Next Article in Journal
Seasonal and Long-Term Population Dynamics of the Peach Fruit Fly in Egypt
Previous Article in Journal
Development of the Endo-Reproductive System and the Effect of Mating Status on Egg Development in Adult Hermetia illucens L.
 
 
Font Type:
Arial Georgia Verdana
Font Size:
Aa Aa Aa
Line Spacing:
Column Width:
Background:
Article

The Invasive Plant, Alliaria petiolata, Is an Ecological Trap for the Native Butterfly, Anthocharis midea, in North America

by
Danielle M. Thiemann
and
Don Cipollini
*
Department of Biological Sciences, Wright State University, Dayton, OH 45435, USA
*
Author to whom correspondence should be addressed.
Insects 2025, 16(4), 331; https://doi.org/10.3390/insects16040331
Submission received: 16 December 2024 / Revised: 17 February 2025 / Accepted: 19 March 2025 / Published: 21 March 2025
(This article belongs to the Section Insect Ecology, Diversity and Conservation)

Simple Summary

Invasive plant species can have numerous effects on flora and fauna in their introduced ranges. We show that Alliaria petiolata, a Eurasian invader in North American forests, is an attractive oviposition site for adult Anthocharis midea butterflies, but it is lethal to larvae when they try to feed on it. The drought stress of hosts had little effect on feeding and survival and older larvae were no better than young larvae at surviving on this plant. At present, A. petiolata serves as an ecological trap for A. midea butterflies, which may lead to local declines in populations of this butterfly and drive selection for the altered behavior of adults to avoid this plant or for larvae to better tolerate it.

Abstract

The introduction of novel plant species to new habitats may have consequences for native herbivores. We examined the impact of Alliaria petiolata, a Eurasian invader of forest understories and edges in North America, on adult oviposition behavior and on larval preference and the performance of Anthocharis midea, a univoltine butterfly that specializes on plants in the Brassicaceae. We compared the usage of A. petiolata by this butterfly to that of one of its common native hosts, Cardamine concatenata, and additionally explored the impact of drought and larval age on the larval success of these hosts. In the field, adults oviposited on the native host preferentially earlier in the season, but they strongly preferred A. petiolata later in the season and laid more eggs overall and in multiples more often on this plant. Larvae strongly preferred to feed on leaves of C. concatenata over A. petiolata in the laboratory and survived to pupation at a high rate on it. Conversely, larvae fed little and died when offered A. petiolata. Larvae preferentially chose tissues of droughted C. concatenata over well-watered plants, but drought stress had no impact on larval mass and survival to pupation. Larvae showed no preference for droughted or non-droughted A. petiolata and while drought stress tended to extend survival on this plant, all larvae still died on it. Older larvae were no better at feeding and surviving on A. petiolata than young larvae. Our results indicate that A. petiolata currently serves as an ecological trap for A. midea, being both highly attractive to ovipositing adults yet lethal to larvae. This effect could cause both local declines in the abundance of this butterfly and drive selection for the altered behavior of adults and larvae to either avoid or better tolerate this plant.

