Effects of Apnea-Induced Hypoxia on Hypoalgesia in Healthy Subjects
Abstract
1. Introduction
2. Materials and Methods
2.1. Participants
2.2. Randomization and Blinding
2.3. Interventions
2.4. Basal Measures
2.5. Hypoalgesia Testing
2.6. Cardiorespiratory Assessment
2.7. Statistical Analysis
3. Results
3.1. Participants Sample Description
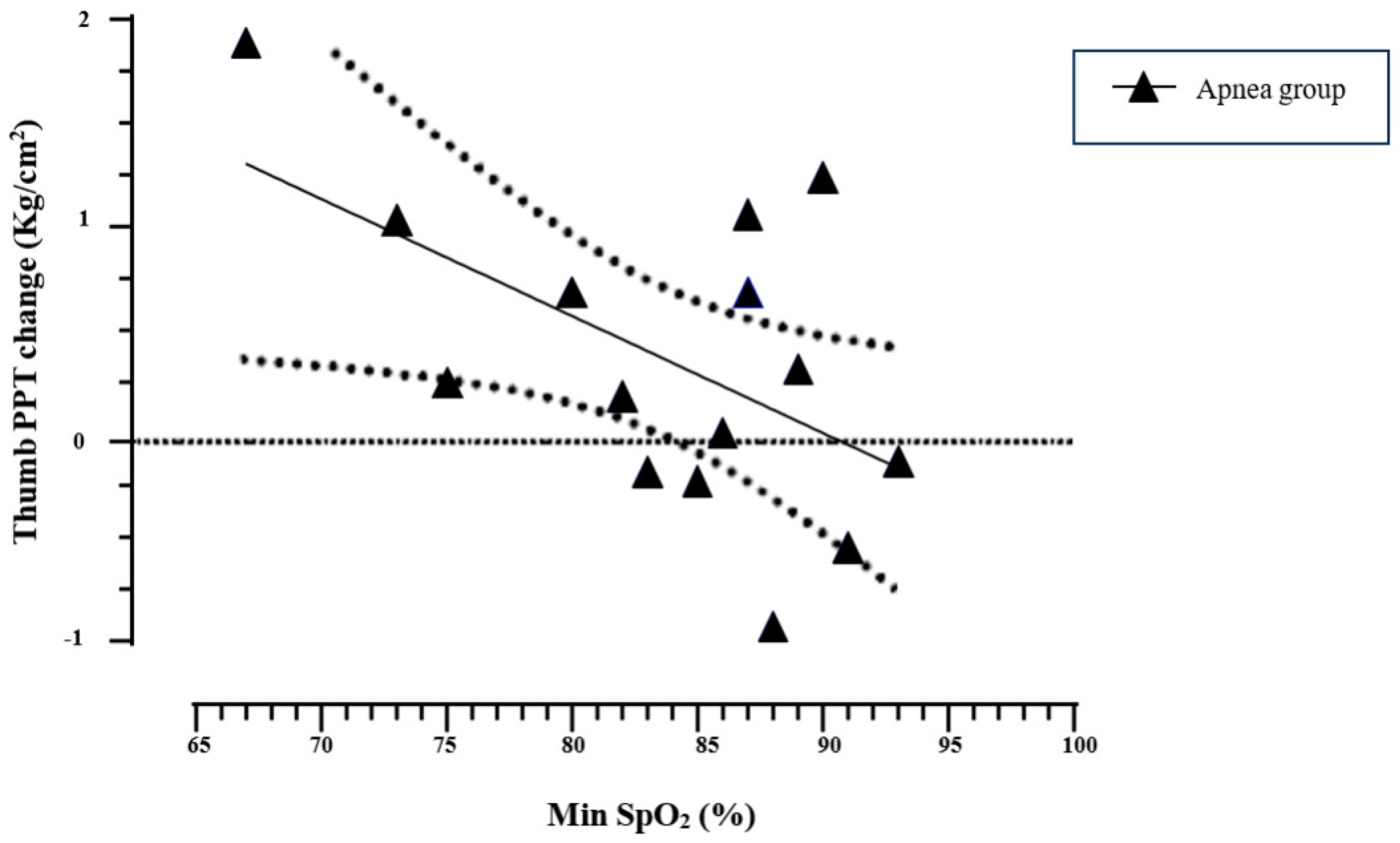
3.2. Pressure Pain Threshold
3.3. Conditioned Pain Modulation
3.4. Heart Rate Response
3.5. Oxygen Saturation Response
4. Discussion
4.1. Main Findings
4.2. Cardiovascular and Respiratory Responses
4.3. Mechanisms of Hypoalgesia
4.4. Limitations
4.5. Future Perspectives
5. Conclusions
Author Contributions
Funding
Institutional Review Board Statement
Informed Consent Statement
Data Availability Statement
Acknowledgments
Conflicts of Interest
References
- Black, J.; Starmer, G.A.; Egger, G. The painlessness of the long distance runner. Med. J. Aust. 1979, 1, 522–523. [Google Scholar] [CrossRef] [PubMed]
- Rolke, R.; Magerl, W.; Campbell, K.A.; Schalber, C.; Caspari, S.; Birklein, F.; Treede, R.D. Quantitative sensory testing: A comprehensive protocol for clinical trials. Eur. J. Pain 2006, 10, 77. [Google Scholar] [CrossRef] [PubMed]
- Wewege, M.A.; Jones, M.D. Exercise-Induced Hypoalgesia in Healthy Individuals and People With Chronic Musculoskeletal Pain: A Systematic Review and Meta-Analysis. J. Pain 2021, 22, 21–31. [Google Scholar] [CrossRef]
- Karanasios, S.; Lignos, I.; Kouvaras, K.; Moutzouri, M.; Gioftsos, G. Low-Intensity Blood Flow Restriction Exercises Modulate Pain Sensitivity in Healthy Adults: A Systematic Review. Healthcare 2023, 11, 726. [Google Scholar] [CrossRef]
- Niwa, Y.; Shimo, K.; Ohga, S.; Tokiwa, Y.; Hattori, T.; Matsubara, T. Effects of Exercise-Induced Hypoalgesia at Different Aerobic Exercise Intensities in Healthy Young Adults. J. Pain Res. 2022, 15, 3615–3624. [Google Scholar] [CrossRef]
- Hughes, L.; Patterson, S.D. The effect of blood flow restriction exercise on exercise-induced hypoalgesia and endogenous opioid and endocannabinoid mechanisms of pain modulation. J. Appl. Physiol. 2020, 128, 914–924. [Google Scholar] [CrossRef]
