Simple Summary
Tephritid fruit flies are a major threat to fruit production in sub-Saharan Africa. Central Africa has lagged considerably behind the rest of the world in fruit fly knowledge and management. In six consecutive years of research, we developed new knowledge on the diversity, seasonality, attraction to various lures/baits, and fruit infestations of frugivorous fruit fly infesting fruits, particularly mango and guava, in two contrasting agro-ecological zones (AEZs) of Cameroon representing the highland and mid-altitude AEZs of Central Africa’s Congo Basin. Ten fruit fly species from four genera—Bactrocera, Ceratitis, Dacus, and Perilampsis—were found in traps and fruits in both AEZs. Overall, the exotic fruit fly Bactrocera dorsalis was most abundant in traps and in fruits, particularly mango and guava, followed by the native Ceratitis cosyra and C. anonae, which were the dominant Ceratitis species in mid-altitude and highland AEZs, respectively. As expected, seasonal patterns of the three species largely followed rainfall and fruit availability. Of the three food baits used, Torula yeast was the most efficient in trapping all species, compared with BioLure and Mazoferm. Among the 25 sampled fruit species, Irvingia wombolu, Dacryodes edulis, Voacanga africana and Trichoscypha abut were new worldwide host records for B. dorsalis.
Abstract
Bactrocera dorsalis and several Africa-native Ceratitis species are serious constraints to fruit production in sub-Saharan Africa. A long-term trapping and fruit collection study was conducted (2011–2016) in two contrasting agro-ecological zones (AEZs) of Cameroon to determine fruit fly species composition, seasonality, attraction to various lures and baits, and fruit infestation levels. Ten tephritid species from genera Bactrocera, Ceratitis, Dacus, and Perilampsis were captured in traps. Bactrocera dorsalis was the most dominant of the trapped species and persisted throughout the year, with peak populations in May–June. Ceratitis spp. were less abundant than B. dorsalis, with Ceratitis anonae dominating in the western highland zone and Ceratitis cosyra in the humid forest zone. Methyl eugenol and terpinyl acetate captured more B. dorsalis and Ceratitis spp., respectively than Torula yeast. The latter was the most effective food bait on all tephritid species compared with BioLure and Mazoferm. Bactrocera dorsalis was the dominant species emerging from incubated fruits, particularly mango, guava, and wild mango. Four plant species—I. wombolu, Dacryodes edulis, Voacanga Africana and Trichoscypha abut—were new host records for B. dorsalis. This study is the first long-duration and comprehensive assessment of frugivorous tephritid species composition, fruit infestations, and seasonality in Central Africa.
1. Introduction
Worldwide, tephritid fruit flies (Diptera: Tephritidae) are among the world’s most economically important crop pests, with at least 200 pest species [1,2]. In sub-Saharan Africa, several highly polyphagous Africa-native species—belonging to the genera Ceratitis Macleay and Dacus Fabricius have been recognized as economically important pests of several cultivated and wild fruit species, particularly mango (Mangifera indica L. (Sapindales: Anacardiaceae), guava (Psidium guajava (L.) (Myrtales: Myrtaceae)), citrus (Citrus spp. L. (Sapindales: Rubiaceae)), and several cucurbit and solanaceous vegetables [3,4,5].
The traditional problems with tephritid fruit flies have been aggravated in recent years by the invasion of the African continent by the Oriental fruit fly Bactrocera dorsalis (Hendel) (Diptera: Tephritidae), which was first detected in coastal Kenya in 2003 [6] and has spread to at least 32 countries in continental Africa and adjacent island countries [7]. Since the detection of B. dorsalis in Africa, several studies have established the African host range of this species and quantified crop losses (exceeding 57%) due to its infestations [8,9,10]. At present, B. dorsalis has been found infesting fruits of 40 host plant species, with mango, guava, citrus, and loquat (Eriobotrya japonica (Thunb.) Lindl. (Rosales: Rosaceae)) being the major infested cultivated hosts [11,12,13,14]. In addition to causing extensive fruit losses in the field, fruit flies greatly restrict mango and other host fruit exports from Africa, particularly to the European Union (EU), which, for example, intercepted and rejected more than 141 shipments of Cameroonian mango from 2011 to 2018 [15], resulting in substantial financial losses. While several control methods have been developed and deployed across the continent [8,16,17,18,19,20], the large majority of fresh fruit producers in Cameroon and throughout Central Africa continue to experience substantial yield losses caused by fruit flies and they do not yet have the necessary resources and knowledge to successfully use available and new fruit fly control methods. The prevailing agronomic and plant protection practices are of very low or no input type. Apart from the common occasional weeding, pesticide and fertilizer inputs are rare.
Knowledge of fruit fly species composition and their respective seasonal abundance using complementary monitoring tools in relation to host plant phenology under different environments is crucial to the understanding of population dynamics of these insects and the subsequent development and implementation of interventions to limit their infestations and damage [10,21]. Such knowledge is predicated on proper fruit fly species identification and quantification of the levels of host infestation which are fundamental for establishing the economic status of the pests and ultimately for developing and adopting effective pest control interventions [22,23] Two approaches have been traditionally used to provide the aforementioned needed information: (1) effective tools based on food baits and male lures for monitoring and estimating the abundance of adult fruit flies, and (2) systematic fruit samplings to determine host range and quantify the levels and rates of fruit infestations by the various fruit fly species present in the systems. The latter is often complemented with random fruit sampling from areas outside the targeted cultivated fields to determine the fruit fly host range [23,24]. Ideally, monitoring tools and host fruit infestations should be tested and used over several years and in multiple environments to establish sufficient details of the bio-ecological context where management options will be developed and implemented.
Several commercially available male lures and food baits have been developed and used widely for fruit fly monitoring, but their performance has been shown to vary with factors such as climate, fruit fly species, and other factors that affect fruit fly populations [9,25,26,27,28,29]. All available studies in Africa are from several agro-ecologies, but none are from the mid-altitude, high rainfall agro-ecologies that are prevalent in much of the Congo Basin of Central Africa.
The male lures methyl eugenol and terpinyl acetate are known to, respectively, attract Bactrocera and Ceratitis species, while Culure is known to attract various (though not all) Dacus species [24,30,31]. For principally females, several food baits including Torula yeast, Mazoferm, and Nulure have been developed and used to attract and monitor several fruit fly species [25,28,30,31,32]. To our knowledge, monitoring the performance of food baits and male lures on fruit flies under the various environments that are prevalent in Central Africa, is lacking. Similarly, compared with other regions of Africa, information on fruit fly species composition, host range, crop losses, and seasonality, as well as various trapping approaches and control measures in Central Africa, are scarce.
The Congo Basin of Central Africa harbours a rich humid forest with a high diversity of wild fruit trees that could, at the same time, represent a reservoir for fruit flies and their natural enemies. Central Africa further includes the five key agro-ecologies encountered across the African continent, from desert and arid agro-ecologies to dense high-rainfall and humid forest zones [33]. Preliminary information from fruit collections in Cameroon revealed the presence of several species including B. dorsalis, Ceratitis cosyra (Walker), Ceratitis anonae (Graham), Ceratitis capitata (Wiedemann), Ceratitis quinaria (Bezzi), Dacus punctatifrons Karschand Dacus bivittatus (Bigot) [13,34,35,36,37] Continuing to be scarce, however, is multi-year quantitative information on fruit fly’s species composition and their seasonal dynamics, host utilization, and fruit infestation levels, particularly from the principal commercial fruit species mango and guava, and the performance of different monitoring tools in mid-altitude humid and high rainfall agro-ecologies from Central Africa.
The broad objective of this study is to establish and validate basic multi-year data necessary for the development of integrated pest management programs of fruit flies across two agro-ecological zones in Cameroon with contrasting climate and farming systems, representing a cross-section of the mid-altitude agro-ecologies of Central Africa. The study has the following specific objectives: (1) determine the diversity of fruit fly species and the level of their infestation of mango, guava and other common fruit hosts; (2) compare the performance of male lures and food baits for monitoring the abundance and seasonality of fruit flies in mango and mixed fruit orchards; and (3) determine the contribution of temperature, relative humidity, and rainfall amount to the variation in fruit fly abundance. The results from this Cameroon study can possibly be extended to the rest of the Congo Basin, as the southern half of Cameroon is widely considered agro-ecologically a close representative of much of the rest of Central Africa.
2. Materials and Methods
2.1. Study Sites
The study was conducted over 5–6 years (from January 2011 to December 2016) in 2 agro-ecological zones (AEZs) of Cameroon as delimited by the Cameroon Institute of Agricultural Research for Development (IRAD) [38] (Figure 1). The two target AEZs included the western highlands, with a mono-modal rainfall pattern (WH-MR), and humid forest, with bimodal rainfall (HF-BR) (Figure 1). Both AEZs differed in their topography, climate characteristics, and cropping systems [39]. The choice of the two zones was based on the richness, diversity and availability of fruit tree species. One experimental site was established in each AEZ for fruit fly trapping using food baits and male lures, and for evaluation of fruit infestations by fruit flies. Because of the long-term nature of the experiments and the need to secure traps for continuous monitoring over a period of 6 years, the traps were installed in the experimental orchard of the IRAD research station in Foumbot, for the WH-MR, and at the International Institute of Tropical Agriculture (IITA) in Nkolbisson, for the HF-BR (Figure 1). Each orchard was characterized according to the description of the area, climatic conditions, fruit species present and management options (Table 1). A homogenous hectare of mango was used in Foumbot, while a mixed hectare of fruit species was selected in Nkolbisson (Table 1).
Figure 1.
Fruit fly trapping and fruit sampling locations in Cameroon. Enlarged maps to the right correspond to the 2 agro-ecological zones—WH and HF-BR—targeted in this study.
Table 1.
Characteristics of the experimental sites used for fruit fly trapping in two agro-ecological zones—WH and HF-BR.
