Pain Candidate Genes 5-HTTLPR and COMT Affect Anxiety and Mood in Japanese Ballet Dancers: A Cross-Sectional and Longitudinal Study
Abstract
1. Introduction
2. Materials and Methods
2.1. Participants
2.2. Procedure
2.3. Questionnaire
2.3.1. BRUMS
2.3.2. STAI
2.4. Experimental Design for Genotyping
2.4.1. 5-HTTLPR
2.4.2. COMT
2.5. Statistical Analyses
3. Results
3.1. 5-HTTLPR and COMT Genotype Frequencies
3.2. Relationship Between the STAI and 5-HTTLPR or COMT Genotypes
3.3. Relationship Between the BRUMS and 5-HTTLPR or COMT Genotypes
3.3.1. In 5-HTTLPR Genotype Group
3.3.2. In COMT Genotype Group
3.4. Relationship Between the BRUMS and Pain Feeling in 5-HTTLPR or COMT Genotypes
4. Discussion
5. Conclusions
Author Contributions
Funding
Institutional Review Board Statement
Informed Consent Statement
Data Availability Statement
Acknowledgments
Conflicts of Interest
References
- Caine, D.; Goodwin, B.J.; Caine, C.G.; Bergeron, G. Epidemiological review of injury in pre-professional ballet dancers. J. Dance Med. Sci. 2015, 19, 140–148. [Google Scholar] [CrossRef] [PubMed]
- Girard, J.; Koenig, K.; Village, D. The effect of strength and plyometric training on functional dance performance in elite ballet and modern dancers. Phys. Ther. Rev. 2015, 20, 233–240. [Google Scholar] [CrossRef]
- The activity demands and physiological responses observed in professional ballet: A systematic review. J. Sport Exerc. Sci. 2021, 5, 254–269. Available online: https://repository.essex.ac.uk/31531/ (accessed on 22 October 2024).
- Twitchett, E.A.; Koutedakis, Y.; Wyon, M.A. Physiological fitness and professional classical ballet performance: A brief review. J. Strength Cond. Res. 2009, 23, 2732–2740. [Google Scholar] [CrossRef]
- Mainwaring, L.M.; Finney, C. Psychological risk factors and outcomes of dance injury: A systematic review. J. Dance Med. Sci. 2017, 21, 87–96. [Google Scholar] [CrossRef]
- Evans, R.I.E.R.W.; I Evans, R.; Carvajal, S.; Perry, S. A survey of injuries among Broadway performers. Am. J. Public Health 1996, 86, 77–80. [Google Scholar] [CrossRef] [PubMed]
- Fuller, M.; Hunt, A.; Minett, G. Injuries during transition periods across the year in pre-professional and professional ballet and contemporary dancers: A systematic review and meta-analysis. Phys. Ther. Sport 2020, 44, 14–23. [Google Scholar] [CrossRef]
- Kozai, A.C.; Twitchett, E.; Morgan, S.; Wyon, M.A. Workload intensity and rest periods in professional ballet: Connotations for injury. Int. J. Sports Med. 2020, 41, 373–379. [Google Scholar] [CrossRef]
- Ryan, A.J.; Stephens, R.E. The epidemiology of dance injuries. In Dance Medicine: A Comprehensive Guide; Ryan, A.J., Stephens, R.E., Eds.; Pluribus Press Inc.: Chicago, IL, USA; Physician and Sportsmedicine: Minneapolis, MN, USA, 1987; pp. 3–15. [Google Scholar]
- Twitchett, E.; Angioi, M.; Koutedakis, Y.; Wyon, M. The demands of a working day among female professional ballet dancers. J. Dance Med. Sci. 2010, 14, 127–132. [Google Scholar] [CrossRef]
- Hernandez, B.M. Addressing Occupational Stress in Dancers. J. Phys. Educ. Recreat. Dance 2013, 83, 3–50. [Google Scholar] [CrossRef]
- Konijn, E.A. What’s on between the actor and his audience? Empirical analysis of emotion processes in the theatre. In Psychology and Performing Arts; Wilson, G.D., Ed.; Swets & Zeitlinger: Lisse, The Netherlands, 1991; pp. 59–74. [Google Scholar]
- Yatabe, K.; Yui, N.; Kasuya, S.; Fujiya, H.; Tateishi, K.; Terawaki, F.; Yoshida, A.; Yoshioka, H.; Terauchi, K.; Miyano, H.; et al. Anxiety and mood among ballet dancers: A pilot study on effects of a medical approach involving periodic intervention. Ann. Sport Med. Res. 2014, 1, 1002. Available online: https://www.semanticscholar.org/paper/Anxiety-and-Mood-among-Ballet-Dancers-%3A-A-Pilot-on-Yatabe-Yui/e6a727d71599bfcc7df8bd8baee5454e8556d613 (accessed on 22 October 2024).
