Abstract
Parental concerns about the education of children usually reflect deep-seated anxieties. This study identifies the most influential factors shaping these global concerns based on World Values Survey (WVS) data spanning several decades. Using advanced techniques, including feature selection (Adaptive and Gradient Boosting, Pairwise Correlations, LASSO, Bayesian Model Averaging), mixed-effects modeling, cross-validation procedures, different regressions and overfitting, collinearity, and reverse causality checks together with two-way graphical representations, this study identified three enduring predictors: fear of job loss, fear of war, and respondent age. These findings mainly underline the role of socio-economic and geopolitical stability and security and, in addition, that of generational perspectives in shaping global parental priorities. All three predictors were consistent across seven dataset versions, various subsets considering random (ten-folds) or non-random criteria (different values for socio-demographic variables in mixed-effects models), and distinct feature selection approaches. Secondary influences, including opinions regarding the priority of work in life, other fears, and socio-demographic variables (e.g., gender, number of children, marital and professional status, income, education level, community size, etc.) provided more nuances to this study and additional explanatory power. The findings have implications for designing socio-economically sensitive educational policies that address parental priorities and anxieties in diverse global contexts.
1. Introduction
Education widely stands as a significant determinant of social and economic mobility by profoundly impacting individual well-being and contributing substantially to national development.
The concept of concern, particularly in the educational context, has been explored through psychological, sociological, and economic lenses. The concern can translate into an emotional and cognitive response to perceived risks or uncertainties threatening individual goals or well-being [1,2].
In the context of parenthood, this often increases with fears about children as far as their future is concerned. Such fears are subjective because of individual experiences, cultural norms, and societal challenges.
From a psychological perspective, expectancy–value theory [3,4] posits that individuals prioritize concerns based on their expectations of success and the value they assign to an outcome. The latter suggests that parental concerns about education are linked not just to intrinsic motivations. These concerns also relate to contextual factors that influence their expectations of educational success, such as access to resources, quality of schools, and job market stability.
Sociologically, the ecological systems theory [5] provides a framework for understanding how parental concerns depend on multiple layers of context, ranging from immediate family and school environments to broader societal and geopolitical factors. This theory asserts that macro-level systems, such as political stability and economic conditions, directly impact micro-level concerns [6].
Similarly, economic theories highlight how parental concerns increase with labor market uncertainties and income inequality, which also increase the stakes of educational attainment as a pathway to upward mobility [7,8].
Moreover, for parents, ensuring quality education for their children is often a top priority, representing a symbol of hope for a better future [9] and a safeguard against social and economic challenges [10]. Therefore, it is crucial to investigate the global variations and factors underlying parental concerns about their children in terms of education. By examining these concerns in different cultural, economic, and political contexts, general patterns can result. They can reveal the global priorities and anxieties parents face for educational outcomes.
The importance of parental involvement, as well as an appropriate attitude towards the benefits of education and adequate support, has been documented in the literature. Studies have shown that parental perceptions [11] and concerns about education [12] directly influence decisions about school choice [13], investments in additional educational resources [14], and involvement in the academic life of their children [15,16]. These factors do not affect only individual family units but collectively shape educational systems and policies at local and national levels [17].
Global surveys such as the World Values Survey provide valuable insights into these phenomena by capturing attitudes, beliefs, and values [18] for individuals from diverse backgrounds and geographical contexts [19]. Analyzing variables related to parental worries about education through these surveys helps contextualize how economic conditions, policy frameworks, and cultural norms interact to shape these concerns [20]. For instance, research suggests that in countries with robust public education systems and social safety nets [21], parental anxiety about educational outcomes tends to be lower when compared to nations with less comprehensive systems. The latter could also reflect differences in predictors (some may be specific) and the intensity of the impact of the intersecting ones. However, even in well-resourced countries, factors like economic inequality [22,23,24], urbanization [25], and changing labor markets [26] can amplify parental concerns about education.
Such concerns can also reside in a context given by a specific framework, namely that of Maslow’s hierarchy of needs. The latter emphasizes that human motivation is driven by fulfilling primary and higher-level needs [27]. At the fundamental level of the pyramid are physiological needs, such as food and shelter, followed by safety needs, which include job security, financial stability, and personal security. These needs create a context in which parents view the educational opportunities of their children despite studies that do not fully confirm [28,29,30] or even contradict [31,32] the sequential fulfillment of needs. For many, education seems to be a pathway to ensuring these basic and safety needs are met in the future, offering a route to stable employment, economic security, and societal peace [33], while for others [34] it belongs to the societal (rather than individual) level in the category of psychological needs. However, education falls into different levels of Maslow’s hierarchy of needs [35]. While essential education aligns with security needs (the second level) by providing job security and financial stability, it also supports higher-level needs. Schools provide social interaction and community (level 3: belonging and love), or, in other words, learners experience a sense of love and belonging to the learning group [36] and encourage achievement and recognition (level 4: esteem) [37,38], and advanced education facilitates self-actualization (level 5) [39] through creative and intellectual growth. The pursuit of quality education thus becomes intertwined with the parental drive to secure the well-being of the children and their long-term success. When these foundational needs seem threatened by economic instability or inadequate educational infrastructure [40], parental worries can intensify, influencing their decisions and engagement with the educational system. The understanding of how these basic needs shape parental concerns provides valuable insight into the motivations behind prioritizing education and underscores the role of social and economic conditions in driving these concerns globally.
These perspectives emphasize that concern is not merely an individual emotional response, but a multidimensional construct shaped by structural and contextual factors. These theoretical foundations enrich the study by situating parental concerns about education within broader frameworks of risk perception, social dynamics, and economic pressures. They underscore the importance of addressing structural inequalities and societal challenges to alleviate parental anxieties and support the educational success of children globally.
The shortcomings of earlier research on parental educational concerns are mainly related to the fact that they are focused primarily on individual-level factors, such as parental education or social and economic status. And this applies while overlooking broader socio-political and economic contexts. In addition, existing studies have limits such as regional focus or narrow demographic considerations. By utilizing data from the World Values Survey (WVS), this research extends the understanding of parental concerns by incorporating more variables, including socio-economic and geopolitical factors, across diverse global contexts and benefits from many validation criteria. This broader approach allows for a more comprehensive analysis of how global economic and political instability (together with local social safety nets) intersect to shape parental educational concerns, offering valuable insights for policy development and education-type practices in many settings.
Consequently, the following three main hypotheses can be derived:
H1.
Parental fears about education (of children) strongly correlate with economic and geopolitical instability (as perceived or feared) and other fears. Previous research highlights the significant role of macroeconomic and geopolitical factors in shaping parental concerns about education. Economic instability, such as unemployment and income inequality, intensifies parental fears by increasing the stakes of educational attainment for economic security (Zhang et al., 2015 [22]) (Kim et al., 2017 [8]). Similarly, geopolitical instability, including conflicts and political unrest, disrupts educational systems and exacerbates fears about children as their future is concerned (Burde et al., 2016 [40]). These factors collectively amplify perceptions of risk and uncertainty, influencing parental priorities regarding education (Tang and Song, 2024 [26]).
H2.
The attitude toward work may account for such education-related concerns. The expectancy–value theory posits that parental concerns depend on their perception of the value of education as a pathway to successful career outcomes (Eccles and Wigfield, 2002 [3]) (Lee et al., 2021 [4]). Cultural attitudes toward work, such as job stability and career advancement prioritization, further shape these concerns. In societies where educational attainment is strongly related to labor market success, parents are more likely to worry about their children, as their academic achievements are of concern (Breen and Goldthorpe, 1997 [7]) (Duman et al., 2018 [13]). This connection underscores the importance of work-related attitudes in understanding education-related fears.
H3.
Age, gender, living in large urban centers, and many other socio-demographic variables may create differences in the perception of this type of education-related fear. Socio-demographic factors, such as age and gender, are well-known as able to shape risk perception and priorities, including education-related concerns (Van Der Pligt, 1998 [2]) (Tollefson and Tsui, 2014 [25]). Younger parents, for instance, may prioritize educational outcomes due to their longer-term focus on children (in terms of their future), while older parents may prioritize stability. Gender differences also play a role, as mothers often report higher levels of concern about education due to their involvement in daily caregiving activities (Anderson and Minke, 2007 [15]) (Hill and Tyson, 2009 [17]). Urbanization introduces additional complexities, as parents in large urban centers face unique challenges such as the overcrowding of schools, competition for resources, and disparities in educational quality (Zhang et al., 2024 [24]) (Yang and Oh, 2024 [20]).
2. Materials and Methods
This article started with one of the most recent and comprehensive versions of World Values Survey (WVS) datasets. It is about version 5.0 (WVS_Time_Series_1981-2022_stata_v5_0.dta), which includes 1063 variables and 443,488 raw observations. The latter served all selection rounds. Six other versions were used just in the first selection round (ADA BOOST in Rattle, GRAD BOOST in Python, and PCDM in Stata), namely version 4.0 (WVS_TimeSeries_4_0.dta, 1045 variables and 450,869 observations), version 3.0 (WVS_TimeSeries_1981_2022_Stata_v3_0.dta, 1041 variables and 440,055 observations, available online on the WVS site until the end of 2022), version 2.0 (WVS_TimeSeries_1981_2020_stata_v2_0.dta, 1072 variables, and 432,482 records), version 1.6 (WVS_TimeSeries_stata_v1_6.dta, 1045 variables, and 426,452 observations), version 1.2 (WVS_TimeSeries_stata_v1_2.dta, 1074 variables, and 423,948 observations), and version 0 (WVS_Longitudinal_1981_2016_stata_v0-20180912.dta, 1445 variables, and 348,532 observations), with three of these six (0, 1.6, and 2.0) still available on the WVS site, namely https://www.worldvaluessurvey.org [accessed on 1 November 2024]. Running a command [41] responsible for removing the DK/NA [42] values (Do Not Know/No Answer/Not Applicable coded by WVS as negative ones [43] for all variables preceded the .csv exports (seven Stata script files with the .do extension available at https://tinyurl.com/4zr47wf5). DK/NA values are responsible for artificially increasing the scales. Consequently, they have profound effects when applying selection algorithms [44]. A simple binary derivation (H006_02bin) of the original variable to analyze (H006_02—Worries: Not being able to give children a good education) preceded the exports. This derivation considered the two symmetric halves of its original scale (3—Not much and 4—Not at all for zero and 1—Very much and 2—A great deal for one). Moreover, the option to generate numerical values for labeled variables (instead of the text) was enabled when exporting (e.g., export delimited using „F:\data\WVS\WVS_TS5_dropSTR_H006_02bin.csv”, nolabel replace).
The next step (the 1st selection round) was to use the original .dta files in Stata (version 17 x64 for multiprocessing) and the .csv exports in both Rattle (version 5.5.1—an interface in R started using two commands, namely library (rattle) and rattle ()) and Python (version 3.9.13) using the Spyder IDE (version 5.2.2) for all seven versions of the dataset (in all three applications). Moreover, in Stata, a less time-consuming (up to ten minutes of processing) command, namely PCDM (data mining based on Pearson pairwise correlations [45] and results filtered as magnitude-minAcc, support-minN, and significance-maxP [46]), was involved using the original form (the 1–4 scale) of the target variable (A170). The minimum thresholds as magnitude and support were 0.2 (for the absolute value of the correlation coefficients, meaning low but non-negligible correlations) and N/2 (at least a half of the total number of valid observations for the target variable for acceptable correlations), while the acceptable significance (p or sigma) was below 0.001 [47,48] or 1/1000 (errors not exceeding 1 in a thousand). In Rattle, A170bin (the binary form) served as the target, while its source (A170) left the list of inputs (ignored). Here, the Adaptive Boosting technique [49,50] for the decision tree classifiers with a binary outcome was applied, following a more time-consuming (tens of minutes) and end-user-oriented approach based on many user-friendly dialogs. This step ran using default settings (https://tinyurl.com/2txbu4jd [accessed on 1 February 2025]), including no specifications regarding the data imputation. In Python, an even more time-consuming (between six and nine hours of exploration) and a more programming-oriented approach was applied based on data imputation for handling NaN values (averaging existing values for each column instead of missing data for all variables [51,52]) and Histogram-based Gradient Boosting [53,54] with 10-fold cross-validation [55], shuffling, parallel execution [56], and accuracy and importance calculations (top 10, 25, and 50 features after ten repeats) [57,58].
The purpose of this first selection round was to discover the most resilient related variables at the intersection of those seven versions of the dataset (cross-validation considerations) [59] for each of the three techniques used and mentioned above.
The intersection and the reunion (minus the intersection) of the results obtained at the 1st round considering those three techniques used (triangulation) [60,61] was the purpose of the 2nd selection round (two subsets of resulting variables, one for the intersection and the other for the reunion minus the intersection meaning the reunion of specific results).
The third step/selection round was a blend of many techniques applied on the most recent dataset version (v 5.0), in the following order:
- (a)
- The Bayesian Model Averaging (BMA) [62] in Stata 17 and filters based on lower values of PIP (posterior inclusions probabilities [63] lower than 0.99) for both forms of the target variables;
- (b)
- Reverse causality checks using ordinal LOGIT and PROBIT (OLOGIT and OPROBIT) regressions in Stata 17 and the original (the 1–4 scale) form of the target variable corresponding to life satisfaction. For these regressions that considered only one of the remaining input variables, each served as both input and outcome by interchanging these roles with the original target corresponding to fears regarding the education of children (regression pairs) [64]. A larger R-squared (tinier differences between the observed data and the fitted values/theoretical model) or a lower AIC and BIC (better fit and inferior information loss) for the resulting models in such pairs suggest a critical conclusion. That particular variable (from the list of the remaining ones to further select from) is more likely to be a determinant of the original target rather than vice versa (determined by it) only if a larger R-squared or a lower AIC or BIC sustains this;
- (c)
- LASSO [65] (both CVLasso and RLasso) [66,67], VCPR (to identify collinear pairs of variables based on OLS regressions), VIF (Variance Inflation Factor) checks [68] also based on OLS (but for models with more than two input variables), and further selections based on LOGIT (binary logistic regressions) and NOMOLOG [69] (for generating a preliminary nomogram to support the elimination of redundancies based on magnitude of effects and an augmented prediction nomogram with three core predictors for the overall model corresponding to the entire dataset) in Stata 17;
- (d)
- Non-random cross-validations [70] using eight consecrated socio-demographic variables (gender, marital status, education level, employment status, social class, settlement size, country code, and survey year) acting as random effects in mixed-effects models (MeLOGIT and MeOLOGIT regressions in Stata 17) [71] with the remaining predictors set as fixed-effects;
- (e)
- Further controls [72]—each of seven socio-demographic variables from those eight previously used (all except the country code not associable to a meaningful scale) for cross-validations served controlling purposes (new models in Stata 17). The latter meant adding them one by one on top of the existing most robust model (both LOGIT and OLOGIT regressions together with model accuracy assessment using the AUC-ROC metric via ESTOUT & MEM—meant to automate the reporting of many other model performance metrics) [73,74]. They included the most resilient predictors tested at the previous selection round;
- (f)
- Two-way graphical representations [75] of the relations between each relevant input variable (starting from the ones emerging after performing the 1st round of selections together with the socio-demographic items) and the outcome (on average, starting from its scale format), leading to additional insights;
- (g)
- Subsequent validations and comparative analyses were performed after filtering by continent to discover how the core predictors behave according to regional contexts (as suggested by one of the reviewers of this paper) and possible deviations from the overall model (seven additional prediction nomograms augmented with annotations in the form of scores corresponding to the magnitude of predictors in continental models which served as source for additional comparative computations).
The model interpretation (including risk-prediction nomograms based on NOMOLOG [76]) resides in two sections dedicated to presenting the results and a discussion starting from them. In terms of replicability support [77,78], a persistent Google Drive online folder (https://tinyurl.com/2s38s37h [accessed on 1 February 2025]) keeps all processing and analysis script sequences together with all intermediary results necessary for this study able to capture and show at least the dynamics of some selections and support this research. Moreover, for each original URL corresponding to a relevant script or folder, a TinyURL has been generated.
The entire section dedicated to presenting materials, data, and all the methods and techniques used is easier to understand using a suggestive scheme (Appendix A, Figure A1) generated following a step-by-step approach and suggesting the whole exploration flow [79]. This scheme also contributes to presenting the rationale behind the selection and prioritization of specific predictors in the analysis, namely the following:
- (I)
- Inclusion of some predictors in the first stages of selection (such as worries about war or job loss) was first supported by the objective use of the triangulation principle. The latter involves employing multiple methods and techniques to identify robust and consistent factors at the intersection of all (e.g., Adaptive and Gradient Boosting, Pairwise Correlations, LASSO, Bayesian Model Averaging, etc.). In addition, this inclusion stands on consistency and robustness checks across different versions of the same dataset and various subsets (random and non-random cross-validations). Moreover, the same inclusion stands on their theoretical relevance for parental educational concerns as documented in prior literature. Research indicates that macro-level uncertainties, including geopolitical instability and economic insecurity, significantly influence perceptions regarding the future, especially among parents actively investing in their children (well-being and education for the topic of concern). Consequently, these predictors come first because they encapsulate broader contextual anxieties that potentially shape parental attitudes globally;
- (II)
- The exclusion of certain variables (e.g., worries about a terrorist attack, a civil war, etc.) in the last stages of selection primarily stands on considerations of parsimony, reverse causality, collinearity or redundancy, magnitude, and theoretical alignment with the objectives of this study;
- (III)
- Mixed-effects models (also as a form of cross-validation) particularly fit this analysis due to their ability to account for both fixed effects (e.g., three most robust core predictors) and random effects (e.g., country-level variation and some individual socio-demographics not already confirmed in the list of the core predictors). Some socio-demographic variables are a priority in these models to balance interpretability and explanatory power while confirming the robustness of the key pattern. In addition, while numerous socio-demographic factors were initially considered, only those with strong empirical backing (e.g., income, education, employment status, etc.) remained in the mixed-effects models. Moreover, these socio-demographic variables are well-established determinants of parental perspectives, and their inclusion allows for robust testing of how individual-level characteristics intersect with contextual factors to influence concerns about education.
All selection steps, analyses, and checks ran on a Windows 8.1 Professional X64 physical machine with four physical cores/eight logical ones (Intel Core I7 4710HQ CPU) and 32 GB of RAM.
