Effects of Different Ranges of Loads on Physical Performance Using Velocity-Based Resistance Training
Abstract
1. Introduction
2. Materials and Methods
2.1. The Experimental Approach to the Problem
2.2. Participants
2.3. Testing Procedures
2.3.1. Sprint Test
2.3.2. Countermovement Jump Test
2.3.3. Progressive Loading Squat Test
2.3.4. Resistance Training Program
2.4. Statistical Analyses
3. Results
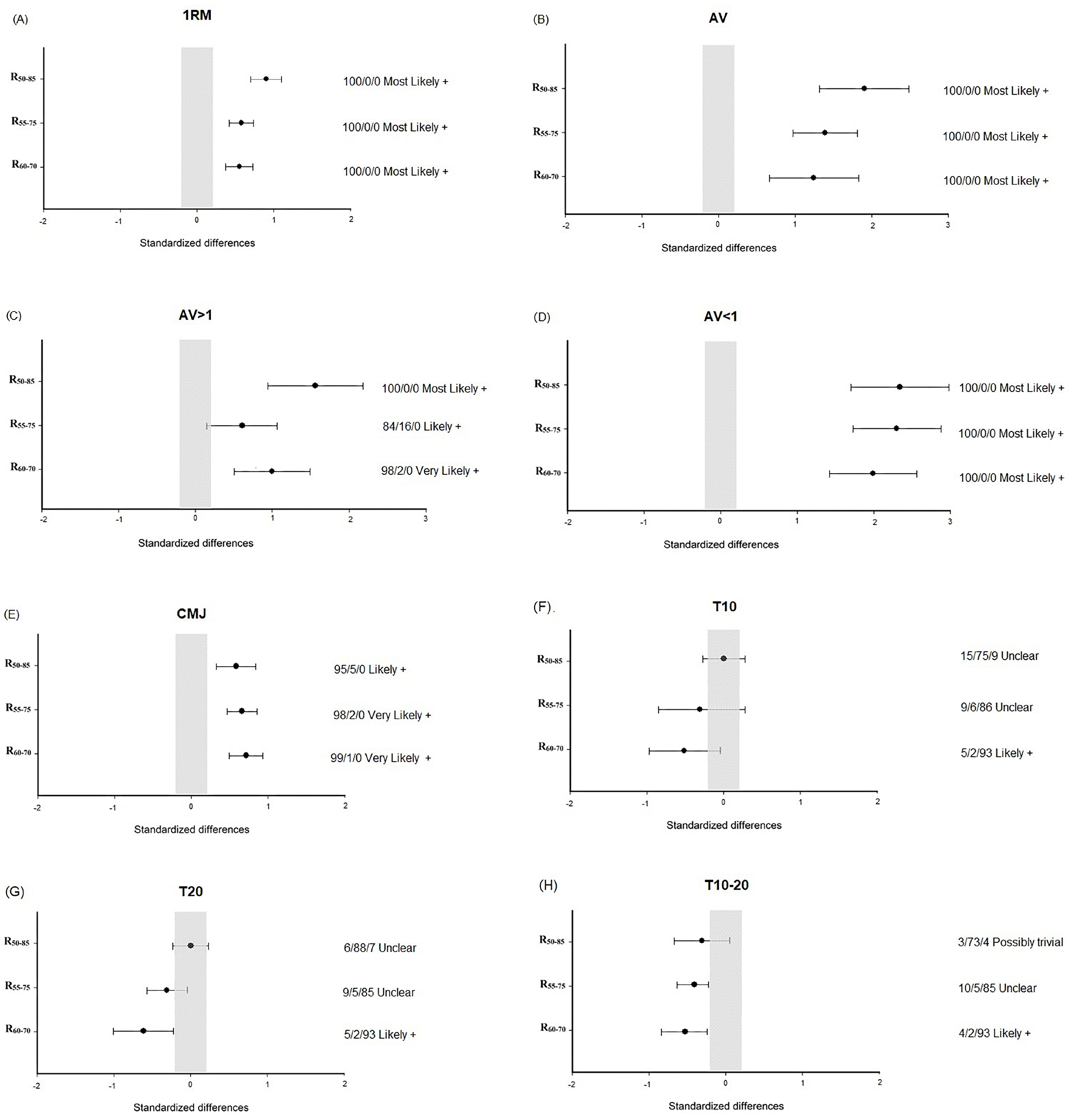
3.1. Running Sprint and Vertical Jump
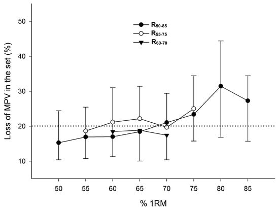
3.2. Progressive Loading Squat Test
4. Discussion
5. Conclusions
6. Practical Applications
Author Contributions
Funding
Institutional Review Board Statement
Informed Consent Statement
Data Availability Statement
Acknowledgments
Conflicts of Interest
References
- Lopez, P.; Pinto, R.S.; Radaelli, R.; Rech, A.; Grazioli, R.; Izquierdo, M.; Cadore, E.L. Benefits of resistance training in physically frail elderly: A systematic review. Aging Clin. Exp. Res. 2018, 30, 889–899. [Google Scholar] [CrossRef] [PubMed]
 - Perales, M.; Santos-Lozano, A.; Ruiz, J.R.; Lucia, A.; Barakat, R. Benefits of aerobic or resistance training during pregnancy on maternal health and perinatal outcomes: A systematic review. Early Hum. Dev. 2016, 94, 43–48. [Google Scholar] [CrossRef]
 - American College of Sports Medicine. American College of Sports Medicine position stand. Progression models in resistance training for healthy adults. Med. Sci. Sports Exerc. 2009, 41, 687–708. [Google Scholar] [CrossRef] [PubMed]
 - Winett, R.A.; Carpinelli, R.N. Potential health-related benefits of resistance training. Prev. Med. 2001, 33, 503–513. [Google Scholar] [CrossRef] [PubMed]
 - Bird, S.P.; Tarpenning, K.M.; Marino, F.E. Designing resistance training programmes to enhance muscular fitness. Sports Med. 2005, 35, 841–851. [Google Scholar] [CrossRef]
 - González-Badillo, J.J.; Sánchez-Medina, L. Movement velocity as a measure of loading intensity in resistance training. Int. J. Sports Med. 2010, 31, 347–352. [Google Scholar] [CrossRef]
 - Kraemer, W.J.; Ratamess, N.A. Fundamentals of resistance training: Progression and exercise prescription. Med. Sci. Sport. Exerc. 2004, 36, 674–688. [Google Scholar] [CrossRef]
