Effects of Food Source Availability, Host Egg:Parasitoid Ratios, and Host Exposure Times on the Developmental Biology of Megacopta cribraria Egg Parasitoids
Abstract
:Simple Summary
Abstract
1. Introduction
2. Materials and Methods
2.1. Plant Material and Growth Conditions
2.2. Insect Colony
2.2.1. Experimental Designs Effect of Sugar Feeding on the Reproductive Fitness and Longevity of P. saccharalis and O. nezarae
2.2.2. Effect of Host Eggs: Parasitoid Ratios and Host Exposure Times on the Fitness of P. saccharalis and O. nezarae
2.3. Statistical Analysis
3. Results
3.1. Effect of Food Availability on the Life History Traits of O. nezarae and P. saccharalis
3.1.1. Life History Traits of O. nezarae in the Presence or Absence of Food Sources
3.1.2. Life History Traits of P. saccharalis in the Presence or Absence of Food Sources
3.2. Effect of Host Egg: Parasitoid Ratios and Host Exposure Times on the Biology of O. nezarae and P. saccharalis
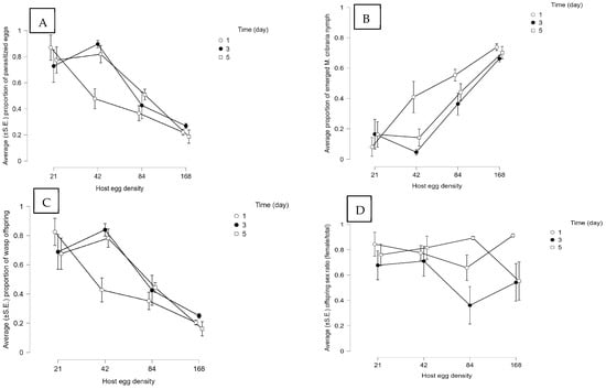
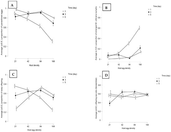
3.2.1. Biology of O. nezarae under Different Combinations of Host Egg: Parasitoid Ratios and Host Exposure Times
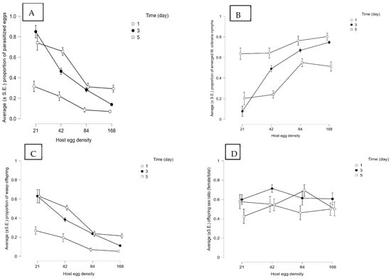
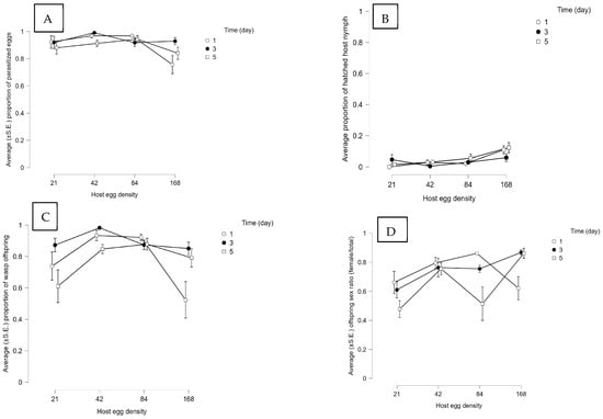
3.2.2. Biology of P. saccharalis under Different Combinations of Host Eggs/Parasitoid Ratios and Host Exposure Times
4. Discussion
4.1. Effect of Food Availability on the Life History Traits of O. nezarae and P. saccharalis
4.1.1. Survival Curves
4.1.2. Host Parasitism
4.1.3. Wasp Emergence
4.1.4. Offspring Sex Ratio
4.2. Effect of Host-to-Parasitoid Ratios and Host Exposure Times on the Biology of O. nezarae and P. Saccharalis
5. Conclusions
Supplementary Materials
Author Contributions
Funding
Data Availability Statement
Acknowledgments
Conflicts of Interest
References
- USDA ERS. Oil Crops Sector at a Glance. 2020. Available online: https://www.ers.usda.gov/topics/crops/soybeans-and-oil-crops/oil-crops-sector-at-a-glance/ (accessed on 15 March 2023).