3. Results
The results presented in this specific section correspond to the succession of steps described in the scheme in Figure A1 (Appendix A).
For understandable reasons, when it comes to full support for reproducibility or replication of scientific results, all seven versions of the dataset (the .dta format for Stata) downloaded between 2020 and 2024 from the official site of the World Values Survey and analyzed in this paper were also made available in an online folder (WVS…_.dta(7xVers.) at https://tinyurl.com/5kmzj6zx [accessed on 1 February 2025]) acting as a subfolder in the online container (folder) of this project mentioned above (https://tinyurl.com/2s38s37h [accessed on 1 February 2025]). Moreover, the corresponding .csv exports resulting after cleaning the datasets and performing other pre-processing (REMDKNA, binary target derivation, and string variable removal tasks—all script files at https://tinyurl.com/4zr47wf5 [accessed on 1 February 2025]) were also made available in another dedicated online subfolder (WVS..._.csv(7xVers.) at https://tinyurl.com/yba7y4da [accessed on 1 February 2025]).
For reproducibility reasons, the results of all exploratory rounds and subsequent checks and tests are also fully available online.
Thus, the results of the three techniques applied in R, Stata, and Python (the first selection round) are available in three dedicated online folders at https://tinyurl.com/5arvff5r [accessed on 1 February 2025]. For each of the three, setup captures (for Rattle in R), exploration scripts (.do files for Stata and .py files for Python), and captures of the results (.png, .txt, or .pdf files) are available to track the exploration progress in each specific way.
The same logic is applied when providing complete details for the second (https://tinyurl.com/mr3nus6d [accessed on 1 February 2025]—intersection and reunion of the specific results summarized in Figure 1, the last column of each of the three sets). The results in Figure 1 (the second round of selection) clearly show that only four variables stood across all three methods used in round 1 and all seven dataset versions. It is about an intersection subset of four: H006_01 (Worries: Losing my job or not finding a job), H006_03 (Worries: A war involving my country), H006_05 (Worries: A civil war), and X003 (Age). Additionally, these results point out specific variables of each method but are common to all dataset versions, namely a reunion subset of five: X011 (How many children do you have) for ADA BOOST (top of Figure 1), A005 (Important in life: Work), H006_04 (Worries: A terrorist attack), and X002 (Year of birth) for PCDM, and H006_06 (Worries: Government wiretapping or reading my mail or email) together with X011 (How many children do you have) for the last approach based on Gradient Boosting.

Figure 1.
The results at the intersection of all seven dataset versions for each of the three methods at round 1 (bold aspect or last column), the ones common to all three methods and all seven dataset versions (gray background—the final column), and those for the specific results on each technique (ADA BOOST—top, GRAD BOOST—bottom, PCDM—middle) at the intersection of all dataset versions (white background in the last column).
For the target variable (H006_02—Worries: Not being able to give one’s children a good education) in both forms (the original scale and the binary derivation) together with all of those nine input variables selected at round 2 (the intersection subset of the four common and the reunion subset of the five specific), a description of the original meaning and coding (Table 1) and descriptive statistics (Table 2) will be presented below.
Table 1.
The most relevant WVS items (version 5.0) of this study.
Table 2.
Descriptive statistics for the most relevant WVS items (version 5.0) after removing their DK/NA values.
For the variables considered after the second round, the results in the descriptive statistics (Table 2) already show lower support in observations for the variable with code H006_06 compared to the total number of valid observations for the target (81254 vs. 172938, meaning less than half). However, this variable was not eliminated at this selection step, leaving room for additional testing.
In the case of the third selection round, the organization of the results was on five dedicated sub-stages and corresponding online subfolders (https://tinyurl.com/3knpnwvh [accessed on 1 February 2025]), namely the following: (3a) the use of BMA (with PIP values not lower than 0.99 indicating high inclusion chances), which led to the removal of both H006_04 (Worries: A terrorist attack, also suspected of collinearity when kept together with other two selected variables, namely H006_03—Worries: A war involving my country and H006_05—Worries: A civil war) and X002 (Year of birth, which is actually not an effective loss because it served as a source and/or validation input for a selected variable, namely X003 or the age); (3b) reverse causality checks, which contributed to the removal of A005 (although strongly correlated, it acts more as an outcome—when concerns about children’s education are set as input—rather than as a predictor—when such worries are the target); (3c) the use of LASSO, VCPR, VIF, LOGIT, and NOMOLOG, which led to the removal of X011, H006_05, and H006_06; (3d) cross-validations using the other eight variables based on MeLOGIT_and_MeOLOGIT regressions, which generated no removal; and (3e) other controls using seven of those eight socio-demographic variables above (except the country code as numerical variable with number expression not related to any intensity scale).
The first thing to do in this third round was to use BMA (3a). The four previously derived intersection predictors serve as principal ones. The other five (the reunion subset of specific ones) are auxiliary (the BMA auxiliary parameter and Figure A1, Appendix A). The BMA ran using both forms of the target variable but was more restrictive on the binary form (PIP values of 0.67 for H006_04 and 0.02 for X002, respectively, whereas the rest of these probability values were very close to 0.99—online at https://tinyurl.com/mt9f3ssk [accessed on 1 February 2025], page 48 of 49, command line no. 7). That led to removing both input variables, namely H006_04 and X002. Although the method based on Pearson pairwise correlations (PCDM) confirmed these two input variables at the intersection of all seven dataset versions in the first selection round, the other two methods applied in the same round (Adaptive and Gradient Boosting) eliminated them (confirmation of BMA).
The reverse causality checks (3b) using both OLOGIT (Table A1, Appendix A) and OPROBIT (Table A2, Appendix A) indicate the removal of A005 (Important in life: Work). The latter seems to act more as a related influence than a predictor or determinant (causal relationship). That means it does not exert a causal influence on the target variables corresponding to worries of not being able to give children a good education (H006_02, in its original four-point scale format). This fact stands in both regression types mentioned above (larger values for R-squared and lower scores for AIC and BIC in the case of reversing the roles between A005 and H006_02, namely the target variable for the first and input for the second rather than vice versa—A005 as input and H006_02 as outcome, according to the purpose of this study). However, A005 was confirmed at the intersection of all seven dataset versions in the first round of selection by PCDM alone (Pearson pairwise correlations that do not account for causal relationships). In other words, the other two methods in the first selection round (Adaptive Boosting in Rattle and Histogram-based Gradient Boosting in Python) did not confirm it either (confirmation of removal for A005 when using reverse causality checks).
LASSO (both the CVLASSO with 10-fold cross-validations using randomly extracted subsets of data and RLASSO as a more rigorous form meant to eliminate overfitting and generate more robust models), VCPR, LOGIT, and NOMOLOG served as the next selection steps (3c) in this third round. The first did not eliminate anything (neither CVLASSO nor RLASSO). The second (VCPR) identified collinearity based on OLS regressions between four pairs ((H006_03, H006_05), (H006_03, H006_06), (H006_05, H006_06), and (X003, X011)—online at https://tinyurl.com/yz8s9cfu [accessed on 1 February 2025], page 64 of 69, command line no. 26) when considering the target variable in its binary format, and between just two pairs from those four above ((H006_03, H006_05) and (X003, X011)—online at https://tinyurl.com/yz8s9cfu [accessed on 1 February 2025], page 63 of 69, command line no. 25) when considering the target in its original form (scale). NOMOLOG based on LOGIT regressions (Figure 2) further suggested in an intermediary nomogram based on six redundant predictors (Figure 2) the elimination of the weakest among those involved in collinear pairs, namely the following: H006_05 (lower overall magnitude and consequently weaker than H006_03), H006_06 (weaker than both H006_03 and H006_05), and X011 (weaker than X003). That means that previously used methods (including PCDM, Adaptive and Gradient Boosting, BMA, reverse causality checks, as well as CVLASSO and RLASSO) are less sensitive in terms of removing all redundancies (compared to VCPR, which identifies all collinear pairs, depending on the target variable). Moreover, the order of some specific steps (e.g., the causality tests before the elimination of redundancies based on multicollinearity criteria) seems to be of extreme importance to avoid selection errors such as keeping only apparently more important variables (higher magnitude in nomograms) but without the role of predictors (simple associations).
Figure 2.
Intermediary nomogram supporting comparisons in terms of the magnitude of effects and meant to suggest the variables to drop from the list with all involved in those four collinear pairs (Stata script at https://tinyurl.com/d7jfwsu5 [accessed on 20 November 2024]).
Next (3d), cross-validations based on other eight variables (X001, X007, X025R, X028, X045, X049, S003, and S020—Table 3 and Table 4) and MeLOGIT_and_MeOLOGIT regressions suggested that the three remaining influences (H006_01, H006_03, and X003—Table 1) are robust, and no further elimination justifies from this list of three most robust ones (hereafter referred to as the triad/triad model—Table A3, Appendix A). A brief presentation of the original meaning and coding (Table 3) and descriptive statistics (Table 4) of these variables used as socio-demographic criteria for cross-validations is also available in this paper.
Table 3.
Relevant WVS (version 5.0) socio-demographic variables used for cross-validations in this study.
Table 4.
Descriptive statistics for the most relevant WVS (version 5.0) socio-demographic items for cross-validations.
Additional controls (the sub-stage 3e) relied on using seven of those eight socio-demographic variables above (all except S003 as the country code—numeric variable but with no intensity meaning) in two ways: I) coupling each socio-demographic item with the triad using both LOGIT and OLOGIT (both forms of the outcome) and also leaving the triad in a separate model (Table A4, Appendix A and Figure 3); and II) taking each item from the list of ten (the triad plus all seven socio-demographic variables) using both LOGIT and OLOGIT (Table A5 and Table A6, Appendix A). In the first case, the results (Table A4, Appendix A) revealed the additional influence of the first six of those seven tested socio-demographic variables (all except S020—Year of Survey, not validated in model 15, Table A4, Appendix A, because of consistent loss of significance when using the scale form of the target variable and involved in a non-linear and fluctuating relationship with this target—Figure 4) and confirmed once again the robustness of the triad models (Table A4—models 8 and 16). In the second case, when testing each variable per model (Table A5 and Table A6, Appendix A), the results confirmed all ten variables but also the prevalent role of those being part of the triad model (when comparing the R-squared and the AUC-ROC for each of those three with those for each of the seven socio-demographic ones).
Figure 3.
Augmented prediction nomogram of the risk associated with worries of not being able to give children a good education based on a model similar to model 8 (Table A4, Appendix A), but with reversed and more intuitive scales for the two strongest predictors (Stata script at https://tinyurl.com/d7jfwsu5 [accessed on 20 November 2024]).


Figure 4.
Two-way graphical representations of the relations between each variable from the core model or the socio-demographic category (those six confirmed) and the target (on average, starting from its scale format) corresponding to the level of concerns about education (Stata script at https://tinyurl.com/4xdrhjaz [accessed on 12 November 2024]).
The augmented risk-prediction nomogram in Figure 3 supports intuitive visual interpretations of the overall model (OVM) with three of the strongest remaining influences. The latter is similar to model No.8 in Table A4, Appendix A, except for the re-coding (inverted and optimized scale) of two of those three resilient determinants (generate H006_01osc= 4-H006_01 and generate H006_03osc= 4-H006_03). This model has high support (94.9768% or 164.251 as the total number of observations at the intersection of those three variables plus the target/outcome one involved in this regression model divided by those 172.938 valid observations for the target variable). Moreover, it generates a considerable R-squared (0.3095) and a good-to-excellent accuracy of classification (AUC-ROC of 0.8554). The maximum theoretical risk (more than 0.95) for the combination of variable values on the extreme right (a maximum corresponding total score of 20.55), which means the lowest age (16 years old—an individual score of 4.6) and worries corresponding to the re-coded value of 3 (1 in the original scale or Very much—the individual scores of 10 and 5.95) in this nomogram are high. It indicates a probability value of more than 95% (0.95). The latter corresponds to an aggregated score of 20.55 (as the sum of 10, 5.95, and 4.6) on the total score axis. The calculation method for other combinations of values related to the three predictors is the same as the one applied to the scenario in Figure 3, namely drawing the perpendiculars corresponding to some other values corresponding to the predictors and finding out the scores (individual, respectively total as sum) and the related probability.
An example of an impact analysis could start with values already established for the values of two predictors and a starting value of the third. The latter is the one for which the impact analysis will emerge. Thus, for a 50-year-old respondent (the third most robust predictor with a score of 3 on the first Ox axis), having high fears related to a war that could involve their own country (the second most important predictor, with a score of 5.95 on the first Ox axis), a decrease of one unit in fears related to job loss starting from the maximum level (from a score of 10 on the first Ox axis to one of approximately 6.70), would mean a decrease in the total score from 18.95 (slightly above 95%) to 15.65 (slightly below 90%).
The two-way graphical representations between the target variable and each of the core variables in the triad (H006_01, H006_03, and X003 in Figure 4) together with those found after the first round of selections and the socio-demographic category (last ten in Figure 4), all based on tabulations by mean, were also included in this study. These visualizations (Figure 4) intuitively indicate how the target variable behaves (on average/at mean) when connected to all variables relevant to this analysis and the entire study.
We can observe lower values (more near 1—Very much, or 2—A great deal) of the target variable (more concerns regarding the education of children) for the following categories of respondents:
(4.1W) Those who consider work significant in life (A005 = 1 or very important);
(4.2W) Those most fearful of unemployment or not finding a job (H006_01 = 1 or very much);
(4.3W) Those with more fears regarding a war involving their country (H006_03 = 1 or very much);
(4.4W) The ones with more fears regarding a terrorist attack (H006_04 = 1 or very much);
(4.5W) Those with more fears related to a civil war (H006_05 = 1 or very much);
(4.6W) Those most fearful of government surveillance of communications and mail (H006_06 = 1 or very much);
(4.7W) Those who responded in 2016 (S020);
(4.8W) The female respondents (X001 = 2);
(4.9W) The respondents born a long time ago (an exceptional minimum of 1 for those born in 1915), and especially the millennial responders born around 1982 (X002);
(4.10W) The respondents around the age of 100 years (two exceptional minimum values of 1 for 97 and 103 years), especially those aged between 25 and 38 years (the age declared at the time of applying the questionnaire—X003);
(4.11W) The ones who declared they are separated when asked about their marital status (X007 = 4), followed by the ones living together as married (X007 = 2) and the married ones (X007 = 1);
(4.12W) Those with five children or more (X011 = 5);
(4.13W) The respondents who benefited from a lower education level (X025R = 1 and this level measured as Lower, Middle, and Upper);
(4.14W) Those with the employment status of self-employed (X028 = 3) followed by housewives (X028 = 5) and the unemployed (X028 = 7);
(4.15W) The ones belonging to the lower social classes (subjective assessment) or X045 = 5;
(4.16W) Those belonging to relatively small communities with a few people (between 5000 and 10000 or settlement size or X049 = 3).
On the opposite side, higher values (towards 3—A little, or even 4— Not at all) of the target variable (less worries about children’s education) are observed for the following categories of respondents:
(4.1LW) Those who consider that work is not important at all in life (A005 = 4 or Not at all important);
(4.2LW) Those who are not afraid of losing their job or not finding a job (H006_01 = 4 or not at all);
(4.3LW) Those with no fears regarding a war involving their country (H006_03 = 4 or not at all);
(4.4LW) The ones with no fears regarding a terrorist attack (H006_04 = 4 or not at all);
(4.5LW) Those with no fears of a civil war (H006_05 = 4 or not at all);
(4.6LW) The ones who are not afraid that the government is wiretapping or reading their traditional mail or emails (H006_06 = 4 or not at all);
(4.7LW) Those who responded in 2022 (S020);
(4.8LW) The male respondents (X001 = 1);
(4.9LW) Both the respondents born a long time ago (larger values for those born until 1930) as well as the responders belonging to Generation Z (gen.Z or iGen [80]), especially those born after 2000 (X002);
(4.10LW) Both the respondents close to and especially over 80 years old, as well as those under 18 years old (the age declared at the time of applying the questionnaire—X003);
(4.11LW) Those who declared they are widowed (X007 = 5), followed by the divorced ones (X007 = 3) and those single or never married (X007 = 6) in terms of their marital status;
(4.12LW) Those without a child (X011 = 0) followed by those with two children (X011 = 2);
(4.13LW) The respondents with a higher education level (X025R = 3 and this level with the values of Lower, Middle, and Upper);
(4.14LW) Those with the employment status of retired (X028 = 4);
(4.15LW) The ones belonging to the upper middle social classes (X045 = 2), followed by those belonging to the upper class (X045 = 1);
(4.16LW) Those belonging to communities with 500,000 people or more (settlement size or X049 = 8).