 - Campos, G.E.; Luecke, T.J.; Wendeln, H.K.; Toma, K.; Hagerman, F.C.; Murray, T.F.; Ragg, K.E.; Ratamess, N.A.; Kraemer, W.J.; Staron, R.S. Muscular adaptations in response to three different resistance-training regimens: Specificity of repetition maximum training zones. Eur. J. Appl. Physiol. 2022, 88, 50–60. [Google Scholar] [CrossRef]
 - Klemp, A.; Dolan, C.; Quiles, J.M.; Blanco, R.; Zoeller, R.F.; Graves, B.S.; Zourdos, M.C. Volume-equated high- and low-repetition daily undulating programming strategies produce similar hypertrophy and strength adaptations. Appl. Physiol. Nutr. Metab. 2016, 41, 699–705. [Google Scholar] [CrossRef]
 - Schoenfeld, B.J.; Grgic, J.; Ogborn, D.; Krieger, J.W. Strength and hypertrophy adaptations between low- vs. high-load resistance training: A systematic review and meta-analysis. J. Strength Cond. Res. 2017, 31, 3508–3523. [Google Scholar] [CrossRef]
 - Mora-Custodio, R.; Rodríguez-Rosell, D.; Pareja-Blanco, F.; Yañez-García, J.M.; González-Badillo, J.J. Effect of low- vs. moderate-load squat training on strength, jump and sprint performance in physically active women. Int. J. Sports Med. 2016, 37, 476–482. [Google Scholar] [CrossRef] [PubMed]
 - Seitz, L.B.; Reyes, A.; Tran, T.T.; Saez de Villarreal, E.; Haff, G.G. Increases in lower-body strength transfer positively to sprint performance: A systematic review with meta-analysis. Sports Med. 2014, 44, 1693–1702. [Google Scholar] [CrossRef]
 - Baker, D.; Wilson, G.; Carlyon, R. Periodization: The effect on strength of manipulating volume and intensity. J. Strength Cond. Res. 1994, 8, 235–242. [Google Scholar] [CrossRef]
 - Sánchez-Medina, L.; González-Badillo, J.J. Velocity loss as an indicator of neuromuscular fatigue during resistance training. Med. Sci. Sports Exerc. 2011, 43, 1725–1734. [Google Scholar] [CrossRef] [PubMed]
 - González-Badillo, J.J.; Sánchez-Medina, L.; Ribas-Serna, J.; Rodríguez-Rosell, D. Toward a New Paradigm in Resistance Training by Means of Velocity Monitoring: A Critical and Challenging Narrative. Sports Med. Open. 2022, 8, 118. [Google Scholar] [CrossRef] [PubMed]
 - Sánchez-Medina, L.; Pallarés, J.G.; Pérez, C.E.; Morán-Navarro, R.; González-Badillo, J.J. Estimation of relative load from bar velocity in the full back squat exercise. Sports Med. Int. Open 2017, 01, E80–E88. [Google Scholar] [CrossRef]
