Sign in to use this feature.

Years

Between: -

Subjects

remove_circle_outline
remove_circle_outline
remove_circle_outline
remove_circle_outline
remove_circle_outline
remove_circle_outline
remove_circle_outline
remove_circle_outline
remove_circle_outline

Journals

remove_circle_outline
remove_circle_outline
remove_circle_outline
remove_circle_outline
remove_circle_outline
remove_circle_outline
remove_circle_outline
remove_circle_outline
remove_circle_outline
remove_circle_outline
remove_circle_outline
remove_circle_outline
remove_circle_outline
remove_circle_outline

Article Types

Countries / Regions

remove_circle_outline
remove_circle_outline
remove_circle_outline
remove_circle_outline
remove_circle_outline
remove_circle_outline
remove_circle_outline

Search Results (3,509)

Search Parameters:
Keywords = annealing temperature

Order results
Result details
Results per page
Select all
Export citation of selected articles as:
21 pages, 10735 KB  
Article
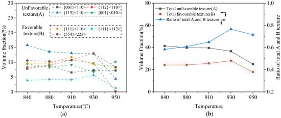
Effect of Annealing Temperature on the Microstructure, Texture, and Properties of Hot-Rolled Ferritic Stainless Steel with Preferential α-Fiber Orientation
by Rongxun Piao, Jinhui Zhang, Gang Zhao and Junhai Wang
Materials 2026, 19(2), 293; https://doi.org/10.3390/ma19020293 (registering DOI) - 11 Jan 2026
Abstract
For hot-rolled ferritic stainless steels with preferential α-fiber texture, the strong α-fiber texture is retained after annealing, greatly affecting the texture and plastic formability during the subsequent cold-rolling process. For optimizing the texture of hot-rolled steels toward the favorable γ-fiber type, it is [...] Read more.
For hot-rolled ferritic stainless steels with preferential α-fiber texture, the strong α-fiber texture is retained after annealing, greatly affecting the texture and plastic formability during the subsequent cold-rolling process. For optimizing the texture of hot-rolled steels toward the favorable γ-fiber type, it is essential to control the annealing temperature in the annealing process. To investigate the evolution of the microstructure, texture, and properties of hot-rolled ferritic stainless steel with preferential α-fiber orientation, a series of annealing tests was performed at the lab scale at 800, 840, 880, 910, 930, and 950 °C for 3 min. The microstructure, texture, and grain boundary characteristics of the tested samples were analyzed using optical microscopy (OM) and electron back-scattered diffraction (EBSD). The mechanical properties and plastic strain ratio (r-value) were determined through universal tensile testing. The results show that at temperatures above 840 °C, more than 93% of recrystallization occurs, leading to significant microstructural refinement. The α-fiber texture intensity typically diminishes with rising temperature, whereas the γ-fiber texture initially weakens during the early stages of recrystallization (below 840 °C) and subsequently exhibits a slight increase at higher temperatures. The improved formability of the material is mainly attributed to microstructural refinement and texture refinement, as reflected by the I(γ)/I(α) texture intensity ratio. At an annealing temperature of 930 °C, the I(γ)/I(α) ratio peaks at 0.85, static toughness is maximized, the strain-hardening exponent (n) reaches a high value of 0.28, and the maximum average plastic strain ratio (r¯) is 0.96. This result represents the optimum balance between mechanical properties and formability, making it suitable for subsequent cold-rolling. Full article
(This article belongs to the Special Issue Processing of Metals and Alloys)
Show Figures

