Natural and Synthetic Repellents for Pest Management of the Storage Mite Tyrophagus putrescentiae (Schrank) (Sarcoptiformes: Acaridae)
Abstract
Simple Summary
Abstract
1. Introduction
2. Materials and Methods
2.1. Mite Cultures and Ham Used
2.2. Chemicals
2.3. Repellency of Test Compounds Using Two-Choice Orientation Assay
2.4. Mite Orientation and Oviposition Bioassay
2.5. Mite Population Growth
2.6. Statistical Analyses
3. Results
3.1. Two-Choice Orientation Assays
3.2. Mite Orientation and Oviposition on Treated Ham Cubes
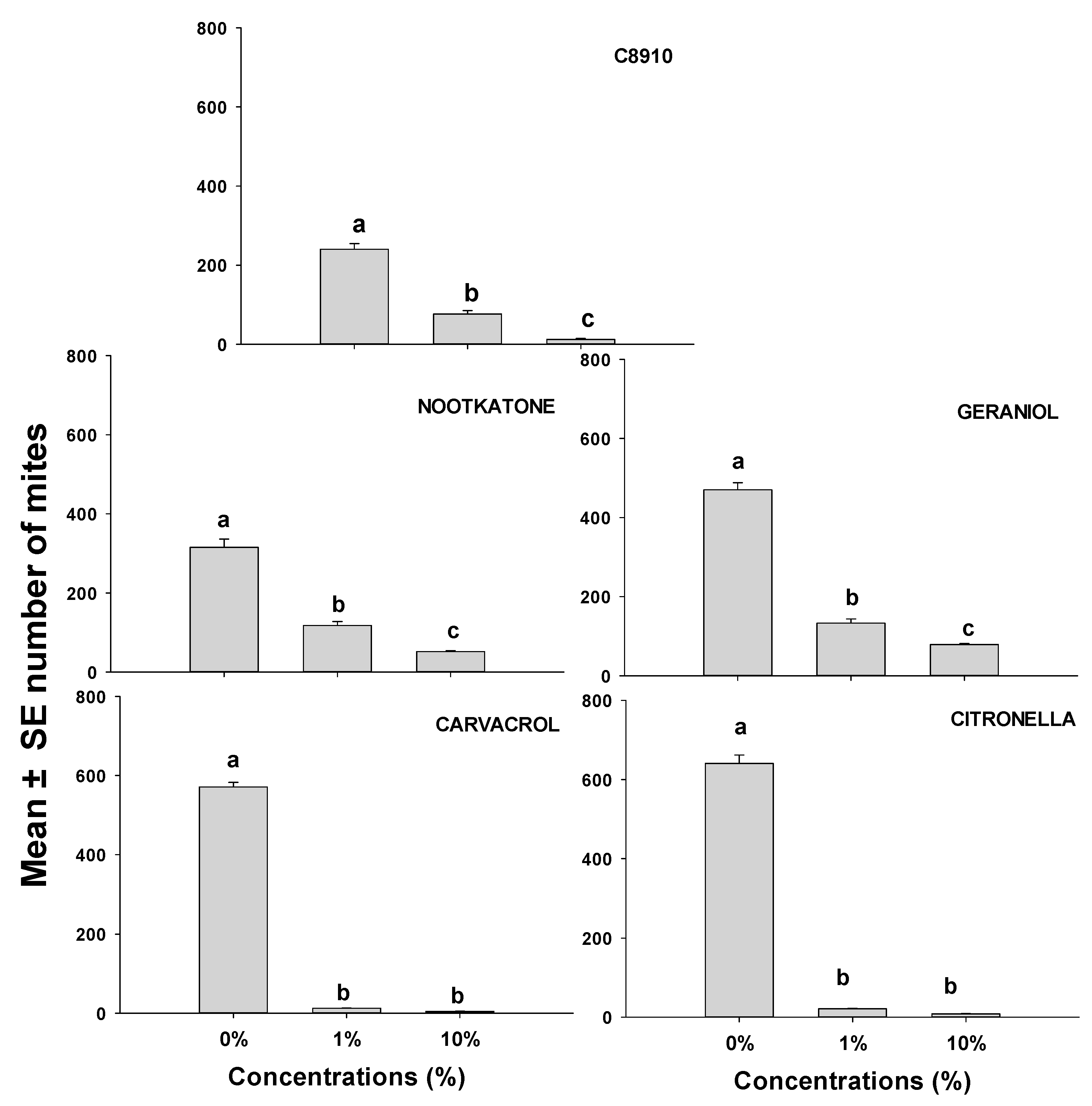
3.3. Mite Reproduction Assay
4. Discussion
5. Conclusions
Author Contributions
Funding
Acknowledgments
Conflicts of Interest
References
- Erban, T.; Rybanska, D.; Hubert, J. Population growth of the generalist mite Tyrophagus putrescentiae (Acari: Acaridida) following adaptation to high- or low-Fat and high- or low-protein diets and the effect of dietary switch. Environ. Entomol. 2015, 44, 1599–1604. [Google Scholar] [CrossRef]
- Al-Nasser, A.S. Quantitative survey of stored products mites infesting wheat flour in Jeddah Governorate. J. Entomol. Nematol. 2017, 3, 200–206. [Google Scholar]
- Athanassiou, C.; Palyvos, N.; Eliopoulos, P.; Papadoulis, G.T. Mites associated with stored seed cotton and related products in Greece. Phytoparasitica 2002, 30, 387–394. [Google Scholar] [CrossRef]
