Associations between Multimodal Fitness Assessments and Rowing Ergometer Performance in Collegiate Female Athletes
Abstract
1. Introduction
2. Methods
2.1. Participants
2.2. Procedures
2.2.1. Initial Screening
2.2.2. Graded Exercise Testing
2.2.3. 1-Stroke Maximum Test
2.2.4. Wingate Anaerobic Test
2.2.5. Three-Minute All-Out Row
2.2.6. Rowing Ergometer Performance
2.3. Statistical Analysis
3. Results
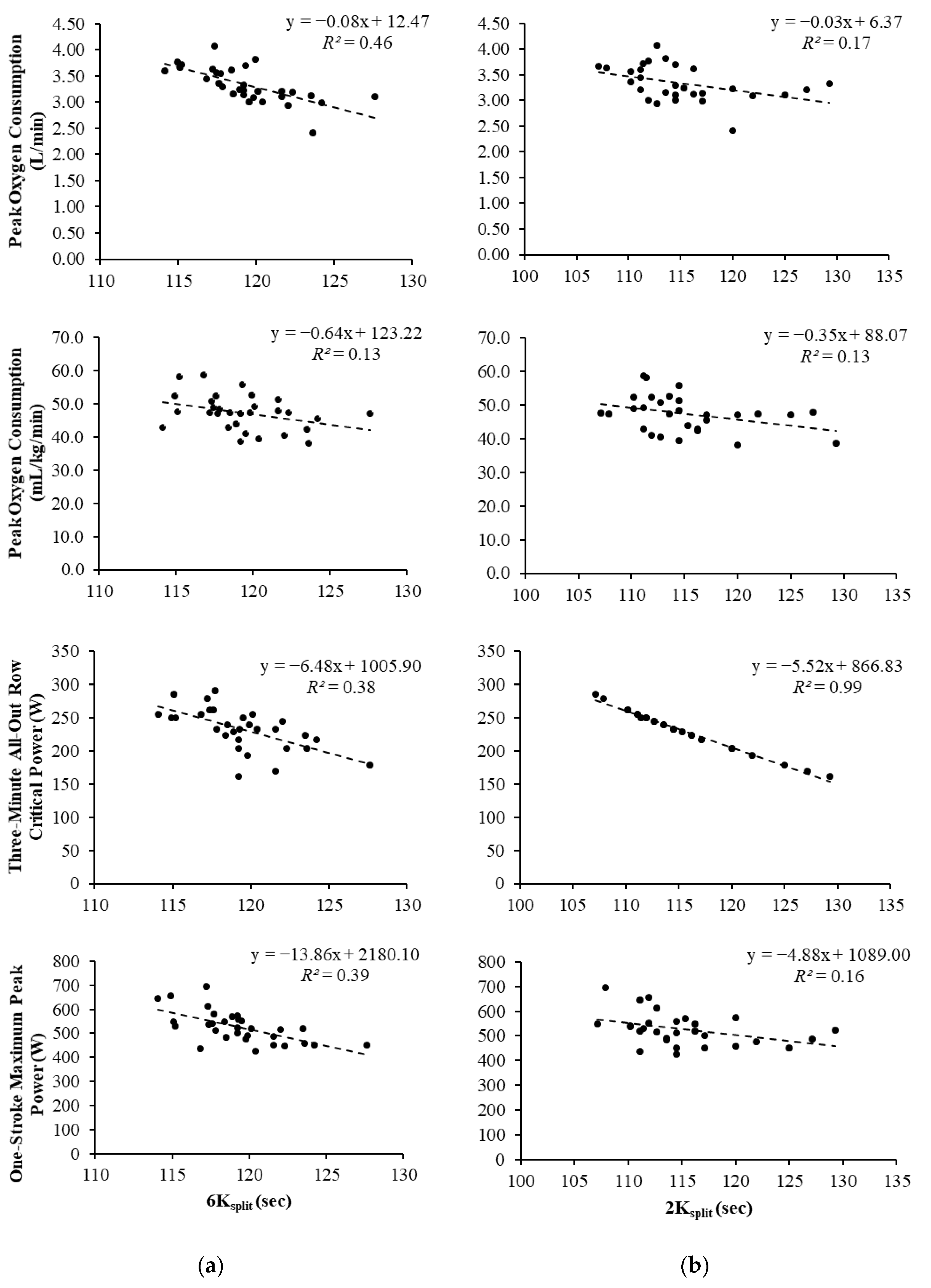
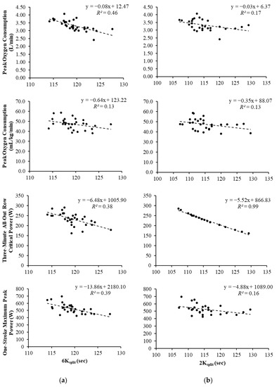
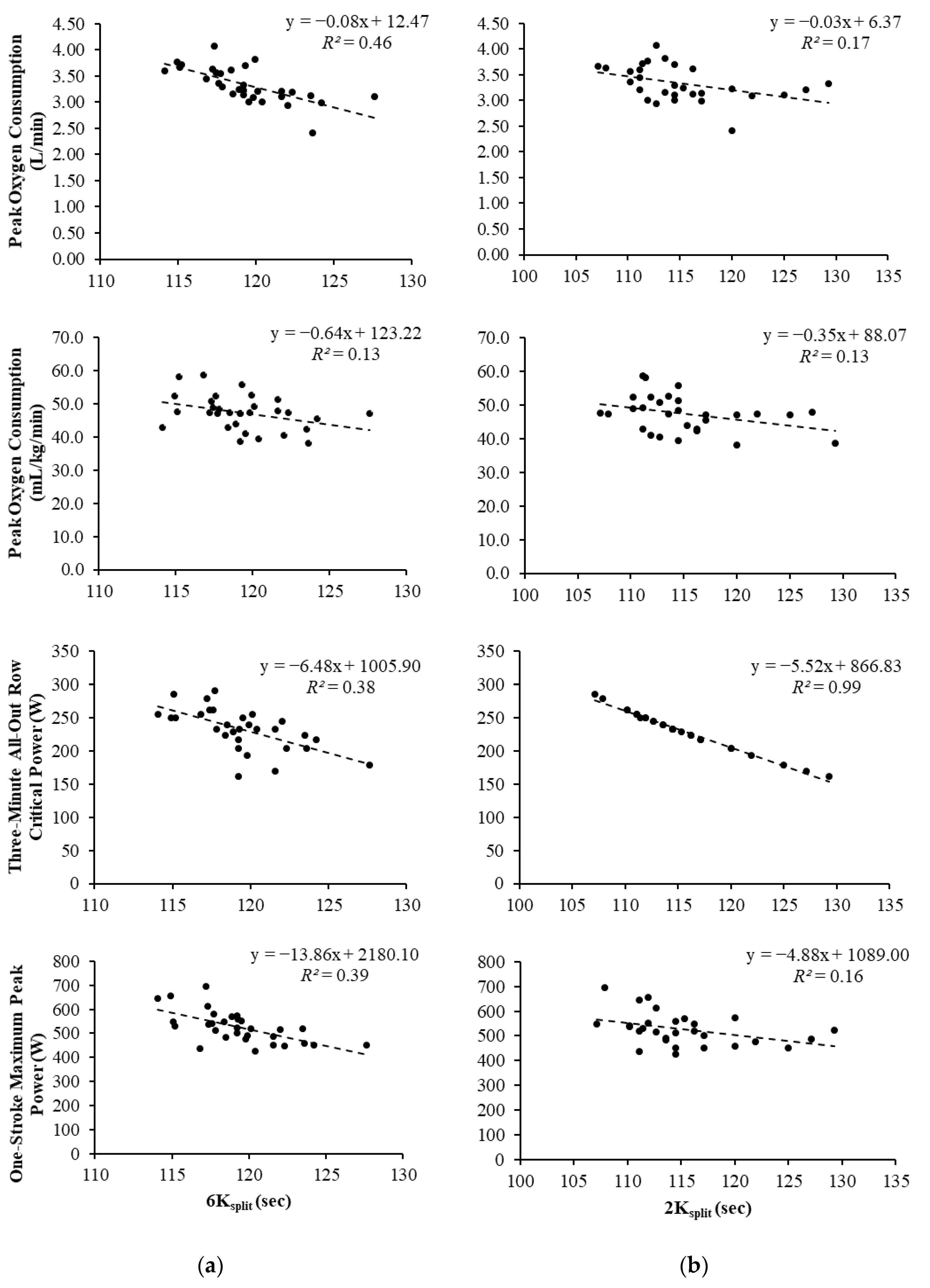
3.1. 6000 m and 2000 m Completion Times
3.2. 6000 m and 2000 m Split Times
4. Discussion
4.1. Rationale for Methodology
4.2. Aerobic Fitness Assessments
4.3. Anaerobic Fitness Assessments
5. Conclusions
Author Contributions
Funding
Acknowledgments
Conflicts of Interest
References
- Smith, T.B.; Hopkins, W.G. Measures of rowing performance. Sports Med. 2012, 42, 343–358. [Google Scholar] [CrossRef]
- Hagerman, F.C.; Addington, W.W.; A Gaensler, E. A comparison of selected physiological variables among outstanding competitive oarsmen. J. Sports Med. Phys. Fit. 1972, 12, 12–22. [Google Scholar]
- Hagerman, F.C. Applied physiology of rowing. Sports Med. 1984, 1, 303–326. [Google Scholar] [CrossRef] [PubMed]
- Secher, N.H.; Vaage, O.; Jackson, R.C. Rowing Performance and Maximal Aerobic Power of Oarsmen. Scand. J. Med. Sci. Sports. 1982, 4, 9–11. [Google Scholar]
- Akca, F. Prediction of rowing ergometer performance from functional anaerobic power, strength and anthropometric components. J. Hum. Kinet. 2014, 41, 133–142. [Google Scholar] [CrossRef]
- Maciejewski, H.; Rahmani, A.; Chorin, F.; Lardy, J.; Giroux, C.; Ratel, S. The 1500-m rowing performance is highly dependent on modified wingate anaerobic test performance in national-level adolescent rowers. Pediatr. Exerc. Sci. 2016, 28, 572–579. [Google Scholar] [CrossRef]
- Hill, D.W.; Alain, C.; Kennedy, M.D. Modeling the relationship between velocity and time to fatigue in rowing. Med. Sci. Sports Exerc. 2003, 35, 2098–2105. [Google Scholar] [CrossRef]
- Monod, H.; Scherrer, J. The work capacity of synergic muscle group. Ergonomics. 1965, 8, 329–338. [Google Scholar] [CrossRef]