In addition to the two experimental sites, fruits were collected from 6 other locations in the WH-MF within a 70 km radius of Foumbot, and 5 other locations in HF-BR, within a 70 km radius of Nkolbisson (Figure 1). The selection of the fruit collection sites was based on the presence of mango or guava orchards at or in the vicinity of the collection sites.
2.2. Male Lures and Food Baits Traps
Male lures and food baits used for fruit fly trapping are described in Table 2. In the studied orchards, Multilure traps were used for food baits and bucket traps were used for male lures. The Multilure traps (Better World Manufacturing, Inc., Fresno, CA, USA) were made of a yellow-colored plastic base and a transparent plastic upper part [28], while bucket traps were similar to a Tephritrap® (Pherobank, Wageningen, The Netherlands), and were made of a yellow-colored cylindrical plastic container with four equidistant holes at the upper third, and a white-colored lid.
Table 2.
Attractants used for fruit fly trapping in two agro-ecological zones—WH and HF-BR.
All traps were suspended from tree branches with a galvanized steel wire at ~2 m above ground and at least 20 m apart. The wire was coated at its middle length with a thick layer of Tanglefoot (The Tanglefoot Co., Grand Rapids, MI, USA) to prevent cursorial access to the traps by predators, particularly the common weaver ant Oecophylla longinoda (Latreille). The number of traps varied according to the number of attractants used. For this purpose, 2 and 4 traps of each attractant were installed, respectively, at the Nkolbisson and Foumbot sites, for a total of 10 traps in Nkolbisson and 12 traps in Foumbot.
For male lure-based traps, a dental cotton roll soaked with 2 mL of either methyl eugenol or terpinyl acetate was suspended from the centre of the trap lid. Two, 5 cm strips impregnated with 2, 2-Dimethyl dichlorovinyl phosphate (DDVP) (Hercon Environmental Corporation, Engsville, PA) were placed at the bottom of the trap as the killing agent. For food-bait traps, BioLure’s 3 components, packed individually in a sachet containing either ammonium acetate, trimethylamine, or putrescine, were adhered to the inside of the Multilure trap. Two DDVP strips were placed at the bottom of each trap as a killing agent. Torula yeast was used as a liquid bait consisting of 2 pellets (~8 g total containing 3% borax) dissolved in 350 mL of water per trap [28]. Similarly, the commercial product Mazoferm was diluted in 350 mL of water to obtain a 6% concentration, with 2 g of borax added to the solution as a preservative [28].
Food bait and male lure traps were inspected in both orchards at weekly intervals. Torula yeast and Mazoferm baits were replaced weekly, while BioLure, male lures, DDVP strips, and cotton rolls were renewed monthly [26,28,40]. Trap servicing techniques and regular rotation among trees followed those of [28]. All the specimens were transferred and preserved in vials containing 70% ethanol. All samples were brought to the Entomology Laboratory of IITA in Yaoundé for identification.
Meteorological data were collected at each location with a Hobo Pro v2 data logger for temperature and RH (Onset Computing, Bourne, MA, USA), and a Tru-Chek® Direct-Reading rain gauge (Forestry Suppliers, Jackson, MS, USA). Temperature and RH were recorded at hourly intervals and the data were retrieved at monthly intervals, while rain amounts were collected between 7 and 8 am daily throughout the study periods.
2.3. Host Fruit Collection and Handling
Fruit sampling was carried out from 2011 to 2015. Systematic random sampling was used in the two AEZs to determine the diversity of fruit flies associated with mango and guava fruits in orchards and home gardens. The mango variety “Camerounaise” and two varieties of guava (local and improved of unknown names) were available at Nkolbisson orchard. At Foumbot orchard, mango varieties included Ruby, Zill, Irwin, Julie Nyombe, Palmer, and “Camerounaise”, and as in the Nkolbisson orchard, there were local and improved guava varieties of unknown names. Twenty mature fruits each of mango and guava—based on the varieties’ maturity status—were harvested randomly from all sampling sites, and up to 10 fallen mature fruits were collected from the ground at 2-week intervals from five trees of each fruit species.
Fruits from other cultivated and wild plants were also collected during their fruiting periods from orchards, home gardens, and natural vegetation within a 70 km radius of each of the two experimental sites in WH-MR and HR-BR to determine the host range of fruit flies and the infestation levels. The number and size of fruit samples from the various plant species were primarily determined by the availability of fruits. Efforts were made to ensure a minimum collection of 20 fruits per sample at each location.
Collected fruits were classified by species, known variety, date, and sampling area, then counted and weighed. All fruits were incubated in a screenhouse (Rossel Virology Screenhouse, Clovis Lande Ass. Ltd., Kent, UK) at the IITA station in Yaoundé. Incubation units consisted of 450 mL plastic containers and 1.5 L circular plastic basins. Owing to their larger size, fruits of mango, papaya, and Annona spp. Were individually incubated in plastic boxes. The other fruit species were incubated in the circular plastic basins, but in groups of 3–5 depending on their size. Fruits were placed on a dome-shaped galvanized steel wire grid which rested on a 2–3 cm layer of moist heat-pasteurized Sanaga river sand as fruit flies pupariating medium. Each incubation unit was then covered with a fine-mesh cloth and secured to prevent larval escape. The incubation units were arranged on metallic shelves. The supports of each shelf were placed inside pint-size (~450 mL) containers which were maintained at full capacity with soapy water as barriers against ants and other cursorial insects. Fruit samples were incubated for up to 4 weeks to ensure that all live fruit fly larvae exited the fruits. Sand in each incubation unit was sieved twice at 12 days after the start of incubation, and at the end of incubation for the collection of fruit fly puparia. Collected puparia from each container were placed in 9 cm Petri dishes and transferred to an insectarium maintained at 25 °C, 70 ± 5% RH, and photoperiod of 12L:12D for adult emergence. Emergence dishes contained a wet mixture of table sugar and enzymatic yeast as food for full wing development of emerging adults.
All fruit fly specimens caught in traps and those that emerged from fruits were identified using fruit fly identification keys [3,16,41,42]. Voucher specimens were deposited in the IITA-Cameroon insect collection with duplicates at the IITA Biodiversity Center in Benin.
2.4. Statistical Analysis
Weekly counts of each species were summarized by attractant (food baits and male lures) and orchard. The total number of fruit fly specimens from traps and for each of the two genera, Bactrocera and Ceratitis, were used to calculate the relative abundance of the species. Fruit fly species diversity was estimated with the Shannon and Simpson indices using Vegan R 2.0. packages [26]. The Shannon index is a quantitative measure of both species richness and evenness, while the Simpson index measures evenness or species dominance [43]. Due to their non-normal distribution, the Kruskal–Wallis non-parametric test was used to compare diversity indices between orchards and attractants [28].
The seasonality data for the two experimental locations in Foumbot and Nkolbisson were summarized by each of the most abundant fruit fly species—B. dorsalis, C. cosyra and C. anonae—using average monthly trap catches of each species separately for each attractant (methyl eugenol, terpinyl acetate and Torula yeast).
A generalized linear model (GLM) with a Poisson error (log-link) was used to test for the effects of AEZs and years on the abundance—using weekly means—of fruit flies by species (B. dorsalis, C. cosyra, and C. anonae) and all species combined. The GLM analysis was conducted separately for Torula yeast, methyl eugenol, and terpinyl acetate. For Torula yeast, data from both sexes were pooled for the analysis.
The relationship between fruit fly catches and weather variables was explored using Pearson’s correlation [26,44]. The mean number of flies caught per month per sex over the sampling years was used in each AEZ. Species abundance data were transformed with log +1 to correct for statistical errors associated with rare or very common species [26]. Monthly temperature (minimum, mean, and maximum), relative humidity (minimum, mean, and maximum), and total monthly rainfall were calculated over the sampling years and by AEZ before analysis.
Food-bait trap catches were compared using a matched-pairs analysis [28] that identified differences in trap catches among the three food baits used in HF-BR. Similar comparisons from WH-MF were not performed since only Torula yeast was used in this AEZ. Comparisons were restricted to the three dominant species, B. dorsalis, C. cosyra and C. anonae, and all fruit fly species combined.
Fruit fly infestation level of each fruit sample (by fruit type and AEZ) was calculated as the number of puparia per kg of host fruits, which is a commonly used measure for estimating and comparing fruit fly infestation levels in fruits [45,46]. GLM with a Gaussian error was used to test for the effect of AEZs and sampling sites on fruit fly infestation levels by fruit and fruit fly species. Only fruit samples that were collected at least 10 times were considered in the analysis. Tukey HSD was used to compare means of fruit species infestations.
All the analyses were performed in R software version 3.6.2 [47].
3. Results
3.1. Fruit Fly Diversity and Richness in Traps
A total of 579,363 fruit fly specimens from 10 species belonging to four genera were captured in male lure and food bait traps across the two AEZs (Table 3). Bactrocera dorsalis was the most abundant species caught in traps (>94%), and the only species of the genus and only exotic species; followed by six Ceratitis species—C. anonae, C. cosyra, C. capitata, C. bremii (Guerin-Méneville), C. ditissima (Munro) and C. punctata; two Dacus species—D. bivittatus and D. punctatifrons; and a Perilampsis species. Ceratitis anonae was the second most abundant species, with a relative abundance of 4.10% in WH-MR, followed by C. cosyra which was more abundant (2.23%) in HF-BR (Table 3). The remaining species—C. capitata, C. bremii, C. punctata, C. ditissima, D. bivittatus, D. punctatifrons, and Perilampsis sp.—were occasionally captured in traps and comprised less than 1% of all species. Relative abundance of B. dorsalis and all Ceratitis species combined, comprised 99.0, 99.9 and 99.5% in WH-MR, HF-BR, and both AZEs combined, respectively. A large switch in the relative abundance of C. cosyra and C. anonae occurred between the two AEZs, with C. cosyra and C. anonae representing 12.6 and 85.8% of all Ceratitis species combined, in WH-MR, and 80.8 and 18.5%, respectively, in HF-BR.
