Next Article in Journal
Effect of Heat Treatments on the Microstructural Evolution of a Single Crystal High-Entropy Superalloy
Next Article in Special Issue
Overcoming Strength-Ductility Trade-Off at Cryogenic Temperature of Low Carbon Low Alloy Steel via Controlling Retained Austenite Stability
Previous Article in Journal
Experimental Analysis and Behaviour Modelling of the Deformation Mechanisms of a Ti-6242S Alloy under Hot and Superplastic Forming Conditions
Previous Article in Special Issue
Enhancing the Robustness and Efficiency in the Production of Medium Mn Steels by Al Addition
 
 
Font Type:
Arial Georgia Verdana
Font Size:
Aa Aa Aa
Line Spacing:
Column Width:
Background:
Article

Effect of Starting Microstructures on the Reverse Transformation Kinetics in Low-Carbon Steel

Department of Mechanical and Energy Engineering, Southern University of Science and Technology, Shenzhen 518055, China
*
Author to whom correspondence should be addressed.
Metals 2020, 10(12), 1601; https://doi.org/10.3390/met10121601
Submission received: 30 October 2020 / Revised: 23 November 2020 / Accepted: 26 November 2020 / Published: 29 November 2020
(This article belongs to the Special Issue Reversed Transformation in Iron-Based Alloys)

Abstract

The effect of the initial starting microstructures on the austenite reverse transformation kinetics is thoroughly studied in low-carbon steel. The different initial starting microstructures including the ferrite + pearlite, bainite, and martensite are obtained through varied forward transformation. It is found that the bainite phase demonstrates highest reverse transformation rate while the ferrite + pearlite shows the lowest transformation rate. The above observation can be explained through the different grain size of the initial starting microstructures as the grain boundaries could act as the nucleation sites for austenite reverse transformation. The explanation is further substantiated based on the consideration of the reverse transformation kinetics from the martensite microstructure with different grain size.

1. Introduction

Steels are key structural materials for the improvement of daily life and the increase of economics. The essential role of steels played in the development of mankind is assisted by its widely accessible mechanical properties for the engineering applications including the aerospace and automotive industries. The mechanical behavior of steels is governed by the microstructure, which is developed through varied phase transformation during thermal-mechanical treatment [1]. Generally, the transformation from austenite to product phases (i.e., martensite, bainite, ferrite) is key for the development of advanced high-strength steels (AHSS), such as the carbide-free bainite (CFB) steel and the quenching and partitioning (Q&P) steel [2,3,4,5]. Therefore, the forward transformation from austenite to product phases has been intensively investigated [6,7,8,9,10]. Nevertheless, it was gradually realized that the reverse transformation from the product phases to the parent austenite is also important for the development of AHSS. For instance, the dual phase (DP) steel and the medium Mn steel frequently employ the reverse transformation to obtain the reverted austenite grains through the intercritical annealing process [11,12,13]. Note that the reverted austenite grains in DP steel will transform to martensite during the final quenching. In addition, the reverse transformation is effective in refining the grain size and improving the yield strength of AHSS [14,15,16]. Recently, the reverse transformation has been employed to develop lamellar microstructure in maraging transformation-induced plasticity (TRIP) steel, enabling roughness toughening and transformation toughening to improve the fatigue performance [17]. Additionally, the reverse transformation can be well adapted to new alloy design strategies such as the grain boundary segregation to improve the mechanical properties of steels [18,19,20]. Consequently, the reverse transformation in steels has been intensively investigated in recent years [21,22,23]. It is found that the mechanism and kinetics of the reverse transformation depends on the heating rate [24,25]. Moreover, the reverse transformation kinetics also relies on the initial starting microstructures [26]. The investigated initial microstructures includes the ferrite+pearlite microstructure [27,28], the bainitic microstructure [29], and the martensite microstructure [26]. Note that the above investigations were performed on the different material systems. In other words, the kinetics of reverse transformation from the different initial starting microstructures was not properly compared. Therefore, the effect of different initial starting microstructures on the kinetics of reverse transformation has been not thoroughly investigated.
In this contribution, we aimed to investigate the effect of different initial starting microstructures on the austenite reverse transformation kinetics in a single chemical composition. The different initial starting microstructures include ferrite + pearlite, bainite, and martensite, which are obtained through the varied forward transformation. It was found that the bainite demonstrated the highest transformation rate, which was ascribed to the intensive boundaries serving as the nucleation sites. This was further supported by tacitly introducing the different initial martensite microstructures under varied austenitization temperatures.

2. Materials and Methods

The steel investigated here had a chemical composition of Fe-0.15C-1.9Mn-0.20Si-0.15Cr (in wt.%). The dilatometer samples with a dimension of 10 × 4 × 1 mm3 (in length, width, and thickness) were prepared along the cold-rolled direction of steel sheet by wire-cut electrical discharge machining (WEDM). The phase transformation during the thermal processing was captured by push-rods made of quartz using the Bähr 805 A/D dilatometer. The initial starting microstructures were obtained by the forward transformation after the austenitization at 900 °C for 30 s. The martensite start (Ms) temperature after austenitization at 900 °C for 30 s was determined to be about 420 °C. In particular, the ferrite + pearlite phases and bainite phase were achieved through the isothermal holding at 700 °C and 500 °C, respectively, for 30 min. The present thermal processing conditions were designed partly based on a previous literature report [30]. The martensite phase was obtained through the direct quenching from the austenitization temperature down to 100 °C with a quenching rate of 100 °C/s. The quenching medium during dilatometry measurement was helium gas. The samples with different initial starting microstructures were intercritically annealed at 780 °C for 10 min to investigate the effect of initial starting microstructures on the reverse transformation kinetics. The detailed thermal processing routes can be found in Figure 1. Note that all the heating rates and cooling rates for the present experimental setup were 10 °C/s and 100 °C/s, respectively (Figure 1). The heating rate of 10 °C/s is relevant to the industrial setup. The initial starting microstructures were characterized by the optical microscope. The samples for optical observation were prepared by conventional grinding, followed by immersing in 2% Nital solution for 10 s and finally cleaned by ethanol.

