Study on the Influence of Inertial Force on the Performance of Aerostatic Thrust Bearings
Abstract
1. Introduction
2. Mathematical Modeling
2.1. Velocity Control Equation
2.2. Reynolds Equation
2.3. Flow Control Equation
3. Numerical Calculation and Verification
3.1. Numerical Calculation
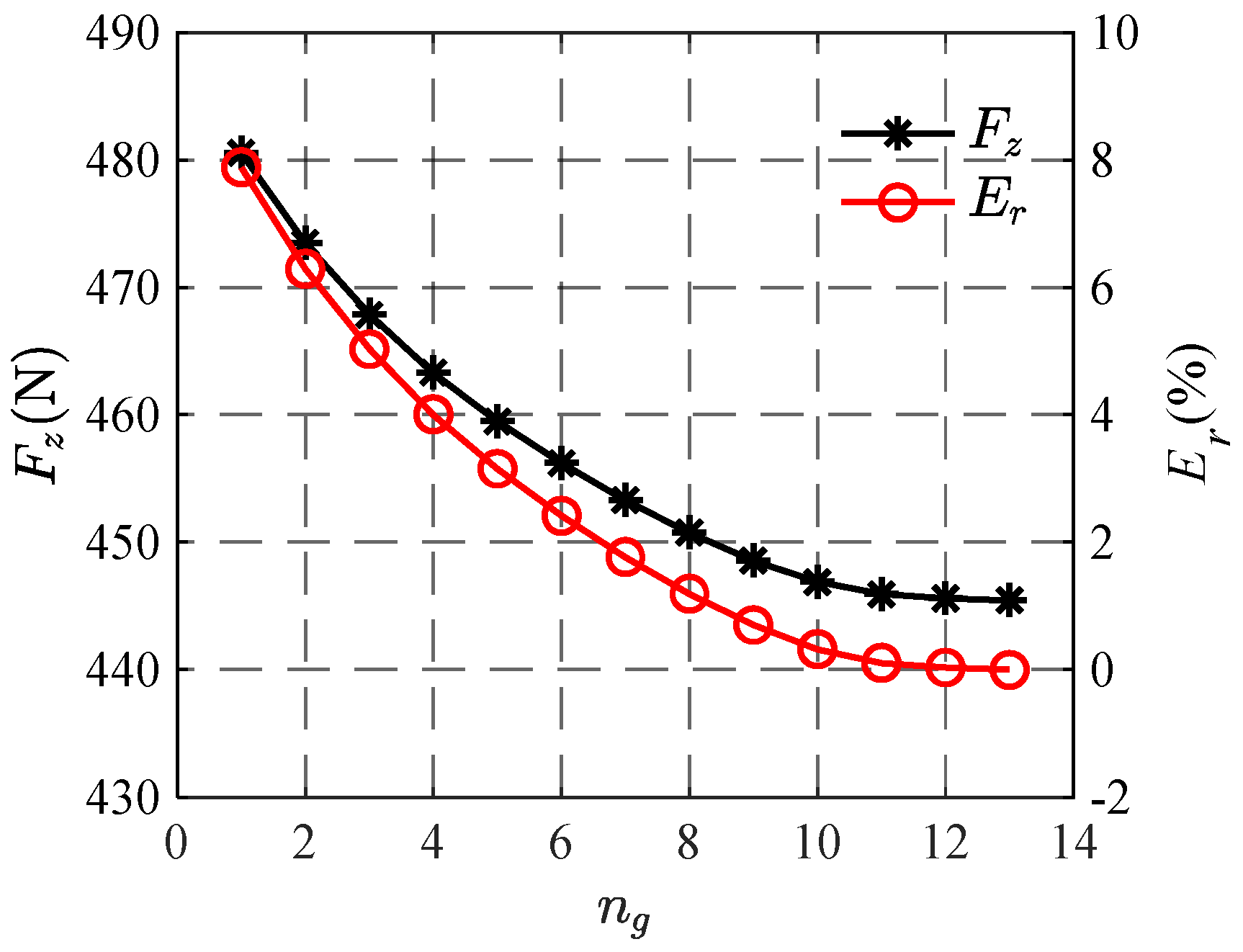