- Ayguna, O.; Yaman, M.; Durmaz, H. A survey on occurrence of Tyrophagus putrescentiae (Acari: Acaricide) in Surk, a traditional Turkish diary product. J. Food Eng. 2007, 78, 878–881. [Google Scholar] [CrossRef]
- Rentfrow, G.; Hanson, D.J.; Schilling, M.W.; Mikel, W.B. The Use of Methyl Bromide to Control Insects in Country Hams in the Southeastern United States; University of Kentucky Extension/National Country Ham Association, (Extension Publication # ASC-171): Lexington, KY, USA, 2008. [Google Scholar]
- Athanassiou, C.; Kavallieratos, N.; Sciarreta, A.; Palyvos, N.; Trematerra, P. Spatial associations of insects and mites in stored wheat. J. Econ. Entomol. 2011, 104, 1752–1764. [Google Scholar] [CrossRef] [PubMed]
- Marriot, N.; Schilling, M. Dry Cured Pork Research Review White Paper; National Country Ham Association Inc.: Lexington, KY, USA, 2004; pp. 1–62. [Google Scholar]
- Sekhon, R.K.; Schilling, M.W.; Phillips, T.W.; Aikins, M.J.; Hasan, M.M.; Mikel, W.B. Sulfuryl fluoride fumigation effects on the safety, volatile composition and sensory quality of dry cured ham. Meat Sci. 2010, 84, 505–511. [Google Scholar] [CrossRef] [PubMed]
- Environmental Protection Agency. Final Rulemaking: The 2006 Critical Use Exemption from the Phase-Out of Methyl Bromide. 2006. Available online: http://www.epa.gov/spdpublc/mbr/ (accessed on 2 January 2019).