3. Results and Discussions

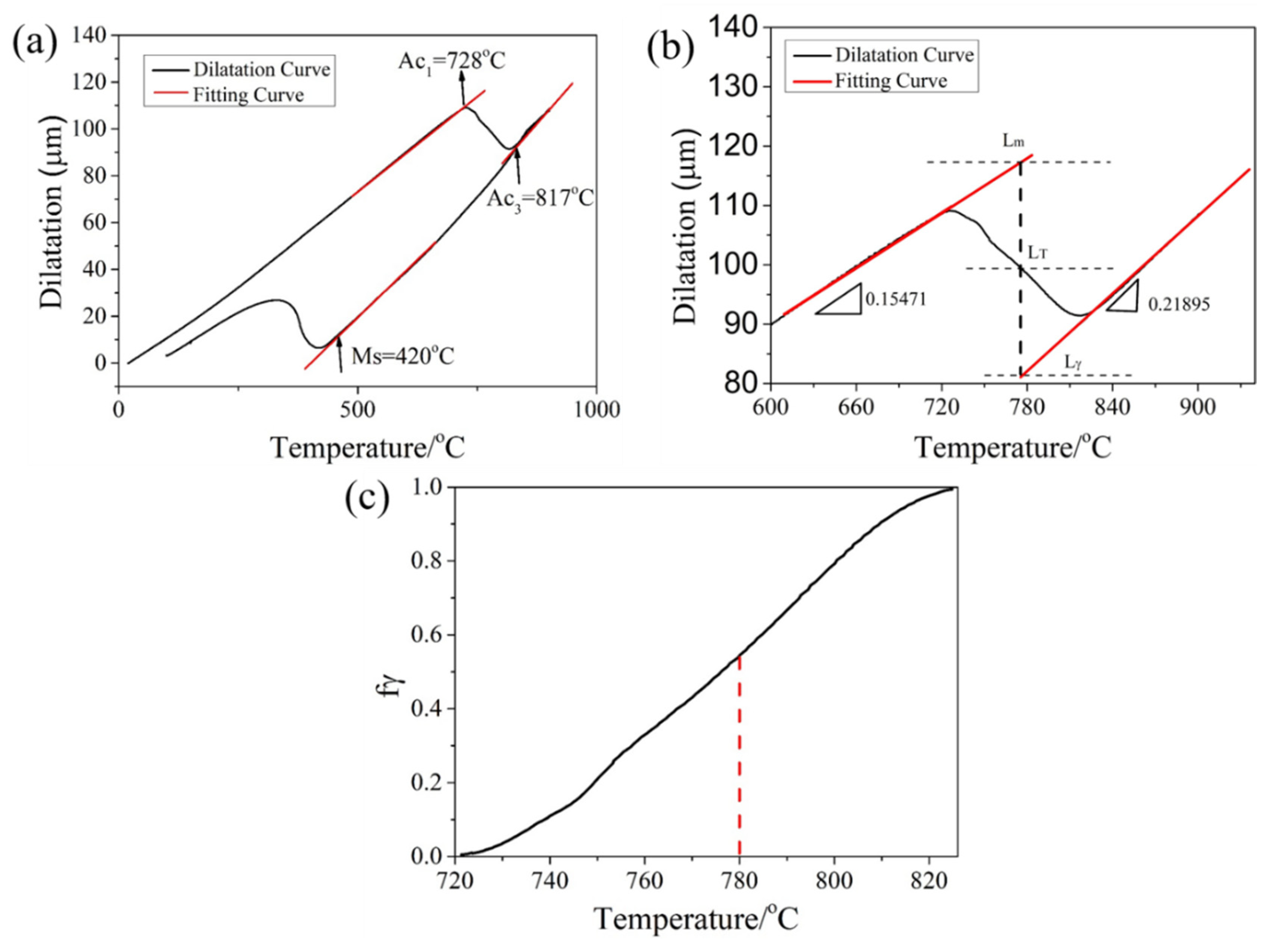
The dilatational curve to obtain the martensite phase is shown in Figure 2a. The martensite starting (Ms) temperature was determined based on the tangent method and was found to be 420 °C after austenitization at 900 °C for 30 s. Similarly, the austenite formation temperature (Ac1) and austenite finish temperature (Ac3) temperatures were found to be 728 °C and 817 °C, respectively, for the as-received materials under a heating rate of 10 °C/s. The reverse transformation kinetics during continuous heating process can be obtained from the dilatational curve based on the lever rule [31]:
X ( γ ) = L m ( T ) L ( T ) L m ( T ) L γ ( T )
where X(γ) is the austenite volume fraction, L(T) is the real length of sample at temperature of T, and Lm(T) and Lγ (T) are the calculated lengths, assuming that the specimen without phase transformation has full austenite structures separately. The details in calculating the austenite volume fraction during continuous heating are shown in Figure 2b. The reverse transformation kinetics of as-received materials can be found in Figure 2c. Note that the volume fraction of austenite obtained at 780 °C was around 50% and the transformation rate was close to the highest value at this temperature (the slope of red curve in Figure 2c). Thus, the isothermal holding at 780 °C was employed as the intercritical annealing temperature for the present investigation.
The different initial starting microstructures were captured by optical microscope and are shown in Figure 3. The corresponding thermal processing routes to obtain these microstructures can be found in Figure 1. The initial starting microstructures consisted of bainite, martensite, and ferrite + pearlite (Figure 3). The bainite and martensite phases had dominated lamellar morphology, while the bainite microstructure was slightly finer than the martensite (Figure 3a,b). The ferrite and pearlite phases were arranged in alternating bands, with the granular ferrite grains in the white bands and pearlite in dark bands (Figure 3c). The more detailed microstructural features are presented (Figure 3d–f). It was found that the austenite volume fraction was expected to be negligible (<3%) in martensite microstructure according to the K–M equation, considering the high Ms temperature (Table 1) [32].
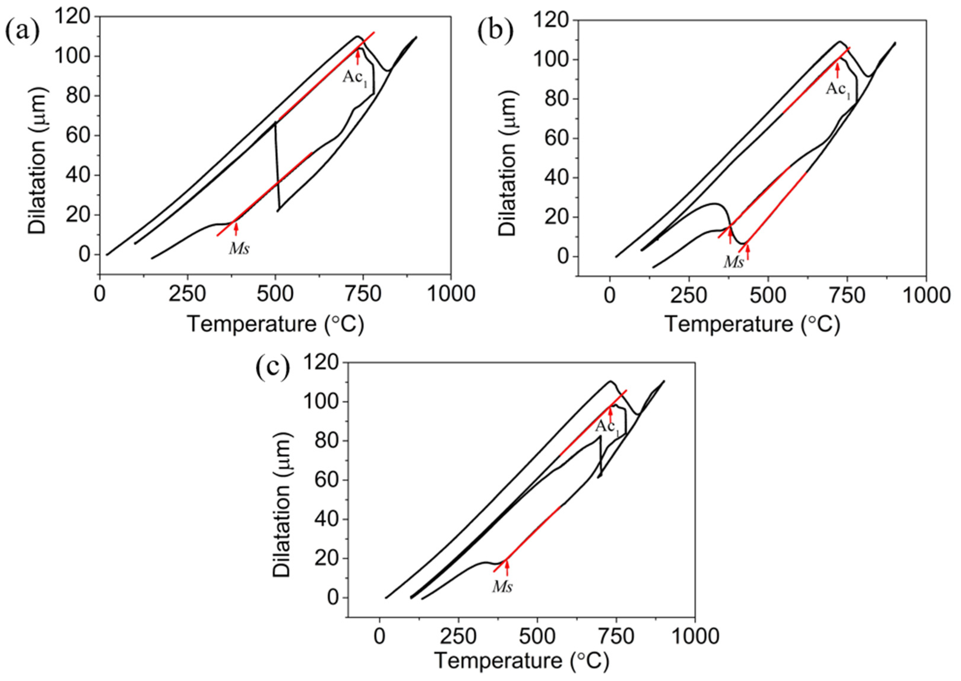
The dilatational curves of the present steel subjected to the different thermal processing routes are shown in Figure 4. Note that the dilatational curves for the processing to obtain different initial microstructures are also included. The bainitic transformation was incomplete (Figure 4a). The martensitic transformation during quenching process after the bainitic holding was negligible (Figure 4a). In other words, the residual austenite grains could be retained after the bainitic transformation during quenching down to 100 °C. The Ms temperature during the final quenching after intercritical annealing was lower than the one to obtain the martensite microstructure, suggesting