- Reyes del Paso, G.A.; Muñoz Ladrón de Guevara, C.; Montoro, C.I. Breath-Holding During Exhalation as a Simple Manipulation to Reduce Pain Perception. Pain Med. 2015, 16, 1835–1841. [Google Scholar] [CrossRef]
- Suarez-Roca, H.; Klinger, R.Y.; Podgoreanu, M.V.; Ji, R.-R.; Sigurdsson, M.I.; Waldron, N.; Mathew, J.P.; Maixner, W. Contribution of Baroreceptor Function to Pain Perception and Perioperative Outcomes. Anesthesiology 2019, 130, 634–650. [Google Scholar] [CrossRef]
- Naugle, K.M.; Ohlman, T.; Wind, B.; Miller, L. Test-Retest Instability of Temporal Summation and Conditioned Pain Modulation Measures in Older Adults. Pain Med. 2020, 21, 2863–2876. [Google Scholar] [CrossRef]
- Lalouni, M.; Fust, J.; Bjureberg, J.; Kastrati, G.; Fondberg, R.; Fransson, P.; Jayaram-Lindström, N.; Kosek, E.; Hellner, C.; Jensen, K.B. Augmented pain inhibition and higher integration of pain modulatory brain networks in women with self-injury behavior. Mol. Psychiatry 2022, 27, 3452–3459. [Google Scholar] [CrossRef]
- Shephard, R.J. Responses of the human spleen to exercise. J. Sports Sci. 2016, 34, 929–936. [Google Scholar] [CrossRef] [PubMed]
- Zheng, K.; Chen, C.; Yang, S.; Wang, X. Aerobic Exercise Attenuates Pain Sensitivity: An Event-Related Potential Study. Front. Neurosci. 2021, 15, 735470. [Google Scholar] [CrossRef] [PubMed]
- Staffe, A.T.; Bech, M.W.; Clemmensen, S.L.K.; Nielsen, H.T.; Larsen, D.B.; Petersen, K.K. Total sleep deprivation increases pain sensitivity, impairs conditioned pain modulation and facilitates temporal summation of pain in healthy participants. PLoS ONE 2019, 14, e0225849. [Google Scholar] [CrossRef] [PubMed]
- Horn-Hofmann, C.; Capito, E.S.; Wolstein, J.O.; Lautenbachera, S. Acute alcohol effects on conditioned pain modulation, but not temporal summation of pain. Pain 2019, 160, 2063–2071. [Google Scholar] [CrossRef]
- Vervullens, S.; Haenen, V.; Meert, L.; Meeus, M.; Smeets, R.J.; Baert, I.; Mertens, M.G. Personal influencing factors for pressure pain threshold in healthy people: A systematic review and meta-analysis. Neurosci. Biobehav. Rev. 2022, 139, 104727. [Google Scholar] [CrossRef]