1. Introduction

The introduction of a non-native plant species to a new habitat can have several direct consequences on the fitness of native herbivores. First, the successful recognition and utilization of the plant by a native herbivore could directly benefit the fitness of the herbivore. Second, an herbivore may fail to recognize a potentially suitable host, resulting in neutral direct effects on fitness. Lastly, the novel host may be recognized by the herbivore but prove unsuitable for feeding and growth, resulting in negative direct effects on fitness [1]. This latter response has been labeled an “ecological trap” or an “evolutionary trap” and has been observed in several plant–herbivore systems often involving non-native plants where the fitness impacts are often severe [2]. Alliaria petiolata, garlic mustard (Brassicaceae), is a Eurasian biennial herb that is invasive throughout North American forest understories with numerous direct and indirect effects on native flora, fauna, and microbes [3,4,5,6,7]. Co-occurring in habitats with A. petiolata exist several native spring ephemeral plant relatives that host herbivores specializing on brassicaceous plants. For example, native brassicaceous species such as Cardamine concatenata, Cardamine diphylla, and Cardamine pratensis are hosts for specialist pierid butterflies, such as mustard white butterfly, Pieris oleracea, West Virginia white butterfly, Pieris virginiensis, and falcate orangetip butterfly, Anthocharis midea. The increasing presence of A. petiolata in the habitat of such butterfly species increases the chance that they will encounter and attempt to use this plant, with potentially negative (or at least uncertain) fitness effects [1,6].
Alliaria petiolata has morphological traits that adult herbivores generally find attractive, including a larger size and more abundant floral display than native relatives. Of particular concern in this case is the novel phytochemical profile of A. petiolata relative to native North American relatives. Alliaria petiolata is the only member of its genus in the world and has no close native relatives in the Brassicaceae in North America. Consequently, A. petiolata shares little overlap in its secondary metabolite profile with native relatives in North America [8]. For example, A. petiolata produces alliarinoside, a hydroxynitrile glucoside largely unknown from other species, and glucosinolates, predominantly sinigrin (allylglucosinolate) [9,10,11,12]. While native species possess a variety of glucosinolates, sinigrin that is abundant in A. petiolata is absent or at very low levels in the native Brassicaceous species that have been examined, while native Brassicaceous species contain some flavonoids that A. petiolata lacks [8]. For any specialist herbivore attempting to use A. petiolata, this novel profile of secondary metabolites may have consequences for adult oviposition preferences, the feeding and growth of larvae, and potentially adult performance.
In a well-studied example in this system, Davis and Cipollini [1] showed, in both field settings and in laboratory settings controlling for plant size, that adult P. virginiensis butterflies preferentially oviposit on A. petiolata over their primary host plant, C. diphylla. The attempted use of A. petiolata as a host plant by the univoltine P. virginiensis is a mismatch event for this butterfly as all larvae die on it after attempting to feed [1]. Two key foliar metabolites from A. petiolata, sinigrin and alliarinoside, were found to negatively impact larval survival, leaf consumption, and larval mass when painted on leaves of an otherwise acceptable host, with the effects of alliarinoside being more severe [13]. For this species, A. petiolata appears to be an important direct threat to the success of this rare and declining butterfly and an “ecological trap” [1,2]. It may also be an important indirect threat through its negative competitive effects on the abundance of native plants that may serve as adult nectar sources or larval host plants [6].
The related species, Pieris oleracea, exhibits differential responses to A. petiolata as a host based on the historical exposure of the population to this plant. In areas where A. petiolata was a recent invader, there was a large range in preference and survivorship on A. petiolata with most larvae performing poorly [6]. In areas with long-established A. petiolata populations, P. oleracea showed better larval performance on A. petiolata, although survival was still generally low. This divergent response of P. oleracea to A. petiolata indicates that native herbivores may be capable of adapting in both larval performance and adult oviposition preference to the invader given sufficient exposure time. The multivoltine life history of P. oleracea may permit more rapid adaptation to novel hosts than for an insect with a univoltine life history.
In this study, we explored adult and larval responses of Anthocharis midea to Alliaria petiolata as a potential host. This butterfly is a related and more common butterfly than the two Pieris species that have been studied in this system, but few observations and no data exist on its response to A. petiolata. Anthocharis midea is univoltine and generally lays its eggs singly [14]. Like many pierid butterflies, it displays the red egg syndrome [15]. A key host for this butterfly in forest understory habitats is Cardamine concatenata. It oviposits on developing flowers and upper stems of this plant, and larvae consume flowers, young leaves and developing siliques prior to moving to other tissues as needed. Casual observations have indicated that A. midea will gather nectar and oviposit on the much larger A. petiolata in the field, and that its larvae, as seen with P. virginiensis, die upon the initial feeding on this novel host, but few observations and no published data exist. Conversely, A. petiolata is an important adult and larval host plant for the closely related orangetip butterfly, Anthocharis cardamines, in Europe [8]. Here, we compared the oviposition of A. midea in the field on its native host, C. concatenata to that on A. petiolata. The preference–performance hypothesis (also known as the “mother knows best” hypothesis) states that adult females will preferentially select oviposition hosts and sites that maximize the fitness of their offspring [1]. We hypothesized that A. midea would preferentially oviposit on its native host species over A. petiolata to maximize the fitness of their offspring.
Larval preference and performance on native and non-native host plants were also examined for A. midea, as was the effect of environmental stress on the suitability of host plants. We tested larval performance in both choice and no-choice feeding bioassays. Like adult oviposition preferences, larvae will often choose the best host plant on which to feed when given a choice. However, when confined to only one host, effects can range from acceptance and successful feeding and growth and acceptance followed by toxic effects to outright rejection and starvation [10]. We predicted that A. midea larvae would choose, feed and survive best on their native host. In addition, environmental stress, like drought, can result in changes in plant chemistry that can influence the interactions between host plants and herbivores that utilize them [16]. For example, the exposure of Brassica oleracea to drought conditions led to changes in volatile production and chemical defense levels [17]. When Mamestra brassicae (Noctuidae) moths were presented with drought-stressed and well-watered B. oleracea, they preferred to lay eggs on drought-stressed individuals [17]. The glucosinolate concentration of drought-stressed A. petiolata was substantially lower than that of well-watered A. petiolata [18]. When presented with drought-stressed and well-watered plants, the larvae of the specialist herbivore Pieris brassicae (Pieridae) preferred to feed on well-watered plants, while Spodoptera littoralis (Noctuidae), a generalist herbivore, preferred drought-stressed plants. Despite its preference for well-watered plants, P. brassicae developed faster on drought-stressed plants [18]. We predicted that drought stress would increase the preference for and ability of A. midea larvae to feed and grow on leaves of A. petiolata but that drought stress would make their native host less preferred and of a lower quality.
As larvae mature, gain mass and become more mobile, they may exhibit changes in feeding preference or capability as resources from their host are exhausted. In general, larvae can become more tolerant to defensive compounds produced by host plants as they mature [19], suggesting that some previously unacceptable host tissues or plants may become acceptable to late instar larvae. In A. cardamines, which specializes on A. petiolata in its native range, adults oviposit and larvae subsequently feed mainly on floral parts or siliques of their host rather than leaves [20], but they will increasingly move around a plant to other tissues as they mature [9]. Once food resources are exhausted from their relatively small host plants, increasingly mobile late instars of A. midea must move to other plant parts or neighboring plants to complete development. When native and novel species are in close proximity, there is potential for larvae to move from a suitable native to a novel species on which their success is uncertain. We predicted that later instars of A. midea would be more capable of feeding and surviving on A. petiolata than earlier instars.

2. Materials and Methods

2.1. Butterfly Life Cycle

Anthocharis midea is a univoltine butterfly distributed throughout the southeastern and southcentral U.S. that overwinters as a chrysalis and emerges in early Spring (typically April in its range in Ohio). Adults forage for nectar from a variety of plants, including their brassicaceous host plants, and live for approximately one week. After mating, they generally lay eggs singly on preferred host plants (but see below) and eggs hatch within one week. Larvae feed for up to 14 days and then pupate near the base of their host plants or on trees [21].

