma Sintering
Abstract
1. Introduction
2. Methods
2.1. W-Re-ZrC Alloy Powder Processing
2.2. Consolidation via SPS
2.3. Microstructural Caracterization, Tensile Tests and Thermal Stability
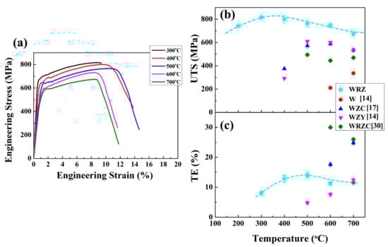
3. Results and Discussion
4. Conclusions
Author Contributions
Funding
Acknowledgments
Conflicts of Interest
References
- Liu, F.C.; Hovanski, Y.; Miles, M.P.; Sorensen, C.D.; Nelson, T.W. A review of friction stir welding of steels: Tool, material flow, microstructure, and properties. J. Mater. Sci. Technol. 2018, 34, 39–57. [Google Scholar] [CrossRef]
- Mishra, R.S.; Ma, Z.Y. Friction stir welding and processing. Mater. Sci. Eng. R Rep. 2005, 50, 1–78. [Google Scholar] [CrossRef]
- Prado, R.A.; Murr, L.E.; Soto, K.F.; McClure, J.C. Self-optimization in tool wear for friction-stir welding of Al 6061 + 20% Al2O3 MMC. Mater. Sci. Eng. A 2003, 349, 156–165. [Google Scholar] [CrossRef]
- Thompson, B.T. Tool Degradation Characterization in the Friction Stir Welding of Hard Metals. Ph.D. Thesis, The Ohio State University, Columbus, OH, USA, 2010. [Google Scholar]
- Rai, R.; De, A.; Bhadeshia, H.K.D.H.; DebRoy, T. Review: Friction stir welding tools. Sci. Technol. Weld. Join. 2011, 16, 325–342. [Google Scholar] [CrossRef]
- Weinberger, T.; Enzinger, N.; Cerjak, H. Microstructural and mechanical characterisation of friction stir welded 15-5PH steel. Sci. Technol. Weld. Join. 2009, 14, 210–215. [Google Scholar] [CrossRef]
- Reynolds, A.P.; Hood, E.; Tang, W. Texture in friction stir welds of Timetal 21S. Scr. Mater. 2005, 52, 491–494. [Google Scholar] [CrossRef]
- Klopp, W.D.; Raffo, P.L.; Witzke, W.R. Mechanical Properties of Dilute Tungsten-Rhenium Alloys; NASA: Washington, DC, USA, 1966. [Google Scholar]
- Geach, G.; Hughes, J. The alloys of rhenium with molybdenum or with tungsten and having good high temperature properties. In Plansee Proceeding; Pergamon Press: London, UK, 1955; pp. 245–253. [Google Scholar]
- Romaner, L.; Ambrosch-Draxl, C.; Pippan, R. Effect of Rhenium on the Dislocation Core Structure in Tungsten. Phys. Rev. Lett. 2010, 104, 195503. [Google Scholar] [CrossRef] [PubMed]
- Savitskii, E.M.; Tylkina, M.A.; Ipatova, S.I.; Pavlova, E.I. Properties of tungsten-rhenium alloys. Met. Sci. Heat Treat. Met. 1960, 2, 483–486. [Google Scholar] [CrossRef]
- Battabyal, M.; Schäublin, R.; Spätig, P.; Baluc, N. W–2wt.%Y2O3 composite: Microstructure and mechanical properties. Mater. Sci. Eng. A 2012, 538, 53–57. [Google Scholar] [CrossRef]
- Kurishita, H.; Matsuo, S.; Arakawa, H.; Sakamoto, T.; Kobayashi, S.; Nakai, K.; Okano, H.; Watanabe, H.; Yoshida, N.; Torikai, Y.; et al. Current status of nanostructured tungsten-based materials development. Phys. Scr. 2014, T159, 014032. [Google Scholar] [CrossRef]
- Liu, R.; Xie, Z.M.; Hao, T.; Zhou, Y.; Wang, X.P.; Fang, Q.F.; Liu, C.S. Fabricating high performance tungsten alloys through zirconium micro-alloying and nano-sized yttria dispersion strengthening. J. Nucl. Mater. 2014, 451, 35–39. [Google Scholar] [CrossRef]