Table 3.
Abundance of fruit fly species caught in traps in two agro-ecological zones of Cameroon using three attractants during the trapping period 2011–2016.
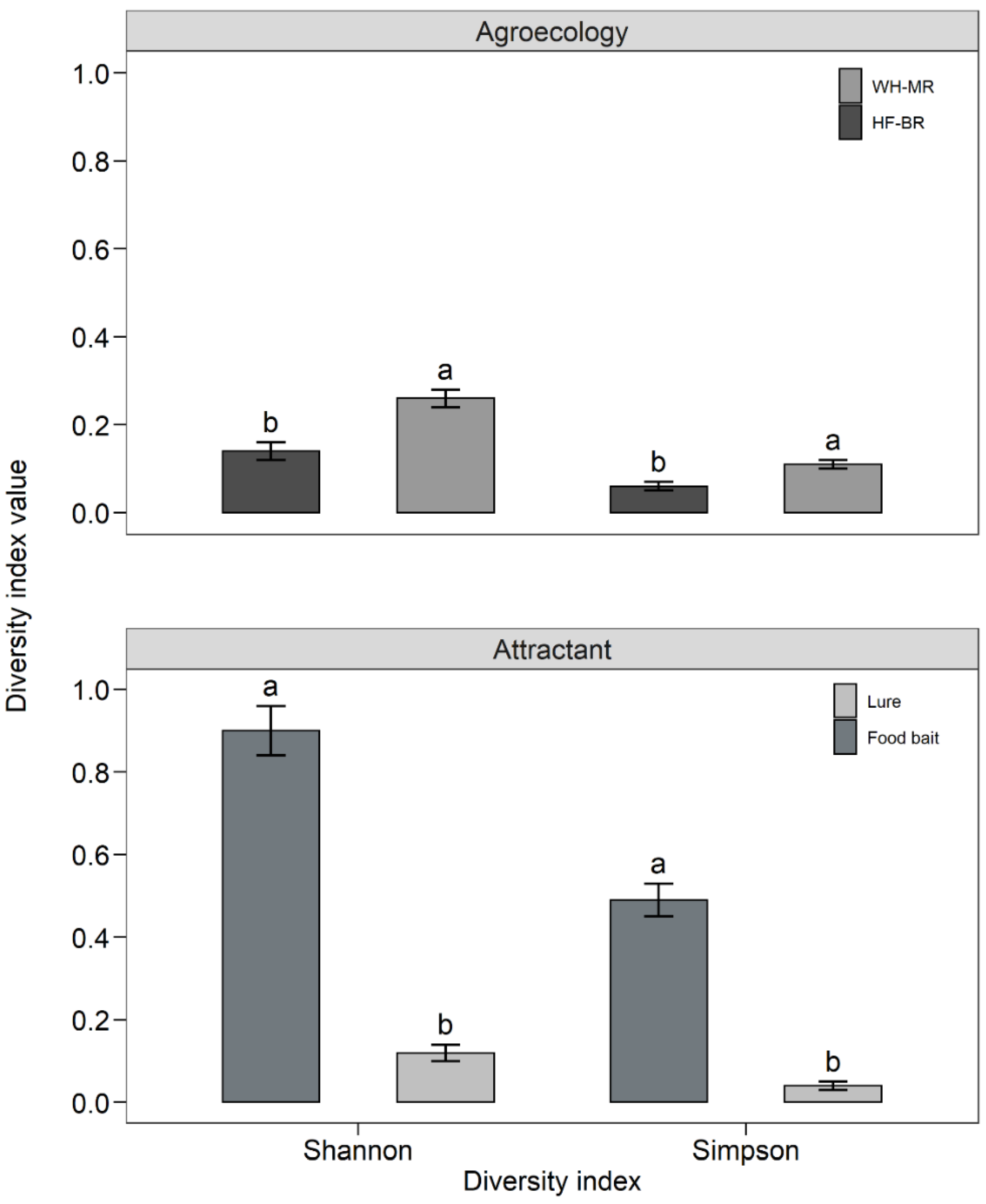
Estimates of Shannon and Simpson diversity indices are presented in Figure 2. Fruit fly diversity was higher in WH-MR compared with HF-BR (Shannon: χ21 = 6.55; p = 0.011; Simpson: χ21 = 4.8; p = 0.028; Figure 2) and much more in food baits compared with male lures (Shannon: χ21 = 8.31; p < 0.003; Simpson: χ21 = 8.31; p < 0.003; Figure 1). The extrapolated Chao estimates for species and first-order Jackknife and Bootstrap estimates for species were higher in WH-MR (Choa: 10.6 ± 3.05; Jackknife: 10.6 ± 1.70; Bootstrap: 9.75 ± 1.01) and food baits (Chao: 9.42 ± 1.13; Jackknife: 9.83 ± 0.83; Bootstrap: 9.44 ± 0.70) compared with HF-BR (Chao: 8.41 ± 1.13; Jackknife: 8.83 ± 0.83; Bootstrap: 8.45 ± 0.66) and male lures (Chao: 8.00 ± 0.40; Jackknife: 8.83 ± 0.83; Bootstrap: 8.37 ± 0.52).
Figure 2.
Shannon and Simpson indices (means ± SE) of fruit fly diversity according to agro-ecological zones and attractants. Means (vertical bars) followed by the same letter on each index are not significantly different (Kruskal–Wallis test, p < 0.05).
3.2. Abundance of the Main Fruit Flies in Traps
The overall number of B. dorsalis caught in methyl eugenol traps was higher (F1, 564 = 12.8; p < 0.001) in Nkolbisson HF-BR (488.3 ± 41.9 flies/trap) than in Foumbot WH-MR (290.4 ± 36 flies/trap), but this difference was not reflected in B. dorsalis counts in Torula yeast traps which were statistically similar (F1, 564 = 2.53; p = 0.112) in Nkolbisson HR-BR (7.44 ± 0.63 flies/trap) and Foumbot WH-MR (9.94 ± 1.41 flies/trap), respectively. Overall counts (i.e., average over the 5–6 years of trapping) of each of C. cosyra and C. anonae in terpinyl acetate differed between AEZs, but in opposite trends (C. cosyra: F1, 569 = 65.3; p < 0.001; C. anonae: F1, 569 = 65.6; p < 0.001), with C. cosyra counts being higher in Nkolbisson HR-BR (8.75 ± 0.84 flies/trap) than in Foumbot WH-MR (2.05 ± 0.31 flies/trap) and C. anonae being higher in Foumbot WH-MR (8.37 ± 1.36 flies/trap) than in Nkolbisson HR-BR (0.79 ± 0.18 flies/trap). Because of the opposite trends in trap counts of the two species, their combined counts in terpinyl acetate traps were the same (F1, 569 = 0.33; p = 0.567) in Foumbot WH-MR (10.6 ± 1.58 flies/trap) and Nkolbisson HR-BR (9.59 ± 0.91 flies/trap). Similarly, in Torula yeast traps, C. cosyra counts were significantly higher (F1, 569 = 78.2; p < 0.001) in Nkolbisson HR-BR (1.74 ± 0.17 flies/trap) than in Foumbot WH-MR (0.22 ± 0.06 flies/trap), while C. anonae and all fruit flies combined counts were significantly higher (C. anonae: F1, 569 = 37.2; p < 0.001; combined counts: F1, 569 = 14.7; p < 0.001) in Foumbot WH-MR (5.19 ± 1.19 flies/trap; 18.2 ± 2.49 flies/trap) than in Nkolbisson HR-BR (0.56 ± 0.08 flies/trap; 9.82 ± 0.74 flies/trap), respectively.
At Foumbot WH-MR, average yearly B. dorsalis counts (F4, 253 = 6.40, p < 0.001) in methyl eugenol and C. cosyra (F4, 253 = 14.0, p < 0.001) and C. anonae (F4, 253 = 12.9; p < 0.001) in terpinyl acetate and their combined counts (F4, 253 = 14.2, p < 0.001) varied substantially during the 5 years of trapping (Table 4). Similarly, B. dorsalis, C. cosyra, C. anonae and all trapped fruit flies combined in Torula yeast also differed among years (B. dorsalis: F4, 253 = 4.69; p < 0.001; C. cosyra: F4, 253 = 2.66; p = 0.033; C. anonae: F4, 253 = 13.2; p < 0.001; all: F4, 253 = 7.72; p < 0.001; Table 4). Counts of B. dorsalis in methyl eugenol were lowest in 2014 and 2015, and highest in 2012–2013, while in Torula yeast B. dorsalis was lower in 2014–2015, and higher in 2012 (Table 4). In terpinyl acetate and Torula yeast traps, C. cosyra counts were lowest in 2016 and 2014, and highest in 2012 and 2013, while C. anonae counts were lowest in 2016 and 2014–2016, and highest in 2012–2013 and 2012, respectively (Table 4).
Table 4.
Annual fruit fly species captures (means ± SE flies/trap/week) in male lures (methyl eugenol and terpinyl acetate) and food bait (Torula yeast) in 2 agro-ecological zones of Cameroon during the trapping period 2011–2016.
At Nkolbisson HF-BR, average yearly B. dorsalis captures were similar across years in methyl eugenol (F5, 307 = 0.65; p = 0.661; Table 4) and in Torula yeast traps (F5, 307 = 1.35; p = 0.244; Table 4). In contrast, average yearly C. cosyra and C. anonae counts in terpinyl acetate traps and in Torula yeast fluctuated between years (terpinyl acetate traps: C. cosyra: F5, 307 = 39.2, p < 0.001; C. anonae: F5, 307 = 11.5, p < 0.001; Torula yeast traps: C. cosyra: F5, 307 = 5.90, p < 0.001; C. anonae: F5, 307 = 3.95, p < 0.002; Table 4). Counts of C. cosyra in terpinyl acetate traps were lowest in 2011 and 2013 and highest in 2015–2016, while C. anonae counts were lowest in 2011–2013 and highest in 2014–2016. In Torula yeast traps, C. cosyra counts were lowest in 2011 and 2014–2015, and highest in 2012 and 2015–2016, while C. anonae count trends were nearly opposite to C. cosyra, being highest in 2011–2013 and lowest in 2015–2016 (Table 4).