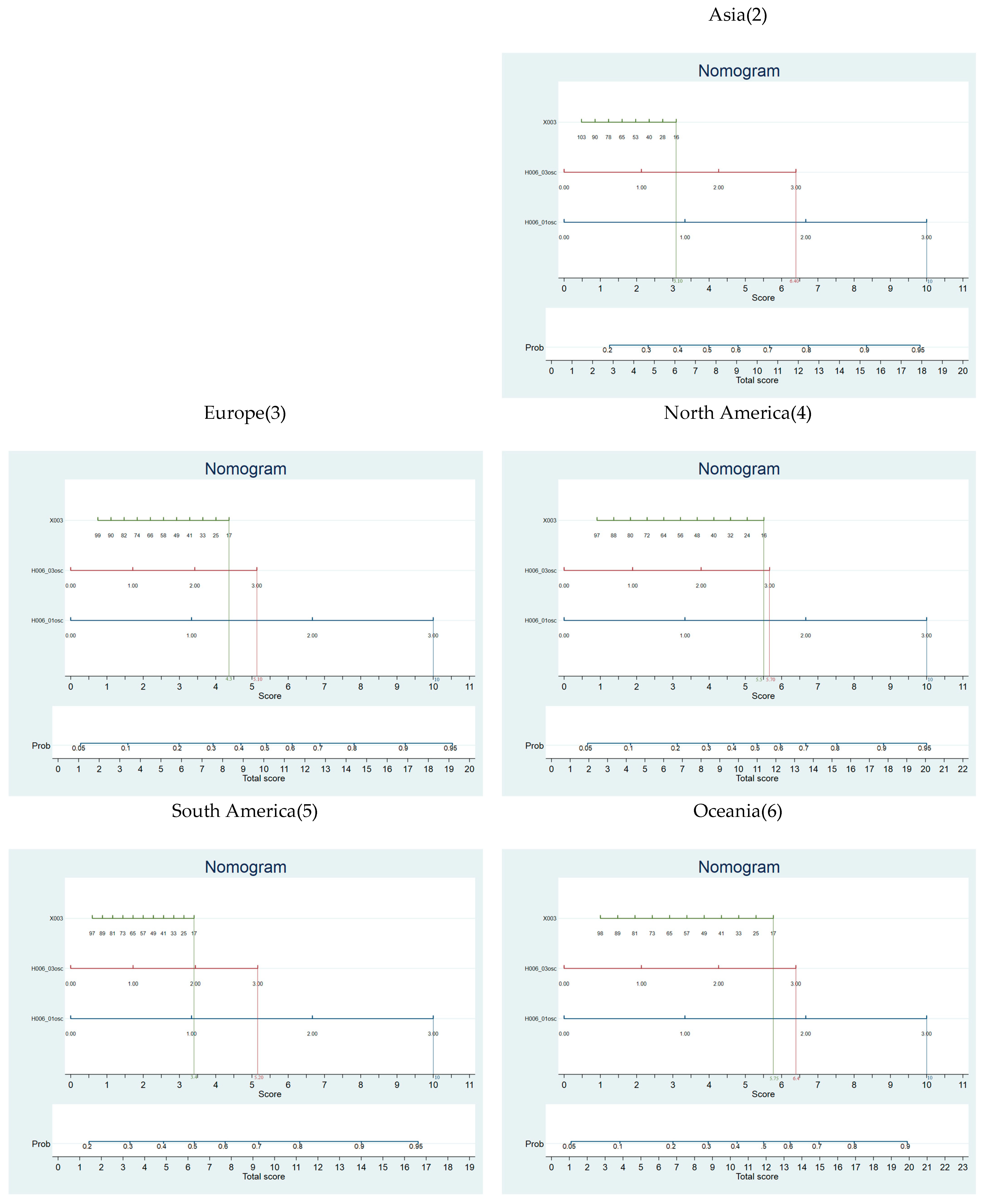
The risk-prediction nomograms in Figure 5 serve as further visual analyses by comparing the score-based importance (Figure 6) of the three core predictors (confirmed in all other selection rounds and checks) in different models from a geographical perspective (filter-based models considering the continent). These nomograms stand on models (7–13, Table A7, Appendix A) in which the three predictors retain significance and order. The only exception is model 7 (continent 1—Africa), where the age variable is no longer significant. In addition, there are some differences in the magnitude of these three most robust predictors, both between continent-based models (Figure 5) and between each such model and the general one in Figure 3. Precise details of these differences that are afferent to the three core predictors are available (Figure 6) as deviations of the continental models from the overall one (OVM). Comments about them are in the next section (Discussion).

Figure 5.
Comparisons of the intensity of the three predictors in augmented prediction nomograms of the risk associated with worries about not being able to provide children with a good education using models specific to each continent—Table A7, Appendix A (Stata script at https://tinyurl.com/yc56894s [accessed on 23 January 2025]).
Figure 6.
Variations of the importance of the three core predictors in continental models in Figure 5 compared to the overall pattern in Figure 3. Source: Own calculations available at https://tinyurl.com/4du78bwn [accessed on 25 January 2025] based on the nomograms in Figure 3 and Figure 5.
In terms of support as number of valid observations for the target and those three predictors from the core model/triad (H006_02 together with H006_01, H006_03 and X003—Table 2) and their distribution on the survey year, all except the age of the respondent (X003) indicate only observations between 2010 and 2023 (middle-left of Figure 4—S020 on the X axis) and a total amount between 172.938 and 180.266 valid records (438.749 for X003 and 164.251 at the intersection of those four variables above—Table A4, model 8). The additional use of the tabstat (tabstat H006_02, stat(count) by(S020); tabstat H006_01, stat(count) by(S020); tabstat H006_03, stat(count) by(S020); tabstat X003, stat(count) by(S020)) command in Stata confirmed this above and, consequently, the fact that this study stands only on observations starting from 2010 or 13 years out of the total of 34 (1981, 1982, 1984, 1989—1991, 1995—2014, and 2016—2023) for which the WVS data set (version 5.0) was considered for other variables (with more support).
4. Discussion
This study, using data from the World Values Survey (WVS), examined predictors of parental concerns regarding education across diverse sociocultural contexts. The analysis revealed a consistent set of variables—fear of job loss (H006_01), fear of war (H006_03), and respondent age (X003)—as core predictors. This triad model underscores how socio-economic stability, security concerns, and generational perspectives converge to shape parental priorities in education. These findings confirm most of the first research hypothesis (H1). They are also in line with previous research [81,82,83] and suggest a nuanced relationship between economic and social stability [84] and the emphasis parents place on the future of education for their children, with implications for both policy formulation and further research directions.
The fear of job loss emerged as a significant predictor, underscoring that economic stability influences parental educational concerns. Parents facing job insecurity may view education as a vital means of improving or protecting the prospects of their children in an unstable economy. Similarly, the fear of war, although less commonly highlighted in previous research [85,86,87], suggests a protective inclination. In contexts where conflict or social unrest is prevalent [88], parents may prioritize education as a route to safety or resilience, anticipating that education will equip their children for potentially challenging futures. The respondent age (also linked to generational differences) adds another layer, as younger parents [89] may exhibit heightened concerns (parental concerns decrease with the increase in their age) [90] and prioritize education as a protective measure due to their longer investment horizon, better global connections, and potentially more acute awareness of rapid socio-economic shifts and uncertainties. This triad model suggests that these interconnected variables consistently shape educational concerns globally, irrespective of specific local contexts. Moreover, in direct correspondence with secondary influences (discovered by a limited number of techniques or eliminated for redundancy reasons), those who consider work to be very important or place a high value on it (confirmation of H2), as well as the ones who report more fears about terrorism, civil wars, or government surveillance, are also more likely to express a higher level of concern about the education of their children and vice versa (full confirmation of H1).
The lack of significance for age as a predictor in the African model could reside in the sociocultural and economic differences unique to the continent. In many African countries, concerns about children’s education are likely influenced more by immediate and systemic challenges, such as access to quality education [91], poverty [92], or political instability [93], rather than individual demographic factors like age. These structural issues [94,95] may overshadow the influence of personal characteristics like age, as the primary drivers of educational concerns in these contexts are external and community-based rather than individual.
Additionally, the role of extended family and community in raising children [96,97], which is often more prominent in African societies, may dilute the direct relationship between an individual’s age and their concerns about children’s education. Younger and older individuals may share similar levels of concern due to shared priorities. A considerable reduction in the importance of the age predictor can also be observed for the continents of Asia and South America, respectively (decreases of 29.98% and 18.34%, respectively, when compared to the overall model or OVM—lower-right part of Figure 6). The opposite applies in the continental models corresponding to North America and Oceania (increases in the role of age—15.90% and 15.97%, respectively—lower-right part of Figure 6). The latter could be linked to relatively more stable and sustainable environments, where broader societal threats exert less direct influence. In such contexts, personal factors tied to age, such as accumulated life experiences, career progression (or stagnation), and proximity to retirement, may become more salient in influencing parental anxieties about their children’s future educational prospects [98,99].
Furthermore, an increased effect of fear of war on parents’ concerns about children’s education in Africa and Asia (increases of 38.15% and 13.35%, bottom-center part of Figure 6) likely reflects the complex geopolitical landscape and history of conflict in these continents. The fact that several areas here have experienced recent or ongoing armed conflicts, territorial disputes, and political instability created a heightened sense of threat and insecurity among parents [100,101]. The opposite applies in the continental models corresponding to Europe and North America (relative decreases in the role of fear of war—9.20% and, respectively, 7.14%—bottom-center part of Figure 6).
In addition, an increased effect of the fear of job loss on the outcome applies in the case of Africa [102] and South America [103]—considerable increases of 20.88% and 10.48%, respectively (lower-left part of Figure 6). The opposite applies in the continental models corresponding to North America and Oceania (relative decreases in the role of fear of job loss—3.07%, respectively 7.22%). The explanation resides in less resilient and enduring systems (in the first case) versus stronger ones (in the second), where overarching societal challenges have a considerable immediate impact (in the first case) versus a reduced one (in the second).
These divergences highlight the importance of considering regional contexts when interpreting global models, as predictors being robust in one setting may have diminished or different impacts in another. A relatively stable model compared to the overall one (OVM) is that which is afferent to the continent of Europe (increases or decreases in the importance of the predictors up to 10%—Figure 6).
While the triad model highlights universal predictors, other socio-demographic variables coupled with several additional graphical analyses provide more insights into the nuances of parental concerns. For instance, groups characterized by lower income [104] and lower educational attainment [105] tend to express more pronounced worries about education and vice versa. These patterns align with broader findings on economic insecurity, indicating that parents with limited resources may perceive education as a principal avenue for the upward mobility of their children [106]. Moreover, the significance of demographic factors such as year of birth (younger adults are more worried about the education of children, while the elderly have fewer such worries); the year in which the questionnaire was answered (a maximum for education-related concerns in 2016, two years after the annexation of Crimea to Russia [107], and also a minimum near 2022, with the moment sometimes associated with the sudden decline of COVID-19 deaths and hospitalizations [108] but also with the start of the Russian special military operation in Ukraine, one year after the ending of US and NATO war in Afghanistan [109]); gender (female respondents are usually more concerned and males less so) ([110]) [111]; marital status (those who are separated, followed by the ones living together as married couples, and those who are married are more associated with concerns about the education of heirs, while those who are widowed or officially divorced behave at the other extreme) [112]; number of children (more children means, as expected, more worries about their education and the other way around) [113]; community size (belonging to smaller communities, as places that naturally result in close interpersonal connections [114] and also less competition [115], which usually means a lot more in such terms related to educational concerns and vice versa); and professional status (being self-employed, a housewife, or unemployed [116] usually means more worries about education, while being retired or having a more stable job is at the other pole [117]), although secondary, reflects diverse family structures and social expectations that can subtly influence parental priorities in education. All these suggest the confirmation of the third research hypothesis (H3).
Moreover, these findings offer actionable insights for policymakers and educators, helping them to craft new strategies. By understanding that job security and stability are closely tied to educational concerns, educational policies could emphasize skill-building and resilience to support children in navigating uncertain job markets. For instance, career guidance programs could indirectly address job-related anxieties [118] by equipping students with diverse, adaptable skill sets [119]. Additionally, policies that foster inclusive, safe, and supportive school environments could alleviate some parental concerns in regions where conflict or instability influences educational priorities. Recognizing and addressing these core anxieties and generational and contextual differences can help shape responsive educational systems that better serve students and their families.
Several limitations must be acknowledged when interpreting these findings. First, reliance on self-reported data introduces the potential for response bias [120,121], as respondents may answer based on socially desirable perspectives or subjective interpretations of survey questions [122]. Additionally, given the expansive timeframe of the WVS (2020–2023), some responses may reflect socio-political contexts that have since shifted [123]. Methodologically, while the multi-stage analysis process (including REMDKNA, Gradient and Adaptive Boosting, selections based on pairwise correlations using PCDM, BMA, LASSO, LOGIT + NOMOLOG, reverse causality checks using OLOGIT and OPROBIT, collinearity and multicollinearity measurements, and also additional non-random cross-validations using MeLOGIT and MeOLOGIT) strengthens confidence in the robustness of the triad model, some nuances in the data may remain undetected due to the inherent limitations of the techniques used. It is critical to account for these constraints when making generalizations based on the findings.
To better compare the existing findings already mentioned so far, but also others relevant to the topic of this paper and also regarding parental involvement in children in terms of education, school, and academic performance [124,125,126,127,128,129,130,131,132,133,134,135,136,137,138,139,140,141,142], a short review was conducted on a subset of studies strongly interconnected (parent, child, and education root/base keywords included) with this paper. This review (Table A8, Appendix A) presents essential comparisons between results already obtained and published (the purpose, methodology, and key findings are available) with the results of the current manuscript.
Beyond these findings, this study contributes to methodological practices by demonstrating the value of a multi-stage analytical approach in identifying reliable predictors within large datasets. By applying various methods and validating across multiple WVS datasets, this approach reinforces the validity of the triad model, supporting its generalizability across cultural and temporal contexts. This methodological rigor exemplifies the importance of employing complementary techniques to enhance reliability, particularly in studies with broad datasets and multi-faceted variables.
Regarding possible directions for future research, building on these findings, further studies could explore additional psychological or contextual factors that shape parental concerns about education. More longitudinal studies, for example, could reveal how these concerns evolve in response to shifting socio-political environments. Comparative research across regions could also provide a deeper understanding of how local contexts influence predictors within the triad model. The replication of this study with new/updated WVS data and other large datasets would provide additional information on the applicability and stability of the triad model, strengthening the foundation for policy applications and further research.
5. Suggestions and Recommendations
5.1. Enhancing Economic Stability Through Policy Interventions
The findings of this study underscore the critical link between economic stability and parental concerns about children’s education. Governments should prioritize strengthening social safety nets and ensuring job security, as the economic instability heightens educational anxieties among parents. Policies that promote a fair labor market by reducing unemployment and addressing job insecurity can indirectly alleviate these concerns. For example, introducing job retraining programs and support for career transitions can create a more resilient workforce, reducing parental fears about their children’s future employability. Additionally, initiatives to reduce income inequality, such as progressive taxation and targeted social programs, can provide families with greater financial security, enabling them to focus on their children’s education without undue stress.
5.2. Strengthening Public Education Systems
Robust public education systems play a pivotal role in mitigating parental concerns. Governments should invest in high-quality, accessible, inclusive education at all levels. The latter includes improving infrastructure, ensuring adequate teacher training, and integrating modern technologies into learning processes. In those contexts where conflict or instability is prevalent, safe and supportive school environments are essential. Policies that prioritize conflict-sensitive education, psychosocial support for students, and programs promoting tolerance and resilience can address parental fears about their children in terms of safety and well-being in volatile regions. Universal access to early childhood education and affordable higher education can also serve as long-term solutions to reduce anxiety by ensuring equal opportunities for all children.
5.3. Tailoring Educational Policies to Regional Needs
The results of this study also highlight the importance of regional contexts in shaping educational concerns. Policymakers should adopt a localized approach to education reform, considering unique economic, social, and geopolitical challenges. For instance, in regions with high rates of conflict or political instability, governments can implement emergency education policies that ensure the continuity of learning during crises. In contrast, the areas with lower levels of fear about war or job loss may benefit from focusing on modernizing curriculums to align with global job market trends. Partnering with local stakeholders, including parents, educators, and community leaders, can help craft policies responsive to specific regional dynamics and parental concerns.
5.4. Addressing Generational and Demographic Differences
Educational policies should account for the generational and demographic differences in parental concerns revealed by this study. For younger parents with heightened anxieties due to rapid socio-economic changes, targeted workshops on financial literacy, parenting skills, and career planning for their children can be beneficial. Similarly, programs designed to support families in urban and rural settings should address their unique challenges, such as access to quality schools in rural areas or managing competitive pressures in urban environments. Policymakers should also consider gender-sensitive approaches, recognizing that female respondents tend to express higher levels of concern about education. These could include programs that empower women, support single-parent households, and provide childcare assistance to reduce the burden on working mothers.
By addressing all these areas through operational and regionally sensitive policies, governments and educators can foster environments where parental anxieties about education are alleviated, enabling families to support their children in learning and long-term success.
6. Conclusions
This study compellingly explores the forces driving parental concerns about education, blending rigorous empirical analysis with meaningful insights into global attitudes. Drawing on a few decades of data from the World Values Survey, it emphasizes a triad of core predictors—fear of job loss, fear of war, and respondent age—that consistently shape these concerns across diverse contexts. The study confirms the three hypotheses, highlighting that parental concerns about their children with an educational focus are strongly influenced by economic and geopolitical instability, attitudes toward work, and socio-demographic factors. The triad of predictors acts as a core model with good-to-excellent classification accuracy, and they reflect the enduring impact of economic instability, geopolitical threats, and generational factors on parental priorities. The analysis also highlights significant regional variations in the importance of the predictors of parental concerns about children as education, underscoring the role of contextual factors. While fear of job loss, fear of war, and respondent age emerged as enduring global predictors, their relative importance varied across continents. In Africa and South America, fear of job loss and war play heightened roles, reflecting systemic vulnerabilities like poverty, conflict, and political instability, which amplify parental anxieties. Conversely, in North America and Oceania, stable environments and reduced societal threats elevate the importance of personal factors such as age, life experiences, and career trajectories, gaining prominence in shaping concerns. The lack of significance for age in Africa can relate to the sociocultural emphasis on communal child-rearing and the dominance of structural issues over individual characteristics. Similarly, Asia and South America showed diminished age effects, though less pronounced than in Africa. Europe presented a more stable model, with minimal fluctuations in predictor importance, likely due to relatively balanced societal and individual influences. These findings emphasize the critical need to account for regional contexts when interpreting global models of educational concerns. Beyond the primary findings, secondary analyses revealed a rich range of influences, including fears related to terrorism, gender, socio-economic class, and generational perspectives. For instance, younger parents, particularly the ones belonging to the millennial generation, those prioritizing work, or those facing socio-economic disadvantages, have expressed increased concerns about their offspring in education opportunities matters. By contrast, people with greater economic security or living in large urban centers were less concerned. The use of risk-prediction nomograms provided not only a robust validation of the resulting models but also practical tools for estimating and visualizing parental worries. These insights are invaluable for policymakers who want to design interventions addressing various anxieties parents face while supporting educational aspirations at a global level. This study turns complex data into noteworthy knowledge, bridging the gap between research and policy. It highlights the urgent need for policies that acknowledge and respond to the interplay of socio-economic, demographic, and cultural factors that shape such parental concerns. As worldwide education systems face new challenges, this research provides a basis for developing strategies that resonate with parents’ hopes and fears, ensuring a better future for their children.
Funding
This research received no external funding.
Institutional Review Board Statement
The study conducted by the World Values Survey adhered to the principles and guidelines outlined in the Declaration of Helsinki. The latter ensured ethical considerations and respect for the rights and well-being of the participants involved.
Informed Consent Statement
Informed consent was obtained by the World Values Survey (from all subjects involved in the study, ensuring their voluntary participation and understanding of the research aims and procedures).