- Seiter, N.J.; Greene, J.K.; Reay-Jones, F.P.; Roberts, P.M.; All, J.N. Insecticidal control of Megacopta cribraria (Hemiptera: Plataspidae) in soybean. J. Entomol. Sci. 2015, 50, 263–283. [Google Scholar] [CrossRef]
- Gill, H.K.; Garg, H. Pesticide: Environmental impacts and management strategies. Pestic.-Toxic Asp. 2014, 8, 187. [Google Scholar]
- Malik, A.; Singh, N.; Satya, S. House fly (Musca domestica): A review of control strategies for a challenging pest. J. Environ. Sci. Health Part B 2007, 42, 453–469. [Google Scholar] [CrossRef] [PubMed]
- Buchori, D.; Sahari, B. Conservation of agroecosystem through utilization of parasitoid diversity: Lesson for promoting sustainable agriculture and ecosystem health. HAYATI J. Biosci. 2008, 15, 165–172. [Google Scholar] [CrossRef]
- Gardner, W.A.; Blount, J.L.; Golec, J.R.; Jones, W.A.; Hu, X.P.; Talamas, E.J.; Evans, R.M.; Dong, X.; Ray, C.H., Jr.; Buntin, G.D.; et al. Discovery of Paratelenomus saccharalis (Dodd) (Hymenoptera: Platygastridae), an egg parasitoid of Megacopta cribraria F. (Hemiptera: Plataspidae) in its expanded North American range. J. Entomol. Sci. 2013, 48, 355–359. [Google Scholar] [CrossRef]
- Ademokoya, B.; Balusu, R.; Ray, C.; Mottern, J.; Fadamiro, H. The first record of Ooencyrtus nezarae (Hymenoptera: Encyrtidae) on kudzu bug (Hemiptera: Plataspidae) in North America. J. Insect Sci. 2018, 18, 1–7. [Google Scholar] [CrossRef]
- Klapwijk, M.J.; Gröbler, B.C.; Ward, K.; Wheeler, D.; Lewis, O.T. Influence of experimental warming and shading on host-parasitoid synchrony. Glob. Chang. Biol. 2010, 16, 102–112. [Google Scholar] [CrossRef]
- Bezemer, T.M.; Mills, N.J. Clutch size decisions of a gregarious parasitoid under laboratory and field conditions. Anim. Behav. 2003, 66, 1119–1128. [Google Scholar] [CrossRef]
- Ajayi, O.S.; Fadamiro, H.Y. Comparing longevity of Pseudacteon species of different sizes: Effect of sugar feeding. Physiol. Entomol. 2016, 41, 260–266. [Google Scholar] [CrossRef]
- Chen, L.; Onagbola, E.O.; Fadamiro, H.Y. Effects of temperature, sugar availability, gender, mating, and size on the longevity of phorid fly Pseudacteon tricuspis (Diptera: Phoridae). Environ. Entomol. 2005, 34, 246–255. [Google Scholar] [CrossRef]
- Nafziger, T.D., Jr.; Fadamiro, H.Y. Suitability of some farmscaping plants as nectar sources for the parasitoid wasp, Microplitis croceipes (Hymenoptera: Braconidae): Effects on longevity and body nutrients. Biol. Control 2011, 56, 225–229. [Google Scholar] [CrossRef]
- Downing, J.A.; Joss, J.; Scaramuzzi, R.J. Ovulation rate and the concentrations of gonadotrophins and metabolic hormones in evves infused with glucose during the late luteal phase of the oestrous cycle. J. Endocrinol. 1995, 146, 403–410. [Google Scholar] [CrossRef]
- Lee, J.C.; Heimpel, G.E. Effect of floral nectar, water, and feeding frequency on Cotesia glomerata longevity. BioControl 2008, 53, 289–294. [Google Scholar] [CrossRef]
- Yamada, T.; Habara, O.; Yoshii, Y.; Matsushita, R.; Kubo, H.; Nojima, Y.; Nishimura, T. The role of glycogen in development and adult fitness in Drosophila. Development 2019, 146, dev176149. [Google Scholar] [CrossRef] [PubMed]
- Partridge, L.; Alic, N.; Bjedov, I.; Piper, M.D. Ageing in Drosophila: The role of the insulin/Igf and TOR signalling network. Exp. Gerontol. 2011, 46, 376–381. [Google Scholar] [CrossRef] [PubMed]