- Hermans, L.; Van Oosterwijck, J.; Goubert, D.; Goudman, L.; Crombez, G.; Calders, P.; Meeus, M. Inventory of Personal Factors Influencing Conditioned Pain Modulation in Healthy People: A Systematic Literature Review. Pain Pract. 2016, 16, 758–769. [Google Scholar] [CrossRef]
- Woorons, X.; Millet, G.P.; Mucci, P. Physiological adaptations to repeated sprint training in hypoxia induced by voluntary hypoventilation at low lung volume. Eur. J. Appl. Physiol. 2019, 119, 1959–1970. [Google Scholar] [CrossRef]
- Fornasier-Santos, C.; Millet, G.P.; Woorons, X. Repeated-sprint training in hypoxia induced by voluntary hypoventilation improves running repeated-sprint ability in rugby players. Eur. J. Sport Sci. 2018, 18, 504–512. [Google Scholar] [CrossRef]
- Woorons, X.; Mucci, P.; Richalet, J.P.; Pichon, A. PICHONA Hypoventilation Training at Supramaximal Intensity Improves Swimming Performance. Med. Sci. Sports Exerc. 2016, 48, 1119–1128. [Google Scholar] [CrossRef]
- Trincat, L.; Woorons, X.; Millet, G.P. Repeated-Sprint Training in Hypoxia Induced by Voluntary Hypoventilation in Swimming. Int. J. Sports Physiol. Perform. 2017, 12, 329–335. [Google Scholar] [CrossRef]
- de Asís-Fernández, F.; Sereno, D.; Turner, A.P.; González-Mohíno, F.; González-Ravé, J.M. Effects of apnoea training on aerobic and anaerobic performance: A systematic review and meta-analysis. Front. Physiol. 2022, 13, 964144. [Google Scholar] [CrossRef] [PubMed]
- Woorons, X.; Mollard, P.; Pichon, A.; Duvallet, A.; Richalet, J.-P.; Lamberto, C. Prolonged expiration down to residual volume leads to severe arterial hypoxemia in athletes during submaximal exercise. Respir. Physiol. Neurobiol. 2007, 158, 75–82. [Google Scholar] [CrossRef] [PubMed]
- Woorons, X.; Bourdillon, N.; Vandewalle, H.; Lamberto, C.; Mollard, P.; Richalet, J.-P.; Pichon, A. Exercise with hypoventilation induces lower muscle oxygenation and higher blood lactate concentration: Role of hypoxia and hypercapnia. Eur. J. Appl. Physiol. 2010, 110, 367–377. [Google Scholar] [CrossRef] [PubMed]
- Hoos, T.; Espinoza, N.; Marshall, S.; Arredondo, E.M. Validity of the Global Physical Activity Questionnaire (GPAQ) in adult Latinas. J. Phys. Act. Health 2012, 9, 698–705. [Google Scholar] [CrossRef] [PubMed]