Figure 1

15 pages, 5084 KB  
Article
First-Principles Study of the Formation and Stability of the Interstitial and Substitutional Hydrogen Impurity in Magnesium Oxide
by A. G. Marinopoulos
Condens. Matter 2026, 11(1), 2; https://doi.org/10.3390/condmat11010002 - 9 Jan 2026
Abstract
Hydrogen is frequently incorporated in alkaline-earth oxides during crystal growth or post-deposition annealing. For MgO, several studies in the past showed that interstitial monatomic hydrogen can also favourably bind with oxygen vacancies to form stable substitutional defect complexes (substitutional hydrogen or U-defect centers). [...] Read more.
Hydrogen is frequently incorporated in alkaline-earth oxides during crystal growth or post-deposition annealing. For MgO, several studies in the past showed that interstitial monatomic hydrogen can also favourably bind with oxygen vacancies to form stable substitutional defect complexes (substitutional hydrogen or U-defect centers). The present study reports first-principles density-functional calculations of the formation energies of both interstitial and substitutional forms of the hydrogen impurity in MgO. Determination of the site-resolved densities of electronic states allowed for a detailed identification of the nature of the impurity-induced levels, both in the valence-energy region and inside the band gap of the host. The stability and diffusion mechanisms of both hydrogen defects was also studied with the aid of nudged elastic-band (NEB) calculations. Interstitial hydrogen was found to be an amphoteric defect with the lower formation energy for any realistic environment conditions (temperature and oxygen partial pressure). The NEB calculations showed that it is a fast-diffusing species when it is thermodynamically stable as a positively-charged state (bare proton). In contrast, the hydrogen-vacancy complex is a shallow donor, extremely stable against dissociation and virtually immobile as an isolated defect. Its formation is found to be favoured for a range of mid-gap Fermi-level positions where positively-charged interstitial hydrogen and neutral oxygen vacancies (F centers) are both thermodynamically stable low-energy defects. The present findings are consistent with the established consensus on the electrical activity of hydrogen in MgO as well as with experimental observations reporting the remarkable thermal stability of substitutional hydrogen defects and their ability to act as electron traps. Full article
(This article belongs to the Section Condensed Matter Theory)
23 pages, 4098 KB  
Review
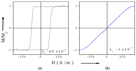
Contactless Inductive Sensors Using Glass-Coated Microwires
by Larissa V. Panina, Adrian Acuna, Nikolay A. Yudanov, Alena Pashnina, Valeriya Kolesnikova and Valeria Rodionova
Sensors 2026, 26(2), 428; https://doi.org/10.3390/s26020428 - 9 Jan 2026
Viewed by 123
Abstract
This paper explores the potential of amorphous and nanocrystalline glass-coated microwires as highly versatile, miniaturized sensing elements, leveraging their intrinsic nonlinear magnetization dynamics. In magnetic systems, this approach is particularly advantageous because the degree of nonlinearity can be externally tuned using stimuli such [...] Read more.
This paper explores the potential of amorphous and nanocrystalline glass-coated microwires as highly versatile, miniaturized sensing elements, leveraging their intrinsic nonlinear magnetization dynamics. In magnetic systems, this approach is particularly advantageous because the degree of nonlinearity can be externally tuned using stimuli such as applied magnetic fields, mechanical stress, or temperature variations. From this context, we summarize key properties of microwires—including bistability, a specific easy magnetization direction, internal stress distributions, and magnetostriction—that can be tailored through composition and annealing. In this review, we compare for the first time two key contactless readout methodologies: (i) time-domain detection of the switching field and (ii) frequency-domain harmonic analysis of the induced voltage. These principles have been successfully applied to a broad range of practical sensors, including devices for monitoring mechanical stress in structural materials, measuring temperature in biomedical settings, and detecting magnetic particles. Together, these advances highlight the potential of microwires for embedded, wireless sensing in both engineering and medical applications. Full article
(This article belongs to the Special Issue Recent Trends and Advances in Magnetic Sensors)
Show Figures

Figure 1

9 pages, 1999 KB  
Communication
A Rapid Spheroidizing Annealing Process for High-Carbon Steel
by Bei Li, Zhi Tong, Mengying Zhao, Xinlang Wu and Wenyue Zheng
Materials 2026, 19(2), 249; https://doi.org/10.3390/ma19020249 - 8 Jan 2026
Viewed by 118
Abstract
Spheroidizing annealing is a critical heat treatment process for high-carbon steels to balance hardness and machinability. This study develops a rapid spheroidizing annealing process by employing low-temperature pretreatment followed by subcritical heating. The key is to utilize carbide precipitates from non-equilibrium phases (e.g., [...] Read more.
Spheroidizing annealing is a critical heat treatment process for high-carbon steels to balance hardness and machinability. This study develops a rapid spheroidizing annealing process by employing low-temperature pretreatment followed by subcritical heating. The key is to utilize carbide precipitates from non-equilibrium phases (e.g., martensite/lower bainite) as nucleation sites, thereby accelerating spheroidization. At an optimized pretreatment temperature of 400 °C, the process achieves a homogeneous spheroidized microstructure with a hardness of 206.7 HV, comparable to that obtained via conventional prolonged annealing. This method significantly reduces processing time and energy consumption. Full article
Show Figures