Data Availability Statement
The dataset (seven different versions) used in the study comes from the World Values Survey (WVS). More precisely, it is about the .dta file inside each archive, namely <<WVS TimeSeries Year Started—Year Ended_Stata_Version….zip>>, where Year Started is 1981, Year Ended between 2018 and 2023, and Version is the release version, namely v.0 (2018), v.1.2 (2019), v.1.6 (2020), v.2.0 (2021), v.3.0 (2022), v.4.0 (2023) and v5.0 (2024)—https://www.worldvaluessurvey.org/WVSDocumentationWVL.jsp, accessed between December 2020 [accessed on 22 December 2020], and July 2024 [accessed on 27 July 2024], the <<Data and Documentation>> menu, the <<Data Download>> option, and the TimeSeries section.
Acknowledgments
The author extends his gratitude to the World Values Survey and all the supporting projects for providing access to the datasets and granting permission to explore and publish the research results.
Conflicts of Interest
The author declares that there are no conflicts of interest regarding the research conducted in this study.
Abbreviations
ADA BOOST—Adaptive Boosting (It is a machine learning technique formulated by Yoav Freund and Robert Schapire in 1995. It combines multiple weak classifiers to create a potent classifier by focusing on misclassified instances, with each subsequent model prioritizing more challenging cases. In Rattle, ADA BOOST commonly works with decision trees).
AIC—Akaike Information Criterion (It is a measure used in model selection to balance goodness-of-fit and model complexity. Lower AIC values indicate a better model, as it seeks to minimize the lost information amount).
AUC-ROC—Area under the ROC Curve (It is a metric for evaluating the performance of classification models. It measures the area under the Receiver Operating Characteristic (ROC) curve, with values closer to 1.0 indicating better model performance).
BIC—Bayesian Information Criterion (This is another model selection criterion similar to AIC but applies a more substantial penalty for models with more parameters, aiming for simplicity and precision).
BMA—Bayesian Model Averaging (It is a statistical method that averages multiple models based on their posterior probabilities. This approach helps account for model uncertainty by considering several plausible models rather than selecting just one).
CPU—Central Processing Unit (It is the principal processor in a computer, responsible for executing instructions and managing tasks, often referred to as the <<brain>> of the computer).
CVLASSO—Cross-Validation LASSO (It is a Stata command that uses cross-validation to optimize the LASSO—Least Absolute Shrinkage and Selection Operator technique for variable selection, helping improve model stability and accuracy).
DK/NA—It labels responses indicating a lack of opinion, applicable across survey or questionnaire responses where participants select <<Do Not Know>>, <<No Answer>>, <<Not Applicable>>, or <<Not Asked>>.
ESTOUT—Estimation Output Package (It is a Stata package for assembling regression results from multiple models into a single, formatted table in the Stata console, which simplifies the comparison and reporting of models)
GRAD BOOST—Gradient Boosting (It is a machine learning technique used for regression and classification tasks that builds a predictive model in an iterative, sequential manner. It combines multiple weak learners, typically decision trees, to create a strong learner by minimizing a loss function. Each subsequent tree focuses on correcting the errors made by the previous ones, improving overall model accuracy. Gradient Boosting is known for its flexibility, efficiency, and ability to handle various data types, making it popular for complex predictive tasks).
IDE—Interactive Development Environment (It is an application that facilitates programming, allowing programmers to consolidate the various aspects of writing a computer program).
LASSO—Least Absolute Shrinkage and Selection Operator (LASSO is a statistical technique used for variable selection in regression analysis. It applies a shrinkage penalty to the model, reducing some coefficients to zero, which helps to select the most important predictors. This approach improves model accuracy and manages overfitting by simplifying the model).
LOGIT—Logistic Model, or Logistic Regression (It is a statistical model used for binary or ordinal outcome variables. It estimates the probability of a particular outcome by applying a logistic function to predictor variables).
MEM—Model Evaluation Metrics (It is a Stata command developed to evaluate the performance of statistical models, providing metrics for assessing model quality and fit).
NaN—Not a Number (It refers to missing or invalid data in Python).
NOMOLOG—Nomogram generator for LOGIT regressions developed by Alexander Zlotnik and Victor Abraira in 2015 (It is a tool for creating nomograms (graphical representations) based on logistic regression models, which can visually assess and predict outcomes).
OLOGIT—Ordered LOGIT (It is a regression model used for ordinal outcomes, where response categories have a natural order. It is commonly applied in survey analysis when responses fall into ordered categories).
OLS—Ordinary Least Squares (It is a method for estimating the coefficients in linear regression by minimizing the sum of squared residuals, thus providing a best-fit line for data).
OPROBIT—Ordered PROBIT (It is similar to Ordered LOGIT but assumes a normal distribution for error terms, making it another common choice for modeling ordinal data).
OVM—The overall model.
PCDM—Pairwise Correlation-based Data Mining (It is a statistical technique used in Stata to select variables. By analyzing correlations between pairs of variables, PCDM helps identify the most relevant variables for inclusion in statistical models, enhancing the robustness of the analysis).
PIP—Posterior Inclusion Probability (In Bayesian Model Averaging or BMA, PIP represents the probability that a given predictor is included in a good model, helping in variable selection).
RAM—Random Access Memory (It is a computer memory type that temporarily stores data and instructions while the CPU works. It enables quick access to information and enhances processing speed.
REMDKNA—Remove DK/NA values (It is a data-cleaning process in Stata to remove responses labeled as <<Do Not Know>> or <<No Answer>> from analyses to avoid bias from irrelevant data, sometimes improperly coded as negative values by assimilating them to NULLs or missing data. REMDKNA facilitates realistic feature selection, exploratory analysis, and performance evaluation of the resulting models without assuming specific responses from individuals. It relies exclusively on valid existing data, with the assumed drawback of a more reduced support for the resulting models. In addition to this procedure, Python easily supports performing data imputation techniques, e.g., further replacing missing or NaN values with the mean or median values for each variable with missing values).
RLASSO—Rigorous LASSO (It is a Stata command that applies a more stringent LASSO (Least Absolute Shrinkage and Selection Operator) technique for robust variable selection, especially in high-dimensional datasets).
URL—Uniform Resource Locator (This is the web address used to access online resources. It specifies the network location or retrieval mechanism for a resource on the internet).
VIF—Variance Inflation Factor (It measures multicollinearity in regression models, with high VIF values indicating collinearity issues that could distort model estimates).
WVS—World Values Survey (The World Values Survey is a global research project investigating human values, beliefs, and cultural changes across societies. It collects data from representative national samples worldwide to understand how these values and beliefs vary over time and between cultures).
Appendix A

Figure A1.
Step-by-step schematic representation of the techniques used.
Figure A1.
Step-by-step schematic representation of the techniques used.


Table A1.
The results of the reverse causality checks using Ordered LOGIT (OLOGIT) and comparisons in each pair of columns.
Table A1.
The results of the reverse causality checks using Ordered LOGIT (OLOGIT) and comparisons in each pair of columns.
| MODEL | (1) | (2) | (3) | (4) | (5) | (6) | (7) | (8) | (9) | (10) | (11) | (12) | (13) | (14) |
|---|---|---|---|---|---|---|---|---|---|---|---|---|---|---|
| Input (Below)\ Target Var. (Right) | H006_02 | A005 | H006_02 | H006_01 | H006_02 | H006_03 | H006_02 | H006_05 | H006_02 | H006_06 | H006_02 | X003 | H006_02 | X011 |
| A005 | 0.5882 *** | |||||||||||||
| (0.0061) | ||||||||||||||
| H006_01 | 1.3520 *** | |||||||||||||
| (0.0064) | ||||||||||||||
| H006_03 | 0.9107 *** | |||||||||||||
| (0.0051) | ||||||||||||||
| H006_05 | 0.9113 *** | |||||||||||||
| (0.0049) | ||||||||||||||
| H006_06 | 0.6734 *** | |||||||||||||
| (0.0066) | ||||||||||||||
| X003 | 0.0258 *** | |||||||||||||
| (0.0003) | ||||||||||||||
| X011 | −0.0818 *** | |||||||||||||
| (0.0030) | ||||||||||||||
| H006_02 | 0.4292 *** | 1.3628 *** | 0.8716 *** | 0.9279 *** | 0.6912 *** | 0.3521 *** | −0.0981 *** | |||||||
| (0.0045) | (0.0063) | (0.0050) | (0.0051) | (0.0069) | (0.0042) | (0.0040) | ||||||||
| N | 171,324 | 171,324 | 168,774 | 168,774 | 168,633 | 168,633 | 160,851 | 160,851 | 76,260 | 76,260 | 172,370 | 172,370 | 168,114 | 168,114 |
| chi-squared | 9265.0412 | 8963.3108 | 45,279.9356 | 46,882.6902 | 31,674.2073 | 30,542.5448 | 34,033.0702 | 32,624.4669 | 10,479.9127 | 9986.3459 | 7399.6695 | 6903.0362 | 747.8886 | 613.2204 |
| p | 0.0000 | 0.0000 | 0.0000 | 0.0000 | 0.0000 | 0.0000 | 0.0000 | 0.0000 | 0.0000 | 0.0000 | 0.0000 | 0.0000 | 0.0000 | 0.0000 |
| R-squared | 0.0234 | 0.0291 | 0.1852 | 0.1832 | 0.0952 | 0.0923 | 0.1069 | 0.1017 | 0.0634 | 0.0573 | 0.0188 | 0.0058 | 0.0018 | 0.0011 |
| AIC | 433,660.1186 | 319,486.8512 | 356,248.2647 | 365,536.5865 | 396,065.8946 | 401,458.6301 | 373,971.8429 | 388,183.9965 | 182,348.4733 | 197,367.4164 | 438,640.2054 | 140,1719.3584 | 434,039.8889 | 561,546.8724 |
| BIC | 433,700.3239 | 319,527.0565 | 356,288.4100 | 365,576.7318 | 396,106.0365 | 401,498.7720 | 374,011.7958 | 388,223.9494 | 182,385.4409 | 197,404.3840 | 438,680.4350 | 140,2584.2946 | 434,080.0184 | 561,607.0668 |
Source: Own calculation (Stata script at https://tinyurl.com/2p89ecfn [accessed on 20 November 2024]). Notes: Robust standard errors are between round parentheses. The raw coefficients emphasized using *** are significant at 1‰. Colors are applied to highlight better model scores and selected variables (green) and worse model scores and variables that were not selected (red) when comparing within pairs of models ((1, 2)—(13, 14)).
Table A2.
The results of the reverse causality checks using Ordered PROBIT (OPROBIT) and comparisons in each pair of columns.
Table A2.
The results of the reverse causality checks using Ordered PROBIT (OPROBIT) and comparisons in each pair of columns.
| MODEL | (1) | (2) | (3) | (4) | (5) | (6) | (7) | (8) | (9) | (10) | (11) | (12) | (13) | (14) |
|---|---|---|---|---|---|---|---|---|---|---|---|---|---|---|
| Input (Below)\ Target Var. (Right) | H006_02 | A005 | H006_02 | H006_01 | H006_02 | H006_03 | H006_02 | H006_05 | H006_02 | H006_06 | H006_02 | X003 | H006_02 | X011 |
| A005 | 0.3458 *** | |||||||||||||
| (0.0036) | ||||||||||||||
| H006_01 | 0.7432 *** | |||||||||||||
| (0.0033) | ||||||||||||||
| H006_03 | 0.5206 *** | |||||||||||||
| (0.0029) | ||||||||||||||
| H006_05 | 0.5232 *** | |||||||||||||
| (0.0028) | ||||||||||||||
| H006_06 | 0.3977 *** | |||||||||||||
| (0.0038) | ||||||||||||||
| X003 | 0.0155 *** | |||||||||||||
| (0.0002) | ||||||||||||||
| X011 | −0.0486 *** | |||||||||||||
| (0.0018) | ||||||||||||||
| H006_02 | 0.2572 *** | 0.7452 *** | 0.4974 *** | 0.5333 *** | 0.4079 *** | 0.1926 *** | −0.0620 *** | |||||||
| (0.0026) | (0.0033) | (0.0028) | (0.0029) | (0.0040) | (0.0024) | (0.0023) | ||||||||
| N | 171,324 | 171,324 | 168,774 | 168,774 | 168,633 | 168,633 | 160,851 | 160,851 | 76,260 | 76,260 | 172,370 | 172,370 | 168,114 | 168,114 |
| chi-squared | 9304.2975 | 9446.0492 | 49,921.3503 | 50,691.3245 | 32,798.0733 | 32,357.9450 | 35,655.9017 | 34,664.1413 | 10,720.6131 | 10,372.5133 | 7885.8133 | 6604.6559 | 723.2726 | 704.2992 |
| p | 0.0000 | 0.0000 | 0.0000 | 0.0000 | 0.0000 | 0.0000 | 0.0000 | 0.0000 | 0.0000 | 0.0000 | 0.0000 | 0.0000 | 0.0000 | 0.0000 |
| R-squared | 0.0228 | 0.0302 | 0.1761 | 0.1721 | 0.0908 | 0.0889 | 0.1030 | 0.0982 | 0.0627 | 0.0564 | 0.0195 | 0.0055 | 0.0017 | 0.0013 |
| AIC | 433,947.4199 | 319,109.0526 | 360,225.7087 | 370,499.6492 | 398,008.6528 | 402,989.8413 | 375,632.8636 | 389,718.6539 | 182,501.5837 | 197,556.3829 | 438,331.6546 | 140,2145.7894 | 434,066.1969 | 561,457.6424 |
| BIC | 433,987.6251 | 319,149.2578 | 360,265.8539 | 370,539.7945 | 398,048.7947 | 403,029.9832 | 375,672.8166 | 389,758.6068 | 182,538.5513 | 197,593.3505 | 438,371.8842 | 140,3010.7257 | 434,106.3265 | 561,517.8367 |
Source: Own calculation (Stata script at https://tinyurl.com/4r5crzjz [accessed on 20 November 2024]). Notes: Robust standard errors are between round parentheses. The raw coefficients emphasized using *** are significant at 1‰. Colors are applied to highlight better model scores and selected variables (green) and worse model scores and variables that were not selected (red) when comparing within pairs of models ((1, 2)—(13, 14)).
Table A3.
The results of cross-validation using eight variables (socio-demographic criteria) and mixed-effects binary (first eight models) and Ordered LOGIT (OLOGIT—last eight models).
Table A3.
The results of cross-validation using eight variables (socio-demographic criteria) and mixed-effects binary (first eight models) and Ordered LOGIT (OLOGIT—last eight models).
| MODEL | 1 | 2 | 3 | 4 | 5 | 6 | 7 | 8 | 9 | 10 | 11 | 12 | 13 | 14 | 15 | 16 |
|---|---|---|---|---|---|---|---|---|---|---|---|---|---|---|---|---|
| Input and Cross-Validation Criteria (Below)\ Target Var. (Right) | H006_02bin | H006_02bin | H006_02bin | H006_02bin | H006_02bin | H006_02bin | H006_02bin | H006_02bin | H006_02 | H006_02 | H006_02 | H006_02 | H006_02 | H006_02 | H006_02 | H006_02 |
| H006_01 | −1.0371 *** | −1.0442 *** | −1.0317 *** | −1.0486 *** | −1.0200 *** | −1.0500 *** | −0.9894 *** | −1.0218 *** | 1.1411 *** | 1.1409 *** | 1.1332 *** | 1.1400 *** | 1.1250 *** | 1.1594 *** | 1.0837 *** | 1.1222 *** |
| (0.0318) | (0.0177) | (0.0158) | (0.0535) | (0.0274) | (0.0219) | (0.0274) | (0.0454) | (0.0513) | (0.0156) | (0.0248) | (0.0742) | (0.0255) | (0.0284) | (0.0351) | (0.0507) | |
| H006_03 | −0.6161 *** | −0.6185 *** | −0.6102 *** | −0.6043 *** | −0.6157 *** | −0.6044 *** | −0.5511 *** | −0.6223 *** | 0.5970 *** | 0.6011 *** | 0.5932 *** | 0.5900 *** | 0.5975 *** | 0.5811 *** | 0.5431 *** | 0.6008 *** |
| (0.0170) | (0.0157) | (0.0134) | (0.0196) | (0.0169) | (0.0146) | (0.0242) | (0.0422) | (0.0218) | (0.0203) | (0.0165) | (0.0310) | (0.0119) | (0.0194) | (0.0246) | (0.0488) | |
| X003 | −0.0138 *** | −0.0234 *** | −0.0163 *** | −0.0164 *** | −0.0144 *** | −0.0129 *** | −0.0103 *** | −0.0133 *** | 0.0124 *** | 0.0204 *** | 0.0143 *** | 0.0135 *** | 0.0128 *** | 0.0114 *** | 0.0091 *** | 0.0118 *** |
| (0.0037) | (0.0030) | (0.0005) | (0.0017) | (0.0014) | (0.0005) | (0.0016) | (0.0013) | (0.0037) | (0.0026) | (0.0004) | (0.0015) | (0.0008) | (0.0006) | (0.0015) | (0.0012) | |
| _cons | 5.1816 *** | 5.5808 *** | 5.2988 *** | 5.3151 *** | 5.1979 *** | 5.2003 *** | 4.8636 *** | 5.1639 *** | ||||||||
| (0.1558) | (0.2770) | (0.1321) | (0.1624) | (0.0724) | (0.0946) | (0.1267) | (0.1680) | |||||||||
| var(_cons[X001]) | 0.0012 *** | 0.0008 *** | ||||||||||||||
| (0.0002) | (0.0002) | |||||||||||||||
| var(_cons[X007]) | 0.0834 * | 0.0602 * | ||||||||||||||
| (0.0378) | (0.0278) | |||||||||||||||
| var(_cons[X025R]) | 0.0537 | 0.0284 | ||||||||||||||
| (0.0282) | (0.0147) | |||||||||||||||
| var(_cons[X028]) | 0.0973 * | 0.0630 * | ||||||||||||||
| (0.0442) | (0.0260) | |||||||||||||||
| var(_cons[X045]) | 0.0314 | 0.0155 * | ||||||||||||||
| (0.0162) | (0.0075) | |||||||||||||||
| var(_cons[X049]) | 0.0106 * | 0.0077 * | ||||||||||||||
| (0.0044) | (0.0034) | |||||||||||||||
| var(_cons[S003]) | 0.5077 *** | 0.4480 *** | ||||||||||||||
| (0.1147) | (0.1103) | |||||||||||||||
| var(_cons[S020]) | 0.2280 | 0.2537 | ||||||||||||||
| (0.1598) | (0.1969) | |||||||||||||||
| N | 164,178 | 163,774 | 162,977 | 162,168 | 159,092 | 145,379 | 164,251 | 164,251 | 164,178 | 163,774 | 162,977 | 162,168 | 159,092 | 145,379 | 164,251 | 164,251 |
| AIC | 141,721.4996 | 139,301.1829 | 139,658.1573 | 138,213.8393 | 136,540.3356 | 124,368.2495 | 133,891.4952 | 140,133.2174 | 331,003.4593 | 327,670.4643 | 327,579.7940 | 324,733.1076 | 320,079.7409 | 291,232.5835 | 319,350.1981 | 328,955.0451 |
| BIC | 141,731.5083 | 139,351.2141 | 139,688.1614 | 138,263.8212 | 136,590.2218 | 124,417.6850 | 133,941.5410 | 140,183.2631 | 331,023.4767 | 327,730.5017 | 327,609.7981 | 324,803.0823 | 320,129.6271 | 291,301.7932 | 319,420.2622 | 329,025.1091 |
Source: Own calculation in Stata (Stata script at https://tinyurl.com/ysjhwunt [accessed on 11 November 2024]). Notes: var (_cons [var_name]) indicates the cross-validation criterion. Robust standard errors are between round parentheses. The raw coefficients emphasized using * and *** are significant at 5% and 1‰.