that the reverted austenite grains were more stable than the one after austenitization (Figure 4b). The above observation was also applied to the other initial starting microstructures (Figure 4a,c and Table 1), which may be ascribed to the refined grain size and element (Mn/C) enrichment of reverted austenite grains. Similarly, the sample with bainitic transformation, the martensitic transformation during the quenching process after ferrite and pearlite transformation, was not clearly observed (Figure 4c). The Ac1 temperature of the different initial starting microstructures is shown in Table 1. The martensite phase had the lowest Ac1 temperature while the bainite phase had the highest Ac1 temperature (Table 1).
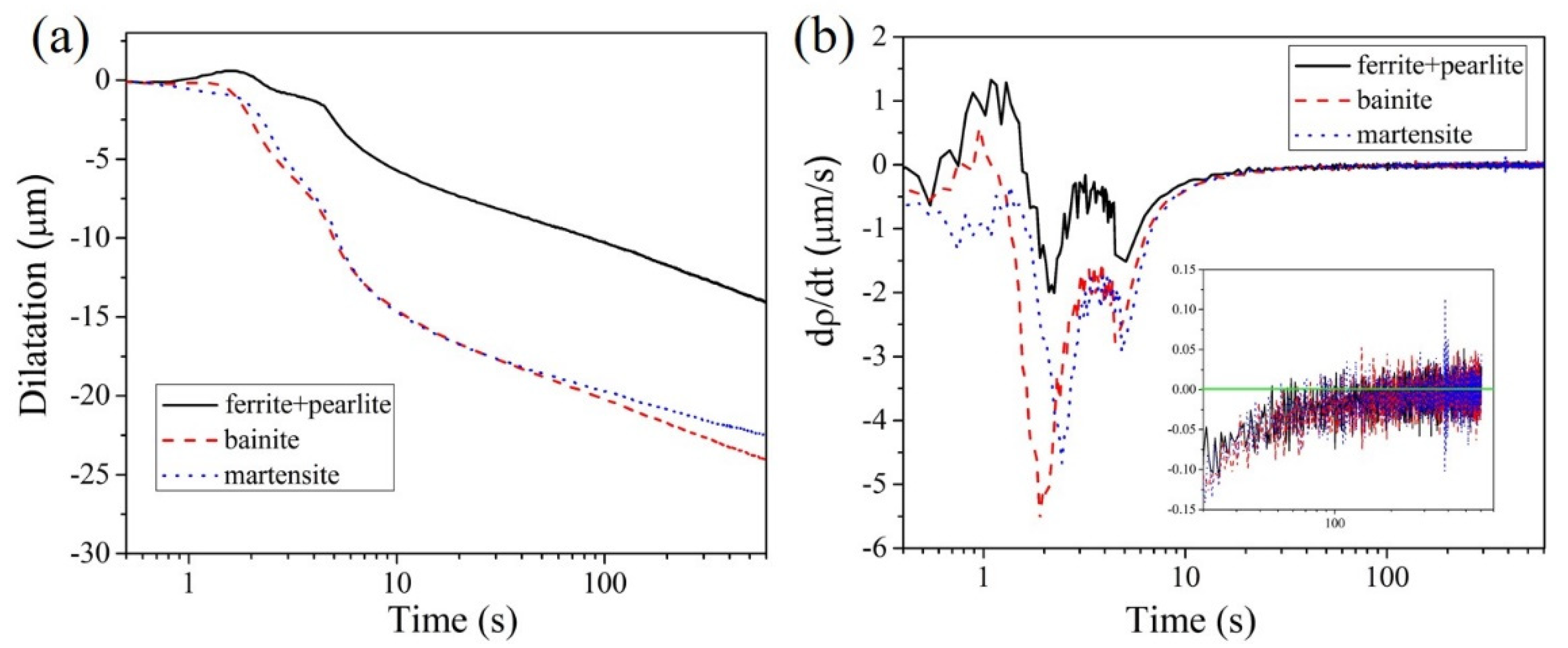
To investigate the detailed effect of initial starting microstructures on the reverse transformation kinetics, only the dilatational curve showing the reverse transformation part was selected (Figure 5a). The reverse transformation from product phase to parent austenite phase was accompanied by a volume contraction (Figure 5a). The amount of contraction during reverse transformation from ferrite + pearlite phase was less than that from bainite and martensite (Figure 5a). The rate of the reverse transformation was obtained by considering the first-order derivative of dilatation with respect to the time (Figure 5b). Drastic fluctuations were observed at initial transformation stages (<10 s) for all the different microstructures (Figure 5b). The absolute value of transformation rate then decreased and approached to a minimal value slightly larger than zero. The transformation rate of the different initial starting microstructures was largely different at the beginning of the reverse transformation. The maximum reverse transformation rate in the starting microstructure of bainite was slightly higher than that of martensite, while both were larger than the one started with ferrite + pearlite phase.
The different initial starting microstructures are schematically illustrated in the Figure 6. The martensite is a hierarchical microstructure containing packets, blocks, and laths [33,34]. Similarly to the martensite, the nucleation of bainite was initially at the prior austenite grain boundaries with the formation of bainite subunit (Figure 6). However, different from the martensite that single martensite nucleus could grow and propagate across the whole austenite grain, the propagation of bainite took place by nucleating at the tip of subunit, developing a unique sheaf structure [35]. Consequently, the bainitic microstructure was finer than the martensitic microstructure for the same prior austenite grain size (Figure 6). Both bainite and martensite were much finer than the ferrite + pearlite (Figure 6). In other words, the grain/lath boundary per unit volume for the bainite and martensite starting microstructures was much higher than that for the ferrite/pearlite starting microstructures.