- Miao, S.; Xie, Z.M.; Yang, X.D.; Liu, R.; Gao, R.; Zhang, T.; Wang, X.P.; Fang, Q.F.; Liu, C.S.; Luo, G.N.; et al. Effect of hot rolling and annealing on the mechanical properties and thermal conductivity of W-0.5wt.% TaC alloys. Int. J. Refract. Met. Hard Mater. 2016, 56, 8–17. [Google Scholar] [CrossRef]
- Wang, R.; Xie, Z.M.; Wang, Y.K.; Song, J.P.; Fang, Q.F.; Liu, R.; Jiang, Y.; Yang, J.F.; Zhang, T.; Wang, X.P.; et al. Fabrication and characterization of nanocrystalline ODS-W via a dissolution-precipitation process. Int. J. Refract. Met. Hard Mater. 2019, 80, 104–113. [Google Scholar] [CrossRef]
- Xie, Z.; Liu, R.; Fang, Q.; Zhang, T.; Jiang, Y.; Wang, X.; Liu, C. Microstructure and Mechanical Properties of Nano-Size Zirconium Carbide Dispersion Strengthened Tungsten Alloys Fabricated by Spark Plasma Sintering Method. Plasma Sci. Technol. 2015, 17, 1066–1071. [Google Scholar] [CrossRef]
- Xie, Z.M.; Liu, R.; Miao, S.; Yang, X.D.; Zhang, T.; Wang, X.P.; Fang, Q.F.; Liu, C.S.; Luo, G.N.; Lian, Y.Y.; et al. Extraordinary high ductility/strength of the interface designed bulk W-ZrC alloy plate at relatively low temperature. Sci. Rep. 2015, 5, 16014. [Google Scholar] [CrossRef]
- Zhao, M.; Zhou, Z.; Zhong, M.; Tan, J. Effect of hot rolling on the microstructure and fracture behavior of a bulk fine-grained W–Y2O3 alloy. Mater. Sci. Eng. A 2015, 646, 19–24. [Google Scholar] [CrossRef]
- Barbour, J.P.; Charbonnier, F.M.; Dolan, W.W.; Dyke, W.P.; Martin, E.E.; Trolan, J.K. Determination of the Surface Tension and Surface Migration Constants for Tungsten. Phys. Rev. 1960, 117, 1452–1459. [Google Scholar] [CrossRef]
- Tran Huu, L.; Morniroli, J.P.; Gantois, M.; Lahaye, M. Brittle fracture of polycrystalline tungsten. J. Mater. Sci. 1985, 20, 199–206. [Google Scholar] [CrossRef]
- Zhao, M.; Zhou, Z.; Ding, Q.; Zhong, M.; Arshad, K. Effect of rare earth elements on the consolidation behavior and microstructure of tungsten alloys. Int. J. Refract. Met. Hard Mater. 2015, 48, 19–23. [Google Scholar] [CrossRef]
- Ishijima, Y.; Kannari, S.; Kurishita, H.; Hasegawa, M.; Hiraoka, Y.; Takida, T.; Takebe, K. Processing of fine-grained W materials without detrimental phases and their mechanical properties at 200–432K. Mater. Sci. Eng. A 2008, 473, 7–15. [Google Scholar] [CrossRef]
- Liu, G.; Zhang, G.J.; Jiang, F.; Ding, X.D.; Sun, Y.J.; Sun, J.; Ma, E. Nanostructured high-strength molybdenum alloys with unprecedented tensile ductility. Nat. Mater. 2013, 12, 344–350. [Google Scholar] [CrossRef] [PubMed]
- Neikov, O.D. Chapter 3—Mechanical Alloying. In Handbook of Non-Ferrous Metal Powders, 2nd ed.; Neikov, O.D., Naboychenko, S.S., Yefimov, N.A., Eds.; Elsevier: Oxford, UK, 2019; pp. 91–124. [Google Scholar]
- Suryanarayana, C. Recent advances in the synthesis of alloy phases by mechanical alloying/milling. Met. Mater. 1996, 2, 195–209. [Google Scholar] [CrossRef]
- Suryanarayana, C. Mechanical alloying and milling. Prog. Mater Sci. 2001, 46, 1–184. [Google Scholar] [CrossRef]
