Differences in the Susceptibility to Commercial Insecticides among Populations of the Lesser Mealworm Alphitobius diaperinus Collected from Poultry Houses in France
Abstract
Simple Summary
Abstract
1. Introduction
2. Materials and Methods
2.1. Collection of Insects
2.2. Commercial Insecticides
2.3. Recovery Ability after Short-Term Contact Exposure
2.4. Dynamics of Survival during Prolonged Contact Exposure
2.5. Statistical Analyses
3. Results
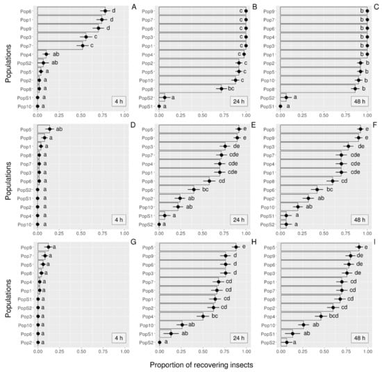
3.1. Recovery Ability
3.2. Survival Rates
4. Discussion
Supplementary Materials
Author Contributions
Funding
Data Availability Statement
Acknowledgments
Conflicts of Interest
References
- Oerke, E. Crop losses to pests. J. Agric. Sci. 2006, 144, 31–43. [Google Scholar] [CrossRef]
- Simon-Delso, N.; Amaral-Rogers, V.; Belzunces, L.P.; Bonmatin, J.M.; Chagnon, M.; Downs, C.; Furlan, L.; Gibbons, D.W.; Giorio, C.; Girolami, V.; et al. Systemic insecticides (neonicotinoids and fipronil): Trends, uses, mode of action and metabolites. Environ. Sci. Pollut. Res. 2015, 22, 5–34. [Google Scholar] [CrossRef] [PubMed]
- Whalon, M.E.; Mota-Sanchez, D.; Hollingworth, R.M. Global Pesticide Resistance in Arthropods; CABI: Wallingford, UK, 2008. [Google Scholar]
- Kaufman, P.E.; Strong, C.; Rutz, D.A. Susceptibility of lesser mealworm (Coleoptera: Tenebrionidae) adults and larvae exposed to two commercial insecticides on unpainted plywood panels. Pest. Manag. Sci. 2008, 64, 108–111. [Google Scholar] [CrossRef] [PubMed]
- Koch, R.L.; Hodgson, E.W.; Knodel, J.J.; Varenhorst, A.J.; Potter, B.D. Management of Insecticide-resistant soybean aphids in the upper midwest of the United States. J. Integr. Pest Manag. 2018, 9, 1–7. [Google Scholar] [CrossRef]
- Huseth, A.S.; Groves, R.L.; Chapman, S.A.; Alyokhin, A.; Kuhar, T.P.; Macrae, I.V.; Szendrei, Z.; Nault, B.A. Managing Colorado potato beetle insecticide resistance: New tools and strategies for the next decade of pest control in potato. J. Integr. Manag. 2014, 5, 1–8. [Google Scholar] [CrossRef]
- Hamm, R.L.; Kaufman, P.E.; Reasor, C.A.; Rutz, D.A.; Scott, J.G. Resistance to cyfluthrin and tetrachlorvinphos in the lesser mealworm, Alphitobius diaperinus, collected from the eastern United States. Pest Manag. Sci. 2006, 62, 673–677. [Google Scholar] [CrossRef]
- Steelman, C.D. Comparative susceptibility of adult and larval lesser mealworms, Alphitobius diaperinus (Panzer) (Coleoptera: Tenebrionidae) collected from broiler houses in Arkansas to selected insecticides. J. Agric. Urban Entomol. 2008, 25, 111–125. [Google Scholar] [CrossRef]
- Vuattoux, R. Annales de L’Université D’Abidjan. In Le Peuplement du Palmier Ronier (Borassus Aethiopium) d’une Savane de Côte d’Ivoire; Université d’Abidjan: Abidjan, Ivory Coast, 1968; 139p. [Google Scholar]
- Le Torc’h, J.M. The new pest of rearing buildings (Alphitobius diaperinus in pig sties, Brittany). Phytoma 1979, 308, 31–33. [Google Scholar]
- O’Farell, A.F.; Butler, P.M. Insects and mites associated with the storage and manufacture of foodstuffs in Northern Ireland. Econ. Proc. R. Dublin Soc. 1948, 22, 343–407. [Google Scholar]
- O’Connor, J.P. Alphitobius diaperinus damaging polystyrene insulation in an Irish piggery. Entomol. Mon. Mag. 1987, 123, 1472–1475. [Google Scholar]
- Lambkin, T.A.; Rice, S.J. Baseline responses of Alphitobius diaperinus (Coleoptera: Tenebrionidae) to spinosad, and susceptibility of broiler populations in Eastern and Southern Australia. J. Econ. Entomol. 2007, 100, 1423–1427. [Google Scholar] [CrossRef]