- Ostwald, P.F.; Baron, B.C.; Byl, N.M.; Wilson, F.R. Wilson, Performing arts medicine. West. J. Med. 1994, 160, 48–52. [Google Scholar] [PubMed]
- Marchant-Haycox, S.E.; Wilson, G.D. Personality and stress in performing artists. Pers. Individ. Differ. 1992, 13, 1061–1068. [Google Scholar] [CrossRef]
- Sprangers, M.A.G.; Thong, M.S.Y.; Bartels, M.; Barsevick, A.; Ordoñana, J.; Shi, Q.; Wang, X.S.; Klepstad, P.; Wierenga, E.A.; Singh, J.A.; et al. Biological pathways, candidate genes, and molecular markers associated with quality-of-life domains: An update. Qual. Life Res. 2014, 23, 1997–2013. [Google Scholar] [CrossRef] [PubMed]
- Lesch, K.-P.; Bengel, D.; Heils, A.; Sabol, S.Z.; Greenberg, B.D.; Petri, S.; Benjamin, J.; Müller, C.R.; Hamer, D.H.; Murphy, D.L. Association of anxiety-related traits with a polymorphism in the serotonin transporter gene regulatory region. Science 1996, 274, 1527–1531. [Google Scholar] [CrossRef]
- Bachner-Melman, R.; Dina, C.; Zohar, A.H.; Constantini, N.; Lerer, E.; Hoch, S.; Sella, S.; Nemanov, L.; Gritsenko, I.; Lichtenberg, P.; et al. AVPR1a and SLC6A4 Gene polymorphisms are associated with creative dance performance. PLoS Genet. 2005, 1, e42. [Google Scholar] [CrossRef]
- Miller, R.; Wankerl, M.; Stalder, T.; Kirschbaum, C.; Alexander, N. The serotonin transporter gene-linked polymorphic region (5-HTTLPR) and cortisol stress reactivity: A meta-analysis. Mol. Psychiatry 2013, 18, 1018–1024. [Google Scholar] [CrossRef]
- Gelernter, J.; Kranzler, H.; Cubells, J.F. Serotonin transporter protein (SLC6A4) allele and haplotype frequencies and linkage disequilibria in African- and European-American and Japanese populations and in alcohol-dependent subjects. Hum. Genet. 1997, 101, 243–246. [Google Scholar] [CrossRef]
- Nakamura, T.; Muramatsu, T.; Ono, Y.; Matsushita, S.; Higuchi, S.; Mizushima, H.; Yoshimura, K.; Kanba, S.; Asai, M. Serotonin transporter gene regulatory region polymorphism and anxiety-related traits in the Japanese. Am. J. Med. Genet. 1997, 74, 544–545. [Google Scholar] [CrossRef]
- Yatabe, K.; Kumai, T.; Fujiya, H.; Yui, N.; Kasuya, S.; Murofushi, Y.; Tateishi, K.; Terawaki, F.; Kobayashi, H.; Uchino, A.; et al. Effects of serotonin transporter gene polymorphism on mood during the period before the competition in Japanese ballet dancers. Integr. Mol. Med. 2016, 3, 818–825. [Google Scholar] [CrossRef]
- Lee, L.O.; Prescott, C.A. Association of the catechol-O-methyltransferase val158met polymorphism and anxiety-related traits: A meta-analysis. Psychiatr. Genet. 2014, 24, 52–69. [Google Scholar] [CrossRef] [PubMed]
- Lajin, B.; Alachkar, A.; Hamzeh, A.; Michati, R.; Alhaj, H. No association between Val158Met of the COMT gene and susceptibility to schizophrenia in the Syrian population. N. Am. J. Med. Sci. 2011, 3, 176–178. Available online: https://pmc.ncbi.nlm.nih.gov/articles/PMC3336908/ (accessed on 22 October 2024).