- Ivanov, E.Y.; Suryanarayana, C.; Bryskin, B.D. Synthesis of a nanocrystalline W–25 wt.% Re alloy by mechanical alloying. Mater. Sci. Eng. A 1998, 251, 255–261. [Google Scholar] [CrossRef]
- Leonhardt, T. Properties of tungsten-rhenium and tungsten-rhenium with hafnium carbide. JOM 2009, 61, 68–71. [Google Scholar] [CrossRef]
- Yang, X.D.; Xie, Z.M.; Miao, S.; Liu, R.; Jiang, W.B.; Zhang, T.; Wang, X.P.; Fang, Q.F.; Liu, C.S.; Luo, G.N.; et al. Tungsten-zirconium carbide-rhenium alloys with extraordinary thermal stability. Fusion Eng. Des. 2016, 106, 56–62. [Google Scholar] [CrossRef]
- Xie, Z.M.; Zhang, T.; Liu, R.; Fang, Q.F.; Miao, S.; Wang, X.P.; Liu, C.S. Grain growth behavior and mechanical properties of zirconium micro-alloyed and nano-size zirconium carbide dispersion strengthened tungsten alloys. Int. J. Refract. Met. Hard Mater. 2015, 51, 180–187. [Google Scholar] [CrossRef]
- Humphreys, F.J.; Hatherly, M. Chapter 5—The Mobility and Migration of Boundaries. In Recrystallization and Related Annealing Phenomena, 2nd ed.; Humphreys, F.J., Hatherly, M., Eds.; Elsevier: Oxford, UK, 2004; pp. 121–167. [Google Scholar]
- Rama Rao, G.A.; Venugopal, V. Kinetics and mechanism of the oxidation of ZrC. J. Alloys Compd. 1994, 206, 237–242. [Google Scholar] [CrossRef]
- Katoh, Y.; Vasudevamurthy, G.; Nozawa, T.; Snead, L.L. Properties of zirconium carbide for nuclear fuel applications. J. Nucl. Mater. 2013, 441, 718–742. [Google Scholar] [CrossRef]










| Specimens | Milling Time (h) | Density (g/cm3) | Hardness (GPa) | Grain Size (μm) |
|---|---|---|---|---|
| Material A | 20 | 18.96 ± 0.01 | 4.87 ± 0.16 | - |
| Material B | 30 | 19.02 ± 0.03 | 5.06 ± 0.18 | - |
| Material C | 40 | 19.08 ± 0.03 | 5.15 ± 0.11 | 2.91 ± 0.24 |
| Material D | 50 | 19.12 ± 0.02 | 5.21 ± 0.06 | 2.53 ± 0.17 |
© 2020 by the authors. Licensee MDPI, Basel, Switzerland. This article is an open access article distributed under the terms and conditions of the Creative Commons Attribution (CC BY) license (http://creativecommons.org/licenses/by/4.0/).
Share and Cite
Miao, S.; Xie, Z.; Lin, Y.; Fang, Q.; Tan, J.; Zhao, Y. Mechanical Properties, Thermal Stability and Microstructures of W-Re-ZrC Alloys Fabricated by Spark Plasma Sintering. Metals 2020, 10, 277. https://doi.org/10.3390/met10020277
Miao S, Xie Z, Lin Y, Fang Q, Tan J, Zhao Y. Mechanical Properties, Thermal Stability and Microstructures of W-Re-ZrC Alloys Fabricated by Spark Plasma Sintering. Metals. 2020; 10(2):277. https://doi.org/10.3390/met10020277
Chicago/Turabian StyleMiao, Shu, Zhuoming Xie, Yan Lin, Qianfeng Fang, Jinhong Tan, and Yunqiang Zhao. 2020. "Mechanical Properties, Thermal Stability and Microstructures of W-Re-ZrC Alloys Fabricated by Spark Plasma Sintering" Metals 10, no. 2: 277. https://doi.org/10.3390/met10020277
APA StyleMiao, S., Xie, Z., Lin, Y., Fang, Q., Tan, J., & Zhao, Y. (2020). Mechanical Properties, Thermal Stability and Microstructures of W-Re-ZrC Alloys Fabricated by Spark Plasma Sintering. Metals, 10(2), 277. https://doi.org/10.3390/met10020277