In general, the austenite reverse transformation consisted of the nucleation and growth processes. The initial stage of the reverse transformation was governed by the nucleation process. According to the classical heterogeneous nucleation theory, crystalline defects such as the grain boundaries, interfaces, and cementite provided plenty of nucleation sites [36]. This is because these imperfections can decrease the total interfacial energy of the nucleus [37]. In addition to the grain boundary density, the high dislocation density in bainite and martensite may accelerate the transformation, owing to the stored strain energy [38], as compared to the ferrite-pearlite starting microstructure. Among these crystalline defects, the grain boundaries could speed up the reverse transformation kinetics by promoting heterogeneous nucleation and by accelerating atoms’ diffusion [39,40]. The former studies have shown that the austenite nucleates at the grain boundaries, such as pearlite boundaries, preferably at the ferrite/pearlite interfaces [25,27,41]. Similarly, there are a wide range of discussions about the mechanism for austenite reverse transformation from the martensite and bainite. It can be observed that fine austenite grain grew from the martensite lath boundaries [42]. The grain/lath (block/packet) boundary of the starting microstructures acted as the nucleation site for the reverse transformation. Therefore, the varied transformation at the initial stage may have been caused mainly by different amounts of grain boundaries among the initial starting microstructures (Figure 3 and Figure 6). In other words, the amount of nucleation sites for the reverse transformation with bainite and martensite starting microstructures were larger than that with the ferrite + pearlite starting microstructures. The differences of transformation rate between the martensite and bainite also could be accounted for by the similar reasons. Nevertheless, the different initial microstructures contained the different amounts of the cementite particles, which can also provide the nucleation site for the austenite [43]. Moreover, retained austenite in the bainitic microstructure may affect the austenite reverse transformation process [44]. To test the hypothesis that the grain boundaries dominate the phase transformation kinetics and determine the different transformation kinetics among varied starting microstructures, we selected the martensite with varied grain size as initial starting microstructures so that the effect of retained austenite and carbide precipitation could be disregarded. By comparing the reverse transformation kinetics of different martensitic microstructure, the role of grain boundaries played in austenite reverse transformation could be effectively evaluated.
It has been reported that the size of martensitic microstructure can be tuned by changing the prior austenite grain size through the varied austenitization temperature [45]. In particular, the refinement of prior austenite grain size can decrease the block width and the packet size of lath martensite. Note that the lath width may not be influenced by the prior austenite grain size. The prior austenite grain size can be adjusted based on the different austenitization temperatures, including 900 °C, 950 °C, 1000 °C, 1100 °C, and 1200 °C for 10 min.