- Vanhatalo, A.; Jones, A.M.; Burnley, M. Application of critical power in sport. Int. J. Sports Physiol. Perform. 2011, 6, 128–136. [Google Scholar] [CrossRef]
- Shimoda, M.; Kawakami, Y. Critical power determination with ergometry rowing: Relation to rowing performance. Int. J. Sport Heal. Sci. 2005, 3, 21–26. [Google Scholar] [CrossRef]
- Kennedy, M.D.; Bell, G.J. A comparison of critical velocity estimates to actual velocities in predicting simulated rowing performance. Can. J. Appl. Physiol. 2000, 25, 223–235. [Google Scholar] [CrossRef] [PubMed][Green Version]
- Burnley, M.; Doust, J.H.; Vanhatalo, A. A 3-min all-out test to determine peak oxygen uptake and the maximal steady state. Med. Sci. Sports Exerc. 2006, 38, 1995–2003. [Google Scholar] [CrossRef] [PubMed]
- Cheng, C.-F.; Yang, Y.-S.; Lin, H.-M.; Lee, C.-L.; Wang, C.-Y. Determination of critical power in trained rowers using a three-minute all-out rowing test. Eur. J. Appl. Physiol. 2012, 112, 1251–1260. [Google Scholar] [CrossRef]
- Lawton, T.; Cronin, J.; McGuigan, M. Strength testing and training of rowers a review. Sports Med. 2011, 41, 413–432. [Google Scholar] [CrossRef] [PubMed]
- Metikos, B.; Mikulic, P.; Šarabon, N.; Markovic, G. Peak power output test on a rowing ergometer: A methodological study. J. Strength Cond. Res. 2015, 29, 2919–2925. [Google Scholar] [CrossRef]
- Jensen, A.M. The use of Neuro Emotional Technique with competitive rowers: A case series. J. Chiropr. Med. 2011, 10, 111–117. [Google Scholar] [CrossRef]
- McNeely, E. Rowing ergometer physiological tests do not predict on-water performance. Sport J. 2011, 14, 12–15. [Google Scholar]
- Riebe, D.; Ehrman, J.K.; Liguori, G.; Magal, M.; American College of Sports Medicine (Eds.) ACSM’s Guidelines for Exercise Testing And Prescription, 10th ed.; Wolters Kluwer: Philadelphia, PA, USA, 2018. [Google Scholar]
- Brozek, J.; Grande, F.; Anderson, J.T.; Keys, A. Densitometric analysis of body composition: Revision of some quantitative assumptions. Ann. N. Y. Acad. Sci. 1963, 110, 113–140. [Google Scholar] [CrossRef]