- Singh, N. Chemical Ecology, Population Dynamics and Insecticide Susceptibility of Lesser Mealworm Alphitobius diaperinus (Panzer) (Coleoptera: Tenebrionidae); University of Arkansas: Fayetteville, NC, USA, 2011. [Google Scholar]
- Hickmann, F.; de Morais, A.F.; Bronzatto, E.S.; Giacomelli, T.; Guedes, J.V.C.; Bernardi, O. Susceptibility of the lesser mealworm, Alphitobius diaperinus (Coleoptera: Tenebrionidae) from broiler farms of southern Brazil to insecticides. J. Econ. Entomol. 2018, 111, 980–985. [Google Scholar] [CrossRef]
- Velusamy, R.; Ponnudurai, G. Evaluation of the efficacy of cypermethrin against the darkling beetle, Alphitobius diaperinus. J. Entomol. Zool. Stud. 2019, 7, 440–442. [Google Scholar]
- Despins, J.L.; Axtell, R.C. Feeding behavior and growth of broiler chicks fed larvae of the darkling beetle, Alphitobius diaperinus. Poult. Sci. 1995, 74, 331–336. [Google Scholar] [CrossRef]
- Khempaka, S.; Mochizuki, M.; Koh, K.; Karasawa, Y. Effect of chitin in shrimp meal on growth performance and digestibility in growing broilers. J. Poult. Sci. 2006, 43, 339–343. [Google Scholar] [CrossRef]
- Agabou, A.; Alloui, N. Importance of Alphitobius diaperinus (Panzer) as a reservoir for pathogenic bacteria in Algerian broiler houses. Vet. World 2010, 3, 71. [Google Scholar]
- McAllister, J.C.; Steelman, C.D.; Skeeles, J.K. Reservoir competence of the lesser mealworm (Coleoptera: Tenebrionidae) for Salmonella typhimurium (Eubacteriales: Enterobacteriaceae). J. Med. Entomol. 1994, 31, 369–372. [Google Scholar] [CrossRef]
- McAllister, J.C.; Steelman, C.D.; Skeeles, J.K.; Newberry, L.A.; Gbur, E.E. Reservoir competence of Alphitobius diaperinus (Coleoptera: Tenebrionidae) for Escherichia coli (Eubacteriales: Enterobacteriaceae). J. Med. Entomol. 1996, 33, 983–987. [Google Scholar] [CrossRef]
- Hazeleger, W.C.; Bolder, N.M.; Beumer, R.R.; Jacobs-Reitsma, W.F. Darkling beetles (Alphitobius diaperinus) and their larvae as potential vectors for the transfer of Campylobacter jejuni and Salmonella enterica Serovar Paratyphi B variant java between successive broiler flocks. Appl. Environ. Microbiol. 2008, 74, 6887–6891. [Google Scholar] [CrossRef]
- McAllister, J.C.; Steelman, C.D.; Newberry, L.A.; Skeeles, J.K. Isolation of infectious bursal disease from the lesser mealworm, Alphitobius diaperinus (Panzer). Poult. Sci. 1995, 74, 45–49. [Google Scholar] [CrossRef]
- Watson, D.W.; Guy, J.S.; Stringham, S.M. Limited transmission of turkey coronavirus in young turkeys by adult Alphitobius diaperinus (Coleoptera: Tenebrionidae). J. Med. Entomol. 2000, 37, 480–483. [Google Scholar] [CrossRef][Green Version]
- Dinev, I. The darkling beetle (Alphitobius diaperinus)—A health hazard for broiler chicken production. Trakia J. Sci. 2013, 11, 1–4. [Google Scholar]
- Riley, D.; Douce, G.; McPherson, R.M. Summary of losses from insect damage and costs of control in Georgia in 1996. Ga. Agric. Exp. Stn. Spec. Publ. 1997, 91, 58. [Google Scholar]
- Gindin, G.; Glazer, I.; Mishoutchenko, A.; Samish, M. Entomopathogenic fungi as a potential control agent against the lesser mealworm, Alphitobius diaperinus in broiler houses. BioControl 2009, 54, 549–558. [Google Scholar] [CrossRef]
- Hassemer, M.J.; Borges, M.; Withall, D.M.; Pickett, J.A.; Laumann, R.A.; Birkett, M.A.; Blassioli-Moraes, M.C. Development of pull and push–pull systems for management of lesser mealworm, Alphitobius diaperinus, in poultry houses using alarm and aggregation pheromones. Pest Manag. Sci. 2019, 75, 1107–1114. [Google Scholar] [CrossRef]