It was found that the grain sizes of martensite increased with the increase of austenitization temperature (Figure 7), which was due to the larger prior austenite grain size obtained at higher austenitization temperature [46,47]. The martensite generated after austenitization at 1200 °C had the largest grain size (Figure 7e). Note that some Widmanstätten ferrites were found in the sample treated at the high austenitization temperature (Figure 7e), which grew from the prior austenite grain boundaries, and the austenite grain boundaries were deeply grooved [48,49]. The reason for the formation of Widmanstätten ferrite with respect to the grain size is not clear yet. Nevertheless, the Widmanstätten ferrite was only decorated at the prior austenite grain boundaries. Therefore, the volume fraction of Widmanstätten ferrite was small as compared to that of the martensite microstructures (Figure 7e).
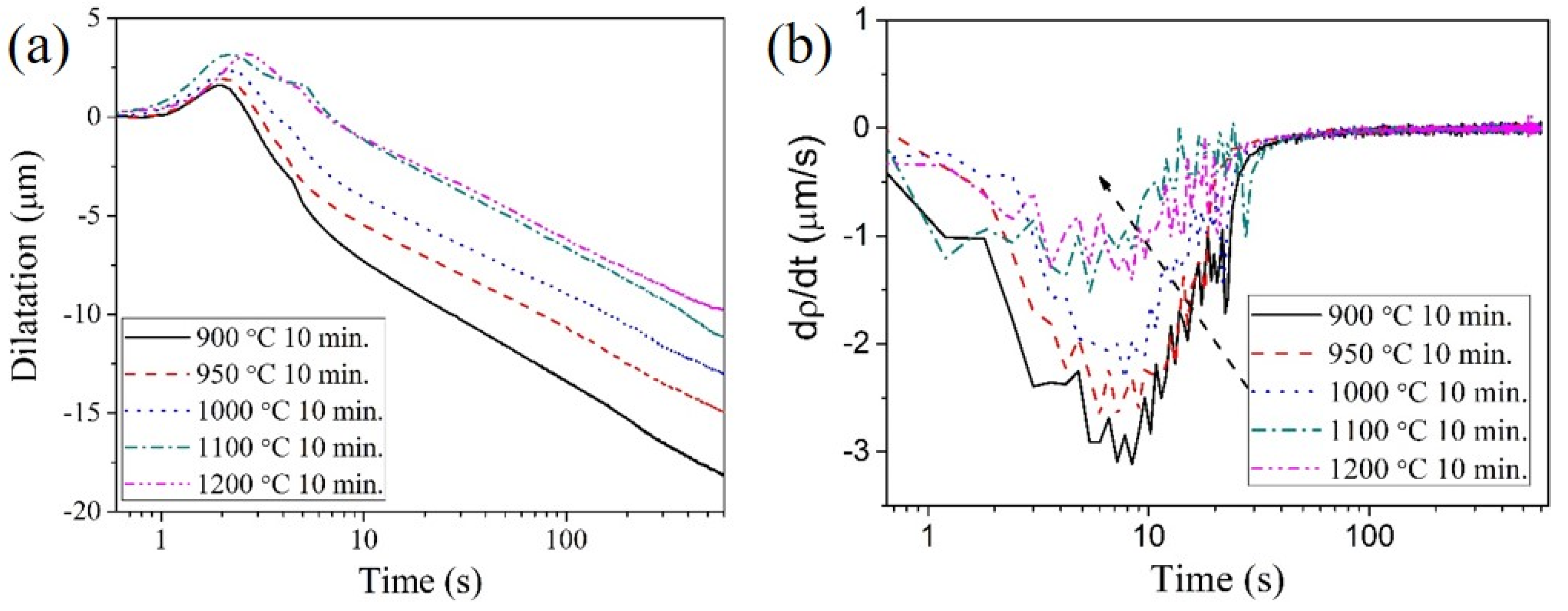
The changes in length during reverse transformation starting from the martensite with varied grain size are shown in Figure 8a. The corresponding transformation velocities were calculated from the first-order derivative of dilatation verse time (Figure 8b). Interestingly, the maximum transformation rate increased with the decrease of the austenitization temperature (Figure 8b), which means that the grain refinement of martensite facilitated the reverse transformation. The cementite precipitation was expected to be not intensive in as-quenched martensite during continuous heating process with a heating rate of 10 °C/s, which was different from the isothermal tempering process as shown in the literature [50]. Thus, the cementite did not play a key role in affecting the reverse transformation kinetics of the martensite with different grain size. Therefore, the above result proves that the grain boundaries play more important roles than other influence factors in affecting the reverse transformation kinetics. It was estimated that the martensite with the higher prior austenitization temperature (larger austenite grains) had the lower packet/block boundary per unit volume. Therefore, the finer martensite microstructure provided more boundaries for the nucleation of austenite, which explains why the transformation velocity decreased with the coarsening of martensite grains.
Although the duration of intercritical annealing at 780 °C was selected as 10 min, the product phases could continuously transform into austenite with the increase of duration. This was confirmed from the prolonged isothermal heat treatment time of the sample, which consisted of the same microstructures at 780 °C, and that the volume of the sample continuously shrunk with duration up to 60 min (Figure 9). As has been discussed, the reverse transformation became really slow after the burst of transformation but it still continued with a rate slightly higher than zero.