- Montag, C.; Jurkiewicz, M.; Reuter, M. The role of the catechol-O-methyltransferase (COMT) gene in personality and related psychopathological disorders. CNS Neurol. Disord. Drug Targets 2012, 11, 236–250. [Google Scholar] [CrossRef]
- Olsson, C.A.; Anney, R.J.; Lotfi-Miri, M.; Byrnes, G.B.; Williamson, R.; Patton, G.C. Association between the COMT Val158Met polymorphism and propensity to anxiety in an Australian population-based longitudinal study of adolescent health. Psychiatr. Genet. 2005, 15, 109–115. [Google Scholar] [CrossRef] [PubMed]
- Zubieta, J.-K.; Heitzeg, M.M.; Smith, Y.R.; Bueller, J.A.; Xu, K.; Xu, Y.; Koeppe, R.A.; Stohler, C.S.; Goldman, D. COMT val158met genotype affects µ-opioid neurotransmitter responses to a pain stressor. Science 2003, 299, 1240–1243. [Google Scholar] [CrossRef] [PubMed]
- Spielberger, C.D. Manual for the State-Trait Anger-Expression Inventory; Psychological Assessment Resources: Odessa, FL, USA, 1991. [Google Scholar]
- Spielberger, C.D. Manual for the State–Trait Anxiety Inventory; Form, Y., Spielberger, C.D., Gorsuch, R.L., Lushene, R.E., Vagg, P.R., Jacobs, G.A., Eds.; Consulting Psychologists Press: Palo Alto, CA, USA, 1983. [Google Scholar]
- Spielberger, C.D.; Mizuguchi, T.; Shimonaka, Y.; Nakazato, K. The Japanese Version of STAI; Sankyoubou, K., Ed.; Consulting Psychologists Press: Kyoto, Japan, 1991. (In Japanese) [Google Scholar]
- Terry, P.C.; Lane, A.M. User Guide for the Brunel Mood Scale (BRUMS); University of Southern Queensland: Toowoomba, Australia; University of Wolverhampton: Wolverhampton, UK, 2003. [Google Scholar]
- Terry, P.C.; Parsons-Smith, R.L. Mood profiling for sustainable mental health among athletes. Sustainability 2021, 13, 6116. [Google Scholar] [CrossRef]
- Terry, P.C.; Lane, A.M.; Lane, H.J.; Keohane, L. Development and validation of a mood measure for adolescents. J. Sports Sci. 1999, 17, 861–872. [Google Scholar] [CrossRef]
- Terry, P.; Lane, A.; Fogarty, G. Construct validity of the Profile of Mood States—Adolescents for use with adults. Psychol. Sport Exerc. 2003, 4, 125–139. [Google Scholar] [CrossRef]
- Beedie, C.J.; Terry, P.C.; Lane, A.M. The profile of mood states and athletic performance: Two meta-analyses. J. Appl. Sport Psychol. 2000, 12, 49–68. [Google Scholar] [CrossRef]
- Terry, P.C.; Parsons-Smith, R.L.; King, R.; Terry, V.R. Influence of sex, age, and education on mood profile clusters. PLoS ONE 2021, 16, e0245341. [Google Scholar] [CrossRef]
- Yatabe, K.; Oyama, T.; Fujiya, H.; Kato, H.; Seki, H.; Kohno, T. Development and validation of the preliminary Japanese version of the profile of mood states for adolescents, St. Marianna. Med. J. 2006, 34, 539–547. [Google Scholar]