Figure 1

14 pages, 8098 KB  
Article
Effect of Torsion on Microstructure and Mechanical Properties of Medium Manganese Steel
by Ze Ji, Lihui Sun, Yaliang Liu, Liguang Wang, Jingyi Zhou, Guolong Liu, Hongyang Li, Ruchao Zhang, Minghe Zhang and Yunli Feng
Coatings 2026, 16(1), 64; https://doi.org/10.3390/coatings16010064 - 6 Jan 2026
Viewed by 113
Abstract
In this study, a multi-gradient microstructure was introduced into medium-Mn steel through torsion following heat treatment at different annealing temperatures, and through investigations on the mechanical properties under two annealing temperatures, it has also been revealed that different annealing temperatures before torsion affect [...] Read more.
In this study, a multi-gradient microstructure was introduced into medium-Mn steel through torsion following heat treatment at different annealing temperatures, and through investigations on the mechanical properties under two annealing temperatures, it has also been revealed that different annealing temperatures before torsion affect the stability of austenite after torsion, thereby leading to distinct variations in mechanical performance. The yield strengths of the studied steel after annealing at 600 °C and 620 °C were 762 MPa and 673 MPa, with total elongation of 47.4% and 44.1%, respectively. After 90° torsion, the yield strength of experimental steels increased to 834 MPa and 808 MPa, while the elongation decreased to 21.6% and 29.5%, respectively. The gradient distributions from the center to the edge were observed for the austenite volume fraction, average grain size, martensite volume fraction, GND density, and hardness. The comparative analysis of the two annealing temperatures indicates that the larger grain size in the 620—annealed sample leads to its lower yield strength, while its higher austenite volume fraction and moderate stability promote a more sustained TRIP effect during deformation, contributing to its enhanced elongation. This multi-gradient microstructure is responsible for the yield strength improvements of 72 MPa and 135 MPa in the torsioned samples annealed at 600 °C and 620 °C, respectively. Full article
(This article belongs to the Special Issue Surface Treatment and Mechanical Properties of Metallic Materials)
Show Figures

Figure 1

13 pages, 3978 KB  
Article
Terahertz Modulation of Silicon-Based Lead-Free Small-Bandgap Cs2CuSbCl6 Double Perovskite Nanocrystals
by Xintian Song, Zhongxin Zhang, Reyihanguli Tudi, Abulimiti Yasen, Mei Xiang and Bumaliya Abulimiti
Optics 2026, 7(1), 5; https://doi.org/10.3390/opt7010005 - 4 Jan 2026
Viewed by 131
Abstract
In this work, we synthesized a lead-free halide double perovskite, Cs2CuSbCl6, with high carrier mobility via a one-pot hot-injection method. When combined with a high-resistivity silicon wafer, it forms a Type-II heterojunction structure, and its modulation depth reaches 84% [...] Read more.
In this work, we synthesized a lead-free halide double perovskite, Cs2CuSbCl6, with high carrier mobility via a one-pot hot-injection method. When combined with a high-resistivity silicon wafer, it forms a Type-II heterojunction structure, and its modulation depth reaches 84% by adjusting the annealing temperature. It demonstrates promising modulation performance at 532 nm. Owing to its strong absorption in the ultraviolet region, Cs2CuSbCl6 shows potential for application in ultraviolet-controlled terahertz modulation. Full article
(This article belongs to the Special Issue Terahertz Optics: Sciences, Technologies and Applications)
Show Figures