- Testa, M.; Corá Segat, J.; Baggio, R.A.; Galli, G.M.; Maluche Baretta, C.R.D.; Mendes, R.E.; da Silva, A.S.; Baretta, D. Cinnamomum zeylanicum essential oil reduces infestation by Alphitobius diaperinus in poultry litter. Acta Sci. Vet. 2018, 46, 1532. [Google Scholar]
- Szołyga, B.; Gniłka, R.; Szczepanik, M.; Szumny, A. Chemical composition and insecticidal activity of Thuja occidentalis and Tanacetum vulgare essential oils against larvae of the lesser mealworm, Alphitobius diaperinus. Entomol. Exp. Appl. 2014, 151, 1–10. [Google Scholar] [CrossRef]
- Szczepanik, M.; Szumny, A. Insecticidal activity of star anise (Illicum verum Hook. F.) fruits extracts against lesser mealworm, Alphitobius diaperinus Panzer (Coleoptera: Tenebrionidae). Allelopath. J. 2011, 27, 277–288. [Google Scholar]
- Schalamuk, S.; Pelizza, S.; Scorsetti, A.; González, M.; Botto, I. Pyroclastic material from the Puyehue-Cordon-Caulle Volcanic Complex, Chile, as carrier of Beauveria bassiana conidia: Potential utilization in mycoinsecticide formulations. J. Agric. Chem. Environ. 2014, 43, 273–282. [Google Scholar] [CrossRef][Green Version]
- Oliveira, D.G.P.; Cardoso, R.R.; Mamprim, A.P.; Angeli, L.F. Laboratory and field evaluation of a cypermthrin-based insecticide for the control of Alphitobius diaperinus Panzer (Coleoptera: Tenebrionidae) and its in-vitro effects on Beauveria bassiana bals. vuill. (Hypocreales: Cordycipitaceae). Braz. J. Poult. Sci. 2016, 18, 371–380. [Google Scholar] [CrossRef][Green Version]
- Boozer, W. Insecticide Susceptibility of the Adult Darkling Beetle, Alphitobius diaperinus (Coleoptera: Tenebrionidae): Topical Treatment with Bifenthrin, Imidacloprid, and Spinosad; Auburn University: Auburn, AL, USA, 2011. [Google Scholar]
- Lambkin, T.A.; Furlong, M.J. Application of spinosad increases the susceptibility of insecticide-resistant Alphitobius diaperinus (Coleoptera: Tenebrionidae) to pyrethroids. J. Econ. Entomol. 2014, 107, 1590–1598. [Google Scholar] [CrossRef]
- Lyons, B.N.; Crippen, T.L.; Zheng, L.; Teel, P.D.; Swiger, S.L.; Tomberlin, J.K. Susceptibility of Alphitobius diaperinus in Texas to permethrin- and β-cyfluthrin-treated surfaces. Pest Manag. Sci. 2017, 73, 562–567. [Google Scholar] [CrossRef]
- DRAAF Bretagne. Fiche Filière Volailles de Chair. 2020. Available online: https://draaf.bretagne.agriculture.gouv.fr/IMG/pdf/09_Essentiel_FFvolailles_chair_2020_cle099c21.pdf (accessed on 31 March 2021).
- Singh, N.; Johnson, D. Baseline susceptibility and cross-Resistance in adult and larval Alphitobius diaperinus (Coleoptera: Tenebrionidae) collected from poultry farms in Arkansas. J. Econ. Entomol. 2015, 108, 1994–1999. [Google Scholar] [CrossRef]
- Lambkin, T.A.; Furlong, M.J. Metabolic mechanisms only partially explain resistance to pyrethroids in Australian broiler house populations of lesser mealworm (Coleoptera: Tenebrionida). J. Econ. Entomol. 2011, 104, 629–635. [Google Scholar] [CrossRef]
- Rousset, N.; Chiron, G.; Choisis, N.P.; Michel, C.; Deruwez, J.; Pigache, E.; Benoît, S.; Galliot, P.; Bonnefoy, M.; Dinh, A.; et al. Caractérisation des niveaux d’infestation de petits ténébrions dans des bâtiments de volailles de chair: Impacts des pratiques d’élevage, des protocoles de lutte et de la structure des bâtiments. JRA-JRFG 2019, 13, 247–251. Available online: https://www.itavi.asso.fr/content/caracterisation-des-niveaux-dinfestation-de-petits-tenebrions-dans-des-batiments-de (accessed on 31 March 2021).