4. Conclusions

In summary, through the detailed dilatometry investigation, the present work shows that the bainite phase demonstrated the highest reverse transformation rate compared to that of martensite and ferrite + pearlite. The reverse transformation from granular ferrite and pearlite had the lowest rate. The above observation was ascribed to the finest microstructure of the bainite and the presence of cementite and retained austenite grains. The intensive boundaries of bainite provided a substantial amount of nucleation sites for austenite reversion during intercritical annealing. To further verify the effect of grain boundaries in reverse transformation, the martensite microstructures with different grain sizes were selected by tuning the austenitization temperature. The selected heating rate could reduce the cementite precipitation in martensite. The kinetics of reverse transformation from different martensite microstructures were compared, which substantiated the hypothesis that grain boundaries are the determining factors in the reverse transformation.

Author Contributions

J.H. writing—original draft, writing; B.H. writing—review, supervision and editing. All authors have read and agreed to the published version of the manuscript.

Funding

This research was funded by Start-up Funding from the Southern University of Science and Technology (33/Y01336122).

Acknowledgments

We would like to acknowledge the technical support from SUSTech Core Research Facilities.

Conflicts of Interest

The authors declare no conflict of interest.

References

  1. Bhadeshia, H.K.D.H.; Honeycombe, R. Steels: Microstructure and Properties, 3rd ed.; Butterworth-Heinemann: Oxford, UK, 2006. [Google Scholar]
  2. Speer, J.G.; Assunção, F.C.R.; Matlock, D.K.; Edmonds, D.V. The “quenching and partitioning” process: Background and recent progress. Mater. Res. 2005, 8, 417–423. [Google Scholar] [CrossRef]
  3. Bojarski, l.; Bołd, T. Structure and properties of carbide-free bainite. Acta Metall. 1974, 22, 1223–1234. [Google Scholar] [CrossRef]
  4. Caballero, F.G.; Bhadeshia, H.K.D.H. Very strong bainite. Curr. Opin. Solid State Mater. Sci. 2004, 8, 251–257. [Google Scholar] [CrossRef]
  5. Ding, R.; Yao, Y.; Sun, B.; Liu, G.; He, J.; Li, T.; Wan, X.; Dai, Z.; Ponge, D.; Raabe, D. Chemical boundary engineering: A new route toward lean, ultrastrong yet ductile steels. Sci. Adv. 2020, 6. [Google Scholar] [CrossRef]
  6. Gong, W.; Tomota, Y.; Adachi, Y.; Paradowska, A.M.; Kelleher, J.F.; Zhang, S.Y. Effects of ausforming temperature on bainite transformation, microstructure and variant selection in nanobainite steel. Acta Mater. 2013, 61, 4142–4154. [Google Scholar] [CrossRef]
  7. Yang, H.S.; Bhadeshia, H.K.D.H. Austenite grain size and the martensite-start temperature. Scr. Mater. 2009, 60, 493–495. [Google Scholar] [CrossRef]
  8. He, B.B.; Xu, W.; Huang, M.X. Effect of ausforming temperature and strain on the bainitic transformation kinetics of a low carbon boron steel. Philos. Mag. 2015, 95, 1150–1163. [Google Scholar] [CrossRef]
  9. He, B.; Xu, W.; Huang, M. Increase of martensite start temperature after small deformation of austenite. Mater. Sci. Eng. A 2014, 609, 141–146. [Google Scholar] [CrossRef]
  10. Chen, H. Cyclic Partial Phase Transformations in Low Alloyed Steels. Ph.D. Thesis, Faculty of Aerospace and Engineering, Delft, The Netherlands, 2013. [Google Scholar]
  11. Jamei, F.; Mirzadeh, H.; Zamani, M. Synergistic effects of holding time at intercritical annealing temperature and initial microstructure on the mechanical properties of dual phase steel. Mater. Sci. Eng. A 2019, 750, 125–131. [Google Scholar] [CrossRef]
  12. Huang, J.; Poole, W.J.; Militzer, M. Austenite formation during intercritical annealing. Metall. Mater. Trans. A 2004, 35, 3363–3375. [Google Scholar] [CrossRef]
  13. Wang, M.M.; Tasan, C.C.; Ponge, D.; Kostka, A.; Raabe, D. Smaller is less stable: Size effects on twinning vs. transformation of reverted austenite in TRIP-maraging steels. Acta Mater. 2014, 79, 268–281. [Google Scholar] [CrossRef]
  14. Jafarian, H.R.; Tarazkouhi, M.F. Significant enhancement of tensile properties through combination of severe plastic deformation and reverse transformation in an ultrafine/nano grain lath martensitic steel. Mater. Sci. Eng. A 2017, 686, 113–120. [Google Scholar] [CrossRef]
  15. Kim, H.J.; Kim, Y.H.; Morris, J.W. Thermal Mechanisms of Grain and Packet Refinement in a Lath Martensitic Steel. ISIJ Int. 1998, 38, 1277–1285. [Google Scholar] [CrossRef]
  16. Alaei, A.; Jafarian, H.; Eivani, A.R. Observation austenite memory and significant 15enhancement of tensile properties during cyclic reverse martensite transformation in a Fe-Ni-C TRIP steel. Mater. Sci. Eng. A 2016, 676, 342–350. [Google Scholar] [CrossRef]
  17. Koyama, M.; Zhang, Z.; Wang, M.; Ponge, D.; Raabe, D.; Tsuzaki, K.; Noguchi, H.; Tasan, C.C. Bone-like crack resistance in hierarchical metastable nanolaminate steels. Science 2017, 355, 1055–1057. [Google Scholar] [CrossRef]
  18. Kuzmina, M.; Ponge, D.; Raabe, D. Grain boundary segregation engineering and austenite reversion turn embrittlement into toughness: Example of a 9 wt.% medium Mn steel. Acta Mater. 2015, 86, 182–192. [Google Scholar] [CrossRef]
  19. Kwiatkowski da Silva, A.; Kamachali, R.D.; Ponge, D.; Gault, B.; Neugebauer, J.; Raabe, D. Thermodynamics of grain boundary segregation, interfacial spinodal and their relevance for nucleation during solid-solid phase transitions. Acta Mater. 2019, 168, 109–120. [Google Scholar] [CrossRef]
  20. Ma, Y.; Sun, B.; Schoekel, A.; Song, W.; Ponge, D.; Raabe, D.; Bleck, W. Phase boundary segregation-induced strengthening and discontinuous yielding in ultrafine-grained duplex medium-Mn steels. Acta Mater. 2020, 200, 389–403. [Google Scholar] [CrossRef]
  21. Yang, D.P.; Wu, D.; Yi, H.L. Reverse transformation from martensite into austenite in a medium-Mn steel. Scr. Mater. 2019, 161, 1–5. [Google Scholar] [CrossRef]
  22. Benzing, J.T.; Kwiatkowski da Silva, A.; Morsdorf, L.; Bentley, J.; Ponge, D.; Dutta, A.; Han, J.; McBride, J.R.; Van Leer, B.; Gault, B.; et al. Multi-scale characterization of austenite reversion and martensite recovery in a cold-rolled medium-Mn steel. Acta Mater. 2019, 166, 512–530. [Google Scholar] [CrossRef]
  23. Arribas, M.; Gutiérrez, T.; Del Molino, E.; Arlazarov, A.; De Diego-Calderón, I.; Martin, D.; De Caro, D.; Ayenampudi, S.; Santofimia, M.J. Austenite Reverse Transformation in a Q&P Route of Mn and Ni Added Steels. Metals 2020, 10, 862. [Google Scholar] [CrossRef]