 - Sanchez-Medina, L.; Perez, C.E.; Gonzalez-Badillo, J.J. Importance of the propulsive phase in strength assessment. Int. J. Sports Med. 2010, 31, 123–129. [Google Scholar] [CrossRef]
 - Riscart-Lopez, J.; Rendeiro-Pinho, G.; Mil-Homens, P.; Soares-daCosta, R.; Loturco, I.; Pareja-Blanco, F.; León-Prados, J.A. Effects of four different velocity-based training programming models on strength gains and physical performance. J. Strength Cond. Res. 2021, 35, 596–603. [Google Scholar] [CrossRef]
 - Hopkins, W.G. Compatibility intervals and magnitude-based decisions for standardized differences and changes in means. Sport Sci. 2019, 23, 5–7. [Google Scholar]
 - Hedges, L.; Olkin, I. Statistical Methods for Meta-Analysis; Academic Press: Cambridge, MA, USA, 2014. [Google Scholar]
 - Cohen, J. Statistical Power Analysis for the Behavioral Sciences. Power Anal. Behav. Sci. 1988, 567, 19–74. [Google Scholar]
 - Courel-Ibáñez, J.; Martínez-Cava, A.; Morán-Navarro, R.; Escribano-Peñas, P.; Chavarren-Cabrero, J.; González-Badillo, J.J.; Pallarés, J.G. Reproducibility and repeatability of five different technologies for bar velocity measurement in resistance training. Ann. Biomed. Eng. 2019, 47, 1523–1538. [Google Scholar] [CrossRef] [PubMed]
 - Iglesias-Soler, E.; Rial-Vázquez, J.; Boullosa, D.; Mayo, X.; Fariñas, J.; Rúa-Alonso, M.; Santos, L. Load-velocity profiles change after training programs with different set configurations. Int. J. Sports Med. 2021, 42, 794–802. [Google Scholar] [CrossRef] [PubMed]
 - Sánchez-Moreno, M.; Cornejo-Daza, P.J.; González-Badillo, J.J.; Pareja-Blanco, F. Effects of velocity loss during body mass prone-grip pull-up training on strength and endurance performance. J. Strength Cond. Res. 2020, 34, 911–917. [Google Scholar] [CrossRef] [PubMed]
 - Jiménez-Reyes, P.; Samozino, P.; Brughelli, M.; Morin, J.B. Effectiveness of an individualized training based on force-velocity profiling during jumping. Front. Physiol. 2017, 7, 677. [Google Scholar] [CrossRef]
 - Dorrell, H.F.; Moore, J.M.; Gee, T.I. Comparison of individual and group-based load-velocity profiling as a means to dictate training load over a 6-week strength and power intervention. J. Sports Sci. 2020, 38, 2013–2020. [Google Scholar] [CrossRef]