2.2. Oviposition Preference in the Field

Adult oviposition preference was examined at Scioto Trail State Forest (39.209766717151716, −82.95566822332384) near Chillicothe, Ohio, on 14 April and 21 April 2016 through paired-plant comparisons. This forest consists largely of oak–hickory forests with C. concatenata growing abundantly throughout the understory. Alliaria petiolata is less abundant and is present primarily in scattered patches adjacent to forest roads and trails. Observation plots were selected by driving on the forest roads, identifying ~10-m2 patches where at least twenty flowering individuals of each host grew in an intermingled fashion (C. concatenata was always more abundant). Plots were chosen haphazardly throughout the forest, and no two plots were within 100 m of each other. All A. petiolata detected (typically ~25) and an equal number of C. concatenata in the plots were visually searched for A. midea eggs. Eggs are usually placed singly on plants, but there can be multiple eggs placed on plants in some instances. Ten plots were examined on April 14 and 13 plots were examined on 21 April. On each date, the number of plants of each host in the plot with eggs and the number of each host with multiple eggs were recorded. Different plots were observed on each date but in similar areas. While the smaller, perennial C. concatenata flowers earlier than the larger, biennial A. petiolata, the major difference in host plant status between the two dates was that A. petiolata had floral buds but was not fully flowering on 14 April, while it was flowering more prominently on 21 April. Conversely, C. concatenata was in full flower on 14 April but was past its flowering peak by 21 April. These differences were not precisely quantified. An oviposition preference index (OPI) at the plot level was calculated by subtracting the number of A. petiolata plants with eggs from the number of C. concatenata plants with eggs divided by the total number of plants with eggs in the plot.
A positive value indicates a preference for the native host, while a negative value indicates a preference for the novel host. The OPI was analyzed with a one-sample t-test; in a system without preference where the OPI was zero, the t-test established if the observed values were significantly different from zero. The independent and interactive effects of the survey date and host species on egg number and the number of plants in each plot receiving multiple eggs were analyzed using ANOVA. All statistical analyses for this and subsequent analyses were completed using RStudio (Version 1.1).

2.3. Egg and Plant Collection

Eggs of A. midea for larval bioassays were collected from A. petiolata on April 21 as the oviposition surveys were conducted by removing them with as little host plant tissue as possible. All eggs were moved immediately to leaves of C. concatenata in plastic lidded containers and kept in a cooler until their return to the laboratory. Larvae generally hatched from these eggs within one day and were reared in an incubator on C. concatenata leaves for five days prior to bioassays.
Cardamine concatenata and A. petiolata plants used to provide material for larval bioassays were collected from the same general location in the Wright State University Woods (39.78356626482252, −84.05868811970556) in March 2016. Plants were transplanted into 6-inch pots in ProMix BX potting soil in the greenhouse at Wright State University and grown as described below. Only second year A. petiolata (n = 92) and flowering C. concatenata plants (n = 192) were collected as these plant stages are primarily targeted by adult butterflies. While growing conditions prior to collection may have varied somewhat, replicate plants of each species were grown for one month under one of three watering conditions, either well-watered, exposed to moderate water limitation, or exposed to severe water limitation. We used a practical method to impose water stress that involved the visualization of wilting as a sign of water limitation [22]. Well-watered plants were provided with water such that no evidence of wilting was ever visible. Moderate water limitation was achieved by watering plants only when 50% of the plants in this treatment showed signs of wilting. Severe water limitation was achieved by watering plants only when 75% of the plants in this treatment showed signs of wilting. Plants were watered just prior to using them in bioassays, and leaves used in bioassays were chosen haphazardly from the replicate plants available in each treatment. There was a chance that some plants from which leaves were used in bioassays had not been particularly water stressed, even in water-limited treatments.

2.4. Larval Performance in No-Choice Bioassays

To test the effects of host species and drought stress on A. midea larval development, larvae were enclosed singly in containers with leaves of one host species and drought stress treatment. Bioassays were set up in Petri dishes, each containing a half a piece of Kim-Wipe folded into a small square and saturated with distilled water. Leaves were offered to single larvae in each dish in as close to the same mass in each container as possible. To do this, leaves of similar sizes were chosen for bioassays or if flowering material was used, the same volume of buds was used. The amount of material provided to the larva in performance assays was also adjusted to the instar of the larva to avoid any food limitation and dishes were cleaned as needed. After setting up bioassays, dishes were lidded, sealed with parafilm, and placed on an open bench in a laboratory maintained at ~22 °C with windows allowing in natural light and with fluorescent lights on between the hours of ~0900 and 1700. Larvae were very small but of similar size at the onset of the bioassay and not weighed as they were difficult to handle. Survival of larvae was monitored through time and larvae were weighed at the conclusion of the 14-day experiment or when they died. Feeding was visually observed but not quantified. The different treatments provided to A. midea larvae included tissues of well-watered C. concatenata (n = 8) and A. petiolata (n = 7), moderately water limited C. concatenata (n = 8) and A. petiolata (n = 9), and severely water-limited C. concatenata (n = 8) and A. petiolata (n = 9). Survival of larvae was analyzed using the package survival in R studio and displayed using Kaplan–Meier curves. ANOVA was used to analyze how larval mass was influenced by host species and water stress level of hosts.

2.5. Larval Preference in Choice Bioassays

Choice tests were conducted to identify the feeding preferences of A. midea larva for leaves from different host species or plants exposed to different water availability. To test the relative preference for native and non-native hosts, single larvae enclosed in Petri dishes as above were presented with the foliage of C. concatenata and A. petiolata at the same time. The foliage of a similar mass was placed on either side of the dish and then a larva was introduced between the foliage. To test the preference for foliage from plants exposed to different water availabilities, larvae were enclosed with foliage from severely water limited and normally watered plants, separately for each species. Due to egg limitation, choice bioassays included 4–5 replicates of each treatment and species combination. Preference for each host species or plant water status was recorded by the presence of the larva on the tissues and a visual assessment of the degree of feeding from them over a period of 6 days. Larval choices were universally established within one day and persisted at generally the same level through the length of the bioassay; therefore, we present and discuss only the results after one day when all larvae had made their feeding choices and were still alive. These data were not statistically examined.