- Metcalfe, A.J.; Castle, P.C.; Brewer, J. The Use of an Indoor Rowing Ergometer Test for the Prediction of Maximal Oxygen Uptake. J. Athl. Enhanc. 2014, 2, 2. [Google Scholar] [CrossRef]
- Beltz, N.M.; Gibson, A.L.; Janot, J.M.; Kravitz, L.; Mermier, C.M.; Dalleck, L.C. Graded Exercise Testing Protocols for the Determination of VO2max: Historical Perspectives, Progress, and Future Considerations. J. Sports Med. 2016, 2016, 1–12. [Google Scholar] [CrossRef]
- Mackenzie, B. Performance evaluation tests. Lond. Electr. World plc. 2005, 24, 57–158. [Google Scholar]
- Borg, G.A. Psychophysical bases of perceived exertion. Med. Sci. Sports Exerc. 1982, 14, 377–381. [Google Scholar] [CrossRef]
- Dotan, R.; Bar-Or, O. Load optimization for the Wingate anaerobic test. Eur. J. Appl. Physiol. Occup. Physiol. 1983, 51, 409–417. [Google Scholar] [CrossRef]
- Inbar, O.; Bar-Or, O. The Wingate Anaerobic Test; Human Kinetics: Champaign, IL, USA, 1996. [Google Scholar]
- Ofoghi, B.; Zeleznikow, J.; MacMahon, C. Probabilistic modelling to give advice about rowing split measures to support strategy and pacing in race planning. Int. J. Perform. Anal. Sport 2011, 11, 239–253. [Google Scholar] [CrossRef]
- Hopkins, W.G.; Marshall, S.W.; Batterham, A.M.; Hanin, J. Progressive statistics for studies in sports medicine and exercise science. Med. Sci. Sports Exerc. 2009, 41, 3–13. [Google Scholar] [CrossRef]
- Fisher, R.A. Frequency distribution of the values of the correlation coefficient in samples from an indefinitely large population. Biometrika 1915, 10, 507. [Google Scholar] [CrossRef]
- Fisher, R.A. On the Probable Error of a Coefficient of Correlation Deduced from a Small Sample. Metron 1921, 1, 3–32. [Google Scholar]
- Cohen, J. The Effect Size Index: D. In Statistical Power Analysis for the Behavioral Sciences, 2nd ed.; Lawrence Erlbaum Associates: Mahwah, NJ, USA, 1988; Volume 2, pp. 284–288. [Google Scholar]
- Klasnja, A.; Barak, O.F.; Gacesa, J.Z.P.; Drapsin, M.; Knezević, A.; Grujić, N. Analysis of anaerobic capacity in rowers using Wingate test on cycle and rowing ergometer. Med. Pregl. 2011, 63, 620–623. [Google Scholar] [CrossRef] [PubMed]