Figure 1

39 pages, 2355 KB  
Review
Life-Cycle Assessment of Innovative Industrial Processes for Photovoltaic Production: Process-Level LCIs, Scale-Up Dynamics, and Recycling Implications
by Kyriaki Kiskira, Nikitas Gerolimos, Georgios Priniotakis and Dimitrios Nikolopoulos
Appl. Sci. 2026, 16(1), 501; https://doi.org/10.3390/app16010501 - 4 Jan 2026
Viewed by 124
Abstract
The rapid commercialization of next-generation photovoltaic (PV) technologies, particularly perovskite, thin-film roll-to-roll (R2R) architectures, and tandem devices, requires robust assessment of environmental performance at the level of industrial manufacturing processes. Environmental impacts can no longer be evaluated solely at the device or module [...] Read more.
The rapid commercialization of next-generation photovoltaic (PV) technologies, particularly perovskite, thin-film roll-to-roll (R2R) architectures, and tandem devices, requires robust assessment of environmental performance at the level of industrial manufacturing processes. Environmental impacts can no longer be evaluated solely at the device or module level. Although many life-cycle assessment (LCA) studies compare silicon, cadmium telluride (CdTe), copper indium gallium selenide (CIGS), and perovskite technologies, most rely on aggregated indicators and database-level inventories. Few studies systematically compile and harmonize process-level life-cycle inventories (LCIs) for the manufacturing steps that differentiate emerging industrial routes, such as solution coating, R2R processing, atomic layer deposition, low-temperature annealing, and advanced encapsulation–metallization strategies. In addition, inconsistencies in functional units, system boundaries, electricity-mix assumptions, and scale-up modeling continue to limit meaningful cross-study comparison. To address these gaps, this review (i) compiles and critically analyzes process-resolved LCIs for innovative PV manufacturing routes across laboratory, pilot, and industrial scales; (ii) quantifies sensitivity to scale-up, yield, throughput, and electricity carbon intensity; and (iii) proposes standardized methodological rules and open-access LCI templates to improve reproducibility, comparability, and integration with techno-economic and prospective LCA models. The review also synthesizes current evidence on recycling, circularity, and critical-material management. It highlights that end-of-life (EoL) benefits for emerging PV technologies are highly conditional and remain less mature than for crystalline-silicon systems. By shifting the analytical focus from technology class to manufacturing process and life-cycle configuration, this work provides a harmonized evidence base to support scalable, circular, and low-carbon industrial pathways for next-generation PV technologies. Full article
(This article belongs to the Special Issue Life Cycle Assessment in Sustainable Materials Manufacturing)
Show Figures