  24. Meshkov, Y.Y.; Pereloma, E.V. The effect of heating rate on reverse transformations in steels and Fe-Ni-based alloys. Phase Transform. Steel 2012, 581–618. [Google Scholar] [CrossRef]
  25. Castro Cerda, F.M.; Sabirov, I.; Goulas, C.; Sietsma, J.; Monsalve, A.; Petrov, R.H. Austenite formation in 0.2% C and 0.45% C steels under conventional and ultrafast heating. Mater. Des. 2017, 116, 448–460. [Google Scholar] [CrossRef]
  26. Law, N.C.; Edmonds D, V. ; Edmonds D V. The formation of austenite in a low-alloy steel. Metall. Mater. Trans. A 1980, 11, 33–46. [Google Scholar] [CrossRef]
  27. Roberts, G.A.; Mehl, R.F. The mechanism and the rate of formation of austenite from ferrite-cementite aggregates. Trans. ASM 1943, 31, 613–650. [Google Scholar]
  28. Son, Y.I.; Lee, Y.-K.; Park, K.-T. Reverse transformation of ferrite and pearlite to austenite in an ultrafine-grained low-carbon steel fabricated by severe plastic deformation. Metall. Mater. Trans. A 2006, 37, 3161–3164. [Google Scholar] [CrossRef]
  29. Lei, X.W.; Wang, H.H.; Wu, K.M.; Shirzadi, A.A.; Yin, Y.Q.; Wu, N.C. In situ observation of bainite to austenite transformation of microalloyed high strength steel during simulated welding cycle. Sci. Technol. Weld. Joining 2014, 19, 402–407. [Google Scholar] [CrossRef]
  30. Xu, X.; Xu, W.; van der Zwaag, S. A study on correlating microstructural features with abrasion resistance of a high strength low alloy steel. Int. J. Sustain. Constr. Des. 2013, 4. [Google Scholar] [CrossRef][Green Version]
  31. Quidort, D.; Brechet, Y.J.M. A Model of Isothermal and non Isothermal Transformation Kinetics of Bainite in 0.5% C Steels. ISIJ Int. 2002, 42, 1010–1017. [Google Scholar] [CrossRef]
  32. Koistinen, D.P.; Marburger, R.E. A general equation prescribing the extent of the austenite-martensite transformation in pure non-carbon alloys and plain carbon steels. Acta Mater. 1959, 55–69. [Google Scholar] [CrossRef]
  33. Morito, S.; Adachi, Y.; Ohba, T. Morphology and Crystallography of Sub-Blocks in Ultra-Low Carbon Lath Martensite Steel. Mater. Trans. 2009, 50, 1919–1923. [Google Scholar] [CrossRef]
  34. Morito, S.; Huang, X.; Furuhara, T.; Maki, T.; Hansen, N. The morphology and crystallography of lath martensite in alloy steels. Acta Mater. 2006, 54, 5323–5331. [Google Scholar] [CrossRef]
  35. Bhadeshia, H.K.D.H.; Christian, J.W.J.M.T.A. Bainite in steels. Metall. Trans A 1990, 21, 767–797. [Google Scholar] [CrossRef]
  36. Porter, D.A.; Easterling, K.E. Phase Transformations in Metals and Alloys; Revised reprint; CRC Press: Boca Raton, FL, USA, 2009. [Google Scholar]
  37. Dubrovskii, V. Nucleation Theory and Growth of Nanostructures; Springer: Berlin/Heidelberg, Germany, 2014. [Google Scholar]
  38. Godfrey, A.; Cao, W.Q.; Liu, Q.; Hansen, N. Stored energy, microstructure, and flow stress of deformed metals. Metall. Mater. Trans. A 2005, 36, 2371–2378. [Google Scholar] [CrossRef]
  39. Lu, K.; Huo, C.-F.; He, Y.; Yin, J.; Liu, J.; Peng, Q.; Guo, W.-P.; Yang, Y.; Li, Y.-W.; Wen, X.-D. Grain Boundary Plays a Key Role in Carbon Diffusion in Carbon Irons Revealed by a ReaxFF Study. J. Phys. Chem. C 2018, 122, 23191–23199. [Google Scholar] [CrossRef]
  40. Mohammadzadeh, R. Analysis of plastic strain-enhanced diffusivity in nanocrystalline iron by atomistic simulation. J. App. Phys. 2019, 125, 135103. [Google Scholar] [CrossRef]
  41. Kim, J.I.; Ryu, J.H.; Lee, S.W.; Lee, K.; Heo, Y.-U.; Suh, D.-W. Influence of the Initial Microstructure on the Reverse Transformation Kinetics and Microstructural Evolution in Transformation-Induced Plasticity-Assisted Steel. Metall. Mater. Trans. A 2016, 47, 5352–5361. [Google Scholar] [CrossRef]
  42. Wei, R.; Enomoto, M.; Hadian, R.; Zurob, H.S.; Purdy, G.R. Growth of austenite from as-quenched martensite during intercritical annealing in an Fe–0.1C–3Mn–1.5Si alloy. Acta Mater. 2013, 61, 697–707. [Google Scholar] [CrossRef]
  43. Molinder, G. A quantitative study of the formation of austenite and the solution of cementite at different austenitizing temperatures for a 1.27% carbon steel. Acta Metall. 1956, 4, 565–571. [Google Scholar] [CrossRef]
  44. Yang, J.R.; Bhadeshia, H.K.D.H. Continuous heating transformation of bainite to austenite. Mater. Sci. Eng. A 1991, 131, 99–113. [Google Scholar] [CrossRef]
  45. Morito, S.; Saito, H.; Ogawa, T.; Furuhara, T.; Maki, T. Effect of austenite grain size on the morphology and crystallography of lath martensite in low carbon steels. ISIJ Int. 2005, 45, 91–94. [Google Scholar] [CrossRef]
  46. Lee, S.-J.; Lee, Y.-K. Prediction of austenite grain growth during austenitization of low alloy steels. Mater. Des. 2008, 29, 1840–1844. [Google Scholar] [CrossRef]
  47. Prawoto, Y.; Jasmawati, N.; Sumeru, K. Effect of Prior Austenite Grain Size on the Morphology and Mechanical Properties of Martensite in Medium Carbon Steel. J. Mater. Sci. Technol. 2012, 28, 461–466. [Google Scholar] [CrossRef]
  48. Phelan, D.; Dippenaar, R. Widmanstätten ferrite plate formation in low-carbon steels. Metall. Mater. Trans. A 2004, 35, 3701–3706. [Google Scholar] [CrossRef]
  49. Ohmori, Y.; Ohtsubo, H.; Jung, Y.C.; Okaguchi, S.; Ohtani, H. Morphology of bainite and widmanstätten ferrite. Metall. Mater. Trans. A 1994, 25, 1981–1989. [Google Scholar] [CrossRef]
  50. Furuhara, T.; Kobayashi, K.; Maki, T. Control of Cementite Precipitation in Lath Martensite by Rapid Heating and Tempering. ISIJ Int. 2004, 44, 1937–1944. [Google Scholar] [CrossRef]
Figure 1. Schematic illustration of thermal processing routes for the present steel. The heating and cooling rates were 10 °C/s and 100 °C/s, respectively.
Figure 1. Schematic illustration of thermal processing routes for the present steel. The heating and cooling rates were 10 °C/s and 100 °C/s, respectively.
Metals 10 01601 g001
Figure 2. (a) Dilatational curve to obtain the martensite phase in the present steel after austenitization at 900 °C for 30 s. (b) Magnified view of dilatational curve during reverse transformation, demonstrating the application of lever rule in calculating the reverse transformation kinetics. (c) Reverse transformation kinetics during continuous heating under a heating rate of 10 °C/s.
Figure 2. (a) Dilatational curve to obtain the martensite phase in the present steel after austenitization at 900 °C for 30 s. (b) Magnified view of dilatational curve during reverse transformation, demonstrating the application of lever rule in calculating the reverse transformation kinetics. (c) Reverse transformation kinetics during continuous heating under a heating rate of 10 °C/s.