- Yatabe, K.; Oyama, T. Reliability and validity of the Profile of Mood State for adolescent: The second report. In Proceedings of the Annual Convention of the Japanese Psychological Association (Nihon Shinri Gakkai Taikai Happyo Ronbunsyu); Japanese Psychological Association: Tokyo, Japan, 2007; Volume 71, p. 947. [Google Scholar] [CrossRef]
- Pieper, S.; Out, D.; Bakermans-Kranenburg, M.J.; van Ijzendoorn, M.H. Behavioral and molecular genetics of dissociation: The role of the serotonin transporter gene promoter polymorphism (5-HTTLPR). J. Trauma. Stress 2011, 24, 373–380. [Google Scholar] [CrossRef] [PubMed]
- Lajin, B.; Alachkar, A. Detection of catechol-O-methyltransferase (COMT) Val158Met Polymorphism by a New Optimized PCR-RFLP Method. Am. J. Biomed. Sci. 2011, 3, 170–175. [Google Scholar] [CrossRef]
- Byhring, S.; Bø, K. Musculoskeletal injuries in the Norwegian National Ballet: A prospective cohort study. Scand. J. Med. Sci. Sports 2002, 12, 365–370. [Google Scholar] [CrossRef] [PubMed]
- Miller, C. Dance medicine: Current concepts. Phys. Med. Rehabil. Clin. N. Am. 2006, 17, 803–811. [Google Scholar] [CrossRef]
- Nilsson, C.; Leanderson, J.; Wykman, A.; Strender, L.-E. The injury panorama in a Swedish professional ballet company. Knee Surgery Sports Traumatol. Arthrosc. 2001, 9, 242–246. [Google Scholar] [CrossRef]
- Solomon, R.; Solomon, J.; Micheli, L.J.; McGray, E. The cost of injuries in a professional ballet company: A five-year study. Med. Probl. Perform. Artist. 1999, 14, 164–169. Available online: https://www.jstor.org/stable/45440043 (accessed on 22 October 2024).
- Hincapié, C.A.; Morton, E.J.; Cassidy, J.D. Musculoskeletal injuries and pain in dancers: A systematic review. Arch. Phy. Med. Rehab. 2008, 89, 1819–1829. [Google Scholar] [CrossRef]
- Lampe, J.; Borgetto, B.; Groneberg, D.A.; Wanke, E.M. Prevalence, localization, perception and management of pain in dance: An overview. Scand. J. Pain 2018, 18, 567–574. [Google Scholar] [CrossRef]
- Olsson, C.A.; Byrnes, G.B.; Anney, R.J.L.; Collins, V.; Hemphill, S.A.; Williamson, R.; Patton, G.C. COMT Val158Met and 5HTTLPR functional loci interact to predict persistence of anxiety across adolescence: Results from the Victorian Adolescent Health Cohort Study. Genes Brain Behav. 2007, 6, 647–652. [Google Scholar] [CrossRef]
- Tajet-Foxell, B.; Rose, F.D. Pain and pain tolerance in professional ballet dancers. Br. J. Sports Med. 1995, 29, 31–34. [Google Scholar] [CrossRef] [PubMed]
- Baumeister, R.F. Choking under pressure: Self-consciousness and paradoxical effects of incentives on skillful performance. J. Pers. Soc. Psychol. 1984, 46, 610–620. [Google Scholar] [CrossRef] [PubMed]