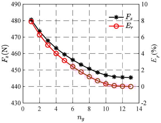
3.2. Grid Independence Verification
3.3. Contrast Verification
4. Results and Analysis
4.1. Static Characteristics Analysis
4.2. Single-Factor Analysis of Inertial Force Error
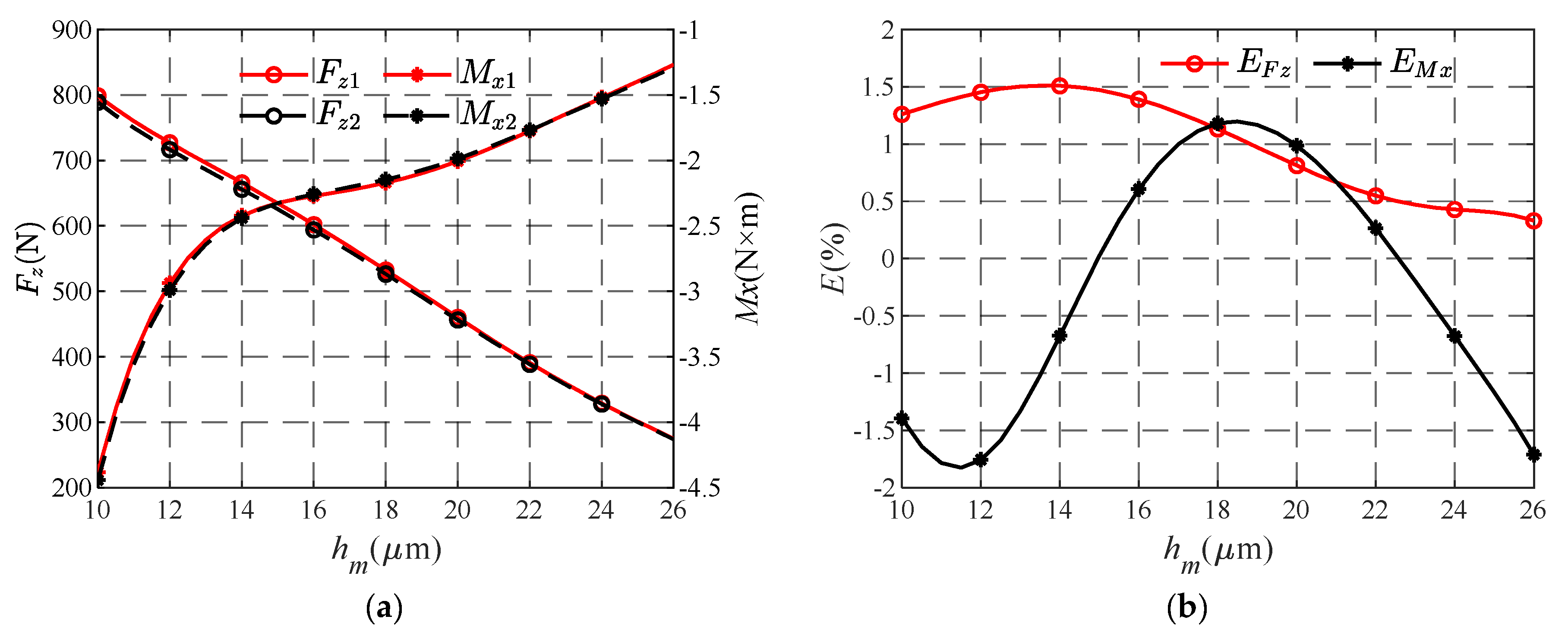
4.2.1. Influence of Initial Clearance on Inertial Force Error