Table A4.
The results of controlling using the most relevant and supported three determinants (triad) plus each of those seven consecrated socio-demographic variables in LOGIT models (first 7) and OLOGIT ones (9–15 or the penultimate 7).
Table A4.
The results of controlling using the most relevant and supported three determinants (triad) plus each of those seven consecrated socio-demographic variables in LOGIT models (first 7) and OLOGIT ones (9–15 or the penultimate 7).
| MODEL | (1) | (2) | (3) | (4) | (5) | (6) | (7) | (8) | (9) | (10) | (11) | (12) | (13) | (14) | (15) | (16) |
|---|---|---|---|---|---|---|---|---|---|---|---|---|---|---|---|---|
| Input (Below)\ Target Var. (Right) | H006_02bin | H006_02bin | H006_02bin | H006_02bin | H006_02bin | H006_02bin | H006_02bin | H006_02bin | H006_02 | H006_02 | H006_02 | H006_02 | H006_02 | H006_02 | H006_02 | H006_02 |
| H006_01 | −1.0372 *** | −1.0399 *** | −1.0308 *** | −1.0391 *** | −1.0204 *** | −1.0498 *** | −1.0332 *** | −1.0355 *** | 1.1412 *** | 1.1393 *** | 1.1325 *** | 1.1413 *** | 1.1252 *** | 1.1588 *** | 1.139 2*** | 1.1398 *** |
| (0.0067) | (0.0067) | (0.0067) | (0.0067) | (0.0068) | (0.0072) | (0.0067) | (0.0067) | (0.0069) | (0.0068) | (0.0069) | (0.0069) | (0.0070) | (0.0074) | (0.0069) | (0.0069) | |
| H006_03 | −0.6160 *** | −0.6230 *** | −0.6103 *** | −0.6150 *** | −0.6162 *** | −0.6063 *** | −0.6201 *** | −0.6181 *** | 0.5969 *** | 0.6037 *** | 0.5932 *** | 0.5970 *** | 0.5979 *** | 0.5830 *** | 0.5989 *** | 0.5987 *** |
| (0.0064) | (0.0064) | (0.0064) | (0.0065) | (0.0065) | (0.0068) | (0.0064) | (0.0064) | (0.0055) | (0.0055) | (0.0055) | (0.0056) | (0.0056) | (0.0059) | (0.0055) | (0.0055) | |
| X003 | −0.0138 *** | −0.0194 *** | −0.0160 *** | −0.0137 *** | −0.0145 *** | −0.0130 *** | −0.0138 *** | −0.0138 *** | 0.0124 *** | 0.0174 *** | 0.0141 *** | 0.0124 *** | 0.0128 *** | 0.0115 *** | 0.0124 *** | 0.0124 *** |
| (0.0004) | (0.0004) | (0.0004) | (0.0004) | (0.0004) | (0.0004) | (0.0004) | (0.0004) | (0.0003) | (0.0003) | (0.0003) | (0.0003) | (0.0003) | (0.0003) | (0.0003) | (0.0003) | |
| X001 | 0.0708 *** | −0.0600 *** | ||||||||||||||
| (0.0133) | (0.0098) | |||||||||||||||
| X007 | −0.1354 *** | 0.1122 *** | ||||||||||||||
| (0.0033) | (0.0024) | |||||||||||||||
| X025R | −0.2698 *** | 0.1959 *** | ||||||||||||||
| (0.0091) | (0.0067) | |||||||||||||||
| X028 | 0.0232 *** | −0.0171 *** | ||||||||||||||
| (0.0034) | (0.0024) | |||||||||||||||
| X045 | 0.1523 *** | −0.1054 *** | ||||||||||||||
| (0.0070) | (0.0052) | |||||||||||||||
| X049 | −0.0345 *** | 0.0249 *** | ||||||||||||||
| (0.0028) | (0.0021) | |||||||||||||||
| S020 | −0.0183 *** | 0.0029 * | ||||||||||||||
| (0.0018) | (0.0013) | |||||||||||||||
| _cons | 5.0752 *** | 5.8079 *** | 5.8122 *** | 5.1112 *** | 4.6931 *** | 5.3510 *** | 42.1382 *** | 5.1839 *** | ||||||||
| (0.0344) | (0.0325) | (0.0359) | (0.0297) | (0.0355) | (0.0326) | (3.5982) | (0.0278) | |||||||||
| N | 164,178 | 163,774 | 162,977 | 162,168 | 159,092 | 145,379 | 164,251 | 164,251 | 164,178 | 163,774 | 162,977 | 162,168 | 159,092 | 145,379 | 164,251 | 164,251 |
| chi-squared | 39,647.6001 | 39,896.5597 | 39,728.6792 | 39,156.6848 | 38,335.5520 | 35,085.3819 | 39,697.6468 | 39,682.1189 | 61,074.3894 | 62,169.9111 | 61,628.3897 | 60,355.4529 | 59,373.9051 | 53,925.0362 | 61,107.7811 | 61,080.5696 |
| p | 0.0000 | 0.0000 | 0.0000 | 0.0000 | 0.0000 | 0.0000 | 0.0000 | 0.0000 | 0.0000 | 0.0000 | 0.0000 | 0.0000 | 0.0000 | 0.0000 | 0.0000 | 0.0000 |
| R-squared | 0.3095 | 0.3177 | 0.3135 | 0.3101 | 0.3099 | 0.3114 | 0.3100 | 0.3095 | 0.2216 | 0.2264 | 0.2233 | 0.2218 | 0.2210 | 0.2230 | 0.2216 | 0.2215 |
| AIC | 141,722.1975 | 139,670.5809 | 139,697.3720 | 139,684.2731 | 136,553.7711 | 124,402.5994 | 141,703.5849 | 141,809.2580 | 331,005.6621 | 328,084.2449 | 327,635.6275 | 326,538.5921 | 320,080.0242 | 291,315.9172 | 331,191.8163 | 331,194.7322 |
| BIC | 141,772.2410 | 139,720.6122 | 139,747.3789 | 139,734.2550 | 136,603.6573 | 124,452.0348 | 141,753.6306 | 141,849.2946 | 331,075.7231 | 328,154.2886 | 327,705.6371 | 326,608.5668 | 320,149.8649 | 291,385.1269 | 331,261.8804 | 331,254.7871 |
| AUC-ROC | 0.8555 | 0.8598 | 0.8574 | 0.8558 | 0.8556 | 0.8567 | 0.8558 | 0.8554 | ||||||||
| chi-squared GOF | 5294.78 | 8587.18 | 6546.85 | 11,766.55 | 8277.95 | 11,382.74 | 18,157.36 | 4066.64 | ||||||||
| p GOF | 0.0000 | 0.0000 | 0.0000 | 0.0000 | 0.0000 | 0.0000 | 0.0000 | 0.0000 | ||||||||
| maxProbNlogPenultThrsh | 0.9500 | 0.9500 | 0.9500 | 0.9500 | 0.9500 | 0.9500 | 0.9900 | 0.9500 | ||||||||
| maxProbNlogLastThrsh | 0.9900 | 0.9900 | 0.9900 | 0.9900 | 0.9900 | 0.9900 | 0.9990 | 0.9900 |
Source: Own calculation in Stata (Stata script at https://tinyurl.com/2p8824yd [accessed 11 November 2024]). Notes: Robust standard errors are between round parentheses. The raw coefficients emphasized using * and *** are significant at 5% and 1‰.
Table A5.
The results of controlling each of the most relevant and supported three determinants and each item from the list of consecrated socio-demographic variables in LOGIT models (one per model).
Table A5.
The results of controlling each of the most relevant and supported three determinants and each item from the list of consecrated socio-demographic variables in LOGIT models (one per model).
| MODEL | (1) | (2) | (3) | (4) | (5) | (6) | (7) | (8) | (9) | (10) |
|---|---|---|---|---|---|---|---|---|---|---|
| H006_01 | −1.2158 *** | |||||||||
| (0.0062) | ||||||||||
| H006_03 | −0.8490 *** | |||||||||
| (0.0054) | ||||||||||
| X003 | −0.0272 *** | |||||||||
| (0.0003) | ||||||||||
| X001 | 0.0478 *** | |||||||||
| (0.0103) | ||||||||||
| X007 | −0.0423 *** | |||||||||
| (0.0024) | ||||||||||
| X025R | −0.2370 *** | |||||||||
| (0.0070) | ||||||||||
| X028 | 0.0233 *** | |||||||||
| (0.0024) | ||||||||||
| X045 | 0.2138 *** | |||||||||
| (0.0054) | ||||||||||
| X049 | −0.0566 *** | |||||||||
| (0.0022) | ||||||||||
| S020 | −0.0204 *** | |||||||||
| (0.0014) | ||||||||||
| _cons | 3.6291 *** | 2.6436 *** | 1.9454 *** | 0.6838 *** | 0.8688 *** | 1.2458 *** | 0.6864 *** | 0.0847 *** | 1.0613 *** | 41.9230 *** |
| (0.0165) | (0.0137) | (0.0161) | (0.0165) | (0.0082) | (0.0153) | (0.0094) | (0.0181) | (0.0126) | (2.8278) | |
| N | 168,774 | 168,633 | 172,370 | 172,803 | 172,386 | 171,506 | 170,703 | 167,119 | 152,748 | 172,938 |
| chi-squared | 38,720.0915 | 24,907.1205 | 6534.9934 | 21.3800 | 315.5694 | 1161.8363 | 91.5794 | 1571.9277 | 650.3680 | 211.9427 |
| p | 0.0000 | 0.0000 | 0.0000 | 0.0000 | 0.0000 | 0.0000 | 0.0000 | 0.0000 | 0.0000 | 0.0000 |
| R-squared | 0.2568 | 0.1354 | 0.0333 | 0.0001 | 0.0014 | 0.0055 | 0.0004 | 0.0076 | 0.0035 | 0.0010 |
| AIC | 156,799.8474 | 182,876.3340 | 208,616.3857 | 216,475.4579 | 215,635.5572 | 213,403.4145 | 213,509.8013 | 206,642.4792 | 189,658.6138 | 216,479.3784 |
| BIC | 156,819.9200 | 182,896.4049 | 208,636.5005 | 216,495.5777 | 215,655.6722 | 213,423.5192 | 213,529.8967 | 206,662.5321 | 189,678.4869 | 216,499.4998 |
| AUC-ROC | 0.8200 | 0.7392 | 0.6149 | 0.5060 | 0.5223 | 0.5480 | 0.5117 | 0.5587 | 0.5413 | 0.5167 |
Source: Own calculation in Stata (Stata script at https://tinyurl.com/4azhterm [accessed on 11 November 2024]). Notes: H006_02bin is the response variable. Robust standard errors are between round parentheses. The raw coefficients emphasized using *** are significant at 1‰.
Table A6.
The results of controlling each of the most relevant and supported three determinants and each element from the list of consecrated socio-demographic variables in OLOGIT models (one per model).
Table A6.
The results of controlling each of the most relevant and supported three determinants and each element from the list of consecrated socio-demographic variables in OLOGIT models (one per model).
| MODEL | (1) | (2) | (3) | (4) | (5) | (6) | (7) | (8) | (9) | (10) |
|---|---|---|---|---|---|---|---|---|---|---|
| H006_01 | 1.3520 *** | |||||||||
| (0.0064) | ||||||||||
| H006_03 | 0.9107 *** | |||||||||
| (0.0051) | ||||||||||
| X003 | 0.0258 *** | |||||||||
| (0.0003) | ||||||||||
| X001 | −0.0489 *** | |||||||||
| (0.0088) | ||||||||||
| X007 | 0.0356 *** | |||||||||
| (0.0021) | ||||||||||
| X025R | 0.2147 *** | |||||||||
| (0.0059) | ||||||||||
| X028 | −0.0281 *** | |||||||||
| (0.0021) | ||||||||||
| X045 | −0.1854 *** | |||||||||
| (0.0046) | ||||||||||
| X049 | 0.0581 *** | |||||||||
| (0.0019) | ||||||||||
| S020 | 0.0110 *** | |||||||||
| (0.0012) | ||||||||||
| N | 168,774 | 168,633 | 172,370 | 172,803 | 172,386 | 171,506 | 170,703 | 167,119 | 152,748 | 172,938 |
| R-squared | 0.1852 | 0.0952 | 0.0188 | 0.0001 | 0.0007 | 0.0030 | 0.0004 | 0.0038 | 0.0025 | 0.0002 |
| AIC | 356,248.2647 | 396,065.8946 | 438,640.2054 | 448,323.9393 | 446,903.7793 | 443,320.0848 | 442,294.4715 | 430,603.7931 | 393,693.9663 | 448,660.2321 |
| BIC | 356,288.4100 | 396,106.0365 | 438,680.4350 | 448,364.1789 | 446,944.0093 | 443,360.2943 | 442,334.6622 | 430,643.8989 | 393,733.7125 | 448,700.4749 |
Source: Own calculation in Stata (Stata script at https://tinyurl.com/33txuzze [accessed 11 November 2024]). Notes: H006_02 is the response variable. Robust standard errors are between round parentheses. The raw coefficients emphasized using *** are significant at 1‰.
Table A7.
The results of filtering and non-randomly cross-validating on the continent criterion in Ordered LOGIT (OLOGIT—first six models) and binary LOGIT (last seven models).
Table A7.
The results of filtering and non-randomly cross-validating on the continent criterion in Ordered LOGIT (OLOGIT—first six models) and binary LOGIT (last seven models).
| MODEL | (1) Continent1 (Africa) | (2) Continent2 (Asia) | (3) Continent3 (Europe) | (4) Continent4 (North America) | (5) Continent5 (South America) | (6) Continent6 (Oceania) | (7) Continent1 (Africa) | (8) Continent1 (Africa) | (9) Continent2 (Asia) | (10) Continent3 (Europe) | (11) Continent4 (North America) | (12) Continent5 (South America) | (13) Continent6 (Oceania) |
|---|---|---|---|---|---|---|---|---|---|---|---|---|---|
| Input and Cross-Validation Criteria (Below)\ Target Var. (Right) | H006_02 | H006_02 | H006_02 | H006_02 | H006_02 | H006_02 | H006_02bin | H006_02bin | H006_02bin | H006_02bin | H006_02bin | H006_02bin | H006_02bin |
| main | |||||||||||||
| H006_01 | 1.0548 *** | 1.0230 *** | 1.2481 *** | 1.1929 *** | 1.0605 *** | 1.0356 *** | |||||||
| (0.0189) | (0.0104) | (0.0170) | (0.0196) | (0.0202) | (0.0392) | ||||||||
| H006_03 | 0.7366 *** | 0.6353 *** | 0.4840 *** | 0.5820 *** | 0.4636 *** | 0.5390 *** | |||||||
| (0.0166) | (0.0086) | (0.0127) | (0.0165) | (0.0154) | (0.0359) | ||||||||
| X003 | −0.0026 * | 0.0075 *** | 0.0154 *** | 0.0154 *** | 0.0071 *** | 0.0242 *** | 0.0007 | −0.0086 *** | −0.0144 *** | −0.0185 *** | −0.0100 *** | −0.0161 *** | |
| (0.0011) | (0.0005) | (0.0007) | (0.0010) | (0.0010) | (0.0019) | (0.0015) | (0.0007) | (0.0010) | (0.0012) | (0.0013) | (0.0024) | ||
| H006_01osc | 1.0336 *** | 1.0322 *** | 0.9563 *** | 1.0860 *** | 1.0827 *** | 0.9497 *** | 0.9120 *** | ||||||
| (0.0192) | (0.0190) | (0.0103) | (0.0162) | (0.0192) | (0.0200) | (0.0386) | |||||||
| H006_03osc | 0.7060 *** | 0.7067 *** | 0.6116 *** | 0.5577 *** | 0.6138 *** | 0.4901 *** | 0.5831 *** | ||||||
| (0.0191) | (0.0190) | (0.0097) | (0.0153) | (0.0196) | (0.0187) | (0.0411) | |||||||
| _cons | −1.7882 *** | −1.7624 *** | −1.3087 *** | −1.8788 *** | −1.7809 *** | −0.8237 *** | −1.6658 *** | ||||||
| (0.0748) | (0.0460) | (0.0381) | (0.0594) | (0.0748) | (0.0739) | (0.1515) | |||||||
| N | 23,870 | 70,523 | 27,776 | 18,531 | 19,007 | 4544 | 23,870 | 23,870 | 70,523 | 27,776 | 18,531 | 19,007 | 4544 |
| chi-squared | 8329.5131 | 22,450.4358 | 9867.1957 | 7484.1605 | 5132.7670 | 1367.1967 | 5392.8103 | 5390.4093 | 14,007.0181 | 6951.0461 | 5307.6459 | 3552.7459 | 924.1757 |
| p | 0.0000 | 0.0000 | 0.0000 | 0.0000 | 0.0000 | 0.0000 | 0.0000 | 0.0000 | 0.0000 | 0.0000 | 0.0000 | 0.0000 | 0.0000 |
| R-squared | 0.2302 | 0.1851 | 0.2189 | 0.2542 | 0.1761 | 0.1792 | 0.3432 | 0.3432 | 0.2554 | 0.2980 | 0.3550 | 0.2475 | 0.2287 |
| AIC | 39,582.5343 | 144,148.9806 | 59,738.5254 | 35,615.7100 | 36,423.8133 | 9552.2845 | 14,875.2423 | 14,873.4401 | 60,674.9306 | 27,011.4704 | 16,192.2798 | 15,076.4918 | 4504.5115 |
| BIC | 39,631.0166 | 144,203.9628 | 59,787.9169 | 35,662.6732 | 36,470.9287 | 9590.8139 | 14,907.5639 | 14,897.6813 | 60,711.5854 | 27,044.3981 | 16,223.5886 | 15,107.9020 | 4530.1977 |
| AUC-ROC | 0.8772 | 0.8753 | 0.8302 | 0.8469 | 0.8739 | 0.8263 | 0.8139 | ||||||
| chi-squared GOF | 1219.96 | 149.99 | 2399.51 | 1741.22 | 1657.16 | 1500.32 | 999.64 | ||||||
| p GOF | 0.0000 | 0.0000 | 0.0000 | 0.0000 | 0.0000 | 0.0000 | 0.0170 | ||||||
| maxProbNlogPenultThrsh | 0.9000 | 0.9000 | 0.9000 | 0.9000 | 0.9000 | 0.9000 | 0.8000 | ||||||
| maxProbNlogLastThrsh | 0.9500 | 0.9500 | 0.9500 | 0.9500 | 0.9500 | 0.9500 | 0.9000 |
Source: Own calculation in Stata (Stata script at https://tinyurl.com/yc56894s [accessed on 23 January 2025]). Notes: Robust standard errors are between round parentheses. The raw coefficients emphasized using * and *** are significant at 5% and 1‰. H006_01osc and H006_03osc are similar to H006_01 and H006_03 (except for the inverted and more intuitive scale that now starts from 0 instead of 1 for left-alignment reasons in the nomograms).