Metals 10 01601 g002
Figure 3. The initial starting microstructures obtained through different thermal processing routes: (a) the bainite microstructure obtained during isothermal holding at 500 °C for 30 min; (b) the martensite microstructure achieved through quenching down to 100 °C; (c) the ferrite + pearlite microstructures generated by isothermal holding at 700 °C for 30 min. The upper right inset in (c) is the distribution map of band width, while (df) are SEM images corresponding to the microstructure as shown in (ac). The red circle marks the carbide precipitations.
Figure 3. The initial starting microstructures obtained through different thermal processing routes: (a) the bainite microstructure obtained during isothermal holding at 500 °C for 30 min; (b) the martensite microstructure achieved through quenching down to 100 °C; (c) the ferrite + pearlite microstructures generated by isothermal holding at 700 °C for 30 min. The upper right inset in (c) is the distribution map of band width, while (df) are SEM images corresponding to the microstructure as shown in (ac). The red circle marks the carbide precipitations.
Metals 10 01601 g003
Figure 4. Dilatation temperature curves of the present steel subjected to different thermal processing routes, as shown in Figure 1, demonstrating the formation of (a) bainite, (b) martensite, and (c) ferrite + pearlite and their effects on the austenite reverse transformation.
Figure 4. Dilatation temperature curves of the present steel subjected to different thermal processing routes, as shown in Figure 1, demonstrating the formation of (a) bainite, (b) martensite, and (c) ferrite + pearlite and their effects on the austenite reverse transformation.
Metals 10 01601 g004
Figure 5. (a) The changes in length of the present steel with different initial starting microstructures (ferrite + pearlite, bainite, and martensite) during reverse transformation. Note that the data presented here also include the heating process between Ac1 to 780 °C. (b) The rate of changes in length for the reverse transformation from three different microstructures.
Figure 5. (a) The changes in length of the present steel with different initial starting microstructures (ferrite + pearlite, bainite, and martensite) during reverse transformation. Note that the data presented here also include the heating process between Ac1 to 780 °C. (b) The rate of changes in length for the reverse transformation from three different microstructures.
Metals 10 01601 g005
Figure 6. Schematic illustration on the formation of martensite, bainite, and ferrite + pearlite in the austenite grains (martensite: α’; bainite: αb; ferrite + pearlite: αf + αp).
Figure 6. Schematic illustration on the formation of martensite, bainite, and ferrite + pearlite in the austenite grains (martensite: α’; bainite: αb; ferrite + pearlite: αf + αp).
Metals 10 01601 g006
Figure 7. The martensite microstructure obtained after different austenitization temperatures at (a) 900 °C, (b) 950 °C, (c) 1000 °C, (d) 1100 °C, (e) 1200 °C. Red arrow in (e) marks the Widmanstätten ferrite. Red dotted line marks the prior austenite grain boundaries.
Figure 7. The martensite microstructure obtained after different austenitization temperatures at (a) 900 °C, (b) 950 °C, (c) 1000 °C, (d) 1100 °C, (e) 1200 °C. Red arrow in (e) marks the Widmanstätten ferrite. Red dotted line marks the prior austenite grain boundaries.
Metals 10 01601 g007
Figure 8. (a) The change in length of the present steel during the reverse transformation from martensite with varied grain size. (b) The corresponding transformation velocity of the reverse transformation.
Figure 8. (a) The change in length of the present steel during the reverse transformation from martensite with varied grain size. (b) The corresponding transformation velocity of the reverse transformation.
Metals 10 01601 g008
Figure 9. The dilatation time curve during isothermal holding at 780 °C with different durations, demonstrating that the reverse transformation continued with increase of isothermal holding time. Note that the slight difference of dilatation at the initial stage for the same martensitic microstructure could be due to the experimental error (i.e., contact between the push-rod and sample).
Figure 9. The dilatation time curve during isothermal holding at 780 °C with different durations, demonstrating that the reverse transformation continued with increase of isothermal holding time. Note that the slight difference of dilatation at the initial stage for the same martensitic microstructure could be due to the experimental error (i.e., contact between the push-rod and sample).
Metals 10 01601 g009
Table 1. The austenite formation temperature (Ac1) for different initial starting microstructures and martensite starting (Ms) temperature temperature after austenitization or intercritical annealing process.
Table 1. The austenite formation temperature (Ac1) for different initial starting microstructures and martensite starting (Ms) temperature temperature after austenitization or intercritical annealing process.
Different MicrostructureAc1 (°C)Ac3 (°C)Ms (°C)
Initial microstructure728817420
Martensite721/374
Ferrite + Pearlite727/391
Bainite732/380
Publisher’s Note: MDPI stays neutral with regard to jurisdictional claims in published maps and institutional affiliations.

Share and Cite

MDPI and ACS Style

Hou, J.; He, B. Effect of Starting Microstructures on the Reverse Transformation Kinetics in Low-Carbon Steel. Metals 2020, 10, 1601. https://doi.org/10.3390/met10121601

AMA Style

Hou J, He B. Effect of Starting Microstructures on the Reverse Transformation Kinetics in Low-Carbon Steel. Metals. 2020; 10(12):1601. https://doi.org/10.3390/met10121601

Chicago/Turabian Style

Hou, Junhua, and Binbin He. 2020. "Effect of Starting Microstructures on the Reverse Transformation Kinetics in Low-Carbon Steel" Metals 10, no. 12: 1601. https://doi.org/10.3390/met10121601

APA Style

Hou, J., & He, B. (2020). Effect of Starting Microstructures on the Reverse Transformation Kinetics in Low-Carbon Steel. Metals, 10(12), 1601. https://doi.org/10.3390/met10121601

Note that from the first issue of 2016, this journal uses article numbers instead of page numbers. See further details here.

Article Metrics

Back to TopTop