4.2.2. Influence of Bearing Radius on Inertial Force Error
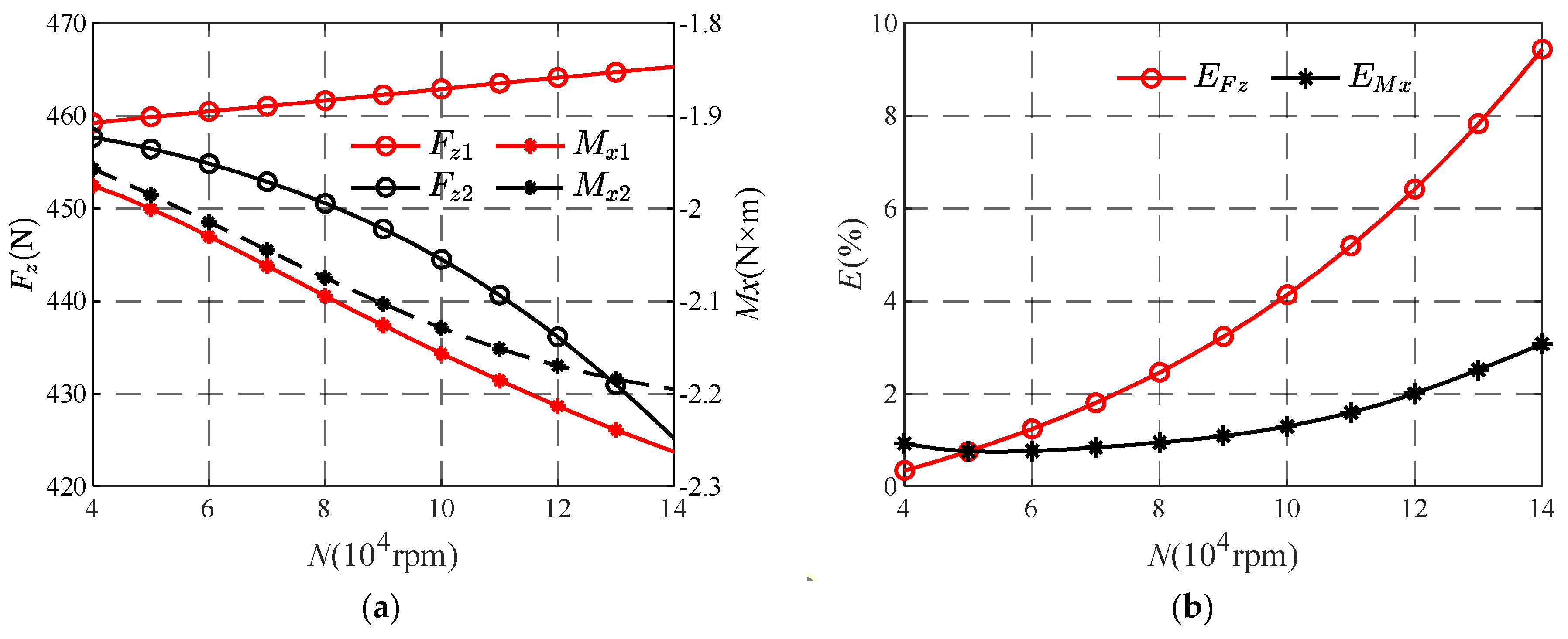
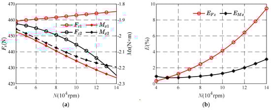
4.2.3. Influence of Rotating Speed on Inertial Force Error
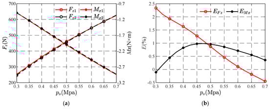
4.2.4. Influence of Gas Supply Pressure on Inertial Force Error
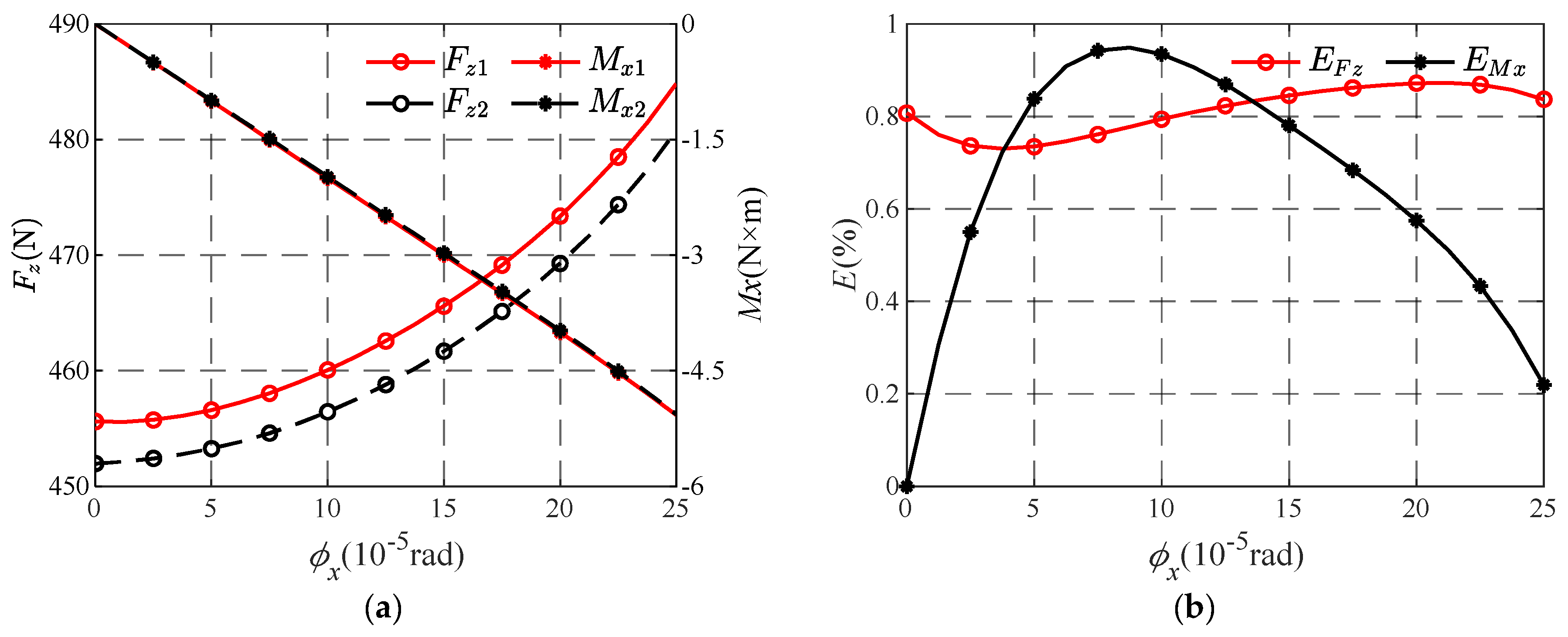