- Murayama, T.; Sekiya, H.; Tanaka, Y. Factor analysis of the mechanisms underlying ‘choking under pressure’ in sports. Asian J. Exerc. Sport. Sci. 2010, 7, 55–60. [Google Scholar]
- Wang, J.; Marchant, D.; Morris, T.; Gibbs, P. Self-consciousness and trait anxiety as predictors of choking in sport. J. Sci. Med. Sport 2004, 7, 174–185. [Google Scholar] [CrossRef]
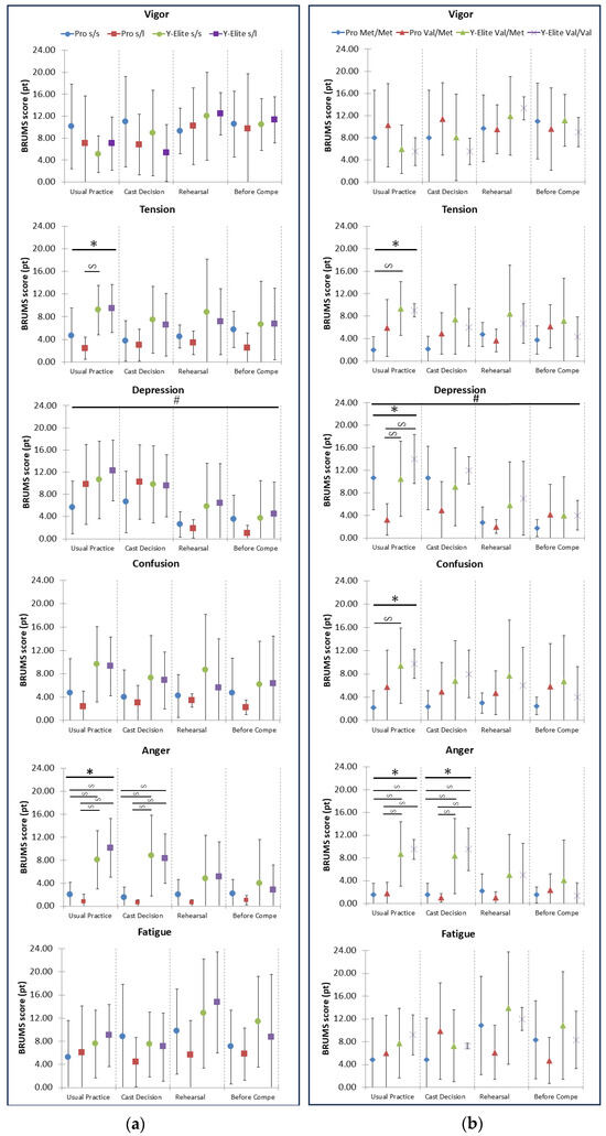
. Explanation of symbols and colors: circles (●) are marked s/s, squares (■) are marked s/l, rhombuses (◆) are marked Met/Met, triangles (▲) are marked Val/Met and crosses (×) are marked Val/Val according to genotype. Light blue and red indicate Pro group; yellow-green and purple indicate Y-Elite group.
. Explanation of symbols and colors: circles (●) are marked s/s, squares (■) are marked s/l, rhombuses (◆) are marked Met/Met, triangles (▲) are marked Val/Met and crosses (×) are marked Val/Val according to genotype. Light blue and red indicate Pro group; yellow-green and purple indicate Y-Elite group.
| Genotype | Pro (n = 16) | Y-Elite (n = 18) | All (n = 34) | ||||
|---|---|---|---|---|---|---|---|
| n | (%) | n | (%) | n | (%) | ||
| 5-HTTLPR | s/s | 11 | (68.8) | 11 | (61.1) | 22 | (64.7) |
| s/l | 5 | (31.3) | 7 | (38.9) | 12 | (35.3) | |
| l/l | 0 | (0.0) | 0 | (0.0) | 0 | (0.0) | |
| COMT | Met/Met | 7 | (43.8) | 0 | (0.0) | 7 | (20.6) |
| Val/Met | 9 | (56.2) | 14 | (77.8) | 23 | (67.6) | |
| Val/Val | 0 | (0.0) | 4 | (22.2) | 4 | (11.8) | |
| (A) Trait Anxiety | ||||||
|---|---|---|---|---|---|---|
| Usual | Pro (n = 16) | Y-Elite (n = 16) | p | |||
| Average | SD | Average | SD | 0.035 # | ||
| 5-HTTLPR | s/s | 43.82 | 11.06 | 50.30 | 10.85 | |
| s/l | 42.60 | 8.44 | 53.17 | 6.24 | n.s. † | |
| l/l | - | - | - | - | ||
| COMT | Met/Met | 42.13 | 11.66 | - | - | |
| Val/Met | 44.75 | 8.75 | 50.77 | 10.09 | n.s. † | |
| Val/Val | - | - | 54.00 | 4.36 | ||
| Before Comp. | Pro (n = 16) | Y-Elite (n = 13) | p | |||
| Average | SD | Average | SD | 0.004 # | ||
| 5-HTTLPR | s/s | 43.09 | 9.84 | 51.38 | 9.23 | |
| s/l | 40.80 | 6.91 | 57.60 | 9.94 | 0.026 † | |
| l/l | - | - | - | - | ||
| COMT | Met/Met | 43.38 | 8.99 | - | - | |
| Val/Met | 41.38 | 9.23 | 51.91 | 9.29 | 0.018 † | |
| Val/Val | - | - | 64.00 | 0.00 | ||
| (B) State Anxiety | ||||||
| Usual | Pro (n = 16) | Y-Elite (n = 16) | p | |||
| Average | SD | Average | SD | n.s. # | ||
| 5-HTTLPR | s/s | 46.36 | 13.40 | 47.40 | 10.22 | |
| s/l | 41.80 | 3.35 | 45.75 | 9.36 | n.s. † | |
| l/l | - | - | - | - | ||
| COMT | Met/Met | 43.88 | 12.68 | - | - | |
| Val/Met | 46.00 | 10.49 | 45.60 | 11.05 | n.s. † | |
| Val/Val | - | - | 50.25 | 4.11 | ||