- Bezerra Da Silva, C.S.; Price, B.E.; Soohoo-Hui, A.; Walton, V.M. Factors affecting the biology of Pachycrepoideus vindemmiae (Hymenoptera: Pteromalidae), a parasitoid of spotted-wing drosophila (Drosophila suzukii). PLoS ONE 2019, 14, e0218301. [Google Scholar] [CrossRef]
- Liu, P.C.; Wei, H.X.; Cao, D.D.; Wei, J.R. Relationships amongst sex ratio of progeny in Anastatus disparis (Hymenoptera: Eupelmidae), sperm depletion and decreased fecundity. Appl. Entomol. Zool. 2020, 55, 25–30. [Google Scholar] [CrossRef]
- Onagbola, E.O.; Fadamiro, Y.H.; Mbata, N.G. Longevity, fecundity, and progeny sex ratio of Pteromalus cerealellae in relation to diet, host provision, and mating. Biol. Control 2007, 40, 222–229. [Google Scholar] [CrossRef]
- Benelli, G.; Giunti, G.; Tena, A.; Desneux, N.; Caselli, A.; Canale, A. The impact of adult diet on parasitoid reproductive performance. J. Pest Sci. 2017, 90, 807–823. [Google Scholar] [CrossRef]
- Chan, M.S.; Godfray, H.C.J. Host-feeding strategies of parasitoid wasps. Evol. Ecol. 1993, 7, 593–604. [Google Scholar] [CrossRef]
- Bernal, J.S.; Luck, R.F.; Morse, J.G. Host influences on sex ratio, longevity, and egg load of two Metaphycus species parasitic on soft scales: Implications for insectary rearing. Entomol. Exp. Appl. 1999, 92, 191–204. [Google Scholar] [CrossRef]
- King, B.H. Sex ratio and oviposition responses to host age and the fitness consequences to mother and offspring in the parasitoid wasp Spalangia endius. Behav. Ecol. Sociobiol. 2000, 48, 316–320. [Google Scholar] [CrossRef]
- van Alphen, J.J.M.; Vet, L.E.M. An evolutionary approach to host finding and selection. In Insect Parasitoids; Waage, J., Greathead, D., Eds.; Academic Press: London, UK, 1986; pp. 23–61. [Google Scholar]
- Godfray, H.C.J. Parasitoids: Behavioral and Evolutionary Ecology; Princeton University Press: Princeton, NJ, USA, 1994. [Google Scholar]
- Charnov, E.L. The genetical evolution of patterns of sexuality: Darwinian fitness. Am. Nat. 1979, 113, 465–480. [Google Scholar] [CrossRef]
- Ademokoya, B.; Balusu, R.; Morawo, T.; Fadamiro, H. Attraction of Paratelenomus saccharalis (Hymenoptera: Platygastridae), an egg parasitoid of Megacopta cribraria (Hemiptera: Plataspidae), to host-associated olfactory cues. J. Entomol. Sci. 2017, 52, 323–331. [Google Scholar] [CrossRef]
- Britt, K.E. An Ecological Study of the Kudzu Bug in East Tennessee: Life History, Seasonality, and Phenology. Master’s Thesis, University of Tennessee, Knoxville, TN, USA, 2016. [Google Scholar]
- Goltz, N.C.; Awad, J.; Moore, M.R.; Talamas, E.J. A fortuitous find: A unique haplotype of Ooencyrtus nezarae Ishii (Encyrtidae: Encyrtinae) discovered in Florida. Biodivers. Data J. 2020, 8, e36440. [Google Scholar] [CrossRef]
- Chicas-Mosier, A.M.; Balusu, R.R.; Ajayi, O.S.; Kafle, B.D.; Morawo, T.; Mertoglu, G.; Fadamiro, H.Y. Kudzu Bug (Megacopta cribraria) and associated egg parasitoids emergence rates in Alabama are predicted by weather indices. Environ. Entomol. 2022, 51, 1113–1119. [Google Scholar] [CrossRef]
- Maceda, A.; Hohmann, C.L.; Santos, H.R.D. Temperature effects on Trichogramma pretiosum Riley and Trichogrammatoidea annulata de Santis. Braz. Arch. Biol. Technol. 2003, 46, 27–32. [Google Scholar] [CrossRef]