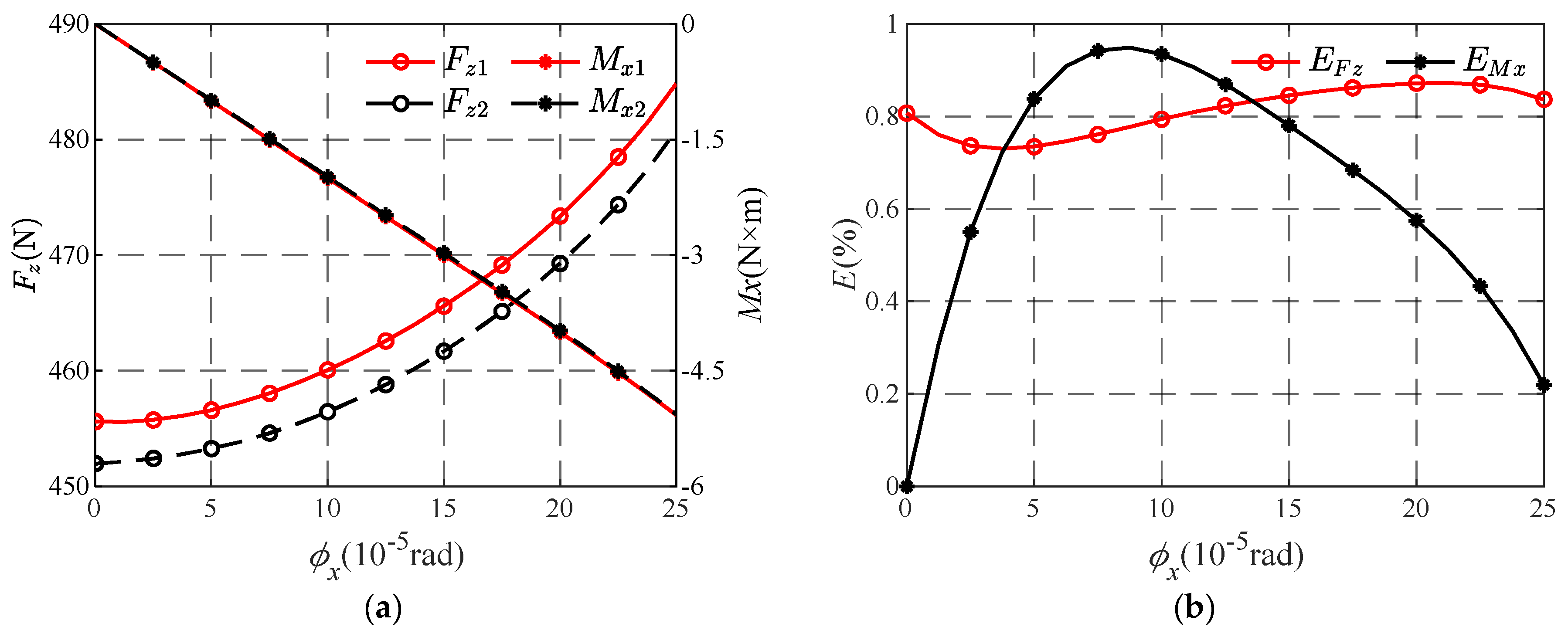
4.2.5. Influence of Torsion Angle on Inertial Force Error
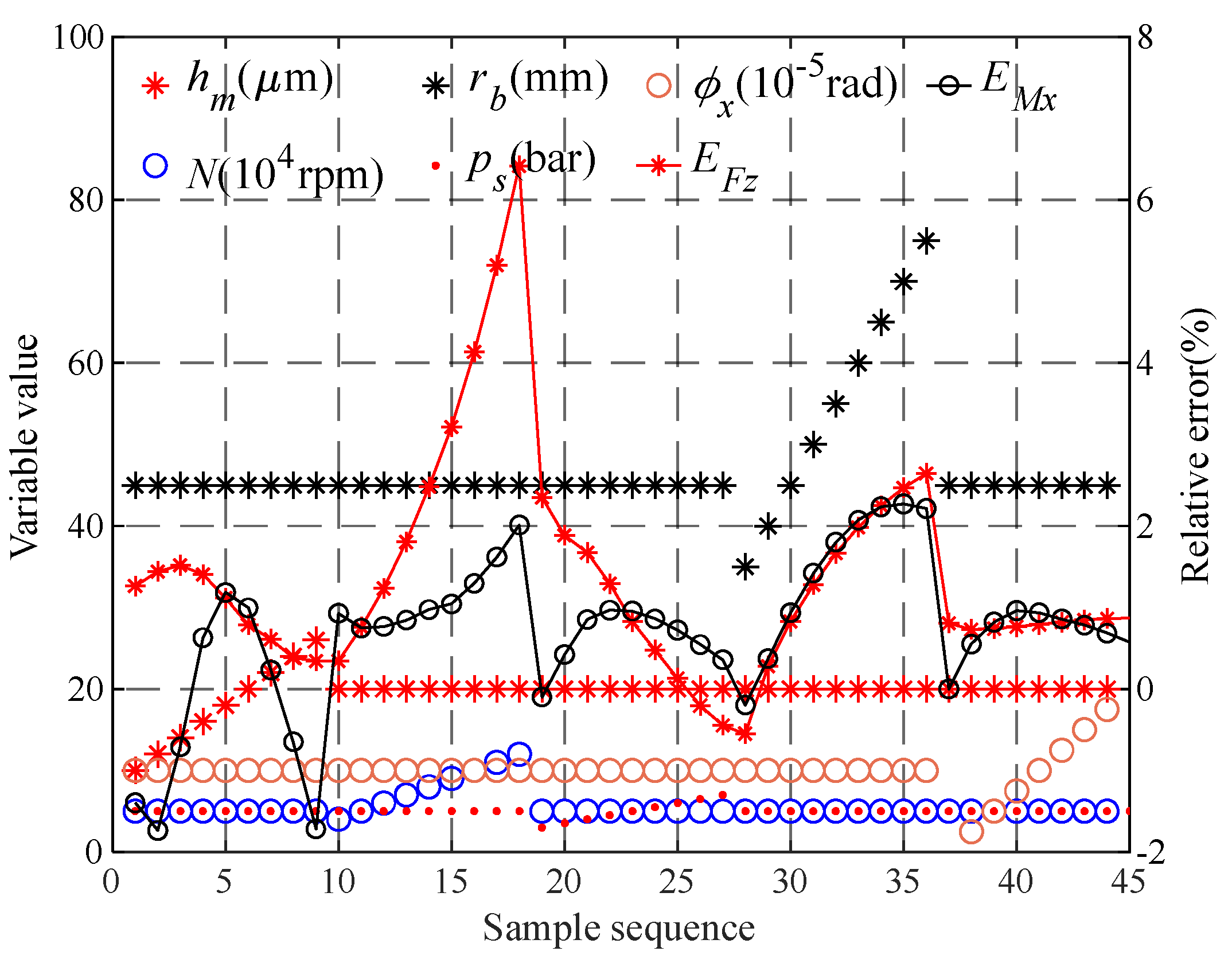
4.3. Multiple Regression Analysis of Relative Error
4.3.1. Establishment of Regression Equation
4.3.2. Validation of Regression Equation
5. Conclusions
- (1)
- The degree of freedom of bearing rotation will seriously affect the thickness distribution of the gas film, and then change the pressure and velocity distribution characteristics of gas in the gas film. At the same time, the smaller the film thickness, the greater the pressure, and the smaller the circumferential and meridional velocity changes at this position.