- Hita-Contreras, F.; Martínez-López, E.; Latorre-Román, P.A.; Garrido, F.; Santos, M.A.; Martínez-Amat, A. Reliability and validity of the Spanish version of the Pittsburgh Sleep Quality Index (PSQI) in patients with fibromyalgia. Rheumatol. Int. 2014, 34, 929–936. [Google Scholar] [CrossRef] [PubMed]
- Remor, E. Psychometric properties of a European Spanish version of the Perceived Stress Scale (PSS). Span. J. Psychol. 2006, 9, 86–93. [Google Scholar] [CrossRef]
- Chesterton, L.S.; Sim, J.; Wright, C.C.; Foster, N.E. Interrater reliability of algometry in measuring pressure pain thresholds in healthy humans, using multiple raters. Clin. J. Pain 2007, 23, 760–766. [Google Scholar] [CrossRef]
- Balaguier, R.; Madeleine, P.; Vuillerme, N. Is One Trial Sufficient to Obtain Excellent Pressure Pain Threshold Reliability in the Low Back of Asymptomatic Individuals? A Test-Retest Study. PLoS ONE 2016, 11, e0160866. [Google Scholar] [CrossRef]
- Yarnitsky, D.; Arendt-Nielsen, L.; Bouhassira, D.; Edwards, R.R.; Fillingim, R.B.; Granot, M.; Hansson, P.; Lautenbacher, S.; Marchand, S.; Wilder-Smith, O. Recommendations on terminology and practice of psychophysical DNIC testing. Eur. J. Pain 2010, 14, 339. [Google Scholar] [CrossRef]
- Nuwailati, R.; Bobos, P.; Drangsholt, M.; Curatolo, M. Reliability of conditioned pain modulation in healthy individuals and chronic pain patients: A systematic review and meta-analysis. Scand. J. Pain 2022, 22, 262–278. [Google Scholar] [CrossRef]
- Razavi, M.; Hansson, P.T.; Johansson, B.; Leffler, A.S. The influence of intensity and duration of a painful conditioning stimulation on conditioned pain modulation in volunteers. Eur. J. Pain 2014, 18, 853–861. [Google Scholar] [CrossRef] [PubMed]
- Scheid, J.L.; O’Donnell, E. Revisiting heart rate target zones through the lens of wearable technology. ACSMs Health Fit. J. 2019, 23, 21–26. [Google Scholar] [CrossRef]
- ACSMs Guidelines for Exercise Testing and Prescription n.d. Available online: https://www.wolterskluwer.com/en/know/acsm/guidelines-for-exercise-testing-and-prescription (accessed on 31 January 2023).