- Nerio, L.S.; Olivero-Verbel, J.; Stashenko, E. Repellent Activity of Essential Oils: A Review. Bioresour. Technol. 2010, 101, 372–378. Available online: https://www.researchgate.net/publication/26788511_Repellent_activity_of_essential_oils_A_review (accessed on 2 January 2019). [CrossRef] [PubMed]
- Sánchez-Ramos, I.I.; Castañera, P. Acaricidal activity of natural monoterpenes on Tyrophagus putrescentiae (Schrank), a mite of stored food. J. Stored Prod. Res. 2000, 37, 93–101. [Google Scholar] [CrossRef]
- Abbar, S.; Amoah, B.; Schilling, M.W.; Phillips, T. Efficacy of selected food-safe compounds to prevent infestation of mold mites, Tyrophagus putrescentiae (Schrank) (Acarina: Acaridae), on southern dry-cured hams. Pest Manag. Sci. 2016, 72, 1604–1612. [Google Scholar] [CrossRef] [PubMed]
- Amoah, B.; Schilling, M.W.; Phillips, T.W. Monitoring Tyrophagus putrescentiae (Acari: Acaridae) with traps in dry-cured ham aging ooms. Environ. Entomol. 2016, 45, 1029–1039. [Google Scholar] [CrossRef]
- Zhao, Y.; Abbar, S.; Phillips, T.W.; Williams, J.B.; Smith, B.S.; Schilling, M.W. Developing food-grade coatings for dry-cured hams to protect against ham mite infestation. Meat Sci. 2016, 113, 73–79. [Google Scholar] [CrossRef]
- Zhang, X.; Campbell, Y.L.; Phillips, T.W.; Abbar, S.; Goddard, J.; Schilling, M. Application of Food-Grade Ingredients to Nets for Dry Cured Hams to Control Mite Infestations. Meat Muscle Biol. 2017, 1. [Google Scholar] [CrossRef]
- Reifenrath, W.G. Pesticidal Compositions for Insects and Arthropods. Patent No. WO2010121142A2, 21 October 2010. Available online: http://www.google.com/patents/WO2010121142A2?cl=en (accessed on 2 January 2019).
- King, M.D.; Rennie, A.R.; Thompson, K.C.; Fisher, F.N.; Dong, R.K.; Pfrang, T.C.; Hughes, A.V. Oxidation of oleic acid at air-water interface and its potential effects on cloud critical super saturations. Phys. Chem. 2009, 11, 7699–7707. [Google Scholar]
- Dunford, J.C.; Wirtz, R.A.; Reifenrath, W.G.; Falconer, A.; Leite, L.N.; Brogdon, W.G. Determination of insecticidal effect (LCD50 and LCD90) of organic fatty acids mixture (C8910 + silicone) against malaria vectors. J. Parasitol. Vector Biol. 2014, 6, 131–141. [Google Scholar]
- Samuel, M.; Oliver, S.V.; Wood, O.R.; Coetzee, M.; Brooke, B.D. Evaluation of the toxicity and repellence of an organic fatty acids mixture (C8910) against insecticide susceptible and resistant strains of the major malaria vector Anopheles funestus Giles (Diptera: Culicidae). Parasite Vectors 2015, 8, 321. [Google Scholar] [CrossRef][Green Version]
- Mullen, B.A.; Reifenrath, W.G.; Butler, S.M. Laboratory trials of fatty acids as repellents or antifeedants against houseflies, horn flies and stable flies (Diptera: Muscidae). Pest Manag. Sci. 2009, 65, 1360–1366. [Google Scholar] [CrossRef]
- Mao, L.; Henderson, G. Evaluation of potential use of nootkatone against maize weevil (Sitophilus zeamais and rice weevil (S. oryzae) (L.) (Coleoptera: Curculionidae). J. Stored Prod. Res. 2010, 46, 129–132. [Google Scholar] [CrossRef]
- Tunón, H.; Thorsell, W.; Mikiver, A.; Malander, I. Arthropod repellency, especially tick (Ixodes ricinus), exerted by extract from Artemisia abrotanum and essential oil from flowers of Dianthus caryophyllum. Fitoterapia 2006, 77, 257–261. [Google Scholar] [CrossRef] [PubMed]
- Omolo, M.O.; Okinyo, D.; Ndiege, I.O.; Lwande, W.; Hassanali, A. Repellency of essential oils of some Kenyan plants against Anopheles gambiae. Phytochemistry 2004, 65, 2797–2802. [Google Scholar] [CrossRef] [PubMed]
- Odalo, J.O.; Omolo, M.O.; Malebo, H.; Angira, J.; Njeru, P.M.; Ndiege, I.O.; Hassanali, A. Repellency of essential oils of some plants from the Kenyan coast against Anopheles gambiae. Acta Trop. 2005, 95, 210–218. [Google Scholar] [CrossRef]
- Isman, M.B. Botanical insecticides, deterrents, and repellents in modern agriculture and an increasingly regulated world. Annu. Rev. Entomol. 2006, 51, 45–66. [Google Scholar] [CrossRef]
- Environmental Protection Agency. Citronella Factsheet: Oil of Citronella in R.E.D. Facts. 1997. Available online: https://www3.epa.gov/pesticides/chem_search/reg_actions/reregistration/fs_PC-021901_1-Feb-97.pdf (accessed on 14 June 2019).
