Influence of Continuous Annealing Temperature on Mechanical Properties and Texture of Battery Shell Steel
Abstract
1. Introduction
2. Materials and Methods
3. Results and Discussion
3.1. Microstructure of the Annealed Sheet
3.2. Mechanical Properties
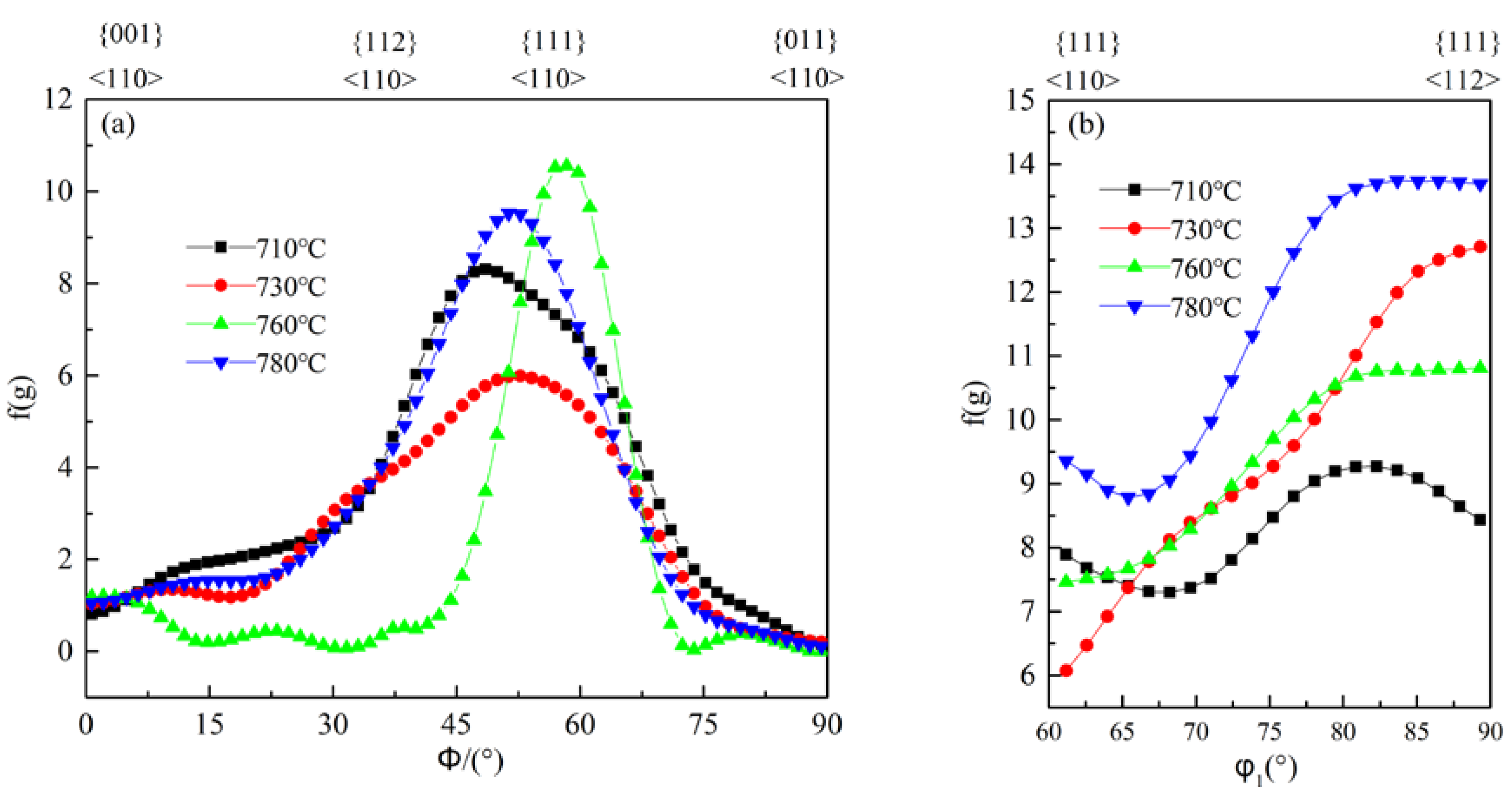
3.3. Texture Analysis by EBSD
4. Conclusions
- In the continuous annealing process of battery shell steel, with the increase of annealing temperature, the recrystallization of ferrite phase was more complete and the average grain size was larger. Besides, both yield strength and tensile strength decreased, while the fracture elongation and r value increased.