- Tanaka, H.; Monahan, K.D.; Seals, D.R. Age-predicted maximal heart rate revisited. J. Am. Coll. Cardiol. 2001, 37, 153–156. [Google Scholar] [CrossRef]
- Andersson, J.P.A.; Linér, M.H.; Fredsted, A.; Schagatay, E.K.A. Cardiovascular and respiratory responses to apneas with and without face immersion in exercising humans. J. Appl. Physiol. 2004, 96, 1005–1010. [Google Scholar] [CrossRef]
- Bouten, J.; De Bock, S.; Bourgois, G.; de Jager, S.; Dumortier, J.; Boone, J.; Bourgois, J.G. Heart Rate and Muscle Oxygenation Kinetics During Dynamic Constant Load Intermittent Breath-Holds. Front. Physiol. 2021, 12, 712629. [Google Scholar] [CrossRef] [PubMed]
- Delapille, P.; Verin, E.; Tourny Chollet, C.; Pasquis, P. Heart rate variation after breath hold diving with different underwater swimming velocities. J. Sports Med. Phys. Fit. 2002, 42, 79–82. [Google Scholar]
- Rice, D.; Nijs, J.; Kosek, E.; Wideman, T.; I Hasenbring, M.; Koltyn, K.; Graven-Nielsen, T.; Polli, A. Exercise-Induced Hypoalgesia in Pain-Free and Chronic Pain Populations: State of the Art and Future Directions. J. Pain 2019, 20, 1249–1266. [Google Scholar] [CrossRef] [PubMed]
- Naugle, K.M.; Naugle, K.E.; Fillingim, R.B.; Samuels, B.; Riley, J.L. Intensity thresholds for aerobic exercise-induced hypoalgesia. Med. Sci. Sports Exerc. 2014, 46, 817–825. [Google Scholar] [CrossRef]
- Sforzo, G.A. Opioids and Exercise: An Update. Sports Med. 1989, 7, 109–124. [Google Scholar] [CrossRef]
- Goldfarb, A.H.; Jamurtas, A.Z. β-endorphin response to exercise. An update. Sports Med. 1997, 24, 8–16. [Google Scholar] [CrossRef]
- Naugle, K.M.; Fillingim, R.B.; Riley, J.L. A Meta-Analytic Review of the Hypoalgesic Effects of Exercise. J. Pain 2012, 13, 1139–1150. [Google Scholar] [CrossRef] [PubMed]



| AG (n = 15) | CG (n = 15) | Pair-Wise Comparisons (p-Value) | |
|---|---|---|---|
| Age (years) | 23.93 ± 2.939 | 23.13 ± 1.99 | 0.39 ‡ |
| Gender Male/Female (n) | 10/5 | 10/5 | 1.00 $ |
| BMI (kg/m2) | 22.89 ± 2.39 | 22.94 ± 2.16 | 0.95 ‡ |
| GPAQ (METs) | 4580 ± 3569.93 | 4700 ± 4349.04 | 0.89 § |
| PSS-14 | 17.60 ± 6.46 | 17.67 ± 6.75 | 0.97 ‡ |
| PSQI | 5.27 ± 2.89 | 5.93 ± 2.34 | 0.30 § |
| SpO2 (%) | 98.20 ± 1.01 | 97.20 ± 1.42 | 0.035 ‡,* |
| %HRmax at rest | 32.01 ± 4.56 | 32.97 ± 7.53 | 0.68 ‡ |
| PPT Thumb (kg/cm2) | 3.66 ± 0.72 | 3.5 ± 1.42 | 0.29 ‡ |
| PPT Thumb cond. (kg/cm2) | 4.40 ± 0.96 | 3.86 ± 1.33 | 0.12 ‡ |
| PPT Tibialis (kg/cm2) | 4.41 ± 1.65 | 4.22 ± 2.02 | 0.30 ‡ |
| Measures | Groups | Time-Point | Mixed ANOVA (F, p-Value; ηp2) | |||||
|---|---|---|---|---|---|---|---|---|
| Pre | CPM Pre | Post | CPM Post | Time | Group | Time × Group | ||
| PPT Thumb | AG | 3.66 ± 0.72 | - | 4.06 ± 1.11 | - | 0.73, 0.39; 0.026 | 1.13, 0.29; 0.039 | 2.36, 0.13; 0.078 |
| CG | 3.50 ± 1.42 | - | 3.38 ± 1.29 | - | ||||