2.6. Host Transfer

To observe whether older, more mobile larvae were capable of feeding successfully on A. petiolata, ten A. midea larvae were first allowed to feed on C. concatenata tissues in Petri dishes as described above for 10 days and then transferred to leaves of A. petiolata. Larval masses were recorded periodically and days to death were recorded until all larvae expired.

3. Results

3.1. Oviposition Preferences in the Field

Oviposition preference of Anthocharis midea was affected by host species and observation date. Earlier in the season, A. midea displayed a preference for C. concatenata (t = 2.906, p = 0.017), while a week later in the season, the preference shifted strongly toward A. petiolata (t = −4.27, p = 0.001, Figure 1). Across the season, A. petiolata received more eggs than C. concatenata (Species: F = 0.028, p = 0.003, Figure 2) and more eggs were laid later in the season than earlier (Date: F = 5.191, p = 0.0278). Slightly more eggs were laid on C. concatenata earlier in the season, but substantially more eggs were laid on A. petiolata later in the season (interaction: F = 10.028, p = 0.003).
While the presence of multiple eggs laid on a single plant was observed occasionally by us on native hosts in this forest, multiple egg events were observed on only A. petiolata in the paired-plot comparisons. When multiple egg events were seen on native individuals, the eggs were few in number and spaced widely apart. Multiple egg events seen on A. petiolata individuals in our survey were observed both at distal locations on the plant but more often clustered on the same floral structure or young leaf. The occurrence of multiple oviposition events was significantly influenced by host species (F = 4.442, p = 0.041) but not by date (F = 2.555, p = 0.117).

3.2. Larval Performance in No-Choice Bioassays

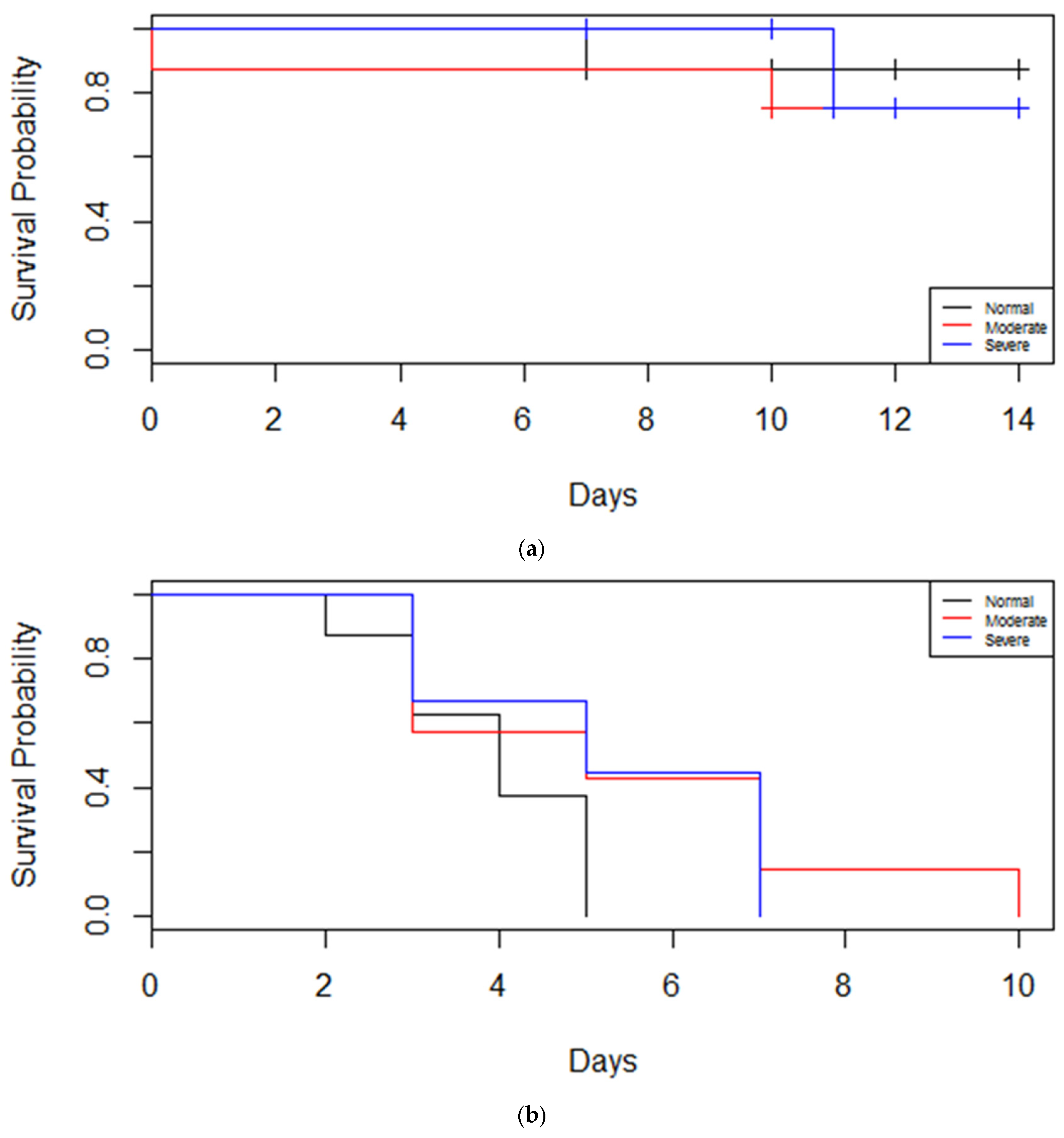
Larvae fed extensively on C. concatenata, as expected, and about 80% of them survived to the end of the 14-day bioassay regardless of the drought status of their hosts (Figure 3a). While not quantified precisely, larvae fed continuously on C. concatenata throughout the time they were alive. Feeding was minimal and survival was significantly lower on A. petiolata overall and half of all larvae were dead by five days (F = 65.9, p < 0.001, Figure 3b). Feeding on A. petiolata, when it occurred, typically consisted of a small feeding attempt (~1 mm diam hole) by a larva followed by a cessation of feeding. No larvae on A. petiolata survived to the end of the bioassay. Drought stress extended the duration of the survival of the larvae on A. petiolata to some degree, but mortality was still complete across all treatments and survival was not significantly affected by drought status across species (F = 0.414, p = 0.663, Figure 3b).
As with the pattern seen in survival, larval masses were much greater on the native host than on the novel host (F = 236.829, p < 0.001) but drought stress had no significant impact on larval mass across species (F = 0.816, p = 0.449, Figure 4). Larvae increased in mass approximately ten-fold on C. concatenata during the duration of the bioassay but failed to grow and died on A. petiolata.