- The annealed sheets contained strong γ fibers and weak α fibers. The density of {111} <112> texture was the highest, followed by {111} <110> and {112} <110> textures. Besides the content of {001} texture was extremely low.
- As annealing temperature rose, the volume fraction of {111} textures increased, while volume fraction of {001} textures decreased, causing a higher value of {111}/{001}, which is an important factor affecting the r value and the deep drawability.
Author Contributions
Funding
Conflicts of Interest
References
- Zhao, H.-B.; Li, M.-L.; Li, M.-Y. Research progress and application situation of steel for battery box of battery electric vehicles. Hebei Metal. 2016, 9, 1–4. [Google Scholar]
- Wang, X.-H. Non-metallic inclusion control technology for high quality cold rolled steel sheets. J. Iron Steel 2013, 48, 1–7. [Google Scholar]
- Asensio, J.; Romano, G.; Martinez, V.J.; Verdeja, J.I.; Pero-Sanz, J.A. Ferritic steels optimization of hot-rolled textures through cold rolling and annealing. Mater. Charact. 2001, 47, 119–127. [Google Scholar] [CrossRef]
- Xue, F.; Liu, J.-L.; Ji, S.-K.; Fan, Y.-H. Discussion on typical surface defects of battery shell and their causes. Baosteel Tech. 2014, 5, 67–75. [Google Scholar]
- černík, M.; Gburík, R.; Hrabčáková, L.; Vranec, P. Texture analysis of tinplate steel and its application in production of double reduced high strength tinplate grades with controlled earing properties. Mater. Sci. Eng. 2015, 82, 012108. [Google Scholar]
- Zhao, H.; Rama, S.C.; Barber, G.C.; Wang, Z.; Wang, X. Experimental study of deep drawability of hot rolled IF steel. J. Mater. Process. Technol. 2002, 128, 73–79. [Google Scholar] [CrossRef]
- Pasi, J.; Dierk, R.; Pentti, K.; Tero, K.; Gerd, B. Optimizing continuous annealing of Interstitial-Free steels for improving deep drawability. Metall. Mater. Trans. A 2001, 32, 1989–1995. [Google Scholar]
- He, T.; Liu, Y.-D.; Sun, W.; Zuo, L. Formation of nuclei with {111}<110> and {111}<112> orientations of IF steel at early stage of recrystallization using EBSD analysis. J. Iron Steel Res. Int. 2012, 20, 61–66. [Google Scholar] [CrossRef]
- Hirosuke, I. Fundamental aspect of texture formation in low carbon steel. ISIJ Int. 1994, 34, 313–321. [Google Scholar]
- Wauthier, A.; Chauveau, T.; Castelnau, O.; Réglé, H.; Bacroix, B. The evolution with strain of the stored energy in different texture components of cold-rolled IF steel revealed by high resolution X-ray diffraction. Mater. Charact. 2015, 104, 31–41. [Google Scholar] [CrossRef]
- Wierzbanowski, K.; Baczmanński, A.; Tarasiuk, J.; Lipinski, P.; Bacroix, B.; Lodin, A. Stored energy and recrystallization in cold rolled steel. Mater. Sci. Forum 2007, 558, 1207–1212. [Google Scholar] [CrossRef]
- Yang, P.; Li, Z.-C.; Mao, W.-M.; Zhao, Z.-S. Formation of he {111}<112> annealing texture in steels. Trans. Mater. Heat Treat. 2009, 30, 46–52. [Google Scholar]