- Osmani, Z.; Anees, I.; Naidu, M. Insect repellent creams from essential oils. Pesticides 1972, 6, 9–11. [Google Scholar]
- Suwonkerd, W.; Tantrarongronj, K. Efficacy of essential oils against mosquito biting. Commun. Dis. J. 1994, 20, 9–21. [Google Scholar]
- Barnard, D.R.; Xue, R.D. Laboratory evaluation of mosquito repellents against Aedes alnopictus, Culex nigripalpus and Ochhlerotatus triseriatis (Diptera: Culicidae). J. Med. Entomol. 2004, 41, 726–730. [Google Scholar] [CrossRef] [PubMed]
- Amer, A.; Mehlhorn, H. Repellency effect of forty one essential oils against Aedes, Anopheles and Culex mosquitoes. Parasitol. Res. 2006, 99, 478–490. [Google Scholar] [CrossRef]
- Büchel, K.; Bendin, J.; Gharbi, A.; Rahlenbeck, S.; Dautel, H. Repellent efficacy of DEET, Icaridin, and EBAAP against Ixodes ricinus and Ixodes scapularis nymphs (Acari, Ixodidae). Ticks Tick-Borne Dis. 2015, 6, 494–498. [Google Scholar] [CrossRef]
- Koko, W.J.; Chandrapatya, A. Repellency, fumigant and contact toxicities of Melaleuca cajuputi Powell against Sitophilus zeamis Motschulsky and Tribolium castaneum Herbst Thai. J. Agric. Sci. 2009, 42, 27–33. [Google Scholar]
- Raffa, K.F.; Havill, N.P.; Nordheim, E.V. How many choices can you test animal compare effectively? Evaluating a critical assumption of behavioral preference tests. Oecologia 2002, 133, 422–429. [Google Scholar] [CrossRef]
- Regnault-Roger, C. The potential of botanical essential oils for insect pest control. Integr. Pest Manag. Rev. 1997, 2, 25–34. [Google Scholar] [CrossRef]
- Suelen, L.R.; Mantello, A.G.; Macedo, J.M.; Gelfuso, E.A.; Cassi Pda, S.; Fachin, A.L.; Cardoso, A.M.; Beleboni, R.O. Typical monoterpenes as insecticdes and repellents against stored grain pests. Molecules 2016, 21, 258. [Google Scholar] [CrossRef]
- Ramadan, G.R.M.; Abdelgaleil, S.A.M.; Shawir, M.S.; El-bakery, A.S.; Zhu, K.Y.; Phillips, T.W. Terpenoids, DEET and short chain fatty acids as toxicants and repellents for Rhyzopertha dominica (coleoptera: Bostrichida) and Lasioderma serricorne (Coleoptera: Ptinidae). J. Stored Prod. Res. 2020, 7, 101–610. [Google Scholar]
- Kalita, B.; Bora, S.; Sharma, A.K. Plant Essential oils as mosquito repellents—A review. Int. J. Res. Dev. Pharm. Life Sci. 2014, 3, 741–747. [Google Scholar]
- Muller, G.C.; Junnila, A.; Butler, J.; Kravchenko, V.D.; Revay, E.E.; Weiss, R.W.; Schlein, Y. Efficacy of the botanical repellents geraniol, linalool and cintronella against mosquitoes. J. Vector Ecol. 2009, 34, 2–8. [Google Scholar] [CrossRef]