Table A8.
Short review using a subset of studies strongly interconnected with this paper.
Table A8.
Short review using a subset of studies strongly interconnected with this paper.
| Previous Study | Scope | Methodology | Key Findings | Comparison with the Current Manuscript |
|---|---|---|---|---|
| [124] | This author examined the importance of parental concerns about children and their development and their correlation with actual developmental problems. | It is a study involving 100 families assessing parental concerns and conducting developmental screenings. | Parental concerns are critical predictors of the health and development of their children. Moreover, parental concerns can be a helpful adjunct to standardized developmental screening. | The current manuscript confirms and extends these findings by emphasizing the role of job insecurity, war fears, and generational perspectives in shaping parental concerns regarding education. |
| [125] | They explored the impact of parental involvement in schooling and the academic performance (of children), focusing on a multidimensional conceptualization and a motivational model. | Conceptual and theoretical model based on existing literature regarding parental involvement. Survey of 300 elementary school students and their parents. | They found that parental involvement was associated with higher academic performance, mediated by how children perceive competence and control. | The current manuscript confirms and extends these findings by emphasizing the role of job insecurity, war fears, and generational perspectives in shaping parental concerns regarding education. |
| [126] | They examined the effects of parental involvement on the academic achievement of students. It is about students in the eighth grade. | An empirical study using data analysis to assess the relationship between parental involvement and academic performance (data from the National Education Longitudinal Study) | They found something intuitive about parental involvement (a significant positive effect on academic achievement—variations observed across different types of involvement). | While confirming that parental involvement is crucial, the current manuscript further explores how socio-political uncertainties dictate parental engagement and concerns regarding education. |
| [127] | This scholar investigated the impact of parental involvement as social capital on student behavior, academic achievement, science achievement, truancy, dropping out, etc. | An empirical study using statistical analysis to examine the impact of parental involvement on educational outcomes (data from the National Education Longitudinal Study) | Found that different types of involvement had varying effects, with educational support activities being most beneficial for academic achievement. | The current manuscript supports the notion that adolescents are forward-looking; however, I expand on this by demonstrating that parental fears, shaped by social and economic factors, significantly impact educational aspirations. |
| [128] | They investigated the impact of parental involvement on student achievement and adjustment. | They performed a literature review of studies related to parental involvement in the academic outcomes (of children). | They concluded that parental involvement has a significant positive effect on children in terms of achievement and adjustment, with the home environment and family education being particularly influential. | While confirming that parental involvement is crucial, the current manuscript further explores how socio-political uncertainties dictate parental engagement and concerns regarding education. |
| [129] | They explored how different types of parental involvement affect academic achievement across various ethnic groups. | It is a longitudinal study using data about 463 adolescents. | They found that academic socialization was the most consistent predictor of this achievement type across ethnic groups. | While this research highlights the importance of academic socialization, the current manuscript adds a macro-sociological perspective, linking broader societal fears (e.g., economic instability, conflicts, etc.) to parental priorities. |
| [130] | They examined the long-term effects of parental involvement, expectations, and quality of assistance on children in terms of achievement in early elementary school. | It is a longitudinal study analyzing the impact of parental factors on children (in terms of academic performance). | Parental involvement, expectations, and the quality of assistance significantly influenced this type of achievement for children. | The findings of the current manuscript align with this conclusion while clarifying key external causes, such as geopolitical instability and job insecurity, which shape parental expectations. |
| [131] | They revised a model of parental involvement and developed scales to measure it. | Theoretical model revision and development of new scales through extensive literature review and data collection. | It developed scales that allow for more precise measurement of various dimensions of parental involvement. | While this research highlights the importance of academic socialization, the current manuscript adds a macro-sociological perspective, linking broader societal fears (e.g., economic instability, conflicts, etc.) to parental priorities. |
| [110] | They studied the maternal involvement in the education of preschool children in Japan. | They used mixed methods. It is about a combination of surveys (quantitative) and in-depth interviews (qualitative) with mothers. Data were analyzed using statistical techniques and thematic analysis to understand relationships between maternal involvement, socio-economic status, and educational outcomes (of children). | They found that maternal involvement positively correlates with the academic success of children, socio-economic factors, and parenting beliefs influencing this relationship. | While this research highlights the importance of academic socialization, the current manuscript adds a macro-sociological perspective, linking broader societal fears (e.g., economic instability, conflicts, etc.) to parental priorities. |
| [132] | They analyzed the role of parental involvement in the academic lives of children. | Literature review. | Suggested that the quality of parental involvement is more important than the quantity, emphasizing autonomy-supportive involvement. | The current manuscript confirms and extends these findings by emphasizing the role of job insecurity, war fears, and generational perspectives in shaping parental concerns regarding education. |
| [15] | They investigated factors influencing parental decisions to become involved in the education (of children). | They used surveys or questionnaires to assess parental motivations and barriers to involvement. | Identifies key factors that encourage or hinder parental involvement, providing insights for educators to foster better parent-school partnerships. | The current manuscript supports the notion that adolescents are forward-looking; however, I expand on this by demonstrating that parental fears, shaped by social and economic factors, significantly impact educational aspirations. |
| [133] | They investigated the impact of parental attitudes towards education on children (as well-being). | They conducted an empirical study analyzing the relationship between parental attitudes and this type of well-being for their children (qualitative methodologies used; semi-structured in-depth interviews with 34 participants). | Positive parental attitudes towards education relate to better overall well-being in children. | The findings of the current manuscript align with this conclusion, but they elaborate it by identifying key external stressors, such as war threats and employment concerns, that influence parental expectations. |
| [134] | They examined the effects of parental involvement on the academic self-efficacy, engagement, and intrinsic motivation of students. | Empirical research based on surveys and statistical analysis to explore the relationship between parental involvement and student motivation (survey of 1500 high school students) | They found that parental involvement was positively related to the academic self-efficacy, engagement, and intrinsic motivation of students, which, in turn, were linked to higher academic achievement. | The current manuscript supports the notion that adolescents are forward-looking; however, I expand on this by demonstrating that parental fears, shaped by social and economic factors, significantly impact educational aspirations. |
| [17] | They assessed strategies of parental involvement in middle school and their effects on student achievement. | It performs a meta-analytic assessment of various parental involvement strategies during middle school years. | They identified specific parental involvement strategies that promote academic achievement in middle school students. | While confirming that parental involvement is crucial, the current manuscript further explores how socio-political uncertainties dictate parental engagement and concerns regarding education. |
| [135] | They investigated how parental involvement influences student academic performance using a multiple mediation analysis approach. | They employed statistical mediation analysis to explore the mechanisms specific to parental involvement affecting academic achievement (longitudinal study of 158 children). | They found that increased parental involvement was associated with higher academic performance, mediated by the behavior, emotional well-being, and perceptions of cognitive competence of children. | The current manuscript confirms and extends these findings by emphasizing the role of job insecurity, war fears, and generational perspectives in shaping parental concerns regarding education. |
| [136] | This author examined the future orientation of adolescents with intellectual disabilities and their parents in the Arab sector in Israel. | It is a comparative study investigating gender-related differences in future orientation. | Adolescents consider their future, with notable gender differences; no correlation stands between the future orientations of parents and their children. | The current manuscript supports the notion that adolescents are forward-looking; however, I expand on this by demonstrating that parental fears, shaped by social and economic factors, significantly impact educational aspirations. |
| [90] | They explored the prevalence of parental concerns and their link to socio-demographic factors in general parenting. | They used survey-based research analyzing socio-demographic predictors of parenting concerns. | They identified key socio-demographic factors shaping parental concerns, with implications for child health care services. | While confirming that parental involvement is crucial, the current manuscript further explores how socio-political uncertainties dictate parental engagement and concerns regarding education. |
| [137] | They investigated the effects of private tutoring and parenting behaviors on the academic achievement of children in Korea, comparing low- and high-income groups. | They relied on an empirical study using data to analyze the differences between income groups. | Both private tutoring and parenting behaviors impact academic achievement, with differing effects between low- and high-income groups. | The findings of the current manuscript align with this conclusion, but they further elaborate it by identifying key external risks, such as war threats and employment concerns, that influence parental expectations. |
| [16] | They examined the relationship between parental involvement and the academic achievement of children. | Meta-analysis of 37 studies. | They found a positive association between parental involvement and academic achievement, with specific types of involvement (e.g., academic socialization) being more effective. | While confirming that parental involvement is crucial, the current manuscript further explores how socio-political uncertainties dictate parental engagement and concerns regarding education. |
| [8] | They examined the relationship between parental socio-economic status (SES) and educational attainment (the case of the children in Dalian City, China). | Longitudinal mixed methods study combining quantitative and qualitative data. | Parental SES significantly influences the academic outcomes of children, with disparities in educational attainment based on family income and resources. | The current manuscript supports the notion that adolescents are forward-looking; however, I expand on this by demonstrating that parental fears, shaped by social and economic factors, significantly impact educational aspirations. |
| [13] | They explored the parental involvement in the education of children and the value of parental perceptions in public education. | They employed qualitative methods, such as interviews or focus groups, to gather in-depth insights from parents about their involvement and perceptions. | They highlighted the significance of parental perceptions and active involvement in enhancing educational experiences (for children). | While this research highlights the importance of academic socialization, the current manuscript adds a macro-sociological perspective, linking broader societal fears (e.g., economic instability, conflicts, etc.) to parental priorities. |
| [14] | This scholar examined parental beliefs about academic abilities and the implications for educational investments (for children). | Analyzed data on parental beliefs and educational investments, possibly using econometric methods. | The parental beliefs about the abilities of their children significantly influence the level and type of educational investments they make. | The findings of the current manuscript align with this conclusion, but they further elaborate it by identifying key external causes, such as war threats and employment concerns, that influence parental expectations. |
| [138] | They conducted a meta-analysis exploring the link between parental expectations and the academic performance of students. | They performed a comprehensive meta-analysis of existing research on parental expectations. | Parental expectations have a positive correlation with the academic success of the children. | The findings of the current manuscript align with this conclusion and even refine it by identifying key external pressures, such as geopolitical instability and employment worries influencing parental expectations. |
| [139] | They investigated associations between academic stress, mental distress, academic self-disclosure to parents, and school engagement in Hong Kong. | They conducted an empirical study using surveys to assess the relationships between academic stress, mental health, and school engagement. | Academic stress is linked to mental distress, while self-disclosure to parents positively influences school engagement. | The current manuscript supports the notion that adolescents are forward-looking; however, I expand on this by demonstrating that parental fears, shaped by socio-economic factors, significantly impact educational aspirations. |
| [105] | This author analyzed parental unemployment and the health of children in China. | Quantitative: Survey-based analysis using data from national health and family surveys. Data were analyzed using statistical methods such as regression to identify correlations between unemployment and health outcomes specific to children. | Parental unemployment negatively affects the health of children, especially regarding physical and psychological aspects. | The current manuscript confirms and extends these findings by emphasizing the role of job insecurity, war fears, and generational perspectives in shaping parental concerns regarding education. |
| [112] | They studied the impact of the marital status (of parents) on the education performance of children in Indonesia. | Quantitative: Statistical analysis using survey data from schools. Regression models were used to explore the relationship between parental marital status and the academic performance of students and control for other factors, such as socio-economic status. | Stable family structures are associated with better academic performance in children, with divorced or single-parent households showing lower specific outcomes. | The findings in the current manuscript align with this conclusion but elaborate on it by identifying key external determinants, such as war threats and job insecurity, which influence parental expectations. |
| [140] | This author conducted a meta-synthesis of research on the effects of parental involvement on academic achievement. | Meta-synthesis of 50 studies to evaluate how different types of parental involvement influence student success. | Parental involvement is positively related to academic achievement, with the strength of the relationship varying based on the type of involvement and student characteristics. | While this research highlights the importance of academic socialization, the current manuscript adds a macro-sociological perspective, linking broader societal fears (e.g., economic instability, conflicts, etc.) to parental priorities. |
| [141] | They investigated parental concerns about the critical effects of television viewing on behavior and school performance (the case of children from Addis Ababa, Ethiopia). | Survey-based research to understand parental concerns regarding media consumption by children (mixed-methods study involving 390 parents using standardized measures and focus group discussions). | They found moderate-to-high levels of concern regarding the exposure of children to offensive language, premature sexual content, engagement in violent activities, and academic disengagement due to TV viewing. | While confirming that parental involvement is crucial, the current manuscript further explores how socio-political uncertainties dictate parental engagement and concerns regarding education. |
| [11] | They investigated parental perceptions of the willingness to study and the learning difficulties associated with school transportation of their children in Ukerewe Island, Tanzania. | The specific methodological details are not available. Still, such studies typically employ qualitative methods such as interviews or focus groups with parents to gather in-depth insights into their perceptions and experiences. | The study discusses factors influencing the motivation of children to study and the challenges posed by school transportation in rural settings like Ukerewe Island. | While confirming that parental involvement is crucial, the current manuscript further explores how socio-political uncertainties dictate parental engagement and concerns regarding education. |
| [47] | They examined how the beliefs of students and educational level, attitudes, and motivation of parents influence mathematics achievement. | Quantitative study using statistical analysis to assess mediation effects. | Attitude and motivation have a crucial mediating role in student achievement. They also highlighted the importance of parental education and student self-beliefs. | The current manuscript confirms and extends these findings by emphasizing the role of job insecurity, war fears, and generational perspectives in shaping parental concerns regarding education. |
| [116] | They investigated the timing of parental unemployment, insurance, and education of children. | Quantitative: Longitudinal data analysis using surveys and official unemployment and education records. Statistical models were applied to assess the long-term impact of unemployment timing and insurance on the educational outcomes (of children). | The timing of parental unemployment, particularly during early childhood, and access to insurance significantly affect the education of children, with early unemployment showing more detrimental effects. | While confirming that parental involvement is crucial, the current manuscript further explores how socio-political uncertainties dictate parental engagement and concerns regarding education. |
| [142] | They examined the relationship between parent-child communication and educational anxiety. | They relied on a longitudinal analysis using the well-known fate model to study the effects of communication on educational anxiety. | They found that effective parent-child communication contributes to reducing educational anxiety in parents. | While this research highlights the importance of academic socialization, the current manuscript adds a macro-sociological perspective, linking broader societal fears (e.g., economic instability, conflicts, etc.) to parental priorities. |
| [104] | This study examined variations in parental concerns regarding early childhood education in Iraq. The particular focus is on the influence of educational attainment and income levels. | This author conducted a survey-based study analyzing responses from parents with diverse educational and income backgrounds. | Parental concerns about education depend on their education level and income. | While this research highlights the importance of academic socialization, the current manuscript adds a macro-sociological perspective, linking broader societal fears (e.g., economic instability, conflicts, etc.) to parental priorities. |
| [21] | They examined community resources, social safety net information, and their use among parents of young children in a homeless shelter. | This empirical research focused on knowledge and utilization of community resources among parents in shelters. Utilizes qualitative methods, such as interviews or focus groups. | Many parents in shelters lack knowledge of available community resources, impacting their ability to access support. | The findings of the current manuscript corroborate these previous ideas and conclusions while offering a more nuanced perspective by delineating key external strains, such as geopolitical threats and labor market volatility influencing parental expectations. |
| [12] | They investigated the relationship between parental recognition of the Double Reduction Policy, family economic status, and educational anxiety, focusing on the mediating role of educational technology resources. | Utilizes quantitative methods, possibly including surveys or questionnaires, to collect data from parents regarding their perceptions and experiences. | Findings suggest that educational technology resources mediate the relationship between parental recognition of the policy, family economic status, and anxiety specific to education. | The current manuscript confirms and extends these findings by emphasizing the role of job insecurity, war fears, and generational perspectives in shaping parental concerns regarding education. |
| [81] | (Yu, 2024) They investigated the impact of the <<Two-Child Policy>> in China on urban family dynamics, focusing on parental roles, child development, and economic strategies. | This author relied on an empirical analysis based on urban family surveys in Beijing. | This policy reshaped parental roles, affecting economic strategies and developmental outcomes (of children). | While this research highlights the importance of academic socialization, the current manuscript adds a macro-sociological perspective, linking broader societal fears (e.g., economic instability, conflicts, etc.) to parental priorities. |
| [84] | They developed a strategy to change parental perceptions for successful inclusive education in small-sized schools. | They relied on a case study approach examining parental attitudes toward inclusive education. | They highlighted the need for targeted interventions to align parental expectations with inclusive education goals. | The findings of this manuscript support this conclusion while further specifying key external challenges, such as war threats and employment concerns shaping parental expectations. |
| [89] | They studied the relationship between sensory-processing sensitivity, parenting styles, and attachment patterns in parents of young children. | The methodology stands on psychological assessment and survey-based research. | Sensory-processing sensitivity influences parenting styles and attachment patterns, affecting early childhood experiences. | The current manuscript supports the notion that adolescents are forward-looking; however, I expand on this by demonstrating that parental fears, shaped by social and economic factors, significantly impact educational aspirations. |
| [113] | They studied parenthood worries and second childbirth in Finland. | Qualitative: Semi-structured interviews with parents about their concerns and spousal support regarding having a second child. Data were analyzed using thematic content analysis to identify key barriers to childbearing and differences in parental perspectives by gender. | Parenthood worries, combined with the lack of spousal support, impede the decision to have a second child, with gender differences influencing the experience. | The current manuscript supports the notion that adolescents are forward-looking; however, I expand on this by demonstrating that parental fears, shaped by social and economic factors, significantly impact educational aspirations. |
Source: Own processing.