 - Pareja-Blanco, F.; Rodríguez-Rosell, D.; Sánchez-Medina, L.; Sanchis-Moysi, J.; Dorado, C.; Mora-Custodio, R.; Yáñez-García, J.M.; Morales-Alamo, D.; Pérez-Suárez, I.; Calbet, J.A.L.; et al. Effects of velocity loss during resistance training on athletic performance, strength gains and muscle adaptations. Scand. J. Med. Sci. Sports. 2017, 27, 724–735. [Google Scholar] [CrossRef]
 



| R50–85 (n = 12) | R55–75 (n = 12) | R60–70 (n = 10) | |
|---|---|---|---|
| Age (years) | 23.8 ± 3.2 | 22.5 ± 2.8 | 22.2 ± 4.7 | 
| Height (m) | 1.77 ± 0.04 | 1.78 ± 0.02 | 1.77 ± 0.05 | 
| Body mass (kg) | 79.2 ± 7.7 | 76.5 ± 11.4 | 74.2 ± 7.7 | 
| Intensity  Scheduled  | Session 1 | Session 2 | Session 3 | Session 4 | Session 5 | Session 6 | Session 7 | Session 8 | |
|---|---|---|---|---|---|---|---|---|---|
| R50–85 | Set × Rep Target MPV (m·s−1) % 1RM  | 3 × 7 1.16 (~50% 1RM)  | 3 × 7 1.16 (~50% 1RM)  | 3 × 7 1.08 (~55% 1RM)  | 3 × 7 1.08 (~55% 1RM)  | 3 × 6 1.00 (~60% 1RM)  | 3 × 6 1.00 (~60% 1RM)  | 3 × 5 0.92 (~65% 1RM)  | 3 × 5 0.92 (~65% 1RM)  | 
| R55–75 | Set × Rep Target MPV (m·s−1) % 1RM  | 3 × 7 1.08 (~55% 1RM)  | 3 × 7 1.08 (~55% 1RM)  | 3 × 6 1.00 (~60% 1RM)  | 3 × 6 1.00 (~60% 1RM)  | 3 × 6 1.00 (~60% 1RM)  | 3 × 5 0.92 (~65% 1RM)  | 3 × 5 0.92 (~65% 1RM)  | 3 × 5 0.92 (~65% 1RM)  | 
| R60–70 | Set × Rep Target MPV (m·s−1) % 1RM  | 3 × 6 1.00 m·s−1 (~60% 1RM)  | 3 × 6 1.00 m·s−1 (~60% 1RM)  | 3 × 6 1.00 m·s−1 (~60% 1RM)  | 3 × 6 1.00 m·s−1 (~60% 1RM)  | 3 × 6 1.00 m·s−1 (~60% 1RM)  | 3 × 6 1.00 m·s−1 (~65% 1RM)  | 3 × 5 0.92 m·s−1 (~65% 1RM)  | 3 × 5 0.92 m·s−1 (~65% 1RM)  | 
| Intensity Scheduled | Session 9 | Session 10 | Session 11 | Session 12 | Session 13 | Session 14 | Session 15 | Session 16 | |
| R50–85 | Set × Rep Target MPV (m·s−1) % 1RM  | 3 × 4 0.84 (~70% 1RM)  | 3 × 4 0.84 (~70% 1RM)  | 3 × 4 0.76 (~75% 1RM)  | 3 × 4 0.76 (~75% 1RM)  | 3 × 4 0.67 (~80% 1RM)  | 3 × 4 0.67 (~80% 1RM)  | 3 × 3 0.59 (~80% 1RM)  | 3 × 3 0.59 (~85% 1RM)  | 
| R55–75 | Set × Rep Target MPV (m·s−1) % 1RM  | 3 × 5 0.92 (~65% 1RM)  | 3 × 4 0.84 (~70% 1RM)  | 3 × 4 0.84 (~70% 1RM)  | 3 × 4 0.84 (~70% 1RM)  | 3 × 4 0.84 (~70% 1RM)  | 3 × 4 0.84 (~70% 1RM)  | 3 × 4 0.76 (~75% 1RM)  | 3 × 4 0.76 (~75% 1RM)  | 