- Zhang, J.S.; Zhao, N.N.; Liu, Z.L.; Du, S.S.; Zhou, L.; Deng, Z.W. Repellent constituents of Essentail oils of Cymbopogon distans aerial parts against two-stored product insects. J. Agric. Food Chem. 2011, 59, 9910–9915. [Google Scholar] [CrossRef] [PubMed]
- Chen, W.; Viljoen, A.M. Geraniol—A review of a commercially important fragrance material. S. Afr. J. Bot. 2010, 76, 643–651. [Google Scholar] [CrossRef]
- Hao, H.; Wei, J.; Dai, D.; Du, J. Host-Seeking and Blood-Feeding Behavior of Aedes albopictus (Diptera: Culicidae) Exposed to Vapors of Geraniol, Citral, Citronellal, Eugenol, or Anisaldehyde. J. Med. Entomol. 2008, 45, 533–539. [Google Scholar] [CrossRef] [PubMed]
- Wong, K.K.Y.; Signal, F.A.; Campion, S.; Motion, R.S. Citronella as an insect repellent in food packaging. J. Agric. Food Chem. 2005, 53, 4633–4636. [Google Scholar] [CrossRef]
- Licciardello, F.; Muratore, G.; Suma, P.; Russo, A.; Nerin, C. Effectiveness of a novel insect-repellent food packaging incorporating essential oils against the red flour beetle (Tribolium castaneum). Innov. Food Sci. Emerg. Technol. 2013, 19, 173–180. [Google Scholar] [CrossRef]
- Carroll, J.F.; Betul, D.; Kramer, M.; Bernier, U.R.; Agramonte, N.M.; Husnu Can Baser, K.; Tabanca, N. Repellency of the Origanum onites L. essential oil and constituents to the lone star tick and yellow fever mosquito. Nat. Prod. Res. 2017, 1478–6427. [Google Scholar] [CrossRef][Green Version]
- Jordan, R.A.; Schulze, T.L.; Dolan, M.C. Efficacy of plant-derived and synthetic compounds on clothing as repellents against Ixodes scapularis and Amblyomma americanum (Acari: Ixodidae). J. Med. Entomol. 2012, 49, 101–106. [Google Scholar] [CrossRef]
- Dickens, J.C.; Bohbot, J.D. Mini review: Mode of action of mosquito repellents. Pestic. Biochem. Physiol. 2013, 106, 149–155. [Google Scholar] [CrossRef]
- Naeem, A.; Abbas, T.; Ali, T.M.; Hasnian, A. Essential Oils: Brief Background and Uses. Ann. Short Rep. 2018, 1, 1006. [Google Scholar]
- Sarkic, A.; Stappen, I. Essential oils and their single compounds in comestics—A critical review. Cosmetics 2018, 5, 11. [Google Scholar] [CrossRef]
- Rodriguez, J.G. Inhibition of acarid mite development by fatty acids. In Insect and Mite Nutrition; Rodriguez, J.G., Ed.; North-Holland Publishing Company: Amsterdam, The Netherlands, 1972; pp. 637–650. [Google Scholar]
- Rogers, W.; Campbell, Y.L.; Zhang, X.; Shao, W.; White, S.; Phillips, T.W.; Schilling, M.W. The application of food grade short chain fatty acids to prevent infestation of Tyrophagus putrescentiae on dry cured ham and the effects on sensory properties. J. Stored Prod. Res. 2020, 88, 101684. [Google Scholar] [CrossRef]