3.3. Comparisons of Food Baits
Comparisons of food bait catches (Table 5) revealed that Torula yeast attracted, respectively, 1.59 and 1.38-fold more B. dorsalis and C. cosyra than BioLure, while the latter attracted 2.33-fold more C. anonae than Torula yeast. When considering all trapped fruit flies together, Torula yeast attracted 1.28-fold more fruit flies than BioLure (Table 5). Similarly, Torula yeast trapped, respectively, 2.22 and 2.40-fold more B. dorsalis and C. cosyra than Mazoferm, while the latter and Torula yeast trapped a similar number of C. anonae. When considering all trapped fruit flies together, counts in Torula yeast traps were 2.13-fold more than in Mazoferm traps (Table 5).
Table 5.
Comparison of fruit fly responses (means ± SE flies/trap/week) to BioLure vs. Torula yeast, and Mazoferm vs. Torula yeast, in the Nkolbisson orchard (humid forest with bimodal rainfall).
3.4. Seasonal Fluctuations
The patterns of male capture across the two AZEs in successive years (2011–2016 in Nkolbisson HF-BR, and 2012–2016 in Foumbot WH-MR) using methyl eugenol and terpinyl acetate are presented in Figure 3A,B. In Foumbot WH-MR, B. dorsalis male populations were present throughout the year, although male numbers decreased to near zero in January and February, which coincided with the height of the dry season. In contrast, Ceratitis species appeared with the presence of fruits in the orchard (Figure 3A). Except in 2013, B. dorsalis and C. anonae males peaked during the rainy season in June when mango fruits were present in the orchard, but the population of both species decreased significantly in 2014 and rebounded, though not to 2012 and 2013 levels. Ceratitis cosyra was present in much lower densities compared with C. anonae in terpinyl acetate traps and B. dorsalis in methyl eugenol traps, but the abundance of C. cosyra appears to follow similar temporal patterns of B. dorsalis and C. anonae.
Figure 3.
Yearly dynamics of tephritid fruit fly males in traps baited with methyl eugenol (Bactrocera dorsalis) and terpinyl acetate (Ceratitis cosyra and C. anonae) in Foumbot WH-MR (A) from January 2012 to January 2017, and Nkolbisson HF-BR (B) from January 2011 to December 2016, in relation to the ripening periods of mango and guava.
At Nkolbisson HF-BR, the patterns of male lure trap count also revealed the presence of B. dorsalis and C. cosyra throughout the year (Figure 3B). Ceratitis anonae was present in low numbers but its patterns of abundance followed that of the other two species. Bactrocera dorsalis exhibited peaks during the rainy season in May, which coincided with the end of mango and guava seasons (Figure 3B), and minor peaks in September during the second guava season. Ceratitis cosyra also followed the same trends, but the population peaks coincided with the mango season in May, and the presence of other fruit species present in the orchard, especially guava and Annona spp. in November–December.
The weekly inspection of the traps baited with Torula yeast allowed the evaluation of female fluctuations of B. dorsalis, C. cosyra and C. anonae in both AEZs as shown in Figure 4A,B. In Foumbot WH-MR, females of B. dorsalis and C. anonae were most abundant in Torula yeast traps from April through July, and peaked in June, as in male lure traps (Figure 4A). These peaks matched the presence of mango fruits in the orchard (Figure 4B). As with male lures, all fruit fly counts in Torula yeast declined in 2014–2016.
Figure 4.
Yearly dynamics of tephritid fruit fly females in traps baited with Torula yeast in Foumbot WH-MR (A) from January 2012 to January 2017, and Nkolbisson HF-BR (B) from January 2011 to December 2016, in relation to the ripening periods of mango and guava.
At Nkolbisson HF-BR, the period of high trap counts of B. dorsalis occurred from March to May and mostly peaked in April, coinciding with the full mango and guava seasons, while C. cosyra were more active from January to April with peaks observed in March (Figure 4B). Ceratitis anonae followed similar abundance patterns to B. dorsalis, as in Foumbot WH-MR, but occurred in much lower numbers compared with its abundance in the WH-MR AEZ.
3.5. Correlation of Fruit Fly Catches and Weather Variables
The catches of C. cosyra and B. dorsalis males in Nkolbisson HF-BR were positively correlated with TempMax and RHMean, respectively, while male catches of C. cosyra were negatively correlated with RHMin (Table 6). The rainfall data also correlated positively with the catches of all tephritids except male catches of C. cosyra. In Foumbot WH-MR, a positive correlation was observed between TempMin and B. dorsalis, TempMin and both males and females of C. anonae, TempMean and females of C. cosyra, and TempMax and females of C. cosyra, while a significant and negative correlation was noted between TempMean and the catches of both sexes of B. dorsalis, TempMax and the catches of C. cosyra and C. anonae males (Table 6). The analysis also revealed a positive and significant correlation between rainfall and B. dorsalis male catches (Table 6).
Table 6.
Spearman’s correlation coefficient between weather variables and fruit fly species commonly caught per trap per month in the two agro-ecological zones.
3.6. Host Range and Fruit Infestation Levels
A total of 6716 kg of fruits from 25 plant species in 16 families were collected from the two AEZs from 2011 to 2015. Mango and guava represented, respectively, 26.3 and 30.3% of the total fruits collected and incubated. Twenty-two out of 25 sampled host plant species were infested by one or more of six fruit fly species, including B. dorsalis, C. cosyra, C. anonae, C. capitata, C. ditissima, and D. bivittatus (Table 7). Bactrocera dorsalis was present in fruits of 21 plant species, while D. bivittatus, C. capitata, C. ditissima, C. cosyra, and C. anonae were present in 1, 4, 5, and 10 host plants, respectively (Table 7). Fruits of four plant species—I. wombolu Vermoesen (Irvingiaceae), Dacryodes edulis (G. Don) Lam, Burceracea), Voacanga africana Stapf. (Apocynaceae) and Trichoscypha abut Engl. (Anacardiacea)—were new host records for B. dorsalis.
Table 7.
Host fruits species sampled from 2011 to 2015 and abundance of fruit fly species that emerged across two agro-ecological zones of Cameroon.
After 5 years of sampling, five fruit fly species in the genera Bactrocera and Ceratitis were reared from mango and guava fruits across the two AEZs. Bactrocera dorsalis, C. cosyra, C. anonae, C. capitata and C. ditissima were the fruit fly species associated with fruit damage (Table 7). In WH-MR, B. dorsalis was present in 98.1 and 91% of mango and guava, respectively, while in HF-BR, B. dorsalis represented 99.6 and 87.2% of all fruit flies infesting mango and guava, respectively, (Table 7). The other fruit fly species had a relatively low occurrence in mango and guava in both AEZs (Table 7).
The incubation of other fruit species revealed the presence of all the fruit fly species that were collected from mango and guava, except D. bivittatus which principally infested papaya fruit (Table 7). Of all cultivated potential host plants, B. dorsalis emerged from 13 plant species, followed by C. anonae (7 species) in the two AEZs combined (Table 7). Of the wild potential host plants, B. dorsalis was also the most abundant, with occurrence in five host fruit species, out of eight sampled. Ceratitis anonae and C. cosyra were abundant on A. muricata, Myrianthus arboreus P. Beauv. and Sarcocephalus latifolius (Sm.) E.A.Bruce (Table 7).
Co-occurrence of B. dorsalis and Ceratitis spp. was common in all the fruit species, except in A. carambola, C. limon, C. reticulata, I. gabonensis and I. wombolu which were infested only by B. dorsalis (Table 7). Thus, C. cosyra co-existed with B. dorsalis in S. cytherea and Annona montana Macfad., while C. anonae and B. dorsalis were present in T. abut, banana (Musa acuminata Colla.), and plantain (M. × paradisiaca L.) in HF-BR (Table 7). In both AEZs, C. cosyra, C. anonae, and B. dorsalis were found together in mango, A. squamosa, A. muricata, M. arboreus, and P. americana only in HF-BR. Guava and M. arboreus were co-infested by C. cosyra, C. anonae, C. capitata, and B. dorsalis in HF-BR, while in both zones, C. cosyra, C. anonae, C. capitata, and C. ditissima were found with B. dorsalis in P. guajava (Table 7). Carica papaya was the only fruit species co-infested by D. bivittatus, C. anonae and B. dorsalis. This fruit was not encountered during any of the sampling periods in WH-MR.
Overall fruit infestation levels (all fruit species combined across years) were significantly (F1, 1411 = 31.5; p < 0.001) higher in HF-BR (48.3 ± 3.49 puparia/kg) than in WH-MR (29.4 ± 5.58 puparia/kg). In HF-BR, the number of puparia/kg of fruits also differed between the host fruit species (F10, 996 = 68.4; p < 0.001; Figure 5), with the highest infestation levels in I. gabonensis, followed by E. japonica and A. muricata with, respectively, 188.8 ± 42.1, 188.6 ± 22.4, and 187.5 ± 25.6 puparia/kg of fruits. Infestation levels of mango (39.6 ± 11.8 puparia/kg) and guava (33.4 ± 2.28 puparia/kg) in WH-MR were similar (F1, 404 = 0.62; p = 0.432).
Figure 5.
Mean infestation levels (mean number of puparia per kg of fruit ± SE) per fruit in HF-BR. Host fruit species followed by the same letter in the graph are not significantly different (GLM with Gaussian error, Tukey’s HSD, p < 0.05).