Graphical abstract

17 pages, 5992 KB  
Article
Development and Evaluation of Quadruplex Droplet Digital PCR Method to Multiplex Detection of Different Respiratory Pathogens of Chickens
by Yingli Mu, Xuejing Wang, Tongchao Dong, Xinran Bao, Qianqian Xu, Tianxiang Lan, Juxiang Liu and Ligong Chen
Animals 2026, 16(1), 139; https://doi.org/10.3390/ani16010139 - 3 Jan 2026
Viewed by 224
Abstract
Chicken respiratory diseases represent multifactorial conditions resulting from viral, bacterial, mycoplasmal pathogens, and environmental factors, causing significant economic losses within the poultry industry. A specific respiratory disease characterized by breathing difficulties and bronchial occlusion due to caseous exudates is termed chicken bronchial obstruction. [...] Read more.
Chicken respiratory diseases represent multifactorial conditions resulting from viral, bacterial, mycoplasmal pathogens, and environmental factors, causing significant economic losses within the poultry industry. A specific respiratory disease characterized by breathing difficulties and bronchial occlusion due to caseous exudates is termed chicken bronchial obstruction. However, the absence of rapid, precise, and highly sensitive diagnostic methods for differentiation of primary respiratory disease pathogens or opportunistic pathogens, including avian influenza virus (AIV), infectious bronchitis virus (IBV), Pseudomonas aeruginosa (P. aeruginosa), and Escherichia coli (E. coli), constitutes a substantial challenge. This study developed a quadruplex droplet digital polymerase chain reaction (ddPCR) method that targeted the HA gene of H9 subtype AIV, the M gene of IBV, the Pal gene of P. aeruginosa, and the UidA gene of E. coli. Following the optimization of annealing temperature, sensitivity, and repeatability, the minimum detectable concentrations were determined as 3.02 copies/μL for the HA gene of H9 subtype AIV, 3.08 copies/μL for the M gene of IBV, 3.19 copies/μL for the Pal gene of P. aeruginosa, 3.39 copies/μL for the UidA gene of E. coli. No cross-reactivity was observed with Newcastle disease virus (NDV), H5 subtype AIV, H7 subtype AIV, fowl adenovirus serotype 4 (FAdV-4), infectious laryngotracheitis virus (ILTV), Avibacterium paragallinarum, Streptococcus, Salmonella, Pasteurella multocida, and Staphylococcus aureus. The method demonstrated excellent repeatability, with a coefficient of variation (CV) below 9%. The 185 clinical samples collected in Hebei Province China are tested by both quadruplex ddPCR and quadruplex qPCR method and the results compared. The sensitivity of the quadruplex ddPCR method (57.30%; 106/185) slightly exceeded that of the quadruplex qPCR method (49.73%; 92/185). Pathogens or opportunistic pathogens positive rates obtained via the quadruplex ddPCR were 40.00% for H9 subtype AIV, 33.51% for IBV, 24.32% for P. aeruginosa, and 27.57% for E. coli. In comparison, the positive rates of H9 subtypes AIV, IBV, P. aeruginosa, and E. coli from the quadruplex qPCR were 36.22%, 30.81%, 21.62%, and 24.32%, respectively. The coincidence rates between the two methods were 96.22% for H9 AIV, 97.30% for IBV, 97.30% for P. aeruginosa, and 96.76% for E. coli. These results demonstrated that the quadruplex ddPCR method represented a highly sensitive, specific, and rapid technique for identifying H9 subtype AIV, IBV, P. aeruginosa, and E. coli. Full article
(This article belongs to the Special Issue Advances in Molecular Diagnostics in Veterinary Sciences)
Show Figures

Figure 1

13 pages, 7973 KB  
Article
High-Temperature Annealing of Random Telegraph Noise in a Stacked CMOS Image Sensor After Hot-Carrier Stress
by Calvin Yi-Ping Chao, Thomas Meng-Hsiu Wu, Charles Chih-Min Liu, Shang-Fu Yeh, Chih-Lin Lee, Honyih Tu, Zhong-Da Wu, Joey Chiao-Yi Huang and Chin-Hao Chang
Sensors 2026, 26(1), 282; https://doi.org/10.3390/s26010282 - 2 Jan 2026
Viewed by 233
Abstract
This paper studies the temperature effects on device aging, particularly the random telegraph noise (RTN) degradation and the threshold voltage (Vt) shift in a stacked CMOS image sensor (CIS) caused by hot-carrier stress (HCS). Measurements indicate that both are worse [...] Read more.
This paper studies the temperature effects on device aging, particularly the random telegraph noise (RTN) degradation and the threshold voltage (Vt) shift in a stacked CMOS image sensor (CIS) caused by hot-carrier stress (HCS). Measurements indicate that both are worse when stressed at lower temperatures. Further, the RTN traps generated by HCS can be deactivated effectively by a subsequent high-temperature annealing at 240 °C for up to 360 min. In contrast, the RTN traps in chips not stressed by hot carriers are essentially unaffected by annealing at the same temperature for the same amount of time. This suggests that the physical structure of the RTN traps caused by process-induced damage (PID) without HCS might be different from that generated by HCS. The exact microscopic nature of the differences between these two kinds of RTN traps is not clear and requires further investigation. This work also suggests that RTN degradation could be a useful indicator for device aging for reliability testing and modeling. Full article
Show Figures