3.3. Larval Preference Bioassays

Larval choice experiments were not well replicated, but the patterns were very clear. When offered tissues of both hosts simultaneously, Anthocharis midea larvae showed a strong preference for C. concatenata over A. petiolata (Table 1). With one exception, larvae moved quickly to C. concatenata and stayed there feeding throughout the duration of the bioassay. One larva chose A. petiolata but did not feed or survive for long on it. Larvae offered a choice of severely drought-stressed or normally watered C. concatenata showed a strong preference for normally watered tissues (Table 1). In contrast, when offered a choice of severely drought-stressed and normally watered A. petiolata, larvae displayed no feeding preference. All feeding from A. petiolata, when it occurred, was at a much smaller degree than on the native C. concatenata, as noted above, and the larvae that fed on A. petiolata generally died quickly.

3.4. Host Transfer

For the larvae of Anthocharis midea transferred from their native C. concatenata to the non-native A. petiolata 10 days into development, feeding was minimal or absent on A. petiolata, and movement was generally arrested. All but one of these larvae died within 12 days. The one that survived to pupation fed minimally at the start of the bioassay, then commenced pupation shortly after transfer.

4. Discussion

The introduction of non-native species to novel habitats can have numerous consequences for native ecosystems, including the disruption of co-evolved interactions between specialist herbivores and their host plants [1]. We explored the effect of Alliaria petiolata on the oviposition preference and larval performance of Anthocharis midea, a butterfly that uses native spring ephemeral mustards as hosts in North America. We additionally explored the effect of larval age and plant stress on larval feeding preferences and performance.
While A. midea showed a significant oviposition preference for its native host C. concatenata earlier in the flight season, this preference shifted strongly to A. petiolata after one week. Butterflies undergo several behaviors to identify a suitable host, including searching, orientation, encounter, landing, surface evaluation and then acceptance [23]. During the searching phase, the cues indicating a suitable host are mostly visual, extending from the shape and color of the plant to the apparency of the host [20]. There were distinct differences in the phenological stage of the host plants on the dates surveyed in this study, which are likely important given that A. midea prefers to lay eggs on floral structures and upper leaves of the plant. On the first survey date, the native host was in full bloom and received the majority of oviposition events, while the novel host was not yet blooming and received fewer oviposition events. On the second survey date, A. petiolata was in bloom and received the majority of oviposition events, while the majority of the C. concatenata encountered were past peak flowering and received few oviposition events. This same seasonal increase in the selection of A. petiolata as an oviposition site has been observed for Pieris virginiensis butterflies on A. petiolata in West Virginia [24]. Floral structures of the two plants we studied are similar and both species produce glucosinolates. These floral structures could serve as a visual cue for a suitable host, and the similar chemosensory profiles of the two hosts could lead to mismatch oviposition events. However, flowering stalks of A. petiolata can also reach 1 m in height [25], which is far taller than the 20 cm that the native C. concatenata averages, and there are many more flowers in the branched inflorescences of A. petiolata. In the European orangetip butterfly, Anthocharis cardamines, the number of flowers on an inflorescence strongly influences oviposition rates on Cardamine pratensis, a common host plant of this butterfly [26]. The visual and biochemical apparency of large flowering A. petiolata plants may serve as a supernormal stimulus for A. midea, resulting in the preferential selection of this host when it is flowering. This may be true both for adults foraging for nectar and for those seeking oviposition sites.
As observed in studies on related Pieris species, larvae of A. midea were unable to survive on tissues of A. petiolata and generally fed very little on it. While we did not explore the mechanism of the lethal effects of A. petiolata, it is likely due to the same compounds that affect Pieris species, namely high levels of some novel glucosinolates not found in their host plants, like sinigrin, and the presence of novel compounds, like alliarinoside, that are lethal to Pieris virginiensis larvae [8,13]. Having an oviposition preference for A. petiolata but with lethal effects on larvae supports the assertion that A. petiolata currently serves as an ecological trap for A. midea and may result in local declines in the abundance of this butterfly in areas where A. petiolata is abundant. In the forest that we studied, A. midea is still commonly observed, but A. petiolata is not very abundant relative to C. concatenata. The influence of A. petiolata on this butterfly could be more profound in areas where A. petiolata is more abundant.
Mismatch oviposition events on lethal hosts may have other repercussions for populations of A. midea, including shifts in butterfly phenology and host plant use. Host plant associations play a profound role in the ecology and evolution of butterflies; shifts in the usage of chemically distinct plant groups alters population structure and drives the evolution of different butterfly species [27]. In a related species, individuals from populations of Pieris olereacea exposed to A. petiolata for longer periods of time show a preference for A. petiolata as a host and a slight increase in the performance of the offspring relative to those more recently exposed [6]. This response supports the idea that adaptation in both host preference and larval performance may be possible with regard to A. petiolata use by some native butterflies, especially those that are multivoltine. If A. midea continues to differentially select hosts at different times during the mating season, at least two outcomes could occur. In one case, early emerging genotypes that are more likely to oviposit on an acceptable host may be selected for as the offspring of later emerging and ovipositing adults that choose A. petiolata will perish. Population shifts toward genotypes with an earlier spring phenology to avoid A. petiolata would be constrained, however, by risks due to the exposure of populations to inclement weather and further constrained if the phenology of A. petiolata also shifts earlier in response to warmer springs. Second, if the temporal separation in host selection continues, the population could diverge into two distinct races, one that specializes on early-flowering mustards, like C. concatenata, and one that specializes on later-flowering mustards, like A. petiolata. This would be possible only if the butterflies were to experience some adaptation that allowed them to utilize A. petiolata as a larval host. Thus far, there is no evidence that A. midea larvae can survive on A. petiolata, although the European orangetip butterfly, A. cardamines, readily uses it as an adult and larval host [9,26].
Alliaria petiolata enhanced the frequency of multiple oviposition events for A. midea, which are not typically seen for this species [14]. The red egg syndrome exhibited by A. midea, as for many other pierid species, is a mechanism to signal to other searching adults that a host is occupied [15]. Only a few instances of multiple oviposition events (also including lower numbers of eggs) were observed on C. concatenata while many multiple events, with the eggs laid in higher numbers, were observed on A. petiolata. If A. petiolata serves as a supernormal visual or chemical stimulus, this could explain the deviation from the typical behavior and indicates that many offspring can be negatively affected at once. The more frequent occurrence of multiple oviposition events at the later survey date could also be explained as a function of time during the reproductive season. Adult flight periods of individual butterflies are only about one week long so decisions need to be made quickly by gravid adults. Earlier in the season, females may be ‘choosier’ as selecting the best host would be of the greatest benefit to larval survival. Towards the end of the reproductive season, this ‘choosy’ behavior may not be as important as the benefit of ovipositing as many eggs as possible. However, this effort backfires when the selected host is lethal to larvae.
Specialist herbivores typically feed from a narrow range of plants [28]. Specialists are well equipped to metabolize the secondary defenses of a specific group of plants, but they are unable to utilize a wide array of plants. When a host is stressed, however, plants may be unable to allocate as many resources to developing secondary defenses, lowering defensive chemical concentrations [29]. While drought is an uncommon occurrence in the spring in temperate forests, it can happen, and plants can also grow in soils that vary naturally in moisture availability. Regardless, stressors like drought can be used as a tool to assess whether stress-induced changes in plant quality are sufficient to alter plant–insect interactions [16,17,18]. Larvae were generally able to freely feed, survive, and reach pupation on their native host in this study, regardless of the drought status of the plants. When given a choice, however, A. midea larvae strongly preferred tissues from well-watered native hosts over those from droughted plants, suggesting that there was some impact on tissue quality or attractiveness caused by the drought and sensed by larvae. Conversely, drought stress tended to extend the duration of the feeding and survival of A. midea larvae on A. petiolata, although all larvae still died, but larvae did not discriminate between leaves of healthy and droughted plants when given a choice. Shifts in secondary metabolites due to drought stress in A. petiolata, if they occurred, were not great enough to allow for the novel A. petiolata to be a suitable host for larvae in this study. However, drought or other stressful conditions could facilitate the increased survival of larvae on this novel host in the field to the point where motile larvae could periodically use it, as long as other suitable hosts for young larvae are nearby. In some insects, older larvae are able to better handle chemical defenses of their hosts than younger larvae [18], which is useful as older larvae may be forced to seek other hosts if resources from their original host are exhausted. We found no evidence, however, that later instars of A. midea had an increased capacity to utilize A. petiolata. The one older larva that survived on A. petiolata in our bioassay did so only by foregoing feeding and pupating at an earlier age than is typical for this species.