4. Discussion
This present study was part of the fruit fly management program in mango and other orchard systems initiated in SSA following the invasion of Africa by B. dorsalis [6,8,13,26,48,49]. To our knowledge, it is the first and only study from the Congo basin of Central Africa to present long-term dynamics, spanning 6 years, of several species of frugivorous tephritid fruit flies by simultaneously using male lures, food baits and incubation of fruit fly host fruits. In the course of this study, we discovered four new host plant–fruit fly associations and uncovered new patterns of fruit fly population dynamics from agro-ecologies representing a cross-section of climates and conditions found in Central Africa. Our study also corroborates the findings of several other studies and provides additional information and exceptions on host fruit range, infestation rates, and seasonal dynamics of the encountered fruit fly species.
Ten fruit fly species in four genera—Bactrocera, Ceratitis, Dacus, and Perilampsis—were caught in male lure and food bait traps installed in mango and mixed-fruit orchards in the two AEZs covered by our study. Diversity analysis using Shannon and Inverse Simpson indices showed significant differences between AEZs and attractants with a higher number of species in the Nkolbisson HF-BR orchard compared with the Foumbot WH-MR orchard, probably due to higher host plant diversity in the mixed-fruit orchard than in the relatively homogeneous (mango) WH-MR orchard. Moreover, food baits, because of their broad species attraction [50] are expected to produce higher diversity indices compared with male lures—with some exceptions [27]. These comparisons are rare, however, because diversity indices are not generally calculated by attractant (e.g., male lures and food baits), which does not allow proper comparisons of diversity indices across studies. In our study, we computed diversity indices by AEZ and by male lures and the food bait Torula yeast which were used across the two AEZs. As expected, the two diversity indices—Shannon and Inverse Simpson—were larger for Torula yeast than for male lures and were considerably larger (0.5–0.9) than values reported from Western Africa by [28] for pooled data from four food baits (Torula yeast, Mazoferm, BioLure and Nulure).
Three studies across four agro-ecological zones in Western Africa [26,28,51] found 9–11 Ceratitis species in male lure and food bait traps placed in homogenous and mixed-fruit mango orchards over a period of 4–5 years. The differences in species occurrence and the efficiency of different lures and food baits were discussed by [28]. In our study from two Central Africa AEZs—that do not overlap with the Western Africa AEZ covered by the previous studies, we found six Ceratitis species in similar male lure and food bait traps. Four rare species (1–5 specimens)—C. lentigera Munro, C. pedestris (Bezzi), C. acicularis (Munro) and C. penicillata (Bigot)—from Western African mango systems were not found in our study. Moreover, three species that are generally restricted to Guinea and Sudan Savanna AEZ of Western Africa—were also absent from our study from Central Africa. Two Dacus species were caught occasionally in traps and probably originated from cucurbit plants in the vicinity of the trapping sites as these species are cucurbit feeders [10,26,49], but D. bivittatus is also known to infest C. papaya [1], as observed from our papaya fruit samples.
Overall, B. dorsalis was the dominant species, particularly in male lure traps, which is likely due to the greater attraction of methyl eugenol for this species compared with the attraction of terpinyl acetate to Ceratitis species [28]. The numerical dominance of B. dorsalis, however, was also reflected in the total number of fruit flies (>90%) that emerged from incubated mango fruits. These results are consistent with those from Eastern and Southern Africa—Kenya [16,52], Mozambique [53], Tanzania [49] and Western Africa—Benin [13,26,51], Burkina Faso [54], and Ivory Coast [55]. Bactrocera dorsalis was also particularly abundant in the mixed-fruit orchard at HF-BR where a large diversity of host plants was found, with several wild and cultivated fruits present all year round that could, at the same time, represent both a sink and a source for B. dorsalis.
Of the six Ceratitis species collected in our study, C. cosyra and C. anonae were the numerically dominant species in terpinyl acetate and food bait traps, but their abundance patterns were different in the two AEZs covered by our study. Ceratitis anonae was more abundant in the WH-MR than in HF-BR and, therefore, appears to be well adapted to the former AEZ with its generally higher altitude and cooler climate compared with HF-BR, where C. cosyra was more abundant than C. anonae. Other studies across altitude gradients in Eastern and Southern Africa have also demonstrated similar patterns of abundance for C. cosyra and C. anonae [56]. The latter also occurs in low frequency in the low altitudes of Western Africa [26,28,51]. In comparison, the abundance patterns of C. cosyra, which is a widespread species in Africa [57], appear to be related more to host plant availability and competition with other species [45] than to climate [58], although C. cosyra was shown to have a high tolerance to drier conditions based on the effects of relative humidity on survival rates of puparia (R. Hanna, unpublished data).
Food baits such as Torula yeast, Mazoferm, and under certain conditions, BioLure, are known to have broader species attraction than the specific male lures. While our study focused primarily on the diversity, seasonality, and fruit infestations of fruit flies in mango systems using primarily methyl eugenol, terpinyl acetate, Torula yeast, and fruit incubations, we used the HF-BR orchard to compare the fruit fly trapping capacity of Torula yeast, Mazoferm and BioLure. While Torula yeast is broadly more efficient in trapping fruit flies and has shown consistent efficiency in fruit fly monitoring and suppression across several AEZs [28], Mazoferm and BioLure have shown inconsistent potential in fruit fly population detection and monitoring. In South Africa, BioLure was more efficient than Torula yeast [27] probably because of the prevalence of C. capitata for which BioLure is an efficient attractant [32]. In our study, Torula yeast consistently caught more B. dorsalis and C. cosyra than BioLure and Mazoferm; however, BioLure was more attractive to C. anonae than Torula yeast which was similar to Mazoferm in attracting C. anonae. It is not known, however, if the same comparative trapping capacity would hold under higher C. anonae and C. cosyra abundance. While these results are consistent with those reported by [25] and [28] for the comparison of Torula yeast and BioLure, they are inconsistent with similar comparisons from other regions of Africa. In our study, Torula yeast was consistently more efficient than Mazoferm (except for C. anonae) which had broadly similar trapping efficiency to Torula yeast in Western and Eastern Africa. The study [59] also noted that Torula yeast was the preferred bait for detection and monitoring purposes over standard attractants such as Nulure and Mazoferm because its pH remained stable, over time, at 9.2.
The abundance of the main tephritids—B. dorsalis, C. cosyra and C. anonae—reported in this study varied between years and AEZs, especially in the WH-BR, where, in all the attractants, fruit fly counts in traps decreased from 2014 to 2015 to nearly 50% of the levels of the previous two years (2012–2013). The decrease in captures may be related to a combination of factors including the low production of mango varieties in the orchard due to ageing, poor tree maintenance, and the use of bait sprays in the fruit trees of the orchard surrounding the experimental block.
Long-term trapping conducted in this study established that the large within-year variations in fruit fly catches were linked to climatic conditions, but also to the direct effect of host fruit availability on the population build-up. Research paper [60] indicated that the seasonal fluctuations in most fruit fly species were characterized by high population levels during wet periods and low levels in dry periods. In our case, B. dorsalis and the two Ceratitis cycles corresponded consistently with the rainy season, between the end of April and mid-June in both AEZs. Rainfall has been reported as one of the key factors that can affect plant phenology and nutrient quality, and determine the rapid explosion of various Bactrocera species. Moreover, the catches of B. dorsalis and Ceratitis species males and females were found to be influenced by temperature, especially in HF-BR. Temperature is known to play an important role in the abundance of tephritids through its effect on the developmental rate, mortality, reproduction, and intensity of activity [26,29,51,61]. In HF-BR, the minimum temperature was significantly and positively correlated with male and female catches of B. dorsalis and C. anonae. This result suggested that an increase in temperature causes an increase in B. dorsalis and C. anonae populations, an observation consistent with the findings of [61] on B. dorsalis in South Africa. In contrast, the maximum temperature was negatively correlated with male and female catches of the three tephritids. This relationship between maximum temperature and catches of these tephritids shows the adverse impact of temperature increase on fruit fly captures and supports low populations observed in this agro-ecosystem during the dry season. The low values of the correlation coefficients obtained in the cases of significant influence of temperature, point to the involvement of other factors in this dynamic. A significant and positive correlation was obtained between rainfall and the catches of the three tephritids in the Foumbot orchard, and male catches of B. dorsalis in HF-BR. During this period of high humidity, between April and June, catches of these pests were more abundant, especially B. dorsalis. Populations of B. dorsalis were reported to increase with increasing rainfall [48,49]. Due to continuous rain (April-October) in the tropical forest of Central Africa, atmospheric humidity and soil moisture naturally increase, creating suitable conditions for puparia hatching and fruit development and availability that are important for fruit fly population buildup. In addition to being related to climatic conditions, the peaks of these tephritids were synchronized with the mango and guava seasons in each AEZ, especially when most of these fruits were physiologically mature. These mango and guava seasons occurred first in HF-BR and later in WH-MR. In general, host fruit availability inside orchards and the presence of alternative host fruits in the vicinity of orchards play an important role in increasing tephritid populations [12,51,62]. The availability of suitable host plants increases the number of fruits for larval development, and the alternative host plants offer survival bridges to tephritid populations in the off-seasons of the major fruit trees, and justify their presence throughout the year.