- Starink, M.J.; Wang, S.C. A model for the yield strength of overaged Al−Zn−Mg−Cu alloys. Acta Mater. 2003, 51, 5131–5150. [Google Scholar] [CrossRef]
- Liao, L.-H.; Zheng, X.-F.; Kang, Y.-L.; Liu, W.; Yan, Y.; Mo, Z.-Y. Crystallographic texture and earing behavior analysis for different second cold reductions of double-reduction tinplate. Int. J. Miner. Metall. Mater. 2018, 25, 652–662. [Google Scholar] [CrossRef]
- Xie, Q.-G.; Wang, Q.-L.; Luo, H.-W. Texture evolution of semi-processed non-oriented silicon steel with temper rolling. Int. J. Miner. Metall. Mater. 2009, 31, 855–866. [Google Scholar]
- Meng, X.-C.; Luo, T.-L.; Shi, B.-H. Evolution rules of microstructure and property of sheets in CSP-CDCM-BA process. J. Iron Steel Res. 2007, 19, 40–44. [Google Scholar]
- Radosław, W.; Olgierd, G.; Anna, K.; Mieczysław, K. Friction welding of tungsten heavy alloy with aluminium alloy. J. Mater. Process. Technol. 2017, 246, 42–55. [Google Scholar]








| C | Si | Mn | S | P | Alt | Ti | N |
|---|---|---|---|---|---|---|---|
| ≤0.010 | ≤0.300 | 0.100–0.500 | ≤0.010 | ≤0.015 | 0.010–0.070 | 0.010–0.050 | ≤0.003 |
| Annealing Temperature/°C | {111} <112>/% | {111} <110>/% | {112} <110>/% | {001} <110>/% | {001} <001>/% | {111}/% | {001}/% | {111}/{001} |
|---|---|---|---|---|---|---|---|---|
| 710 | 42.30 | 33.00 | 22.20 | 5.15 | 1.07 | 68.80 | 11.00 | 6.25 |
| 730 | 44.11 | 29.80 | 24.20 | 4.91 | 0.87 | 69.80 | 9.41 | 7.42 |
| 760 | 44.00 | 32.40 | 24.30 | 4.11 | 1.79 | 70.30 | 9.55 | 7.36 |
| 780 | 46.30 | 33.20 | 26.00 | 4.55 | 1.34 | 73.40 | 8.92 | 8.23 |
© 2019 by the authors. Licensee MDPI, Basel, Switzerland. This article is an open access article distributed under the terms and conditions of the Creative Commons Attribution (CC BY) license (http://creativecommons.org/licenses/by/4.0/).
Share and Cite
Ning, B.; Zhao, Z.; Mo, Z.; Wu, H.; Peng, C.; Gong, H. Influence of Continuous Annealing Temperature on Mechanical Properties and Texture of Battery Shell Steel. Metals 2020, 10, 52. https://doi.org/10.3390/met10010052
Ning B, Zhao Z, Mo Z, Wu H, Peng C, Gong H. Influence of Continuous Annealing Temperature on Mechanical Properties and Texture of Battery Shell Steel. Metals. 2020; 10(1):52. https://doi.org/10.3390/met10010052
Chicago/Turabian StyleNing, Beijia, Zhengzhi Zhao, Zhiying Mo, Hong Wu, Chong Peng, and Honggen Gong. 2020. "Influence of Continuous Annealing Temperature on Mechanical Properties and Texture of Battery Shell Steel" Metals 10, no. 1: 52. https://doi.org/10.3390/met10010052
APA StyleNing, B., Zhao, Z., Mo, Z., Wu, H., Peng, C., & Gong, H. (2020). Influence of Continuous Annealing Temperature on Mechanical Properties and Texture of Battery Shell Steel. Metals, 10(1), 52. https://doi.org/10.3390/met10010052