5. Conclusions

As for other pierid butterflies studied so far, we show here that Anthocharis midea adults will oviposit on Alliaria petiolata, at times preferentially so, but larvae cannot survive on this plant and will avoid feeding on it when given a choice. Drought stress slightly alters these relationships but had no significant effect on survival and growth. The mechanism of larval rejection and failure is currently unknown but likely involves compounds lethal to other pierid butterflies [13]. At present, A. petiolata serves as an ecological trap for A. midea, as has been shown for other pierid species [1,6], and could negatively impact populations of this butterfly where A. petiolata is abundant, but the long-term ecological and evolutionary impacts of A. petiolata on A. midea require further study. Alliaria petiolata has long been a target for control efforts in North America, primarily because of its purported competitive impacts on other plants [25], but the results shown here and in other studies [1,6] indicate that its negative impacts on specialist herbivores alone make it worthy of management. The results of this study highlight the threats to biodiversity of the introduction of novel species to native habitats, which are likely more common in co-evolved plant–herbivore systems than we realize.

Author Contributions

Conceptualization, D.M.T. and D.C.; investigation: D.M.T.; data analysis, D.M.T.; writing and editing, D.M.T. and D.C. All authors have read and agreed to the published version of the manuscript.

Funding

This research received no external funding.

Data Availability Statement

The raw data supporting the conclusions of this article will be made available by the authors on request.

Acknowledgments

We thank Libby Roberson and Marie Johnson for their technical assistance and two anonymous reviewers for their improvements of the manuscript.

Conflicts of Interest

The authors declare no conflicts of interest.