- Poole, D.C.; Jones, A.M. Measurement of the maximum oxygen uptake Vo2max: Vo2peak is no longer acceptable. J. Appl. Physiol. 2017, 122, 997–1002. [Google Scholar] [CrossRef]
- Moritani, T.; Nagata, A.; Devries, H.A.; Muro, M. Critical power as a measure of physical work capacity and anaerobic threshold. Ergonomics 1981, 24, 339–350. [Google Scholar] [CrossRef] [PubMed]
- Bergstrom, H.C.; Housh, T.J.; Zuniga, J.M.; Traylor, D.A.; Camic, C.L.; Lewis, R.W.; Schmidt, R.J.; Johnson, G.O. The relationships among critical power determined from a 3-min all-out test, respiratory compensation point, gas exchange threshold, and ventilatory threshold. Res. Q. Exerc. Sport 2013, 84, 232–238. [Google Scholar] [CrossRef] [PubMed]
- Bartram, J.C.; Thewlis, D.; Martin, D.T.; Norton, K.I. Predicting Critical Power in Elite Cyclists: Questioning the Validity of the 3-Minute All-Out Test. Int. J. Sports Physiol. Perform. 2017, 12, 783–787. [Google Scholar] [CrossRef] [PubMed][Green Version]
- Koutedakis, Y.; Sharp, N.C. A modified Wingate test for measuring anaerobic work of the upper body in junior rowers. Br. J. Sports Med. 1986, 20, 153–156. [Google Scholar] [CrossRef] [PubMed]
- Riechman, S.E.; Zoeller, R.F.; Balasekaran, G.; Goss, F.; Robertson, R.J. Prediction of 2000 m indoor rowing performance using a 30 s sprint and maximal oxygen uptake. J. Sports Sci. 2001, 20, 681–687. [Google Scholar] [CrossRef] [PubMed]
- Cerasola, D.; Cataldo, A.; Zangla, D.; Palma, A.; Traina, M.; Bianco, A.; Capranica, L. Relationship between wingate cycle test and 2000m rowing ergometer performance in youth athletes. Ital. J. Anat. Embryol. 2017, 122, 58. [Google Scholar]


| n | M ± SD | 6Ktotal | 6Ksplit | |||
|---|---|---|---|---|---|---|
| r | p | r | p | |||
| 6Ktotal (s) | 31 | 1432.73 ± 35.71 | - | - | - | - |
| 6Ksplit (s) | 31 | 119.35 ± 2.98 | - | - | - | - |
| 2peak (L/min) | 31 | 3.33 ± 0.34 | −0.36 | 0.044 | −0.37 | 0.044 |
| 2peak (mL/kg/min) | 31 | 47.26 ± 5.21 | −0.68 | <0.001 | −0.68 | <0.001 |
| WAnT (watts) | 31 | 753.74 ± 137.34 | −0.11 | 0.546 | −0.11 | 0.555 |