Figure 1

17 pages, 2958 KB  
Article
Thermally Stable and Energy Efficient Newly Synthesized Bipolar Emitters for Yellow and Green OLED Devices
by Anil Kumar, Sushanta Lenka, Kapil Patidar, Chih-An Tung, Ming Yu Luo, Raminta Beresneviciute, Gintare Krucaite, Daiva Tavgeniene, Dovydas Blazevicius, Bernadeta Blazeviciute, Jwo-Huei Jou and Saulius Grigalevicius
Molecules 2026, 31(1), 158; https://doi.org/10.3390/molecules31010158 - 1 Jan 2026
Viewed by 224
Abstract
Organic light-emitting diodes (OLEDs) have emerged as a leading high-resolution display and lighting technology, as well as for photo-therapeutic applications, due to their light weight, flexibility, and excellent color rendering. However, achieving long-term thermal stability and high energy efficiency remains a principal issue [...] Read more.
Organic light-emitting diodes (OLEDs) have emerged as a leading high-resolution display and lighting technology, as well as for photo-therapeutic applications, due to their light weight, flexibility, and excellent color rendering. However, achieving long-term thermal stability and high energy efficiency remains a principal issue for their widespread adoption. Strong thermal robustness in OLED emitter materials is a critical parameter for achieving long device lifetimes, stable film morphology, reliable high-temperature processing, and sustained interface integrity in high-performance hosts. Bipolar emitters RB14 (N-(9-ethylcarbazole-3-yl)-4-(diphenylamino)phenyl-9H-carbazole-9-yl-1,8-naphthalimide), RB18 (N-phenyl-4-(diphenylamino)phenyl-9H-carbazole-9-yl-1,8-naphthalimide), and RB22 (N-phenyl-3-(2-methoxypyridin-3-yl)-9H-carbazole-9-yl-1,8-naphthalimide) were newly synthesized. RB18 is a yellow bipolar OLED emitter that has a glass transition temperature (Tg) of 162 °C and thermal durability (Td) of 431 °C, which is the highest reported value for naphthalimide-based bipolar emitter derivatives for yellow OLEDs. Meanwhile, RB14 and RB22 are green OLED emitters that have glass transition temperatures (Tg) of 133 °C and 167 °C, and thermal durabilities (Td) of 336 °C and 400 °C, respectively. We have fabricated OLED devices using these bipolar emitters dispersed in CBP host matrix, and we have found that the maximum EQEs (%) for RB14, RB18, and RB22 emitter-based devices are 7.93%, 3.40%, and 4.02%, respectively. For confirmation of thermal stability, we also used UV-visible spectroscopy measurements at variable temperatures on annealed spin-coated glass films of these emitter materials and found that RB22 is the most thermally stable emitter among these materials. Full article
Show Figures

Figure 1

16 pages, 4727 KB  
Article
Effect of Single-Pass DSR and Post-Annealing on the Static Recrystallization and Formability of Mg-Based Alloys
by Christopher Hale, Zhigang Xu, Prithu Dhar, Svitlana Fialkova and Jagannathan Sankar
Metals 2026, 16(1), 55; https://doi.org/10.3390/met16010055 - 1 Jan 2026
Viewed by 130
Abstract
Differential speed rolling (DSR) has been recognized as a unique processing technique in recent years, which has been used to plastically deform Mg-based alloys and to investigate the role of dynamic recrystallization (DRX) and its influence on both microstructure and mechanical properties. In [...] Read more.
Differential speed rolling (DSR) has been recognized as a unique processing technique in recent years, which has been used to plastically deform Mg-based alloys and to investigate the role of dynamic recrystallization (DRX) and its influence on both microstructure and mechanical properties. In this study, Mg–2Al–0.5Ca–0.5Mn (AXM20504) was solution-heat-treated (T4 condition) and subjected to single-pass DSR at both 20 and 40% thickness reductions, followed by post-annealing at temperatures of 350, 400, and 450 °C for the durations of 20, 40, and 60 min to evaluate the onset and development of static recrystallization (SRX) and its overall effect on the formability of Mg-based alloys. The results demonstrate how post-annealing yields nearly complete SRX at 400 °C for 60 min and 450 °C for 40 min with a significant improvement in ductility, increasing from 5% to 12% while maintaining an average tensile strength above 200 MPa. Thus, the improvement in mechanical properties demonstrates that post-annealing can deliver significant potential in terms of the enhanced formability of Mg alloys used in sheet metal forming applications. Full article
(This article belongs to the Special Issue Light Alloy and Its Application (3rd Edition))
Show Figures