The number of puparia per kilogram of fruits varied significantly among fruit species in HF-BR, while it was the same in WH-MR. Bactrocera dorsalis emerged from fruits of 21 plant species belonging to 14 families, which represent about 50% of known B. dorsalis host plants [63]. Within this host range, the highest B. dorsalis infestations, in the two AEZs covered by this study, occurred in M. indica and P. guajava, two fruit species of economic importance in Cameroon and elsewhere in sub-Saharan Africa. These two major host fruits were collected in large quantities for 5 years and, therefore, provided a strong basis for confirming their suitability for B. dorsalis. Our findings were consistent with the results already reported by several studies from other African countries [11,13,55]. In addition to mango and guava, we recovered B. dorsalis from 13 other cultivated plants including A. muricata, A. carambola, A. montana, A. squamosa, D. edulis, C. reticulata, C. limon, C. papaya, P. americana, M. acuminata, M. paradisiaca, E. japonica and S. cytherea. These host plants constitute an important reservoir for the annual development of the pest [45]. In our study, A. carambola, Citrus spp., C. papaya, P. americana and S. cytherea were not favoured hosts by B. dorsalis, which confirms similar findings by other studies from the African continent [11,12,13]. Infestations of Citrus spp. by B. dorsalis seem to be an exception. Infestations of Citrus sinensis (L.) Osbeck by B. dorsalis in southern Benin was nearly comparable to mango infestations from the same region [64]. Differences in Citrus infestations by B. dorsalis among the various published studies could be due to varieties and other unknown factors. Similarly, in Tanzania, A. muricata was highly infested by B. dorsalis [49], whereas in this study, A. muricata was predominantly infested by C. cosyra. Annona species are well known as suitable hosts for several representatives of the Ceratitis genus [57,65]. We also identified B. dorsalis on Musa spp. as in two other studies from Africa [11,66]. Moreover, our study presents the first record of four new hosts by B. dorsalis including D. edulis, Irvingia wombolu, V. africana and T. abuta. The first three are widely distributed in Western and Central Africa, while the fourth—T. abut—is restricted to Central Africa [67]. Given the importance of D. edulis in Central Africa—owing to its nutritional value, economic role, and socio-cultural place—there is a need for a comprehensive study of B. dorsalis impact on the production of this important fruit species. Fruits of I. wombulu and the more widely distributed species I. gabonensis play an important role in maintaining the wild populations of the pest and its exotic parasitoid F. arisanus [68,69].
Ceratitis cosyra is a major pest of mango in sub-Saharan Africa. In our study, C. cosyra emerged from 10 host fruit species with the highest levels of infestation of fruits in the genus Annona. Infestation by C. cosyra was most frequent during the dry season (November–December) when B. dorsalis was least abundant, was notably absent in mango fruits in WH-MR, and occurred in very low numbers in fruits from HF-BR. These patterns of fruit infestations by C. cosyra suggest a gradual displacement of C. cosyra from mango fruits by B. dorsalis as reported in Kenya [11,70], Uganda [40], and Ghana [71] through interspecific competition [70,72]. Our studies were initiated in 2011, 7 years after B. dorsalis was first reported in Cameroon [13,34] and after it had become the dominant fruit fly species infesting mango. In addition to C. cosyra, the congeneric species C. anonae is known from at least 14 fruit species in equatorial Africa [65] where the fruit fly is widely distributed. In our study, C. anonae emerged from 13 fruit species, most of them in HF-BR, with a low number in mango and guava, and relatively high abundance in the wild fruit M. arboreaus and T. abut. Our results from guava contrast with those by [36] who reported 64% C. anonae emergence from guava in the HF-BR AEZ compared with ~6% obtained 7 years later in the present study. This apparent reduction in C. anonae populations from cultivated (guava and mango) may suggest a strong competition displacement of C. anonae by B. dorsalis which dominates fruit fly infestations of mango and guava fruits in Cameroon and elsewhere in Africa where the species occurs. In addition to host range shift, B. dorsalis also dominated C. anonae at higher altitude (WH-MR AEZ) where the latter species is well adapted. A very similar pattern was recently documented in numerous African countries where B. dorsalis significantly reduced host range and climatic niche of species already present, such as C. cosyra [11,12,70].
5. Conclusions
The present study of fruit fly species composition, their host range and seasonal abundance, and the use of attractants in two contrasting agro-ecological zones representing a cross-section of climates and conditions found in Central Africa, is, to our knowledge the first study to present this breadth of information from the region. Our study confirmed that host fruit availability and climate variables are the key factors that determine fluctuations in fruit fly species abundance across seasons and agro-ecological zones. The male lures methyl eugenol and terpinyl acetate were the best male attractants, respectively, of Bactrocera and Ceratitis species, and can be used, along with Torula yeast, for monitoring fruit fly abundance. Mango and guava were the major commercial host plants for B. dorsalis, while the non-commercial host plants Irvingia spp. play a key role in the persistence of B. dorsalis across seasons. Bactrocera dorsalis co-infests several host fruits with other tephritids, especially Ceratitis species, but they appeared in low numbers, except in A. muricata, M. arboreus, and S. latifolius. The information provided by this study, although limited to two agro-ecological zones, can contribute to designing an integrated fruit fly control program in Cameroon and other countries in Central Africa with similar conditions.
Author Contributions
Conceptualization, S.N.N., R.H. and A.F.K.; methodology, S.N.N., R.H. and D.G.; software, S.N.N.; validation, S.N.N., R.H., A.F.K. and D.G.; formal analysis, S.N.N.; investigation, S.N.N. and M.N.; resources, I.N., S.A.M. and S.E.; data curation, S.N.N. and A.F.K.; writing—original draft preparation, S.N.N.; writing—review and editing, K.K.M.F., A.F.K., D.G.; R.H. and S.A.M., visualization, K.K.M.F.; supervision, R.H., K.K.M.F., C.D.-L.; project administration, S.A.M. and S.E.; funding acquisition, R.H, S.A.M. and S.E. All authors have read and agreed to the published version of the manuscript.
Funding
This research was supported by IITA Core donors, CGIAR Humidtropics CRP, and the Federal Ministry for Economic Cooperation and Development (BMZ) (Project No.: 06.7860.7–001.00; Contract No.: 81091609) through the International Centre of Insect Physiology and Ecology (icipe).
Institutional Review Board Statement
Not applicable.
Data Availability Statement
The data presented in this study are available at https://doi.org/10.25502/2fr3-pd51/d and https://doi.org/10.25502/513v-yg51/d.
Acknowledgments
The authors thank R. Ayo Ayo (IITA), F. Abada (IITA), and S. Tchounkeu (IRAD) for their technical assistance. Sincere thanks also go to IRAD Foumbot Center Management for allowing us to conduct our studies in their orchard and all other farmers for access to fruits on their properties. Sincere thanks to our two anonymous reviewers for their helpful reviews of the manuscript. This research is part of the PhD dissertation of the senior author.
Conflicts of Interest
The authors declare no conflict of interest.
References
- White, I.M.; Elson-Harris, M.M. Fruit Flies of Economic Significance: Their Identification and Bionomics; CAB International: Wallingford, UK, 1992. [Google Scholar]
- De Meyer, M.; Robertson, M.P.; Mansell, M.W.; Ekesi, S.; Tsuruta, K.; Mwaiko, W.; Vayssières, J.-F.; Peterson, A.T. Ecological niche and potential geographic distribution of the invasive fruit fly Bactrocera invadens (Diptera, Tephritidae). Bull. Entomol. Res. 2010, 100, 35–48. [Google Scholar] [CrossRef] [PubMed]
- White, I.M. Taxonomy of the Dacinae (Diptera: Tephritidae) of Africa and the Middle East. Afr. Entomol. Mem. 2006, 2, 1–156. [Google Scholar]
- Gnanvossou, D.; Hanna, R.; Azandémè, G.; Georgen, G.; Tindo, T.; Agbaka, A. Inventaire et importance des dégâts des mouches de fruits sur quelques espèces de cucurbitaceae au Bénin. In Actes de l’atelier Scientifique National. Abomey Calavi; Adjanohoun, A., Igué, K., Eds.; IITA: Cotonou, Benin, 2008; Volume 6, pp. 140–145. [Google Scholar]
- De Meyer, M.; Ekesi, S. Exotic invasive fruit flies (Diptera: Tephritidae): In and out of Africa. In Fruit Fly Research and Development in Africa—Towards a Sustainable Management Strategy to Improve Horticulture; Ekesi, S., Mohamed, S.A., De Meyer, M., Eds.; Springer International Publishing: Cham, Switzerland, 2016; pp. 127–150. ISBN 978-3-319-43226-7. [Google Scholar]
- Lux, S.A.; Copeland, R.S.; White, I.M.; Manrakhan, A.; Billah, M.K. A new invasive fruit fly species from the Bactrocera dorsalis (Hendel) group detected in East Africa. Int. J. Trop. Insect Sci. 2003, 23, 355–361. [Google Scholar] [CrossRef]
- CABI. Invasive Species Compendium; CABI Publishing: Wallingford, UK, 2018. [Google Scholar]
- Hanna, R.; Gnanvossou, D.; Grout, T. Male annihilation for the control of Bactrocera invadens and Ceratitis cosyra in mango orchards. Fight. Fruit Veg. Flies Reg. West. Afr. 2008, 7, 3. [Google Scholar]
- Vayssières, J.-F.; Sinzogan, A.; Korie, S.; Ouagoussounon, I.; Thomas-Odjo, A. Effectiveness of spinosad bait sprays (GF-120) in controlling mango-infesting fruit flies (Diptera: Tephritidae) in Benin. J. Econ. Entomol. 2009, 102, 515–521. [Google Scholar] [CrossRef]
- Badii, K.B.; Billah, M.K.; Afreh-Nuamah, K.; Obeng-Ofori, D.; Nyarko, G. Review of the pest status, economic impact and management of fruit-infesting flies (Diptera: Tephritidae) in Africa. Afr. J. Agric. Res. 2015, 10, 1488–1498. [Google Scholar] [CrossRef]
- Rwomushana, I.; Ekesi, S.; Gordon, I.; Ogol, C.K. Host plants and host plant preference studies for Bactrocera invadens (Diptera: Tephritidae) in Kenya, a new invasive fruit fly species in Africa. Ann. Entomol. Soc. Am. 2008, 101, 331–340. [Google Scholar] [CrossRef]
- Mwatawala, M.W.; De Meyer, M.W.; Makundi, R.H.; Maerere, A.P. Host range and distribution of fruit-infesting pestiferous fruit flies (Diptera, Tephritidae) in selected areas of Central Tanzania. Bull. Entomol. Res. 2009, 99, 629. [Google Scholar] [CrossRef]
- Goergen, G.; Vayssières, J.-F.; Gnanvossou, D.; Tindo, M. Bactrocera invadens (Diptera: Tephritidae), a new invasive fruit fly pest for the Afrotropical region: Host plant range and distribution in West and Central Africa. Environ. Entomol. 2011, 40, 844–854. [Google Scholar] [CrossRef]
- Leblanc, L.; Fujita, B.; Stein, S.H.; Sawamura, W.K. Trapping records of fruit fly pest species (Diptera: Tephritidae) on Oahu (Hawaiian Islands): Analysis of spatial population trends. Proc. Hawaii. Entomol. Soc. 2012, 44, 89–97. [Google Scholar]
- EUNSPH Interceptions of harmful organisms in imported plants and other objects: Data from EUNSPH. Eur.-Eur. Union Notif. Syst. Plant Health EUNSPH 2018. Available online: https://food.ec.europa.eu/plants/plant-health-and-biosecurity/europhyt/interceptions_en (accessed on 5 May 2022).