| R60–70 | Set × Rep Target MPV (m·s−1) % 1RM  | 3 × 5 0.92 (~65% 1RM)  | 3 × 5 0.92 (~65% 1RM)  | 3 × 5 0.92 (~65% 1RM)  | 3 × 5 0.84 (~70% 1RM)  | 3 × 4 0.84 (~70% 1RM)  | 3 × 4 0.84 (~70% 1RM)  | 3 × 4 0.84 (~70% 1RM)  | 3 × 4 0.84 (~70% 1RM)  | 
| Actually Performed | Fastest-MPV (m·s−1) [%1RM] | Average-MPV (m·s−1) | VL (%) | Total Reps | MRI (m·s−1) [%1RM]  | NTF | ||
|---|---|---|---|---|---|---|---|---|
| R50–85 | 0.88 ± 0.01 Ψ ♣ [~67.5% 1RM]  | 0.96 ± 0.02 | 21.4 ± 6.1 | 238.8 ± 1.6 Ψ | 0.93 ± 0.01 [~65% 1RM]  | 1.2 ± 1.6 Ψ | ||
| R55–75 | 0.91 ± 0.01 Ψ [~65% 1RM]  | 0.96 ± 0.02 | 21.1 ± 5.4 | 239.6 ± 0.9 | 0.93 ± 0.01 [~65% 1RM]  | 0.9 ± 0.3 | ||
| R60–70 | 0.92 ± 0.01 [~65% 1RM]  | 0.96 ± 0.02 | 18.1 ± 6.1 | 240.0 ± 0.0 | 0.93 ± 0.01 [~65% 1RM]  | 0.0 ± 0.0 | ||
| Actually Performed | Rep per set with 50% 1RM | Rep per set with 55% 1RM | Rep per set with 60% 1RM | Rep per set with 65% 1RM | Rep per set with 70% 1RM | Rep per set with 75% 1RM | Rep per set with 80% 1RM | Rep per set with 85% 1RM | 
| R50–85 | 7.0 ± 0.0 | 7.0 ± 0.0 | 6.0 ± 0.0 | 5.0 ± 0.0 | 4.0 ± 0.0 | 4.0 ± 0.1 | 3.8 ± 0.4 | 3.0 ± 0.1 | 
| R55–75 | 7.0 ± 0.0 | 6.0 ± 0.0 | 5.0 ± 0.0 | 4.0 ± 0.0 | 3.9 ± 0.1 | |||
| R60–70 | 6.0 ± 0.0 | 5.0 ± 0.0 | 4.0 ± 0.0 | 
| R50–85 (n = 12) | R55–75 (n = 12) | R60–70 (n = 10) | |||||||||
|---|---|---|---|---|---|---|---|---|---|---|---|
| Pre | Post | Δ (%) | Pre | Post | Δ (%) | Pre | Post | Δ (%) | p-Value Time Effect  | p-Value Group × Time  | |
| 1RM (kg) | 90.6 ± 19.4 | 108.3 ± 16.8 *** | 19.6 | 90.4 ± 22.1 | 102.8 ± 20.2 *** | 13.6 | 84.0 ± 13.8 | 97.1 ± 15.5 *** | 15.6 | <0.001 | 0.23 | 
| AV (m·s−1) | 0.95 ± 0.12 | 1.15 ± 0.08 *** Ψ | 21.1 | 0.98 ± 0.09 | 1.09 ± 0.07 ** | 11.2 | 0.94 ± 0.05 | 1.05 ± 0.10 ** | 11.7 | <0.001 | <0.004 | 
| AV > 1 (m·s−1) | 1.25 ± 0.09 | 1.40 ± 0.09 ** | 12.0 | 1.30 ± 0.08 | 1.35 ± 0.06 * | 3.8 | 1.26 ± 0.07 | 1.35 ± 0.10 * | 7.1 | <0.001 | 0.33 | 
| AV < 1 (m·s−1) | 0.68 ± 0.03 | 0.91 ± 0.12 *** | 34.0 | 0.67 ± 0.05 | 0.83 ± 0.07 *** | 23.9 | 0.69 ± 0.03 | 0.85 ± 0.08 *** | 23.1 | <0.001 | 0.41 | 
| CMJ (cm) | 36.2 ± 5.3 | 39.0 ± 4.9 *** | 7.7 | 34.1 ± 4.6 | 36.4 ± 4.3 *** | 6.8 | 32.2 ± 3.5 | 35.1 ± 5.2 *** | 8.9 | <0.001 | 0.85 | 
| T10 (s) | 1.79 ± 0.09 | 1.79 ± 0.07 | 0.0 | 1.83 ± 0.12 | 1.81 ± 0.09 | −1.1 | 1.84 ± 0.08 | 1.80 ± 0.07 | −2.2 | <0.05 | 0.36 | 