Graphical abstract

13 pages, 5136 KB  
Article
Precipitation of β-Mn in the Form of Widmanstätten Side-Plates in the Ferrite Matrix of an Fe–28.6 Mn–10.9 Al Alloy Steel
by Rosemary Chemeli Korir and Wei-Chun Cheng
Materials 2026, 19(1), 133; https://doi.org/10.3390/ma19010133 - 30 Dec 2025
Viewed by 212
Abstract
The microstructural evolution and phase stability in Fe–Mn–Al alloys play a decisive role in determining their mechanical performance and potential applications. This study investigates the precipitation behavior and crystallography of the β-Mn phase in an Fe–28.6 Mn–10.9 Al (wt.%) alloy subjected to annealing [...] Read more.
The microstructural evolution and phase stability in Fe–Mn–Al alloys play a decisive role in determining their mechanical performance and potential applications. This study investigates the precipitation behavior and crystallography of the β-Mn phase in an Fe–28.6 Mn–10.9 Al (wt.%) alloy subjected to annealing at 1100 °C, followed by water quenching and subsequent isothermal holding at temperatures between 500 °C and 900 °C for 20 h. Microstructural analysis using X-ray diffraction, optical and electron microscopy revealed a single body-centered cubic (BCC) ferritic matrix above 850 °C and the formation of β-Mn precipitates with Widmanstätten side-plate morphology at lower temperatures. The β-Mn phase was thermally stable between ~500 °C and 850 °C, with the volume fraction increasing with temperature and reaching a maximum near 650 °C. The β-Mn precipitates coarsened progressively with increasing temperature and were found to be richer in Mn than the surrounding Fe-rich BCC matrix. Crystallographic analysis established an orientation relationship (OR) of (021¯)β // (100)α and [1¯12]β // [012]α, where // denotes nearly parallel alignment, signifying a semi-coherent interface between the two structures. These findings clarify β-Mn precipitation, its interfacial relationship with ferrite, and its thermal stability in high-Mn Fe–Mn–Al alloys, offering guidance for microstructural design in next-generation lightweight steels. Full article
Show Figures

Graphical abstract

26 pages, 15574 KB  
Article
Tensile and Structural Performance of Annealed 3D-Printed Polymer Composite Impellers for Pump-as-Turbine Applications in District Heating Networks
by Dominik Błoński, Grzegorz Romanik, Michał Augustyn and Paweł Regucki
Materials 2026, 19(1), 127; https://doi.org/10.3390/ma19010127 - 30 Dec 2025
Viewed by 185
Abstract
This study investigates the mechanical performance of three temperature-resistant 3D-printable polymer composites for turbine impellers used in district heating networks for pressure reduction. Using fused deposition modeling (FDM), tensile strength and deformation of ASA-X CF10, PA6-GF30, and ePAHT-CF15 were evaluated at temperatures representative [...] Read more.
This study investigates the mechanical performance of three temperature-resistant 3D-printable polymer composites for turbine impellers used in district heating networks for pressure reduction. Using fused deposition modeling (FDM), tensile strength and deformation of ASA-X CF10, PA6-GF30, and ePAHT-CF15 were evaluated at temperatures representative of real operating conditions (60–130 °C). These polymer composites were systematically tested, with particular emphasis on annealed ePAHT-CF15. Results demonstrated that annealing significantly improved mechanical performance, yielding higher tensile strength, Young’s modulus, and reduced deformation. Structural analyses confirmed that ePAHT-CF15, particularly when annealed at 200 °C, exhibited superior thermal stability and rigidity, making it the optimal material choice for high-temperature turbine impeller applications. These findings support the design of 3D-printed composite impellers for pump-as-turbine applications in district heating systems, where high stiffness and heat resistance are required. Full article
(This article belongs to the Special Issue Additive Manufacturing for Advanced Thermal Management Systems)
Show Figures