- Lambkin, T.A. Baseline responses of adult Alphitobius diaperinus (Coleoptera: Tenebrionidae) to fenitrothion and susceptibility status of populations in Queensland and New South Wales. J. Econ. Entomol. 2005, 98, 938–942. [Google Scholar] [CrossRef]
- R Development Core Team. R: A Language and Environment for Statistical Computing; Foundation for Statistical Computing: Vienna, Austria, 2016. [Google Scholar]
- Kosmidis, I.; Kenne Pagui, E.C.; Sartori, N. Mean and median bias reduction in generalized linear models. Stat. Comput. 2017, 30, 43–59. [Google Scholar] [CrossRef]
- Fox, J.; Weisberg, S. An R Companion to Applied Regression, 2nd ed.; Sage: Thousand Oaks, CA, USA, 2011. [Google Scholar]
- Russell, L. Emmeans: Estimated Marginal Means, aka Least-Squares Means. R Package Version 1.1.2. 2018. Available online: https://CRAN.R-project.org/package=Emmeans (accessed on 31 March 2021).
- Venables, W.N.; Ripley, B.D. Modern Applied Statistics with S, 4th ed.; Springer: New York, NY, USA, 2002. [Google Scholar]
- Gelman, A.; Su, Y.S. Arm: Data Analysis Using Regression and Multilevel/Hierarchical Models; R Package Version 1.7-07; 2014; Available online: https://cran.r-project.org/web/packages/arm/index.html (accessed on 31 March 2021).
- Hawkins, N.J.; Bass, C.; Dixon, A.; Neve, P. The evolutionary origins of pesticide resistance. Biol. Rev. 2019, 94, 135–155. [Google Scholar] [CrossRef]
- Lambkin, T.A.; Rice, S. Baseline responses of Alphitobius diaperinus (Coleoptera: Tenebrionidae) to cyfluthrin and detection of strong resistance in field populations in eastern Australia. J. Econ. Entomol. 2006, 99, 908–913. [Google Scholar] [CrossRef]
- Lambkin, T.A.; Rice, S. Responses of susceptible and cyfluthrin-resistant broiler house populations of lesser mealworm (Coleoptera: Tenebrionidae) to cyhalothrin. J. Econ. Entomol. 2010, 103, 2155–2163. [Google Scholar] [CrossRef]
- Tomberlin, J.K.; Richman, D.; Myers, H.M. Susceptibility of Alphitobius diaperinus (Coleoptera: Tenebrionidae) from broiler facilities in Texas to four insecticides. J. Econ. Entomol. 2008, 101, 480–483. [Google Scholar] [CrossRef]
- ANSES (Agence Nationale de Sécurité Alimentaire de l’Alimentation, de l’Environnement et du Travail). Dossier n°20130029–SECTINE TMC. 2013. Available online: https://www.anses.fr/fr/system/files/SECTINETMC_20130029_TVEN_Ans.pdf (accessed on 31 March 2021).
- Attia, M.A.; Wahba, T.F.; Shaarawy, N.; Moustafa, F.I.; Guedes, R.N.C.; Dewer, Y. Stored grain pest prevalence and insecticide resistance in Egyptian populations of the red flour beetle Tribolium castaneum (Herbst) and the rice weevil Sitophilus oryzae (L.). J. Stored Prod. Res. 2020, 87, 101611. [Google Scholar] [CrossRef]
- Boukouvala, M.C.; Kavallieratos, N.G. Effect of six insecticides on egg hatching and larval mortality of Trogoderma granarium Everts (Coleoptera: Dermedtidae). Insects 2020, 11, 263. [Google Scholar] [CrossRef]
- Kavallieratos, N.G.; Michail, E.J.; Boukouvala, M.C.; Nika, E.P.; Skourti, A. Efficacy of pirimiphos-methyl, deltamethrin, spinosad and silicoSec against adults and larvae of Tenebrio molitor L. on wheat, barley and maize. J. Stored Prod. Res. 2019, 83, 161–167. [Google Scholar] [CrossRef]
- Skourti, A.; Kavallieratos, N.G.; Papanikolaou, N.E. Exposure of Tribolium castaneum (Herbst) females to pirimiphos-methyl alters the fitness of their progeny. Environ. Sci. Pollut. Res. 2020. [Google Scholar] [CrossRef]