References

  1. Davis, S.D.; Cipollini, D. Do mothers always know best? Oviposition mistakes and resulting larval failure of Pieris virginiensis on Alliaria petiolata, a novel, toxic host. Biol. Invasions 2014, 16, 1941–1950. [Google Scholar] [CrossRef]
  2. Hale, R.; Swearer, S.E. Ecological traps: Current evidence and future directions. Proc. R. Soc B. 2016, 283, 20152647. [Google Scholar] [CrossRef] [PubMed]
  3. Meekins, J.; McCarthy, B. Competitive ability of Alliaria petiolata (Garlic mustard, Brassicaceae), an invasive, nonindigenous forest herb. Int. J. Plant Sci. 1999, 160, 743–752. [Google Scholar] [CrossRef]
  4. Prati, D.; Bossdorf, O. Allelopathic inhibition of germination by Alliaria petiolata (Brassicaceae). Am. J. Bot. 2004, 91, 285–288. [Google Scholar] [CrossRef]
  5. Cipollini, D.; Rigsby, C.M.; Barto, E.K. Microbes as targets and mediators of allelopathy in plants. J. Chem. Ecol. 2012, 38, 714–727. [Google Scholar] [CrossRef]
  6. Keeler, M.S.; Chew, F. Escaping an evolutionary trap: Preference and performance of a native insect on an exotic invasive host. Oecologia 2008, 156, 559–568. [Google Scholar] [CrossRef]
  7. Cipollini, D.; Cipollini, K. A review of garlic mustard (Alliaria petiolata, Brassicaceae) as an allelopathic plant. J. Torrey Bot. Soc. 2016, 143, 339–348. [Google Scholar] [CrossRef]
  8. Barto, E.K.; Powell, J.R.; Cipollini, D. How novel are the chemical weapons of garlic mustard in North American forest understories? Biol. Invasions 2010, 12, 3465–3471. [Google Scholar] [CrossRef]
  9. Agerbirk, N.; Chew, F.S.; Olsen, C.E.; Jørgensen, K. Leaf and floral parts feeding by orangetip butterfly larvae depends on larval position but not on glucosinolate profile or nitrogen level. J. Chem. Ecol. 2010, 36, 1335–1345. [Google Scholar] [CrossRef]
  10. Haribal, M.; Renwick, J.A.A. Seasonal and population variation in flavonoid and alliarinoside content of Alliaria petiolata. J. Chem. Ecol. 2001, 27, 1585–1594. [Google Scholar] [CrossRef]
  11. Huang, X.; Renwick, J.A.A.; Chew, F.S. Oviposition stimulants and deterrents control acceptance of Alliaria petiolata by Pieris rapae and P. napi oleracea. Chemoecology 1994, 5, 79–87. [Google Scholar] [CrossRef]
  12. Vaughn, S.F.; Berhow, M.A. Allelochemicals isolated from tissues of the invasive weed garlic mustard (Alliaria petiolata). J. Chem. Ecol. 1999, 25, 2495–2504. [Google Scholar] [CrossRef]
  13. Davis, S.L.; Frisch, T.; Bjarnholt, N.; Cipollini, D. How does garlic mustard lure and kill the West Virginia white butterfly? J. Chem. Ecol. 2015, 41, 948–955. [Google Scholar] [CrossRef] [PubMed]
  14. Clark, A.H. The butterflies of the District of Columbia and vicinity. Bull. US Natl. Mus. 1932, 157, 1–337. [Google Scholar] [CrossRef]
  15. Shapiro, A.M. The Pierid red-egg syndrome. Am. Nat. 1981, 112, 276–294. [Google Scholar] [CrossRef]
  16. Chaves, M.M.; Maroco, J.P.; Pereira, J.S. Understanding plant responses to drought: From genes to the whole plant. Funct. Plant Biol. 2003, 30, 239–264. [Google Scholar] [CrossRef]
  17. Weldegergis, B.; Zhu, F.; Poelman, E.; Dicke, M. Drought stress affects plant metabolites and herbivore preference but not host location by its parasitoids. Oecologia 2015, 177, 701–713. [Google Scholar] [CrossRef]
  18. Gutbrodt, B.; Mody, K.; Dorn, S. Drought changes plant chemistry and causes contrasting responses in lepidopteran herbivores. Oikos 2011, 120, 1732–1740. [Google Scholar] [CrossRef]
  19. Schoonhoven, L.M.; van Loon, J.J.A.; Dicke, M. Insect-Plant Biology, 2nd ed.; Oxford University Press: Oxford, UK, 2005. [Google Scholar]
  20. Wiklund, C.; Åhrberg, C. Host plants, nectar source plants, and habitat selection of males and females of Anthocharis cardamines (Lepidoptera). Oikos 1978, 31, 169–183. [Google Scholar] [CrossRef]
  21. Butterflies at Home. Available online: https://www.butterfliesathome.com/falcate-orangetip-butterfly.htm (accessed on 16 February 2025).
  22. Garg, A.; Bordoloi, S.; Ganesan, S.P.; Sekharan, S.; Sahoo, L. A relook into plant wilting: Observational evidence based on unsaturated soil-plant-photosynthesis interaction. Sci. Rep. 2020, 10, 22064. [Google Scholar] [CrossRef]
  23. Renwick, J.A.A.; Chew, F.S. Oviposition behavior in Lepidoptera. Annu. Rev. Entomol. 1994, 39, 377–400. [Google Scholar] [CrossRef]
  24. Augustine, K.E.; Kingsolver, J.G.  Biogeography and phenology of oviposition preference and larval performance of Pieris virginiensis butterflies on native and invasive host plants. Biol. Inv. 2018, 20, 413–422. [Google Scholar] [CrossRef]
  25. Sabin, I.O.; Polanin, N. Identification, control, and impact of garlic mustard, Alliaria petiolata. In Rutgers Cooperative Extension Fact Sheet FS1212; New Jersey Agricultural Experiment Station: New Brunswick, NJ, USA, 2013. [Google Scholar]
  26. Dempster, J. The role of larval food resources and adult movement in the population dynamics of the orange-tip butterfly (Anthocharis cardamines). Oecologia 1997, 111, 549–556. [Google Scholar] [CrossRef] [PubMed]
  27. Fordyce, J. Host shifts and evolutionary radiations of butterflies. Proc. R. Soc. B-Biol. Sci. 2010, 277, 3735–3743. [Google Scholar] [CrossRef] [PubMed]
  28. Fox, L.R.; Morrow, P.A. Specialization: Species property or local phenomenon? Science 1981, 211, 887–893. [Google Scholar] [CrossRef]
  29. Bazzaz, F.A.; Chiariello, N.R.; Coley, P.D. Allocating resources to reproduction and defense. Bioscience 1987, 37, 58–67. [Google Scholar] [CrossRef]