- Pinheiro, P.F.; Tebaldi de Queiroz, V.; Rondelli, V.M.; Costa, A.V.; Marcelino, T.P.; Pratissoli, D. Insecticidal activity of citronella grass essential oil on Frankliniella schultzei and Myzus persicae. Ciênc. Agrotechnol. Lavras 2013, 37, 138–144. [Google Scholar] [CrossRef]
- Park, J.; Jeon, Y.; Lee, C.; Chaung, N.; Lee, H.-S. Insecticidal toxicities of carvacrol and thymol derived from Thymus vulgaris Lin. against Pochazia shantungensis Chou & Lu., newly recorded pest. Sci. Rep. 2017, 7, 40902. [Google Scholar] [CrossRef]



| Category | Commercial Compound Name | Chemical Name or Natural Source | Supplier 2 |
|---|---|---|---|
| Plant Terpenes | Carvacrol | Thyme, Thymus spp. | Sigma Aldrich |
| Citronella oil 1 | Lemon grass, Cymbopogon spp. | Sigma Aldrich | |
| Geraniol | Rose oil, Rosa spp. | Sigma Aldrich | |
| Nootkatone | Grapefruit, Citrus sinensis × C. maxima | Sigma Aldrich | |
| Synthetic repellents | C8910 | Octanoic, Nonanoic and Decanoic acids | Emery Oleochemical LLC |
| DEET | N, N-Diethyl-3-methylbenzamide | Sigma Aldrich | |
| Icaridin | 1-(1-Methylpropoxycarbonyl)-2-(2-hydroxyethyl)piperidine | Sigma Aldrich |
| Compound | Time (h) | Concentration (ppm) | ||||
|---|---|---|---|---|---|---|
| 25 | 50 | 75 | 100 | 150 | ||
| C8910 | 1 | 20.0 (7.3) Bc | 52.0 (9.8) Aab | 38.7 (2.5) bc | 68.0 (2.5) a | 69.3 (4.5) a |
| 2 | 38.7 (4.9) ABb | 66.7 (6.7) Aa | 62.7 (3.4) a | 73.3 (6.3) a | 74.7 (5.3) a | |
| 3 | 60.0 (3.7) Ab | 74.7 (4.4) Aab | 65.3 (6.5) ab | 82.7 (2.7) a | 74.7 (4.9) a | |
| 24 | 26.7 (8.7) Bc | 70.7 (12.8) Aab | 41.3 (9.3) bc | 60.0 (8.7) abc | 89.3 (4.9) a | |
| 48 | 28.6 (12.4) Bbc | 13.2 (3.6) Bc | 73.3 (11.4) a | 53.7 (12.1) ab | 87.0 (6.3) a | |
| Nookatone | 1 | 36.0 (5.4) Ba | 50.7 (6.2) a | 61.3 (7.7) a | 68.0 (11.4) a | 68.0 (9.0) a |
| 2 | 44.0 (6.5) ABc | 58.7 (8.3) bc | 62.7 (7.8) bc | 86.7 (6.3) a | 77.3 (3.4) ab | |
| 3 | 42.7 (5.8) ABb | 52.0 (6.5) ab | 65.3 (6.8) ab | 76.0 (7.5) a | 78.7 (7.7) a | |
| 24 | 45.3 (9.0) ABb | 47.3 (12.8) b | 48.0 (10.6) b | 50.7 (17.8) b | 82.8 (5.4) a | |
| 48 | 56.3 (8.6) Ab | 55.9 (13.5) b | 57.4 (10.5) b | 85.3 (3.9) ab | 90.2 (4.8) a | |
| Geraniol | 1 | 62.7 (8.6) a | 66.4 (8.9) a | 71.8 (7.5) Aa | 75.5 (2.6) a | 84.7 (7.4) a |
| 2 | 45.2 (9.7) b | 63.8 (7.6) ab | 60.2 (7.8) ABab | 70.5 (8.8) ab | 82.3 (8.9) a | |
| 3 | 57.4 (5.7) b | 71.8 (9.1) ab | 62.7 (8.0) ABab | 70.4 (6.1) ab | 89.5 (4.5) a | |