- Ekesi, S.; Billah, M.K. A Field Guide to the Management of Economically Important Tephritid Fruit Flies in Africa; ICIPE Science Press: Nairobi, Kenya, 2006. [Google Scholar]
- Ekesi, S.; Vayssières, J.-F.; Hanna, R.; Meyer, M.D.; Goergen, G.; Malachrida, A. Status of Bactrocera invadens management in Africa: Recent advances, successes and challenges. In Abstracts of the 8th International Symposium on Fruit Flies of Economic Importance, Sabater; Munoz, B., Navarro, L.V., Garcia, U., Eds.; Editorial Universitat Politècnica: Valencia, Spain, 2010; p. 336. [Google Scholar]
- Appiah, E.F.; Ekesi, S.; Afreh-Nuamah, K.; Obeng-Ofori, D.; Mohamed, S.A. African weaver ant-produced semiochemicals impact on foraging behaviour and parasitism by the opiine parasitoid, Fopius arisanus on Bactrocera invadens (Diptera: Tephritidae). Biol. Control. 2014, 79, 49–57. [Google Scholar] [CrossRef]
- Muriithi, B.W.; Affognon, H.D.; Diiro, G.M.; Kingori, S.W.; Tanga, C.M.; Nderitu, P.W.; Mohamed, S.A.; Ekesi, S. Impact assessment of Integrated Pest Management (IPM) strategy for suppression of mango-infesting fruit flies in Kenya. Crop. Prot. 2016, 81, 20–29. [Google Scholar] [CrossRef]
- Vayssieres, J.-F.; Adandonon, A.; Sinzogan, A.; Korie, S. Diversity of fruit fly species (Diptera: Tephritidae) associated with citrus crops (Rutaceae) in southern Benin in 2008–2009. Int. J. Biol. Chem. Sci. 2010, 4, 6. [Google Scholar] [CrossRef][Green Version]
- Souza-Filho, M.F.; Raga, A.; Azevedo-Filho, J.A.; Strikis, P.C.; Guimarães, J.A.; Zucchi, R.A. Diversity and seasonality of fruit flies (Diptera: Tephritidae and Lonchaeidae) and their parasitoids (Hymenoptera: Braconidae and Figitidae) in orchards of guava, loquat and peach. Braz. J. Biol. 2009, 69, 31–40. [Google Scholar] [CrossRef]
- Ukey, N.S.; Chandele, A.G.; Wagh, S.S.; Bansode, G.M. Species composition of fruit flies, Bactrocera spp. (Diptera: Tephritidae) infesting guava in Maharashrtra. Pest Manag. Hortic. Ecosyst. 2013, 19, 242–244. [Google Scholar]
- Amice, R.; Sales, F. Seasonal abundance of fruit flies in New Caledonia. In Management of Fruit Flies in the Pacific; Allwood, A.J., Drew, R.A.I., Eds.; Australian Centre for International Agricultural Research: Canberra, Australia, 1997; pp. 134–139. [Google Scholar]
- Manrakhan, A. Detection and monitoring of fruit flies in Africa. In Fruit Fly Research and Development in Africa—Towards a Sustainable Management Strategy to Improve Horticulture; Ekesi, S., Mohamed, S., De Meyer, M., Eds.; Springer International Publishing: Cham, Switzerland, 2016; pp. 253–273. [Google Scholar]
- Ekesi, S.; Mohamed, S.; Tanga, C.M. Comparison of food-based attractants for Bactrocera invadens (Diptera: Tephritidae) and evaluation of Mazoferm—Spinosad bait spray for field suppression in mango. J. Econ. Entomol. 2014, 107, 299–309. [Google Scholar] [CrossRef]
- Gnanvossou, D.; Hanna, R.; Goergen, G.; Salifu, D.; Tanga, C.M.; Mohamed, S.A.; Ekesi, S. Diversity and seasonal abundance of tephritid fruit flies in three agro-ecosystems in Benin, West Africa. J. Appl. Entomol. 2017, 141, 798–809. [Google Scholar] [CrossRef]
- Manrakhan, A.; Daneel, J.-H.; Beck, R.; Virgilio, M.; Meganck, K.; De Meyer, M. Efficacy of trapping systems for monitoring of Afrotropical fruit flies. J. Appl. Entomol. 2017, 141, 825–840. [Google Scholar] [CrossRef]
- Hanna, R.; Gnanvossou, D.; Goergen, G.; Bokonon-Ganta, A.H.; Mohamed, S.A.; Ekesi, S.; Fiaboe, K.K.M.; Agnontchémè, A.I. Efficiency of food-based attractants for monitoring tephritid fruit flies diversity and abundance in mango systems across three West African agro-ecological zones. J. Econ. Entomol. 2020, 113, 860–871. [Google Scholar] [CrossRef]
- Rwomushana, I.; Ekesi, S.; Ogol, C.K.P.O.; Gordon, I. Effect of temperature on development and survival of immature stages of Bactrocera invadens (Diptera: Tephritidae). J. Appl. Entomol. 2008, 132, 832–839. [Google Scholar] [CrossRef]
- IAEA. Trapping Guideline for Areawide Fruit Fly Programmes; Non-Serial Publications: Vienna, Austria, 2003; 46p. [Google Scholar]
- Manrakhan, A. Fruit fly monitoring-purpose, tools and methodology. In A Field Guide to the Management of Economically Important Tephritid Fruit Flies in Africa; Ekesi, S., Billah, M.K., Eds.; ICIPE Science Press: Nairobi, Kenya, 2006; p. 14. [Google Scholar]
- Leblanc, L.; Vargas, R.I.; Rubinoff, D. Captures of pest fruit Flies (Diptera: Tephritidae) and non-target insects in BioLure and Torula yeast traps in Hawaii. Environ. Entomol. 2010, 39, 1626–1630. [Google Scholar] [CrossRef] [PubMed]
- FAO. Global Agro-Ecological Zones (GAEZv3.0) Model Documentation; FAO: Rome, Italy, 2012. [Google Scholar]
- Tindo, M.; Hanna, R.; Goergen, G. Preliminary survey of Tephritidae fruit flies (Diptera: Tephritidae) of economic importance in Southern Cameroun: Species diversity and potential for integrated management. In The First International Symposium on Crops Integrated Pest Management in the CEMAC Zone; Pefoura, A.M., Tindo, M., Ngoko, Z., Dibog, L., Eds.; 2005; pp. 39–43. [Google Scholar]
- Ngamo Tinkeu, L.; Ladang, D.; Vayssieres, J.-F.; Lyannaz, J. Diversité des espèces de mouches des fruits (Diptera: Tephritidae) dans un verger mixte dans la localité de Malang (Ngaoundéré, Cameroun). Int. J. Biol. Chem. Sci. 2010, 4, 1425–1434. [Google Scholar] [CrossRef]
- Ndzana Abanda, F.-X.; Quilici, S.; Vayssières, J.-F.; Kouodiekong, L.; Woin, N. Inventaire des espèces de mouches des fruits sur goyave dans la région de Yaoundé au Cameroun. Fruits 2008, 63, 19–26. [Google Scholar] [CrossRef]
- Mokam, D.G.; Aln, D.C.; Lumaret, J.-P.; Delvare, G.; Djieto-Lordon, C. First record of Dacus (Lophodacus) hamatus (Diptera: Tephritidae) in Cameroon, with emphasis on a new host plant Lagenaria siceraria (Cucurbitaceae). Afr. J. Agric. Res. 2014, 9, 636–642. [Google Scholar] [CrossRef]
- Ngom, E.; Ndjogui, E.; Nkongho, R.N.; Iyabano, A.; Levang, P.; Miaro, L.; Feintrenie, L. Diagnostic du secteur élæicole au Cameroun; CIRAD: Yaoundé, Cameroun, 2014. [Google Scholar] [CrossRef]
- Heumou, C.R.; Djiéto-Lordon, C.; Aléné, C.D.; Elono Azang, S.P. Diversity and agronomic status of tomato and pepper fruit pests in two agro-ecological zones of Southern Cameroon: Western highland and the Southern Plateau of Cameroon. Afr. J. Agric. Res. 2015, 10, 1224–1232. [Google Scholar]
- Isabirye, B.E.; Akol, A.M.; Mayamba, A.; Nankinga, C.K.; Rwomushana, I. Species composition and community structure of fruit flies (Diptera: Tephritidae) across major mango-growing regions in Uganda. Int. J. Trop. Insect Sci. 2015, 35, 69–79. [Google Scholar] [CrossRef]
- De Meyer, M. Revision of the subgenus Ceratitis (Pardalaspis) Bezzi, 1918 (Diptera, Tephritidae, Ceratitini). Syst. Entomol. 1996, 21, 15–26. [Google Scholar] [CrossRef]
- Virgilio, M.; White, I.; De Meyer, M. A set of multi-entry identification keys to African frugivorous flies (Diptera, Tephritidae). ZooKeys 2014, 428, 97–108. [Google Scholar] [CrossRef]
- Magurran, A.E. Measuring Biological Diversity; Blackwell Pub: Malden, MA, USA, 2004; ISBN 978-0-632-05633-0. [Google Scholar]
- Sarada, G.; Maheswari, T.U.; Purushotham, K. Seasonal incidence and population fluctuation of fruit flies in mango and guava. Indian J. Entomol. 2001, 63, 272–276. [Google Scholar]
- Ekesi, S.; Nderitu, P.W.; Rwomushana, I. Field infestation, life history and demographic parameters of the fruit fly Bactrocera invadens (Diptera: Tephritidae) in Africa. Bull. Entomol. Res. 2006, 96, 379–386. [Google Scholar]