| T20 (s) | 3.09 ± 0.14 | 3.09 ± 0.12 | 0.0 | 3.16 ± 0.18 | 3.11 ± 0.14 | −1.6 | 3.18 ± 0.12 | 3.10 ± 0.11 ** | −2.5 | <0.01 | 0.12 | 
| T10–20 (s) | 1.30 ± 0.07 | 1.29 ± 0.05 | −0.8 | 1.32 ± 0.07 | 1.30 ± 0.06 ** | −1.5 | 1.34 ± 0.06 | 1.30 ± 0.05 *** | −3.0 | <0.002 | 0.13 | 
Disclaimer/Publisher’s Note: The statements, opinions and data contained in all publications are solely those of the individual author(s) and contributor(s) and not of MDPI and/or the editor(s). MDPI and/or the editor(s) disclaim responsibility for any injury to people or property resulting from any ideas, methods, instructions or products referred to in the content.  | 
© 2025 by the authors. Licensee MDPI, Basel, Switzerland. This article is an open access article distributed under the terms and conditions of the Creative Commons Attribution (CC BY) license (https://creativecommons.org/licenses/by/4.0/).
Share and Cite
Riscart-López, J.; Sánchez-Valdepeñas, J.; Colomina-Clemens, F.; Crespo-García, E.; de Castro-Maqueda, G.; Rosety-Rodríguez, M.Á.; León-Prados, J.A.; Pareja-Blanco, F. Effects of Different Ranges of Loads on Physical Performance Using Velocity-Based Resistance Training. Sports 2025, 13, 121. https://doi.org/10.3390/sports13040121
Riscart-López J, Sánchez-Valdepeñas J, Colomina-Clemens F, Crespo-García E, de Castro-Maqueda G, Rosety-Rodríguez MÁ, León-Prados JA, Pareja-Blanco F. Effects of Different Ranges of Loads on Physical Performance Using Velocity-Based Resistance Training. Sports. 2025; 13(4):121. https://doi.org/10.3390/sports13040121
Chicago/Turabian StyleRiscart-López, Javier, Juan Sánchez-Valdepeñas, Fernando Colomina-Clemens, Esteban Crespo-García, Guillermo de Castro-Maqueda, Miguel Ángel Rosety-Rodríguez, Juan Antonio León-Prados, and Fernando Pareja-Blanco. 2025. "Effects of Different Ranges of Loads on Physical Performance Using Velocity-Based Resistance Training" Sports 13, no. 4: 121. https://doi.org/10.3390/sports13040121
APA StyleRiscart-López, J., Sánchez-Valdepeñas, J., Colomina-Clemens, F., Crespo-García, E., de Castro-Maqueda, G., Rosety-Rodríguez, M. Á., León-Prados, J. A., & Pareja-Blanco, F. (2025). Effects of Different Ranges of Loads on Physical Performance Using Velocity-Based Resistance Training. Sports, 13(4), 121. https://doi.org/10.3390/sports13040121
        