- (2)
- In single-factor analysis, it was found that the inertia force error caused by the change of bearing speed is the largest, and when the rotating speed exceeds 7 × 104 rpm, the bearing capacity error will exceed 2%. The bearing radius also has a certain influence on the inertial force error; when it exceeds 60 mm, the relative error of the bearing capacity and the error of the recovery torque will exceed 2%. In addition, the research shows that the inertia force error caused by changing the bearing initial clearance, gas supply pressure, and torsion angle is small.
- (3)
- The sample regression equations of relative error of bearing capacity and relative error of torque were obtained by multiple regression analysis, and the estimated value of relative error obtained by verifying the regression equation in the sample was compared with the simulation value. The results show that the variation law of the estimated value and the simulation value is the same, and there are some differences in numerical values, but the error range is small, which can prove the effectiveness of the sample regression equation.
Author Contributions
Funding
Data Availability Statement
Conflicts of Interest
Nomenclature
| r, θ, z | Coordinates |
| ra | Internal radius |
| rb | External radius |
| rc | Distribution circle radius |
| d | Orifice diameter |
| p | Gas film pressure |
| ρ | Gas density |
| η | Gas dynamic viscosity |
| t | Time |
| vr, vθ | Velocity |
| h | Gas film thickness |
| vra, vθa | Average velocity |
| l, p0, vm | Reference quantities of length, pressure, and speed |
| hm | Initial clearance |
| R, Z | Dimensionless coordinates |
| P | Dimensionless gas film pressure |
| H | Dimensionless gas film thickness |
| Vr, Vθ | Dimensionless velocity |
| T | Dimensionless time |
| w | Gas velocity flowing into the gas film from the orifice |
| δi | Kronecker function |
| pa | Atmospheric pressure |
| ρa | Gas density under atmospheric pressure |
| m | Mass flow of a single orifice |
| A | Orifice area |
| ps | Supply pressure |
| Φ | Mass flow coefficient |
| ψ | Flow function |
| k | Ratio of specific heat |
| β | Pressure ratio at the orifice |
| pd | Pressure at the orifice |
| βk | Critical pressure ratio |
| n | Orifice number |
| N | Rotating speed |
| nθ, nr | Grid number |
| ng | Grid refinement factor |
| φx, φy | Torsion angle |
| EFz, EMx, EMy | Relative error of bearing capacity and torque |
| Fz1, Mx1, My1 | Bearing capacity and torque when inertia force is ignored |
| Fz2, Mx2, My2 | Bearing capacity and torque when inertia force is considered |
References
- Gao, Q.; Chen, W.; Lu, L.; Huo, D.; Cheng, K. Aerostatic bearings design and analysis with the application to precision engineering: State-of-the-art and future perspectives. Tribol. Int. 2019, 135, 1–17. [Google Scholar] [CrossRef]
- Chen, G.; Ju, B.; Fang, H.; Chen, Y.; Yu, N.; Wan, Y. Air bearing: Academic insights and trend analysis. Int. J. Adv. Manuf. Tech. 2019, 106, 1191–1202. [Google Scholar] [CrossRef]
- Zhang, S.; Yu, J.; To, S.; Xiong, Z. A theoretical and experimental study of spindle imbalance induced forced vibration and its effect on surface generation in diamond turning. Int. J. Mach. Tool. Manu 2018, 133, 61–71. [Google Scholar] [CrossRef]
- Chen, D.J.; Huo, C.; Cui, X.X.; Pan, R.; Fan, J.W.; An, C.H. Investigation the gas film in micro scale induced error on the performance of the aerostatic spindle in ultra-precision machining. Mech. Syst. Signal Proc. 2018, 105, 488–501. [Google Scholar] [CrossRef]