| 24 | 49.2 (7.7) b | 40.1 (6.1) b | 33.1 (6.9) Bb | 59.1 (11.6) ab | 73.0 (4.4) a | |
| 48 | 58.5 (5.8) a | 66.6 (5.3) a | 64.1 (8.7) Aa | 81.5 (5.7) a | 83.3 (7.6) a | |
| Compound | Concentration (ppm) | Mean (± SE) | Number of | Eggs @ 48 h | |
|---|---|---|---|---|---|
| C8910 | Control | Treated | t-Value (df) | p-Value | |
| 25 | 64.7 (2.9) | 35.3 (3.0) | 7.0 (4) | <0.01 | |
| 50 | 62.2 (4.6) | 37.8 (4.6) | 3.6 (4) | <0.01 | |
| 75 | 90.2 (3.6) | 9.8 (3.5) | 15.8 (4) | <0.01 | |
| 100 | 78.9 (6.7) | 21.1 (6.7) | 6.1 (4) | <0.01 | |
| 150 | 90.9 (4.8) | 9.1 (4.8) | 12.1 (4) | <0.01 | |
| Nootkatone | 25 | 76.7 (19.4) | 3.3 (3.3) | 3.7(4) | <0.02 |
| 50 | 92.0 (8.0) | 8.0 (8.0) | 7.4 (4) | <0.01 | |
| 75 | 81.7 (8.9) | 18.3 (8.9) | 5.0 (4) | <0.01 | |
| 100 | 100.0 (0.0) | 0.0 (0.0) | - | - | |
| 150 | 98.2(1.82) | 1.8 (1.8) | 37.5 (4) | <0.01 | |
| Geraniol | 25 | 92.5 (7.5) | 7.5 (7.5) | 8.0 (4) | <0.01 |
| 50 | 96.7 (3.3) | 3.3 (3.3) | 19.8 (4) | <0.01 | |
| 75 | 91.0 (5.6) | 9.0 (5.6) | 10.4 (4) | <0.01 | |
| 100 | 96.7 (3.3) | 3.3(3.3) | 19.8 (4) | <0.01 | |
| 150 | 100.0 (0.0) | 0.0 (0.0) | - | - |
Publisher’s Note: MDPI stays neutral with regard to jurisdictional claims in published maps and institutional affiliations. |
© 2021 by the authors. Licensee MDPI, Basel, Switzerland. This article is an open access article distributed under the terms and conditions of the Creative Commons Attribution (CC BY) license (https://creativecommons.org/licenses/by/4.0/).
Share and Cite
Manu, N.; Schilling, M.W.; Phillips, T.W. Natural and Synthetic Repellents for Pest Management of the Storage Mite Tyrophagus putrescentiae (Schrank) (Sarcoptiformes: Acaridae). Insects 2021, 12, 711. https://doi.org/10.3390/insects12080711
Manu N, Schilling MW, Phillips TW. Natural and Synthetic Repellents for Pest Management of the Storage Mite Tyrophagus putrescentiae (Schrank) (Sarcoptiformes: Acaridae). Insects. 2021; 12(8):711. https://doi.org/10.3390/insects12080711
Chicago/Turabian StyleManu, Naomi, Mark Wesley Schilling, and Thomas Wesley Phillips. 2021. "Natural and Synthetic Repellents for Pest Management of the Storage Mite Tyrophagus putrescentiae (Schrank) (Sarcoptiformes: Acaridae)" Insects 12, no. 8: 711. https://doi.org/10.3390/insects12080711
APA StyleManu, N., Schilling, M. W., & Phillips, T. W. (2021). Natural and Synthetic Repellents for Pest Management of the Storage Mite Tyrophagus putrescentiae (Schrank) (Sarcoptiformes: Acaridae). Insects, 12(8), 711. https://doi.org/10.3390/insects12080711