Figure 1. Oviposition preference indices of Anthocharis midea for native and non-native hosts at Scioto Trail State Forest on two dates in April 2016. A positive index indicates a preference for the native host, Cardamine concatenata, while a negative index indicates a preference for the non-native host, Alliaria petiolata. Each bar represents the preference index for each plot sampled. Bars appearing to be absent = 0. N = 10 on 14 April (open bars) and N = 13 on 21 April (gray bars).
Figure 1. Oviposition preference indices of Anthocharis midea for native and non-native hosts at Scioto Trail State Forest on two dates in April 2016. A positive index indicates a preference for the native host, Cardamine concatenata, while a negative index indicates a preference for the non-native host, Alliaria petiolata. Each bar represents the preference index for each plot sampled. Bars appearing to be absent = 0. N = 10 on 14 April (open bars) and N = 13 on 21 April (gray bars).
Insects 16 00331 g001
Figure 2. Mean number of eggs (±1 SE) of Anthocharis midea per plot placed on Cardamine concatenata (Cc) and Alliaria petiolata (Ap) on two dates in 2016 at Scioto Trail State Forest. Asterisks indicate a significant difference between hosts at α = 0.05.
Figure 2. Mean number of eggs (±1 SE) of Anthocharis midea per plot placed on Cardamine concatenata (Cc) and Alliaria petiolata (Ap) on two dates in 2016 at Scioto Trail State Forest. Asterisks indicate a significant difference between hosts at α = 0.05.
Insects 16 00331 g002
Figure 3. Survival probabilities of Anthocharis midea larvae through time on tissues of hosts given one of three levels of drought stress. (a) Survival of A. midea on the Cardamine concatenata under three levels of drought stress, none (black), moderate (red) and severe (blue). (b) Survival of A. midea on the Alliaria petiolata under three levels of drought stress, none (black), moderate (red) and severe (blue).
Figure 3. Survival probabilities of Anthocharis midea larvae through time on tissues of hosts given one of three levels of drought stress. (a) Survival of A. midea on the Cardamine concatenata under three levels of drought stress, none (black), moderate (red) and severe (blue). (b) Survival of A. midea on the Alliaria petiolata under three levels of drought stress, none (black), moderate (red) and severe (blue).
Insects 16 00331 g003
Figure 4. Mean larval mass (±1 SE) of Anthocharis midea after feeding on tissues of Cardamine concatenata (Cc, open bars) and Alliaria petiolata (Ap, gray bars) at three different levels of drought stress (normal, moderate, and severe). Asterisks indicate differences among hosts at each level of drought stress. No significant differences existed among drought levels.
Figure 4. Mean larval mass (±1 SE) of Anthocharis midea after feeding on tissues of Cardamine concatenata (Cc, open bars) and Alliaria petiolata (Ap, gray bars) at three different levels of drought stress (normal, moderate, and severe). Asterisks indicate differences among hosts at each level of drought stress. No significant differences existed among drought levels.
Insects 16 00331 g004
Table 1. Feeding preferences of individual Anthocharis midea larvae. Asterisks indicate a preference toward the lefthand choice, a hyphen indicates a preference toward the righthand choice, and a 0 indicates no preference. The number of times the symbol is repeated indicates the intensity of the response.
Table 1. Feeding preferences of individual Anthocharis midea larvae. Asterisks indicate a preference toward the lefthand choice, a hyphen indicates a preference toward the righthand choice, and a 0 indicates no preference. The number of times the symbol is repeated indicates the intensity of the response.
PairChoice
Native vs. Invasive***
Native vs. Invasive***
Native vs. Invasive***
Native vs. Invasive***
Native vs. Invasive-
Normal vs. Droughted C. concatenata***
Normal vs. Droughted C. concatenata***
Normal vs. Droughted C. concatenata***
Normal vs. Droughted C. concatenata***
Normal vs. Droughted A. petiolata0
Normal vs. Droughted A. petiolata-
Normal vs. Droughted A. petiolata0
Normal vs. Droughted A. petiolata-
Disclaimer/Publisher’s Note: The statements, opinions and data contained in all publications are solely those of the individual author(s) and contributor(s) and not of MDPI and/or the editor(s). MDPI and/or the editor(s) disclaim responsibility for any injury to people or property resulting from any ideas, methods, instructions or products referred to in the content.

Share and Cite

MDPI and ACS Style

Thiemann, D.M.; Cipollini, D. The Invasive Plant, Alliaria petiolata, Is an Ecological Trap for the Native Butterfly, Anthocharis midea, in North America. Insects 2025, 16, 331. https://doi.org/10.3390/insects16040331

AMA Style

Thiemann DM, Cipollini D. The Invasive Plant, Alliaria petiolata, Is an Ecological Trap for the Native Butterfly, Anthocharis midea, in North America. Insects. 2025; 16(4):331. https://doi.org/10.3390/insects16040331

Chicago/Turabian Style

Thiemann, Danielle M., and Don Cipollini. 2025. "The Invasive Plant, Alliaria petiolata, Is an Ecological Trap for the Native Butterfly, Anthocharis midea, in North America" Insects 16, no. 4: 331. https://doi.org/10.3390/insects16040331

APA Style

Thiemann, D. M., & Cipollini, D. (2025). The Invasive Plant, Alliaria petiolata, Is an Ecological Trap for the Native Butterfly, Anthocharis midea, in North America. Insects, 16(4), 331. https://doi.org/10.3390/insects16040331

Note that from the first issue of 2016, this journal uses article numbers instead of page numbers. See further details here.

Article Metrics

Back to TopTop