References
- Lazarus, R.S.; Folkman, S. Stress, Appraisal, and Coping; Springer: New York, NY, USA, 1984. [Google Scholar]
- Van Der Pligt, J. Perceived risk and vulnerability as predictors of precautionary behaviour. Br. J. Health Psychol. 1998, 3, 1–14. [Google Scholar] [CrossRef]
- Eccles, J.S.; Wigfield, A. Motivational beliefs, values, and goals. Annu. Rev. Psychol. 2002, 53, 109–132. [Google Scholar] [CrossRef] [PubMed]
- Lee, H.; Yu, S.L.; Kim, M.; Koenka, A.C. Concern or comfort with social comparisons matter in undergraduate physics courses: Joint consideration of situated expectancy-value theory, mindsets, and gender. Contemp. Educ. Psychol. 2021, 67, 102023. [Google Scholar] [CrossRef]
- Bronfenbrenner, U. The Ecology of Human Development: Experiments by Nature and Design; Harvard University Press: Cambridge, UK, 1979. [Google Scholar]
- Hughes, J.; McDonagh, J. SISP as practice: De-isolating SISP activity across multiple levels. J. Strateg. Inf. Syst. 2021, 30, 101658. [Google Scholar] [CrossRef]
- Breen, R.; Goldthorpe, J.H. Explaining educational differentials: Towards a formal rational action theory. Ration. Soc. 1997, 9, 275–305. [Google Scholar] [CrossRef]
- Kim, S.W.; Kim, E.J.; Wagaman, A.; Fong, V.L. A longitudinal mixed methods study of parents’ socioeconomic status and children’s educational attainment in Dalian City, China. Int. J. Educ. Dev. 2017, 52, 111–121. [Google Scholar] [CrossRef]
- Rahmah, A. Causality Relationship between Happy Family and Family Education with Children’s Morals. Akad. J. Mhs. Humanis 2023, 3, 74–81. [Google Scholar] [CrossRef]
- Hanane, M.; Xianghe, G.; Ali, D. Contextual analysis of child labor laws and educational rights for children in Pakistan with a focus on KPK province. Discov. Glob. Soc. 2024, 2, 74. [Google Scholar] [CrossRef]
- Tengecha, N.A.; Akintunde, T.Y.; Agyeman, S.; Alimo, P.K. Education for sustainable development in rural communities: Parents’ perceptions of children’s willingness-to-study and learning difficulties associated with school transport in Ukerewe Island, Tanzania. Sustain. Dev. 2023, 32, 275–286. [Google Scholar] [CrossRef]
- Ren, P.; Zhao, Z. Parental Recognition of Double Reduction Policy, Family Economic Status and Educational Anxiety: Exploring the Mediating Influence of Educational Technology Substitutive Resource. Econ. Manag. Inf. 2024, 3, 1–12. [Google Scholar] [CrossRef]
- Duman, J.; Aydin, H.; Ozfidan, B. Parents’ Involvement in their Children’s Education: The Value of Parental Perceptions in Public Education. Qual. Rep. 2018, 23, 1836–1860. [Google Scholar] [CrossRef]
- Dizon-Ross, R. Parents’ Beliefs about Their Children’s Academic Ability: Implications for Educational Investments. Am. Econ. Rev. 2019, 109, 2728–2765. [Google Scholar] [CrossRef]
- Anderson, K.J.; Minke, K.M. Parent involvement in education: Toward an understanding of parents’ decision making. J. Educ. Res. 2007, 100, 311–323. [Google Scholar] [CrossRef]
- Castro, M.; Expósito-Casas, E.; López-Martín, E.; Lizasoain, L.; Navarro-Asencio, E.; Gaviria, J.L. Parental involvement on student academic achievement: A meta-analysis. Educ. Res. Rev. 2015, 14, 33–46. [Google Scholar] [CrossRef]
- Hill, N.E.; Tyson, D.F. Parental involvement in middle school: A meta-analytic assessment of the strategies that promote achievement. Dev. Psychol. 2009, 45, 740–763. [Google Scholar] [CrossRef]
- Fuchs, L.M.; Fan, Y.; Von Scheve, C. Value Differences between Refugees and German Citizens: Insights from a Representative Survey. Int. Migr. 2020, 59, 59–81. [Google Scholar] [CrossRef]
- Dobewall, H.; Rudnev, M. Common and unique features of Schwartz’s and Inglehart’s value theories at the country and individual levels. Cross-Cult. Res. 2013, 48, 45–77. [Google Scholar] [CrossRef]
- Yang, S.; Oh, N.E. Analysis of Children’s Development Pathways based on Bronfenbrenner’s Ecological Systems Theory. Int. J. Educ. Humanit. 2024, 16, 250–258. [Google Scholar] [CrossRef]
- Matthews, A.; Hamel, E. Community resource and social safety net information, knowledge, and use among parents of young children in a homeless shelter. Child. Youth Serv. Rev. 2024, 163, 107759. [Google Scholar] [CrossRef]
- Zhang, D.; Li, X.; Xue, J. Education Inequality between Rural and Urban Areas of the People’s Republic of China, Migrants’ Children Education, and Some Implications. Asian Dev. Rev. 2015, 32, 196–224. [Google Scholar] [CrossRef]
- Holdaway, J. Educating the children of migrants in China and the United States: A common challenge? China Popul. Dev. Stud. 2018, 2, 108–128. [Google Scholar] [CrossRef]
- Zhang, B.; Zhang, Q.; Yao, C.; Liu, Z. The signaling paradox: Revisiting the impacts of overeducation in the Chinese labor market. Educ. Sci. 2024, 14, 900. [Google Scholar] [CrossRef]
- Tollefson, J.W.; Tsui, A.B.M. Language diversity and language policy in educational access and equity. Rev. Res. Educ. 2014, 38, 189–214. [Google Scholar] [CrossRef]
- Tang, L.; Song, J. Online business: Ambitious daughters and their suspicious career in China? Gend. Manag. Int. J. 2024, 39, 958–976. [Google Scholar] [CrossRef]
- Maslow, A.H. A theory of human motivation. Psychol. Rev. 1943, 50, 370–396. [Google Scholar] [CrossRef]
- Hall, D.T.; Nougaim, K.E. An examination of Maslow’s need hierarchy in an organizational setting. Organ. Behav. Hum. Perform. 1968, 3, 12–35. [Google Scholar] [CrossRef]
- Wu, W. The Relationship between Incentives to Learn and Maslow’s Hierarchy of Needs. Phys. Procedia 2012, 24, 1335–1342. [Google Scholar] [CrossRef][Green Version]
- Yurdakul, G.; Arar, T. Revisiting Maslow’s hierarchy of needs: Is it still universal content? J. Hum. Behav. Soc. Environ. 2023, 33, 1103–1130. [Google Scholar] [CrossRef]
- Rojas, M.; Méndez, A.; Watkins-Fassler, K. The hierarchy of needs empirical examination of Maslow’s theory and lessons for development. World Dev. 2023, 165, 106185. [Google Scholar] [CrossRef]
- Alah, M.A. Shattered hierarchy: How the Gaza conflict demolished Maslow’s pyramid of needs. Curr. Psychol. 2024, 43, 19562–19568. [Google Scholar] [CrossRef]
- Ebirim, P.U. Planning education for peace building and economic stability in a distressed economy. Sapientia Found. J. Educ. Sci. Gend. Stud. 2023, 5, 157–163. Available online: https://www.sfjesgs.com/index.php/SFJESGS/article/view/373 (accessed on 1 February 2025).
- De Haan, F.J.; Ferguson, B.C.; Adamowicz, R.C.; Johnstone, P.; Brown, R.R.; Wong, T.H. The needs of society: A new understanding of transitions, sustainability and liveability. Technol. Forecast. Soc. Change 2013, 85, 121–132. [Google Scholar] [CrossRef]
- Singha, S. Fostering Holistic Development: Maslow’s Hierarchy of Needs in Teaching amidst Global Challenges. In Navigating Teaching in an Era of Social Distancing and Global Conflict; IGI Global: Hershey, PA, USA, 2024; pp. 181–204. [Google Scholar]
- Chew, E.; Jones, N.; Turner, D. Critical review of the blended learning models based on Maslow’s and Vygotsky’s educational theory. In Lecture Notes in Computer Science; Springer: Berlin/Heidelberg, Germany, 2008; pp. 40–53. [Google Scholar] [CrossRef]
- Stalnaker, J.M. Recognizing and encouraging talent. Am. Psychol. 1961, 16, 513–522. [Google Scholar] [CrossRef]
- Brophy, J. Developing students’ appreciation for what is taught in school. Educ. Psychol. 2008, 43, 132–141. [Google Scholar] [CrossRef]
- Kumari, S. Humanism in Education: Fostering Student-Centered Learning through Maslow’s and Rogers’ Theories. Int. J. Res. Publ. Rev. 2024, 5, 2447–2452. [Google Scholar] [CrossRef]
- Burde, D.; Kapit, A.; Wahl, R.L.; Guven, O.; Skarpeteig, M.I. Education in Emergencies: A Review of Theory and research. Rev. Educ. Res. 2016, 87, 619–658. [Google Scholar] [CrossRef]
- Homocianu, D. An approach to automatically remove negatively coded Do Not Know/No Answer values in some Stata datasets. Data Sci. Data Anal. Inform. 2024. [Google Scholar] [CrossRef]
- Tsikriktsis, N. A review of techniques for treating missing data in OM survey research. J. Oper. Manag. 2005, 24, 53–62. [Google Scholar] [CrossRef]
- Lombardi, A.; Seburn, M.; Conley, D. Treatment of Nonresponse Items on Scale Validation: What “Don’t Know” Responses Indicate about College Readiness. In Proceedings of the Annual Meeting of the American Educational Research Association, New Orleans, LA, USA, 8–12 April 2011. [Google Scholar]
- Kmetty, Z.; Stefkovics, Á. Assessing the effect of questionnaire design on unit and item-nonresponse: Evidence from an online experiment. Int. J. Soc. Res. Methodol. 2021, 25, 659–672. [Google Scholar] [CrossRef]
- Sharma, A.; Priya, T.H.; Naidu, V. Optimizing bearing health condition monitoring: Exploring correlation feature selection algorithm. Eng. Res. Express 2024, 6, 025511. [Google Scholar] [CrossRef]
- Homocianu, D.; Airinei, D. PCDM and PCDM4MP: New Pairwise Correlation-Based Data Mining tools for parallel processing of large tabular datasets. Mathematics 2022, 10, 2671. [Google Scholar] [CrossRef]
- Hidayatullah, A.; Csíkos, C. The role of students’ beliefs, parents’ educational level, and the mediating role of attitude and motivation in students’ mathematics achievement. Asia-Pac. Educ. Res. 2023, 33, 253–262. [Google Scholar] [CrossRef]
- Synak, N.; Šabíková, N.; Masaryk, R. Correlations among High School Students’ Beliefs about Conspiracy, Authoritarianism, and Scientific Literacy. Sci. Educ. 2022, 33, 159–174. [Google Scholar] [CrossRef] [PubMed]
- Marudi, M.; Ben-Gal, I.; Singer, G. A decision tree-based method for ordinal classification problems. IISE Trans. 2022, 56, 960–974. [Google Scholar] [CrossRef]
- Song, X.; Liu, Z.; Jiang, B. Adaptive boosting with fairness-aware reweighting technique for fair classification. Expert Syst. Appl. 2024, 250, 123916. [Google Scholar] [CrossRef]
- Amusa, L.B.; Hossana, T. An empirical comparison of some missing data treatments in PLS-SEM. PLoS ONE 2024, 19, e0297037. [Google Scholar] [CrossRef]
- Chen, A.Y.; McCoy, J. Missing values handling for machine learning portfolios. J. Financ. Econ. 2024, 155, 103815. [Google Scholar] [CrossRef]
- Elhadjamor, E.A.; Harbaoui, H. A Comparison Analysis of Heart Disease Prediction Using Supervised Machine Learning Techniques. In Proceedings of the 2024 IEEE Symposium on Computers and Communications (ISCC), Paris, France, 26–29 June 2024; pp. 1–6. [Google Scholar] [CrossRef]
- Jurkiewicz, P.; Kadziołka, B.; Kantor, M.; Domżał, J.; Wójcik, R. Machine Learning-Based Elephant Flow Classification on the First Packet. IEEE J. Mag. 2024, 12, 105744–105760. [Google Scholar] [CrossRef]
- Airlangga, G. A Comparative Analysis of Machine Learning Models for Predicting Student Performance: Evaluating the Impact of Stacking and Traditional Methods. Brill. Res. Artif. Intell. 2024, 4, 491–499. [Google Scholar] [CrossRef]
- Villar, A.; De Andrade, C.R.V. Supervised machine learning algorithms for predicting student dropout and academic success: A comparative study. Discov. Artif. Intell. 2024, 4, 2. [Google Scholar] [CrossRef]
- Perkash, A.; Shaheen, Q.; Saleem, R.; Rustam, F.; Villar, M.G.; Alvarado, E.S.; De La Torre Diez, I.; Ashraf, I. Feature optimization and machine learning for predicting students’ academic performance in higher education institutions. Educ. Inf. Technol. 2024, 29, 21169–21193. [Google Scholar] [CrossRef]
- Zanellati, A.; Zingaro, S.P.; Gabbrielli, M. Balancing performance and explainability in academic dropout prediction. IEEE Trans. Learn. Technol. 2024, 17, 2086–2099. [Google Scholar] [CrossRef]
- Joel, S.; Eastwick, P.W.; Allison, C.J.; Arriaga, X.B.; Baker, Z.G.; Bar-Kalifa, E.; Bergeron, S.; Birnbaum, G.E.; Brock, R.L.; Brumbaugh, C.C.; et al. Machine learning uncovers the most robust self-report predictors of relationship quality across 43 longitudinal couples studies. Proc. Natl. Acad. Sci. USA 2020, 117, 19061–19071. [Google Scholar] [CrossRef] [PubMed]
- Munafò, M.R.; Smith, G.D. Robust research needs many lines of evidence. Nature 2018, 553, 399–401. [Google Scholar] [CrossRef] [PubMed]
- Negru, I. On mixed methods research and pluralism in economics. Int. J. Plur. Econ. Educ. 2023, 14, 203–218. [Google Scholar] [CrossRef]
- Little, M.P.; Hamada, N.; Zablotska, L.B. A generalisation of the method of regression calibration and comparison with Bayesian and frequentist model averaging methods. Sci. Rep. 2024, 14, 6613. [Google Scholar] [CrossRef]
- Mercado, R.; Pontines, V. Which financial inclusion indicators and dimensions matter for income inequality? A Bayesian model averaging approach. Empir. Econ. 2024, 67, 609–654. [Google Scholar] [CrossRef]
- Amaya, M.C.A. Criminal governance and public resources: The case of paramilitaries and health care provision in Colombia. World Dev. 2024, 179, 106604. [Google Scholar] [CrossRef]
- Tibshirani, R. Regression shrinkage and selection via the lasso. J. R. Stat. Soc. Ser. B Stat. Methodol. 1996, 58, 267–288. [Google Scholar] [CrossRef]
- Ahrens, A.; Hansen, C.B.; Schaffer, M.E. LASSOPACK: Model selection and prediction with regularized regression in Stata. Stata J. Promot. Commun. Stat. Stata 2020, 20, 176–235. [Google Scholar] [CrossRef]
- Ahrens, A.; Hansen, C.; Schaffer, M. LASSOPACK: Stata module for lasso, square-root lasso, elastic net, ridge, adaptive lasso estimation and cross-validation. Stat. Softw. Compon. 2024. Available online: https://econpapers.repec.org/software/bocbocode/S458458.htm (accessed on 1 February 2025).