Figure 1

20 pages, 5344 KB  
Article
Photoluminescence and Scintillation Properties of Ce3+-Doped GdBO3 Nanoscintillator Sensors: Effect of Some Synthesis Parameters
by Lakhdar Guerbous, Mourad Seraiche, Ahmed Rafik Touil, Zohra Akhrib and Rachid Mahiou
Micromachines 2026, 17(1), 34; https://doi.org/10.3390/mi17010034 - 28 Dec 2025
Viewed by 167
Abstract
Cerium (Ce3+)-doped gadolinium orthoborate (GdBO3) phosphor powders were synthesized via an aqueous sol–gel route, with systematic variation in solution pH (2, 5, and 8) and annealing temperature (600–1200 °C, in 100 °C increments) to investigate their influence on structural, [...] Read more.
Cerium (Ce3+)-doped gadolinium orthoborate (GdBO3) phosphor powders were synthesized via an aqueous sol–gel route, with systematic variation in solution pH (2, 5, and 8) and annealing temperature (600–1200 °C, in 100 °C increments) to investigate their influence on structural, optical, and scintillation properties. The materials were comprehensively characterized using thermogravimetric and differential thermal analysis (TG–DTA) to assess thermal behavior, X-ray diffraction (XRD) for crystal structure determination, Fourier-transform infrared spectroscopy (FTIR) for vibrational analysis, and both photoluminescence (PL) and radioluminescence (RL) spectroscopies to evaluate optical and scintillation performance. All samples crystallized in the hexagonal GdBO3 vaterite phase (space group P63/mcm). The PL and RL emission spectra were consistent with the Ce3+ 5d–4f transitions, and scintillation yields under X-ray excitation were quantified relative to a standard Gadox phosphor. A decrease in photoluminescence quantum yield (PLQY) was observed at annealing temperatures above 800 °C, which is attributed to the incorporation of Ce3+ into the host lattice. Scintillation decay profiles were recorded, enabling extraction of timing kinetics parameters. Overall, the results reveal clear correlations between synthesis conditions, structural evolution, and luminescence behavior, providing a rational basis for the optimization of Ce3+-doped GdBO3 phosphors for scintillation applications. Full article
Show Figures

Figure 1

23 pages, 7325 KB  
Article
3D Multilayered DDM-Modified Nickel Foam Electrode for Advanced Alkaline Water Electrolysis
by Elitsa Petkucheva, Galin Borisov, Jordan Iliev, Elefteria Lefterova and Evelina Slavcheva
Molecules 2026, 31(1), 69; https://doi.org/10.3390/molecules31010069 - 24 Dec 2025
Viewed by 403
Abstract
Advanced alkaline water electrolysis (AWE) in “zero-gap” configuration is a promising approach for low-temperature hydrogen production, but its efficiency strongly depends on the design and surface chemistry of nickel-based electrodes. Here, we present a simple dip-and-drying method (DDM) to modify commercial nickel foam [...] Read more.
Advanced alkaline water electrolysis (AWE) in “zero-gap” configuration is a promising approach for low-temperature hydrogen production, but its efficiency strongly depends on the design and surface chemistry of nickel-based electrodes. Here, we present a simple dip-and-drying method (DDM) to modify commercial nickel foam with a Ni–FeOOH/PTFE microporous catalytic layer and evaluate its electrochemical performance in 1 M KOH and in a laboratory zero-gap cell with a Zirfon® Perl 500 UTP diaphragm, through circulating 25 wt.% KOH. The FeSO4-assisted DDM treatment generates mixed Ni–Fe oxyhydroxide surface species, while PTFE imparts control hydrophobicity, enhancing both catalytic activity and gas-release behavior. Annealing the electrode (DDM-NF-CAT-A) results in a cell voltage of 2.45 V at 1 A·cm−2 and 80 °C, demonstrating moderate performance comparable to other Ni-based electrodes prepared via low-complexity methods, though below that of optimized state-of-the-art zero-gap systems. Short-term durability tests (80 h at 0.5 A·cm−2) indicate stable operation, but long-term industrial performance was not assessed. These findings illustrate the potential of the DDM approach as a simple, low-cost route to structured nickel foam electrodes and provide a foundation for further optimization of catalyst loading, microstructure, and long-term stability for practical AWE applications. Full article
(This article belongs to the Special Issue 30th Anniversary of Molecules—Recent Advances in Electrochemistry)
Show Figures

Figure 1

Back to TopTop