| CP3-min (watts) | 31 | 2 32.61 ± 31.27 | −0.62 | <0.001 | −0.62 | <0.001 |
| 1-Stroke (watts) | 31 | 526.06 ± 65.77 | −0.63 | <0.001 | −0.63 | <0.001 |
| n | M ± SD | 2Ktotal | 2Ksplit | |||
|---|---|---|---|---|---|---|
| r | p | r | p | |||
| 2Ktotal (s) | 29 | 444.96 ± 10.83 | - | - | - | - |
| 2Ksplit (s) | 29 | 115.16 ± 5.38 | - | - | - | - |
| 2peak (L/min) | 29 | 3.33 ± 0.34 | −0.33 | 0.084 | −0.33 | 0.069 |
| 2peak (mL/kg/min) | 29 | 47.27 ± 5.39 | −0.64 | <0.001 | −0.43 | 0.016 |
| WAnT (watts) | 29 | 760.35 ± 131.09 | −0.06 | 0.753 | −0.05 | 0.782 |
| CP3-min (watts) | 29 | 231.62 ± 29.90 | −0.61 | <0.001 | −0.99 | <0.001 |
| 1-Stroke (watts) | 29 | 526.83 ± 65.68 | −0.62 | <0.001 | −0.44 | 0.013 |
Publisher’s Note: MDPI stays neutral with regard to jurisdictional claims in published maps and institutional affiliations. |
© 2020 by the authors. Licensee MDPI, Basel, Switzerland. This article is an open access article distributed under the terms and conditions of the Creative Commons Attribution (CC BY) license (http://creativecommons.org/licenses/by/4.0/).
Share and Cite
Holmes, C.J.; Hornikel, B.; Sullivan, K.; Fedewa, M.V. Associations between Multimodal Fitness Assessments and Rowing Ergometer Performance in Collegiate Female Athletes. Sports 2020, 8, 136. https://doi.org/10.3390/sports8100136
Holmes CJ, Hornikel B, Sullivan K, Fedewa MV. Associations between Multimodal Fitness Assessments and Rowing Ergometer Performance in Collegiate Female Athletes. Sports. 2020; 8(10):136. https://doi.org/10.3390/sports8100136
Chicago/Turabian StyleHolmes, Clifton J., Bjoern Hornikel, Katherine Sullivan, and Michael V. Fedewa. 2020. "Associations between Multimodal Fitness Assessments and Rowing Ergometer Performance in Collegiate Female Athletes" Sports 8, no. 10: 136. https://doi.org/10.3390/sports8100136
APA StyleHolmes, C. J., Hornikel, B., Sullivan, K., & Fedewa, M. V. (2020). Associations between Multimodal Fitness Assessments and Rowing Ergometer Performance in Collegiate Female Athletes. Sports, 8(10), 136. https://doi.org/10.3390/sports8100136