- Hoogendoorn, G.M.; Schneider, M.V.; Kerssens, W.; Dols, E.A.F.H.M.; van Alphen, J.J.M. Male versus female longevity in parasitoid wasps. In Experimental and Applied Entomology of the Netherlands Entomological Society (NEV); Netherlands Entomological Society: Amsterdam, The Netherlands, 2002; pp. 73–75. [Google Scholar]
- Aung, K.S.D.; Takagi, M.; Ueno, T. Influence of food on the longevity and egg maturation of the egg. J. Fac. Agric. Kyushu Univ. 2010, 55, 79–81. [Google Scholar] [CrossRef]
- Takano, S.I.; Takasu, K. Food deprivation increases reproductive effort in a parasitoid wasp. Biol. Control 2019, 133, 75–80. [Google Scholar] [CrossRef]
- Takasu, K.; Hirose, Y. The parasitoid Ooencyrtus nezarae (Hymenoptera: Encyrtidae) prefers hosts parasitized by conspecifics over unparasitized hosts. Oecologia 1991, 87, 319–323. [Google Scholar] [CrossRef]
- Bezemer, T.M.; Harvey, J.A.; Mills, N.J. Influence of adult nutrition on the relationship between body size and reproductive parameters in a parasitoid wasp. Ecol. Entomol. 2005, 30, 571–580. [Google Scholar] [CrossRef]
- Jervis, M.A.; Heimpel, G.E.; Ferns, P.N.; Harvey, J.A.; Kidd, N.A. Life-history strategies in parasitoid wasps: A comparative analysis of ‘ovigeny’. J. Anim. Ecol. 2001, 70, 442–458. [Google Scholar] [CrossRef]
- Schmale, I.; Wäckers, F.L.; Cardona, C.; Dorn, S. Control potential of three hymenopteran parasitoid species against the bean weevil in stored beans: The effect of adult parasitoid nutrition on longevity and progeny production. Biol. Control 2001, 21, 134–139. [Google Scholar] [CrossRef]
- Wäckers, F.L. Suitability of (extra-) floral nectar, pollen, and honeydew as insect food sources. In Plant-Provided Food for Carnivorous Insects: A Protective Mutualism and Its Applications; Wäckers, F.L., van Rijn, P.C.J., Bruin, J., Eds.; Cambridge University Press: Cambridge, UK, 2005; pp. 17–74. [Google Scholar]
- King, B.H. Offspring sex ratios in parasitoid wasps. Q. Rev. Biol. 1987, 62, 367–396. [Google Scholar] [CrossRef]
- Chen, W.; Weng, Q.; Nie, R.; Zhang, H.; Jing, X.; Wang, M.; Li, Y.; Mao, J.; Zhang, L. Optimizing photoperiod, exposure time, and host-to-parasitoid ratio for mass-rearing of Telenomus remus, an egg parasitoid of Spodoptera frugiperda, on Spodoptera litura Eggs. Insects 2021, 12, 1050. [Google Scholar] [CrossRef]
- Wang, X.G.; Shelton, A.M. Laboratory evaluation of Trichogramma ostriniae (Hymenoptera: Trichogrammatidae) as a potential biological control agent of European corn borer (Lepidoptera: Pyralidae). J. Econ. Entomol. 1997, 90, 705–710. [Google Scholar]
- Cave, R.D. Biology, ecology and use in pest management of Telenomus remus. Biocontrol News Inf. 2000, 21, 21–26. [Google Scholar]








| Males | Females | Females + Host Eggs | ||||||||
|---|---|---|---|---|---|---|---|---|---|---|
| Parasitoid Species | Diet | Average ± S.E. | Range | Sample Size | Average ± S.E. | Range | Sample Size | Average ± S.E. | Range | Sample Size |
| 1 Ooencyrtus nezarae | Starved | 1.69 ± 0.79 b | 1–3 | 36 | 1.93 ± 1.22 c | 1–5 | 30 | 4.80 ± 1.50 b | 2–7 | 10 |
| Water | 1.90 ± 0.74 b | 1–2 | 41 | 3.26 ± 1.22 c | 1–4 | 30 | 3.90 ± 1.50 b | 2–7 | 10 | |
| Honey | 18.27 ± 0.69 a | 5–27 | 47 | 29.60 ± 1.13 b | 18–47 | 35 | 14.80 ±1.50 a | 5–31 | 10 | |
| Honey + Water | 17.93 ± 0.83 a | 5–28 | 33 | 34.06 ± 0.87 a | 13–47 | 59 | 12.30 ±0.83 a | 3–23 | 10 | |