- Colwell, R.K. Biodiversity: Concepts, patterns, and measurement. Princet. Guide Ecol. Princet. Univ. Press Princet. 2009, 663, 257–263. [Google Scholar]
- R Development Core Team R. A Language and Environment for Statistical Computing; R Foundation for Statistical Computer: Vienna, Austria, 2019. [Google Scholar]
- Vayssières, J.-F.; Goergen, G.; Lokossou, O.; Dossa, P.; Akponon, C. A new Bactrocera species in Benin among mango fruit fly (Diptera: Tephritidae) species. Fruits 2005, 60, 371–377. [Google Scholar] [CrossRef]
- Mwatawala, M.W.; De Meyer, M.W.; Makundi, R.H.; Maerere, A.P. Seasonality and host utilization of the invasive fruit fly, Bactrocera invadens (Dipt., Tephritidae) in Central Tanzania. J. Appl. Entomol. 2006, 130, 530–537. [Google Scholar] [CrossRef]
- Epsky, N.D.; Kendra, P.E.; Schnell, E.Q. History and development of food-based attractants. In Trapping and the Detection, Control, and Regulation of Tephritid Fruit Flies; Shelly, T., Epsky, N.B.J.E., Reyes-Flores, J., Vargas, R., Eds.; Springer: Dordrecht, The Netherlands, 2014; p. 643. [Google Scholar]
- Vayssières, J.-F.; De Meyer, M.; Ouagoussounon, I.; Sinzogan, A.; Adandonon, A.; Korie, S.; Wargui, R.; Anato, F.; Houngbo, H.; Didier, C.; et al. Seasonal abundance of mango fruit flies (Diptera: Tephritidae) and ecological implications for their management in mango and cashew orchards in Benin (Centre & North). J. Econ. Entomol. 2015, 108, 2213–2230. [Google Scholar] [CrossRef]
- Rwomushana, I.; Ekesi, S.; Ogol, C.K.P.O.; Gordon, I. Mechanisms contributing to the competitive success of the invasive fruit fly Bactrocera invadens over the indigenous mango fruit fly, Ceratitis cosyra: The role of temperature and resource pre-emption. Entomol. Exp. Appl. 2009, 133, 27–37. [Google Scholar] [CrossRef]
- Jose, L.; Cugala, D.; Santos, L. Assessment of invasive fruit fly fruit infestation and damage in Cabo Delgado province, northern Mozambique. Afr. Crop. Sci. J. 2013, 21, 21–28. [Google Scholar]
- Ouédraogo, S.N.; Vayssières, J.-F.; Rémy Dabiré, A.; Rouland-Lefèvre, C. Biodiversité des mouches des fruits (Diptera: Tephritidae) en vergers de manguiers de l’Ouest du Burkina Faso: Structure et comparaison des communautés de différents sites. Fruits 2011, 66, 393–404. [Google Scholar] [CrossRef][Green Version]
- N’Dépo, O.R.; Hala, N.; Allou, K.; Aboua, L.R.; Kouassi, K.P.; Vayssières, J.-F.; De Meyer, M. Abondance des mouches des fruits dans les zones de production fruitières de Côte d’Ivoire: Dynamique des populations de Bactrocera invadens (Diptera: Tephritidae). Fruits 2009, 64, 313–324. [Google Scholar] [CrossRef][Green Version]
- Geurts, K.; Mwatawala, M.W.; De Meyer, M. Dominance of an invasive fruit fly species, Bactrocera invadens, along an altitudinal transect in Morogoro, Eastern Central Tanzania. Bull. Entomol. Res. 2014, 104, 288–294. [Google Scholar] [CrossRef]
- De Meyer, M.; Copeland, R.S.; Lux, S.; Mansell, M.; Whartone, R.; White, I.M.; Zenz, N. Annotated checklist of host plants for Afrotropical fruit flies (Diptera: Tephritidae) of the genus Ceratitis. Zoologische Documentatie KoninklijkMuseum voor Midden Afrika 2002, 27, 1–92. [Google Scholar]
- De Villiers, M.; Manrakhan, A.; Addison, P.; Hattingh, V. The Distribution, relative abundance, and seasonal phenology of Ceratitis capitata, Ceratitis rosa, and Ceratitis cosyra (Diptera: Tephritidae) in South Africa. Environ. Entomol. 2013, 42, 831–840. [Google Scholar] [CrossRef] [PubMed]
- Messing, R. Managing fruit flies on farms in Hawaii. Insect Pests, College of Tropical Agriculture and Human Resources, University of Hawaii at Manoa. Insect Pests 1999, 4, 1–8. [Google Scholar]
- Bateman, M.A. The ecology of fruit flies. Annu. Rev. Entomol. 1972, 17, 493–518. [Google Scholar] [CrossRef]
- Theron, C.D.; Manrakhan, A.; Weldon, C.W. Host use of the oriental fruit fly, Bactrocera dorsalis (Hendel) (Diptera: Tephritidae), in South Africa. J. Appl. Entomol. 2017, 141, 810–816. [Google Scholar] [CrossRef]
- Raghu, S.; Drew, R.A.I.; Clarke, A.R. Influence of host plant structure and microclimate on the abundance and behavior of a tephritid fly. J. Insect Behav. 2004, 17, 179–190. [Google Scholar] [CrossRef]
- CABI Bactrocera dorsalis. Invasive Species Compendium; CAB International: Wallingford, UK, 2022. [Google Scholar]
- Hanna, R.; Agnontcheme, D.; Gnanvossou, D.; Goergen, G.; Agbaka, A. Inventaire et importance des dégâts des mouches des fruits sur quelques variétés d agrumes au Bénin. In Actes de l’atelier Scientifique National, 6; Bibliotheque Nationale: Abomey-Calavi, Benin, 2008; pp. 128–139. [Google Scholar]
- Copeland, R.S.; Wharton, R.A.; Luke, Q.; De Meyer, M.; Lux, S.; Zenz, N.; Machera, P.; Okumu, M. Geographic distribution, host fruit, and parasitoids of African fruit fly pests Ceratitis anonae, Ceratitis cosyra, Ceratitis fasciventris, and Ceratitis rosa (Diptera: Tephritidae) in Kenya. Ann. Entomol. Soc. Am. 2006, 99, 261–278. [Google Scholar] [CrossRef]
- Cugala, D.; Ekesi, S.; Ambasse, D.; Adamu, R.S.; Mohamed, S.A. Assessment of ripening stages of Cavendish dwarf bananas as host or non-host to Bactrocera invadens. J. Appl. Entomol. 2014, 138, 449–457. [Google Scholar] [CrossRef]
- gbif.org Search. Available online: https://www.gbif.org/species/search?q= (accessed on 5 May 2022).
- Gnanvossou, D.; Hanna, R.; Bokonon-Ganta, A.; Ekesi, S.; Mohamed, S.A. Release, establishment and spread of the natural enemy Fopius arisanus (Hymenoptera: Braconidae) for control of the invasive Oriental fruit fly Bactrocera dorsalis (Diptera: Tephritidae) in Benin, West Africa. In Fruit Fly Research and Development in Africa—Towards a Sustainable Management Strategy to Improve Horticulture; Ekesi, S., Mohamed, S.A., De Meyer, M., Eds.; Springer: Cham, Switzerland, 2016; pp. 575–600. ISBN 978-3-319-43224-3. [Google Scholar]
- Nanga Nanga, S.; Hanna, R.; Gnanvossou, D.; Fotso Kuate, A.; Fiaboe, K.K.M.; Djieto-Lordon, C. Fruit preference, parasitism, and offspring fitness of Fopius arisanus (Hymenoptera: Braconidae) exposed to Bactrocera dorsalis’ (Diptera: Tephritidae) infested fruit species. Environ. Entomol. 2019, 48, 1286–1296. [Google Scholar] [CrossRef]
- Ekesi, S.; Billah, M.K.; Nderitu, P.W.; Lux, S.A.; Rwomushana, I. Evidence for competitive displacement of Ceratitis cosyra by the invasive fruit fly Bactrocera invadens (Diptera: Tephritidae) on mango and mechanisms contributing to the displacement. J. Econ. Entomol. 2009, 102, 981–991. [Google Scholar] [CrossRef]
- Badii, K.B.; Billah, M.K.; Afreh-Nuamah, K.; Obeng-Ofori, D. Species composition and host range of fruit-infesting flies (Diptera: Tephritidae) in Northern Ghana. Int. J. Trop. Insect Sci. 2015, 35, 137–151. [Google Scholar] [CrossRef]
- De Meyer, M.; Mohamed, S.; White, M. Invasive Fruit Fly Pests in Africa: A Diagnostic Tool and Information Reference for the four Asian Species of Fruit Fly (Diptera, Tephritidae) that Have Become Accidentally Established as Pests in Africa, Including the Indian Ocean Islands. Available online: http://www.africamuseum.be/fruitfly/AfroAsia.htm (accessed on 14 February 2016).
Publisher’s Note: MDPI stays neutral with regard to jurisdictional claims in published maps and institutional affiliations. |
© 2022 by the authors. Licensee MDPI, Basel, Switzerland. This article is an open access article distributed under the terms and conditions of the Creative Commons Attribution (CC BY) license (https://creativecommons.org/licenses/by/4.0/).