- Vatcheva, K.P.; Lee, M.; McCormick, J.B.; Rahbar, M.H. Multicollinearity in regression analyses conducted in epidemiologic studies. Epidemiol. Open Access 2016, 6, 227. [Google Scholar] [CrossRef] [PubMed]
- Zlotnik, A.; Abraira, V. A general-purpose nomogram generator for predictive logistic regression models. Stata J. Promot. Commun. Stat. Stata 2015, 15, 537–546. [Google Scholar] [CrossRef]
- Singh, S.; Garg, N.K.; Kumar, M. VGG16: Offline handwritten devanagari word recognition using transfer learning. Multimed. Tools Appl. 2024, 83, 72561–72594. [Google Scholar] [CrossRef]
- Arslan, J.; Benke, K. Machine Learning for Extraction of Image Features Associated with Progression of Geographic Atrophy. BioMedInformatics 2024, 4, 1638–1671. [Google Scholar] [CrossRef]
- Canta, C.; Pestieau, P.; Schoenmaeckers, J. Blood and gender bias in informal care within the family. Rev. Econ. Househ. 2023, 22, 595–631. [Google Scholar] [CrossRef]
- Williams, R. Understanding and interpreting generalized ordered logit models. J. Math. Sociol. 2016, 40, 7–20. [Google Scholar] [CrossRef]
- Homocianu, D. Life Satisfaction: Insights from the World Values Survey. Societies 2024, 14, 119. [Google Scholar] [CrossRef]
- Watson, J.; Callingham, R. Two-Way Tables: Issues at the Heart of Statistics and Probability for Students and Teachers. Math. Think. Learn. 2014, 16, 254–284. [Google Scholar] [CrossRef]
- Rahman, M.S.; Islam, K.R.; Prithula, J.; Kumar, J.; Mahmud, M.; Alam, M.F.; Reaz, M.B.I.; Alqahtani, A.; Chowdhury, M.E.H. Machine learning-based prognostic model for 30-day mortality prediction in Sepsis-3. BMC Med. Inform. Decis. Mak. 2024, 24, 249. [Google Scholar] [CrossRef]
- Anvari, F.; Lakens, D. The replicability crisis and public trust in psychological science. Compr. Results Soc. Psychol. 2018, 3, 266–286. [Google Scholar] [CrossRef]
- Brodeur, A.; Esterling, K.; Ankel-Peters, J.; Bueno, N.S.; Desposato, S.; Dreber, A.; Genovese, F.; Green, D.P.; Hepplewhite, M.; De La Guardia, F.H.; et al. Promoting reproducibility and replicability in political science. Res. Politics 2024, 11, 1–8. [Google Scholar] [CrossRef]
- Samad, A.A.; Arshad, M.M.; Siraj, M.M.; Shamsudin, N.A. Visual Analytics Design for Students Assessment Representation based on Supervised Learning Algorithms. Int. J. Innov. Comput. 2021, 11, 43–49. [Google Scholar] [CrossRef]
- Shorey, S.; Chan, V.; Rajendran, P.; Ang, E. Learning styles, preferences and needs of generation Z healthcare students: Scoping review. Nurse Educ. Pract. 2021, 57, 103247. [Google Scholar] [CrossRef]
- Yu, J. The Impact of the Two-Child Policy on urban family dynamics in Beijing: Parental roles, child development, and family economic strategies. Stud. Soc. Sci. Humanit. 2024, 3, 23–33. Available online: https://www.paradigmpress.org/SSSH/article/view/1188 (accessed on 1 February 2025). [CrossRef]
- Xie, W. Generations at the crossroads: Biographical experience and working-class politics in China. Labor Hist. 2024, 65, 337–351. [Google Scholar] [CrossRef]
- Rochow, T. Internalised individualism: Young people, welfare conditionality, and the psychological framing of employment aspirations. Soc. Policy Soc. 2024, 1–18. [Google Scholar] [CrossRef]
- Narot, P.; Kiettikunwong, N. A strategy to reorient parental perceptions to create conditions for successful Inclusive Education: A Case Study in a Small-Sized School. Educ. Sci. 2024, 14, 358. [Google Scholar] [CrossRef]
- Hoffmann, K.; Michalak, M.; Kopciuch, D.; Bryl, W.; Kus, K.; Nowakowska, E.; Paczkowska, A. The Prevalence and Correlates of Anxiety, Stress, Mood Disorders, and Sleep Disturbances in Poland after the Outbreak of the Russian–Ukrainian War 2022. Healthcare 2024, 12, 1848. [Google Scholar] [CrossRef]
- Lunov, V.; Rozhkova, I. Enhancing Student Resilience During Times of War: Strategies and Interventions. Educ. Instr. Commun. 2024. [Google Scholar] [CrossRef]
- Shibai, K. War Experience, Fear of War, and Social Unrest. In Social Well-Being, Development, and Multiple Modernities in Asia; Yee, J., Harada, H., Kanai, M., Eds.; Springer: Singapore, 2024. [Google Scholar] [CrossRef]
- Nir, A.E.; Kafle, B.S. The effect of political stability on public education quality. Int. J. Educ. Manag. 2013, 27, 110–126. [Google Scholar] [CrossRef]
- Branjerdporn, G.; Gillespie, K.; Green, M.; Strong, J.; Meredith, P. Sensory-processing sensitivity, parenting styles, and adult attachment patterns in parents of young children. J. Reprod. Infant Psychol. 2024, 1–16. [Google Scholar] [CrossRef] [PubMed]
- Algarvio, S.; Isabel, L.; Maroco, J. Parental concerns’ prevalence and socio-demographic variables in general parenting. J. Child Health Care 2013, 17, 204–214. [Google Scholar] [CrossRef] [PubMed]
- Santos, M.E. Human capital and the quality of education in a poverty trap model. Oxf. Dev. Stud. 2011, 39, 25–47. [Google Scholar] [CrossRef]
- Frempong, G.; Reddy, V.; Kanjee, A. Exploring equity and quality education in South Africa using multilevel models. Comp. A J. Comp. Int. Educ. 2011, 41, 819–835. [Google Scholar] [CrossRef]
- Dontsi, D.; Alexis, N.S.; De Dieu, A.J. The impact of political instability on school performance: The case of African countries in the Franc zone. Int. J. Sci. Adv. 2024, 5, 302–310. [Google Scholar] [CrossRef]
- Reynolds, A.; Moyo, V. Challenges and opportunities in the context of South African Higher Education: Towards a research agenda. In Proceedings of the Focus Conference (TFC 2024); Atlantis Highlights in Social Sciences, Education and Humanities; Atlantis Press: Dordrecht, The Netherlands, 2024; pp. 152–173. [Google Scholar] [CrossRef]
- Wortsman, B.; Brice, H.; Capani, A.; Ball, M.; Zinszer, B.; Tanoh, F.; Akpé, H.; Ogan, A.; Wolf, S.; Jasińska, K. Risk and resilience factors for primary school dropout in Côte d’Ivoire. J. Appl. Dev. Psychol. 2024, 92, 101654. [Google Scholar] [CrossRef]
- Odimegwu, C.O.; De Wet, N.; Adedini, S.A.; Appunni, S. Family Demography in Sub-Saharan Africa: Systematic Review of Family research. In Family Demography and Post-2015 Development Agenda in Africa; Springer: Cham, Switzerland, 2019; pp. 9–56. [Google Scholar] [CrossRef]
- Nwanmuoh, E.E.; Dibua, E.C.; Friday, E.C. Implication of Extended Family Culture in African Nations on Youth Development: Evidence from Nigeria. Int. J. Public Adm. Manag. Res. 2024, 10, 82–90. Available online: http://journals.rcmss.com/index.php/ijpamr/article/view/1006 (accessed on 1 February 2025).
- Bradley, R.H.; Corwyn, R.F. Socioeconomic status and child development. Annu. Rev. Psychol. 2002, 53, 371–399. [Google Scholar] [CrossRef]
- Yoshikawa, H.; Aber, J.L.; Beardslee, W.R. The effects of poverty on the mental, emotional, and behavioral health of children and youth: Implications for prevention. Am. Psychol. 2012, 67, 272–284. [Google Scholar] [CrossRef]
- Brenya, B. Higher education in emergency situation: Blended learning prospects and challenges for educators in the developing countries. J. Appl. Res. High. Educ. 2023, 16, 1015–1028. [Google Scholar] [CrossRef]
- Kossowska, M.; Chan, H.; Hong, Y.Y.; Szumowska, E. Longitudinal effects of helping war refugees on intergroup threat and fear of war: The role of perceived helping functionality. Group Process. Intergroup Relat. 2024. [Google Scholar] [CrossRef]
- Awuni, E.T.; Kemmerling, A. Taking Gerschenkron to the Field: Attitudes towards Digitalization Hopes and Fears about the Future of Work in Ghana. Telecommun. Policy 2023, 48, 102680. [Google Scholar] [CrossRef]
- Bergman, L.; Hessel, F. From “Confusion” and “Fear” to “Broadened Horizons”. Students’ transformative experiences in two higher education contexts: Argentina and Sweden. J. Transform. Educ. 2023, 22, 137–156. [Google Scholar] [CrossRef]
- Kavlu, A. Exploring Variations in Parental Concerns about Children’s Education in Iraq: The Role of Education Level and Income. Int. J. Soc. Sci. Educ. Stud. 2024, 11, 49–61. [Google Scholar] [CrossRef]
- Wang, M. The Effects of Parental Unemployment on Children’s Health in China. Master’s Thesis, Uppsala University, Uppsala, Sweden, 2022. Available online: https://www.diva-portal.org/smash/record.jsf?pid=diva2%3A1685809&dswid=-2371 (accessed on 1 February 2025).
- Haveman, R.; Smeeding, T. The role of higher education in social mobility. Future Child. 2006, 16, 125–150. [Google Scholar] [CrossRef]
- Gardner, H. Renewed Cold War? World War II? World War I? Or Nothing of the Kind? In Crimea, Global Rivalry, and the Vengeance of History; Palgrave Macmillan: New York, NY, USA, 2015. [Google Scholar] [CrossRef]
- Corey, P. World War IV and the COVID Apocalypse. In Making Sense of Diseases and Disasters; Trepanier, L., Ed.; Reflections of Political Theory from Antiquity to the Age of COVID; Routledge: London, UK, 2022; pp. 25–38. [Google Scholar] [CrossRef]
- Sarantakes, N.E. The Future-War Literature of the Reagan Era—Winning World War III in Fiction. Nav. War Coll. Rev. 2023, 76, 7. Available online: https://digital-commons.usnwc.edu/nwc-review/vol76/iss3/7 (accessed on 1 February 2025).
- Yamamoto, Y.; Holloway, S.D.; Suzuki, S. Maternal involvement in preschool children’s education in Japan: Relation to parenting beliefs and socioeconomic status. Early Child. Res. Q. 2006, 21, 332–346. [Google Scholar] [CrossRef]
- Flouri, E.; Hawkes, D. Ambitious mothers—Successful daughters: Mothers’ early expectations for children’s education and children’s earnings and sense of control in adult life. Br. J. Educ. Psychol. 2008, 78, 411–433. [Google Scholar] [CrossRef]
- Fadhilah, A.R.; Jasmina, T. Parental Marital Status and Children Education Performance: The case in Indonesia. Econ. Financ. Indones. 2022, 68, 3. Available online: https://scholarhub.ui.ac.id/efi/vol68/iss2/3 (accessed on 1 February 2025).
- Moilanen, S.; Räikkönen, E.; Lammi-Taskula, J.; Duvander, A.; Alasuutari, M. Do parenthood worries impede the birth of a second child? Differences according to the parent’s gender and spousal support in Finland. J. Fam. Res. 2024, 36, 103–125. [Google Scholar] [CrossRef]
- Wright, K.A. Reenergizing small communities: A vital role for rural schools. Educ. Forum 2007, 71, 345–360. [Google Scholar] [CrossRef]
- Atherley, K.M. Sport, localism and social capital in rural Western Australia. Geogr. Res. 2006, 44, 348–360. [Google Scholar] [CrossRef]
- Mari, G.; Keizer, R.; Van Gaalen, R. The timing of parental unemployment, insurance and children’s education. Eur. Soc. 2023, 26, 602–638. [Google Scholar] [CrossRef]
- Harmen, H.; Syahreza, D.S.; Hutagalung, G.R.S.; Sahfitri, S.; Wulandari, A.; Siregar, A.M.Z.; Limbong, N.G.C. Analysis of the impact of termination of employment on employee finances. Int. J. Educ. Soc. Stud. Manag. 2024, 4, 536–544. [Google Scholar] [CrossRef]
- Wei, L.; Fu, Y. Navigating future pathways: Repercussions of experiential teaching on employment anxiety in career planning courses. Eur. J. Educ. Stud. 2024, 11, 1–21. [Google Scholar] [CrossRef]
- Ademuyiwa, I.; Drewery, D.; Fannon, A. Can a work-readiness program mitigate unemployment scarring: The case of a co-operative education job market. Stud. High. Educ. 2024, 1–14. [Google Scholar] [CrossRef]
- Chan, D. So why ask me? Are Self-Report data really that bad? In Statistical and Methodological Myths and Urban Legends; Routledge: London, UK, 2010; pp. 329–356. [Google Scholar] [CrossRef]
- Rosenman, R.; Tennekoon, V.; Hill, L.G. Measuring bias in self-reported data. Int. J. Behav. Healthc. Res. 2011, 2, 320–332. [Google Scholar] [CrossRef]
- Hawdon, J.; Reichelmann, A.; Costello, M.; Llorent, V.J.; Räsänen, P.; Zych, I.; Oksanen, A.; Blaya, C. Measuring hate: Does a definition Affect Self-Reported Levels of Perpetration and exposure to online hate in surveys? Soc. Sci. Comput. Rev. 2023, 42, 812–831. [Google Scholar] [CrossRef]
- Campbell, P. Rethinking professional collaboration and agency in a post-pandemic era. J. Prof. Cap. Community 2020, 5, 337–341. [Google Scholar] [CrossRef]
- Glascoe, F.P.; Altemeier, W.A.; MacLean, W.E. The importance of parents’ concerns about their child’s development. Arch. Pediatr. Adolesc. Med. 1989, 143, 955–958. [Google Scholar] [CrossRef] [PubMed]
- Grolnick, W.S.; Slowiaczek, M.L. Parents’ Involvement in Children’s Schooling: A Multidimensional Conceptualization and Motivational Model. Child Dev. 1994, 65, 237–252. [Google Scholar] [CrossRef] [PubMed]
- Sui-Chu, E.H.; Willms, J.D. Effects of Parental Involvement on Eighth-Grade Achievement. Sociol. Educ. 1996, 69, 126–141. [Google Scholar] [CrossRef]
- McNeal, R.B., Jr. Parental involvement as social capital: Differential effectiveness on science achievement, truancy, and dropping out. Soc. Forces 1999, 78, 117. [Google Scholar] [CrossRef]
- Desforges, C.; Abouchaar, A. The Impact of Parental Involvement, Parental Support and Family Education on Pupil Achievement and Adjustment A Literature Review; Department of Education and Skills: London, UK, 2003; Available online: https://www.scirp.org/reference/referencespapers?referenceid=1447550 (accessed on 1 February 2025).
- Hill, N.E.; Castellino, D.R.; Lansford, J.E.; Nowlin, P.; Dodge, K.A.; Bates, J.E.; Pettit, G.S. Parent academic involvement as related to school behavior, achievement, and aspirations: Demographic Variations across Adolescence. Child Dev. 2004, 75, 1491–1509. [Google Scholar] [CrossRef]
- Englund, M.M.; Luckner, A.E.; Whaley, G.J.L.; Egeland, B. Children’s achievement in early elementary School: Longitudinal effects of parental involvement, expectations, and quality of assistance. J. Educ. Psychol. 2004, 96, 723–730. [Google Scholar] [CrossRef]
- Walker, J.M.T.; Wilkins, A.S.; Dallaire, J.R.; Sandler, H.M.; Hoover-Dempsey, K.V. Parental Involvement: Model Revision through Scale Development. Elem. Sch. J. 2005, 106, 85–104. [Google Scholar] [CrossRef]
- Pomerantz, E.M.; Moorman, E.A.; Litwack, S.D. The How, Whom, and Why of Parents’ Involvement in Children’s Academic Lives: More Is Not Always Better. Rev. Educ. Res. 2007, 77, 373–410. Available online: http://www.jstor.org/stable/4624903 (accessed on 1 February 2025). [CrossRef]
- Yang, S.; Shin, C.S. Parental attitudes towards education: What matters for children’s well-being? Child. Youth Serv. Rev. 2008, 30, 1328–1335. [Google Scholar] [CrossRef]
- Fan, W.; Williams, C.M. The effects of parental involvement on students’ academic self-efficacy, engagement and intrinsic motivation. Educ. Psychol. 2009, 30, 53–74. [Google Scholar] [CrossRef]
- Topor, D.R.; Keane, S.P.; Shelton, T.L.; Calkins, S.D. Parent involvement and student Academic Performance: A Multiple Mediational analysis. J. Prev. Interv. Community 2010, 38, 183–197. [Google Scholar] [CrossRef] [PubMed]
- Maha, A. The Future Orientation of Arab Adolescents with Intellectual Disabilities and their Parents Regarding their Future. Procedia Soc. Behav. Sci. 2013, 82, 841–851. [Google Scholar] [CrossRef][Green Version]
- Lee, B.J.; Jwa, H.S.; Lim, S.H. The effects of private tutoring and parenting behaviors on children’s academic achievement in Korea: Are there differences between low- and high-income groups? KEDI J. Educ. Policy 2014, 11, 163–178. Available online: https://www.kedi.re.kr/eng/kedi/bbs/B0000005/view.do?nttId=646&menuNo=200067&pageIndex=13 (accessed on 1 February 2025).
- Jeynes, W.H. A Meta-Analysis: The Relationship Between the Parental Expectations Component of Parental Involvement with Students’ Academic Achievement. Urban Educ. 2022, 59, 63–95. [Google Scholar] [CrossRef]
- Chyu, E.P.Y.; Chen, J. Associations between academic stress, mental distress, Academic Self-Disclosure to parents and school engagement in Hong Kong. Front. Psychiatry 2022, 13, 911530. [Google Scholar] [CrossRef]
- Wilder, S. Effects of parental involvement on academic achievement: A meta-synthesis. In Mapping the Field; Routledge: London, UK, 2023; pp. 137–157. [Google Scholar] [CrossRef]
- Yasin, B.; Kebede, Y. Parents’ concerns about the negative effects of television viewing on children’s behavior and school performance in Addis Ababa, Ethiopia. Bahir Dar J. Educ. 2023, 23, 5–22. [Google Scholar] [CrossRef]
- Gao, F.; Xu, C.; Lv, Q.; Zhao, Y.; Han, L. Parent-child communication and educational anxiety: A longitudinal analysis based on the common fate model. BMC Psychol. 2024, 12, 594. [Google Scholar] [CrossRef]
Disclaimer/Publisher’s Note: The statements, opinions and data contained in all publications are solely those of the individual author(s) and contributor(s) and not of MDPI and/or the editor(s). MDPI and/or the editor(s) disclaim responsibility for any injury to people or property resulting from any ideas, methods, instructions or products referred to in the content. |
© 2025 by the author. Licensee MDPI, Basel, Switzerland. This article is an open access article distributed under the terms and conditions of the Creative Commons Attribution (CC BY) license (https://creativecommons.org/licenses/by/4.0/).