| One-way ANOVA values | df = 3, 153; F = 152.09; p < 0.0001 | df = 3, 153; F = 244.36; p < 0.0001 | df = 3, 36; F = 12.90; p < 0.0001 | |||||||
| 2 Paratelenomus saccharalis | Starved | 2.31 ± 0.91 b | 2–3 | 29 | 2.92 ± 0.96 b | 2–5 | 28 | 2.62 ± 0.91 b | 2–3 | 8 |
| Water | 3.50 ± 1.22 b | 2–6 | 16 | 2.74 ± 0.98 b | 1–5 | 27 | 2.62 ± 0.91 b | 2–4 | 8 | |
| Honey | 15.38 ± 1.36 a | 4–26 | 13 | 16.85 ± 0.98 a | 4–31 | 27 | 11.00 ± 0.91 a | 3–15 | 8 | |
| Honey + Water | 13.26 ± 0.89 a | 5–28 | 30 | 16.50 ± 0.93 a | 4–28 | 30 | 9.12 ± 0.91 a | 5–12 | 8 | |
| One-way ANOVA values | df = 3, 84; F = 38.68; p < 0.0001 | df = 3, 108; F = 68.23; p < 0.0001 | df = 3, 28; F = 22.59; p < 0.0001 | |||||||
| Parasitoid Species | Diet | Wasp Offspring | Offspring Sex Ratio (Female/Total) | ||||
|---|---|---|---|---|---|---|---|
| Average ± S.E. | Range | Sample Size | Average ± S.E. | Range | Sample Size | ||
| 1 Ooencyrtus nezarae | Starved | 8.70 ± 7.27 b | 0–24 | 10 | 0.49 ± 0.10 ab | 0–11 | 10 |
| Water | 15.70 ± 7.27 b | 0–68 | 10 | 0.32 ± 0.10 b | 0–24 | 10 | |
| Honey | 63.00 ± 7.27 a | 28–115 | 10 | 0.80 ± 0.10 a | 21–108 | 10 | |
| Honey + Water | 55.40 ± 7.27 a | 0–109 | 10 | 0.51 ± 0.10 a | 0–70 | 10 | |
| 2 Paratelenomus saccharalis | Starved | 21.50 ± 5.98 b | 17–24 | 8 | 0.50 ± 0.12 ns | 0–22 | 8 |
| Water | 21.75 ± 5.98 b | 43–50 | 8 | 0.22 ± 0.12 ns | 0–31 | 8 | |
| Honey | 63.62 ± 5.98 a | 34–89 | 8 | 0.59 ± 0.12 ns | 6–59 | 8 | |
| Honey + Water | 65.50 ± 5.98 a | 32–92 | 8 | 0.54 ± 0.12 ns | 1–54 | 8 | |
Disclaimer/Publisher’s Note: The statements, opinions and data contained in all publications are solely those of the individual author(s) and contributor(s) and not of MDPI and/or the editor(s). MDPI and/or the editor(s) disclaim responsibility for any injury to people or property resulting from any ideas, methods, instructions or products referred to in the content. |
© 2023 by the authors. Licensee MDPI, Basel, Switzerland. This article is an open access article distributed under the terms and conditions of the Creative Commons Attribution (CC BY) license (https://creativecommons.org/licenses/by/4.0/).
Share and Cite
Warsi, S.; Chicas-Mosier, A.M.; Balusu, R.R.; Jacobson, A.L.; Fadamiro, H.Y. Effects of Food Source Availability, Host Egg:Parasitoid Ratios, and Host Exposure Times on the Developmental Biology of Megacopta cribraria Egg Parasitoids. Insects 2023, 14, 755. https://doi.org/10.3390/insects14090755
Warsi S, Chicas-Mosier AM, Balusu RR, Jacobson AL, Fadamiro HY. Effects of Food Source Availability, Host Egg:Parasitoid Ratios, and Host Exposure Times on the Developmental Biology of Megacopta cribraria Egg Parasitoids. Insects. 2023; 14(9):755. https://doi.org/10.3390/insects14090755
Chicago/Turabian StyleWarsi, Sanower, Ana M. Chicas-Mosier, Rammohan R. Balusu, Alana L. Jacobson, and Henry Y. Fadamiro. 2023. "Effects of Food Source Availability, Host Egg:Parasitoid Ratios, and Host Exposure Times on the Developmental Biology of Megacopta cribraria Egg Parasitoids" Insects 14, no. 9: 755. https://doi.org/10.3390/insects14090755
APA StyleWarsi, S., Chicas-Mosier, A. M., Balusu, R. R., Jacobson, A. L., & Fadamiro, H. Y. (2023). Effects of Food Source Availability, Host Egg:Parasitoid Ratios, and Host Exposure Times on the Developmental Biology of Megacopta cribraria Egg Parasitoids. Insects, 14(9), 755. https://doi.org/10.3390/insects14090755