| PPT Tibialis | AG | 4.41 ± 1.65 | - | 4.82 ± 1.87 | - | 0.64, 0.42; 0.023 | 0.46, 0.50; 0.016 | 2.17, 0.15; 0.072 |
| CG | 4.22 ± 2.02 | - | 4.10 ± 1.99 | - | ||||
| CPM and PPT Thumb | AG | 3.66 ± 0.72 | 4.40 ± 0.96 | 4.06 ± 1.11 | 4.31 ± 0.83 | 4.70, 0.004 *; 0.144 | 1.80, 0.19; 0.06 | 1.04, 0.37; 0.036 |
| CG | 3.50 ± 1.42 | 3.86 ± 1.33 | 3.38 ± 1.29 | 3.68 ± 1.36 | ||||
| AG (n = 15) | CG (n = 15) | Pair-Wise Comparisons (p-Value) | |
|---|---|---|---|
| HR data | |||
| Time in %HRmax Zone 1 (s) | 215.20 ± 118.74 | 227.67 ± 121.95 | 0.78 ‡ |
| Time in %HRmax Zone 2 (s) | 114.67 ± 113.47 | 80.60 ± 96.99 | 0.45 § |
| Time in %HRmax Zone 3 (s) | 8.00 ± 25.75 | 45.73 ± 95.12 | 0.20 § |
| Time in %HRmax Zone 4 (s) | 0 | 0 | - |
| Time in %HRmax Zone 5 (s) | 0 | 0 | - |
| SpO2 data | |||
| Time in Normoxemia Zone (s) | 119.53 ± 80.61 | 276.67 ± 122.30 | 0.002 §,* |
| Time in Mild Hypoxemia Zone (s) | 65.53 ± 48.04 | 71.00 ± 120.13 | 0.16 § |
| Time in Moderate Hypoxemia Zone (s) | 112.67 ± 97.00 | 10.80 ± 33.00 | <0.001 §,* |
| Time in Severe Hypoxemia Zone (s) | 49.07 ± 68.84 | 0 | <0.001 §,* |
Disclaimer/Publisher’s Note: The statements, opinions and data contained in all publications are solely those of the individual author(s) and contributor(s) and not of MDPI and/or the editor(s). MDPI and/or the editor(s) disclaim responsibility for any injury to people or property resulting from any ideas, methods, instructions or products referred to in the content. |
© 2024 by the authors. Licensee MDPI, Basel, Switzerland. This article is an open access article distributed under the terms and conditions of the Creative Commons Attribution (CC BY) license (https://creativecommons.org/licenses/by/4.0/).
Share and Cite
Mendoza-Arranz, C.; López-Rebenaque, O.; Cabrera-López, C.D.; López-Mejías, A.; Fierro-Marrero, J.; DeAsís-Fernández, F. Effects of Apnea-Induced Hypoxia on Hypoalgesia in Healthy Subjects. Sports 2024, 12, 294. https://doi.org/10.3390/sports12110294
Mendoza-Arranz C, López-Rebenaque O, Cabrera-López CD, López-Mejías A, Fierro-Marrero J, DeAsís-Fernández F. Effects of Apnea-Induced Hypoxia on Hypoalgesia in Healthy Subjects. Sports. 2024; 12(11):294. https://doi.org/10.3390/sports12110294
Chicago/Turabian StyleMendoza-Arranz, Cristian, Omar López-Rebenaque, Carlos Donato Cabrera-López, Alejandro López-Mejías, José Fierro-Marrero, and Francisco DeAsís-Fernández. 2024. "Effects of Apnea-Induced Hypoxia on Hypoalgesia in Healthy Subjects" Sports 12, no. 11: 294. https://doi.org/10.3390/sports12110294
APA StyleMendoza-Arranz, C., López-Rebenaque, O., Cabrera-López, C. D., López-Mejías, A., Fierro-Marrero, J., & DeAsís-Fernández, F. (2024). Effects of Apnea-Induced Hypoxia on Hypoalgesia in Healthy Subjects. Sports, 12(11), 294. https://doi.org/10.3390/sports12110294