| Before Comp. | Pro (n = 16) | Y-Elite (n = 13) | p | |||
| Average | SD | Average | SD | n.s. # | ||
| 5-HTTLPR | s/s | 49.45 | 9.61 | 44.50 | 8.80 | |
| s/l | 40.20 | 10.43 | 47.40 | 6.50 | n.s. † | |
| l/l | - | - | - | - | ||
| COMT | Met/Met | 44.13 | 10.63 | - | - | |
| Val/Met | 49.00 | 10.46 | 45.73 | 8.57 | n.s. † | |
| Val/Val | - | - | 45.00 | 1.41 | ||
| Group | Pre | Usual P. | Cast Dec. | Rehear. | Before Comp. | ||||
|---|---|---|---|---|---|---|---|---|---|
| 1–2 w | 3–4 w | 1–2 w | 3–4 w | 1–2 w | 3–4 w | 1–2 w | 3–4 w | ||
| Pain † (Pro) | 25.0% | 37.5% | 22.2% | 50.0% | 38.9% | ||||
| * (Y-Elite) | 33.3% | 27.8% | 38.9% | 44.4% | 50.0% | ||||
| IR (Pro) | - | 0.0 | 0.0 | 0.0 | 0.0 | 0.1 | 0.1 | 0.1 | 0.1 |
| (Y-Elite) | - | 1.2 | 0.9 | 0.6 | 0.9 | 0.5 | 0.4 | 0.3 | 0.4 |
Disclaimer/Publisher’s Note: The statements, opinions and data contained in all publications are solely those of the individual author(s) and contributor(s) and not of MDPI and/or the editor(s). MDPI and/or the editor(s) disclaim responsibility for any injury to people or property resulting from any ideas, methods, instructions or products referred to in the content. |
© 2024 by the authors. Licensee MDPI, Basel, Switzerland. This article is an open access article distributed under the terms and conditions of the Creative Commons Attribution (CC BY) license (https://creativecommons.org/licenses/by/4.0/).
Share and Cite
Yatabe, K.; Ashikaga, K.; Muroi, R.; Somemura, S.; Takemoto, M.; Yudoh, K.; Miyano, H.; Fujiya, H. Pain Candidate Genes 5-HTTLPR and COMT Affect Anxiety and Mood in Japanese Ballet Dancers: A Cross-Sectional and Longitudinal Study. Sports 2024, 12, 293. https://doi.org/10.3390/sports12110293
Yatabe K, Ashikaga K, Muroi R, Somemura S, Takemoto M, Yudoh K, Miyano H, Fujiya H. Pain Candidate Genes 5-HTTLPR and COMT Affect Anxiety and Mood in Japanese Ballet Dancers: A Cross-Sectional and Longitudinal Study. Sports. 2024; 12(11):293. https://doi.org/10.3390/sports12110293
Chicago/Turabian StyleYatabe, Kanaka, Kohei Ashikaga, Ryota Muroi, Shu Somemura, Masahiro Takemoto, Kazuo Yudoh, Hisao Miyano, and Hiroto Fujiya. 2024. "Pain Candidate Genes 5-HTTLPR and COMT Affect Anxiety and Mood in Japanese Ballet Dancers: A Cross-Sectional and Longitudinal Study" Sports 12, no. 11: 293. https://doi.org/10.3390/sports12110293
APA StyleYatabe, K., Ashikaga, K., Muroi, R., Somemura, S., Takemoto, M., Yudoh, K., Miyano, H., & Fujiya, H. (2024). Pain Candidate Genes 5-HTTLPR and COMT Affect Anxiety and Mood in Japanese Ballet Dancers: A Cross-Sectional and Longitudinal Study. Sports, 12(11), 293. https://doi.org/10.3390/sports12110293