- Studebaker, G.; Bateman, N.; Davis, J.; Hopkins, J.D.; Joshl, N.; Lee, J.; Loftin, K.; Lorenz, G.; Teague, T.; Thrash, B. Insecticide recommendations for Arkansas; Division of Agriculture, University of Arkansas: Fayetteville, AR, USA, 2020; p. 339. [Google Scholar]
- Chernaki-Leffer, A.M.; Sosa-Gómez, D.R.; Almeida, L.M.; de Oliveira Negrão Lopes, I. Susceptibility of Alphitobius diaperinus (Panzer) (Coleoptera, Tenebrionidae) to cypermethrin, dichlorvos and triflumuron in southern Brazil. Rev. Bras. Entomol. 2011, 55, 125–128. [Google Scholar] [CrossRef]
- Renault, D.; Hervant, F.; Vernon, P. Effect of food shortage and temperature on oxygen consumption in the lesser mealworm, Alphitobius diaperinus (Panzer) (Coleoptera: Tenebrionidae). Physiol. Entomol. 2003, 28, 261–267. [Google Scholar] [CrossRef]





| Origin of the Population | Geographic Coordinates (WGS84) | Designation |
|---|---|---|
| Allaire | 47°38′13″ N, 02°09′46″ W | Pop1 |
| Crevin | 47°56′14″ N, 01°39′42″ W | Pop2 |
| Guéhenno | 47°53′32″ N, 02°38′22″ W | Pop3 |
| Guer | 47°54′14″ N, −2°07′14″ W | Pop4 |
| Limerzel | 47°38′12″ N, 02°21′14″ W | Pop5 |
| Plumelec | 47°50′16″ N, 02°38′27″ W | Pop6 |
| Ruffiac building 1 | 44°21′43″ N, 00°01′60″ E | Pop7 |
| Ruffiac building 2 | 44°21′43″ N, 00°01′60″ E | Pop8 |
| St Martin sur Oust | 47°44′46″ N, 02°15′15″ W | Pop9 |
| Taupont | 47°57′31″ N, 02°26′19″ W | Pop10 |
| Sensitive1 (Rennes) | 48°06′51″ N, 01°40′51″ W | PopS1 |
| Sensitive2 (Paimpont) | 48°01′11″ N, 02°15′2″ W | PopS2 |
| Brand Names | Active Compound and Dosage | Chemical Family | Mode of Action | Recommended Dose (RD) Per Surface Unit |
|---|---|---|---|---|
| SOLFAC 10 | Cyfluthrin 10% | Pyrethroid | Inhibits the closure of voltage-gated sodium channel | 50 mL/m2 |
| TOP KILL 10 | Permethrin 10% | Pyrethroid | Inhibits the closure of voltage-gated sodium channel | 2 mL/m2 |
| LEXAN 30/PER 120 (SECTIN) | Acetamiprid (30 g/L) | Neonicotinoid | Binds to nicotinic acetylcholine receptor | 1.6 mL/m2 |
| Permethrin (120 g/L) | Pyrethroid | Inhibits the closure of voltage-gated sodium channel | ||
| PIRIGRAIN 250 | Pirimiphos-methyl 24.04% | Organophosphate | Inhibits acetylcholinesterase | 0.8 mL/m2 |
Publisher’s Note: MDPI stays neutral with regard to jurisdictional claims in published maps and institutional affiliations. |
© 2021 by the authors. Licensee MDPI, Basel, Switzerland. This article is an open access article distributed under the terms and conditions of the Creative Commons Attribution (CC BY) license (https://creativecommons.org/licenses/by/4.0/).
Share and Cite
Renault, D.; Colinet, H. Differences in the Susceptibility to Commercial Insecticides among Populations of the Lesser Mealworm Alphitobius diaperinus Collected from Poultry Houses in France. Insects 2021, 12, 309. https://doi.org/10.3390/insects12040309
Renault D, Colinet H. Differences in the Susceptibility to Commercial Insecticides among Populations of the Lesser Mealworm Alphitobius diaperinus Collected from Poultry Houses in France. Insects. 2021; 12(4):309. https://doi.org/10.3390/insects12040309
Chicago/Turabian StyleRenault, David, and Hervé Colinet. 2021. "Differences in the Susceptibility to Commercial Insecticides among Populations of the Lesser Mealworm Alphitobius diaperinus Collected from Poultry Houses in France" Insects 12, no. 4: 309. https://doi.org/10.3390/insects12040309
APA StyleRenault, D., & Colinet, H. (2021). Differences in the Susceptibility to Commercial Insecticides among Populations of the Lesser Mealworm Alphitobius diaperinus Collected from Poultry Houses in France. Insects, 12(4), 309. https://doi.org/10.3390/insects12040309