- Wen, Z.P.; Gu, H.; Shi, Z.Y. Key Technologies and Design Methods of Ultra-Precision Aerostatic Bearings. Lubricants 2023, 11, 315–327. [Google Scholar] [CrossRef]
- Chen, G.D.; Chen, Y.J. Multi-Field Coupling Dynamics Modeling of Aerostatic Spindle. Micromachines 2021, 12, 251. [Google Scholar] [CrossRef] [PubMed]
- Lo, C.-Y.; Wang, C.-C.; Lee, Y.-H. Performance analysis of high-speed spindle aerostatic bearings. Tribol. Int. 2005, 38, 5–14. [Google Scholar] [CrossRef]
- Brand, R.S. Inertia Forces in Lubricating Films. J. Appl. Mech. 1955, 77, 363–364. [Google Scholar] [CrossRef]
- Gargiulo, E.P., Jr. A Re-Evaluation of Inertia Effects In Hydrodynamic Gas Journal Bearings. J. Lubr. Technol. 1976, 98, 187–188. [Google Scholar] [CrossRef]
- Launder, B.E.; Leschziner, M.A. Flow in Finite-Width, Thrust Bearings Including Inertial Effects: I—Laminar Flow. J. Lubr. Technol. 1978, 100, 330–338. [Google Scholar] [CrossRef]
- Launder, B.E.; Leschziner, M.A. Flow in Finite-Width Thrust Bearings Including Inertial Effects: II—Turbulent Flow. J. Lubr. Technol. 1978, 100, 339–345. [Google Scholar] [CrossRef]
- Mori, H. A theory of an externally pressurized circular thrust gas bearing with consideration of the effects of lubricant inertia. J. Basic. Eng. 1963, 85, 304–309. [Google Scholar] [CrossRef]
- Mori, A.; Tanaka, K.; Mori, H. Effects of Fluid Inertia Forces on the Performance of a Plane Inclined Sector Pad for an Annular Thrust Bearing Under Laminar Condition. J. Tribol. 1985, 107, 46–52. [Google Scholar] [CrossRef]
- Hashimoto, H. The effects of fluid inertia forces on the static characteristics of sector-shaped, high-speed thrust bearings in turbulent flow regime. J. Tribol. 1989, 111, 406–412. [Google Scholar] [CrossRef]
- Hashimoto, H.; Wada, S. Turbulent Lubrication of Tilting-Pad Thrust Bearings With Thermal and Elastic Deformations. J. Tribol. 1985, 107, 82–86. [Google Scholar] [CrossRef]
- Stolarski, T.A.; Chai, W. Inertia effect in squeeze film air contact. Tribol. Int. 2008, 41, 716–723. [Google Scholar] [CrossRef]
- Yang, X. Research on Bearing Performanceof High Speed Gas Thrust Bearing Withspiral Groove Under the Condition of Inertia Force; Harbin Institute of Technology: Harbin, China, 2017. [Google Scholar]
- Shen, W.; Peng, X.; Jiang, J.; Li, J.; Zhao, W. The Influence of Inertia Effect on Steady Performance and Dynamic Characteristic of Super High-Speed Tilted Gas Face Seal. Tribology 2019, 39, 452–462. [Google Scholar] [CrossRef]
- Zhuang, H.; Ding, J.; Chen, P.; Chang, Y.; Zeng, X.; Yang, H.; Liu, X.; Wei, W. Effect of Surface Waviness on the Performances of an Aerostatic Thrust Bearing with Orifice-Type Restrictor. Int. J. Precis. Eng. Manuf. 2021, 22, 1735–1759. [Google Scholar] [CrossRef]
- Cui, H.; Wang, Y.; Yue, X.; Li, Y.; Jiang, Z. Numerical analysis of the dynamic performance of aerostatic thrust bearings with different restrictors. Proc. Inst. Mech. Eng. Part J J. Eng. Tribol. 2018, 233, 406–423. [Google Scholar] [CrossRef]
- Liu, T.; Liu, Y.; Chen, S. Aerostatic Lubrication; Harbin Institute of Technology Press: Harbin, China, 1990. [Google Scholar]
- Shi, J.; Cao, H.; Chen, X. Effect of angular misalignment on the dynamic characteristics of externally pressurized air journal bearing. Proc. Inst. Mech. Eng. Part. J.-J. Eng. Tribol. 2019, 234, 205–228. [Google Scholar] [CrossRef]

















| Parameter | Value |
|---|---|
| Internal radius (ra) | 20 mm |
| External radius (rb) | 45 mm |
| Distribution circle radius (rc) | 30 mm |
| Initial clearance (hm) | 20 μm |
| Orifice diameter (d) | 0.2 mm |
| Orifice number (n) | 16 |
| Ambient pressure (pa) | 0.1 Mpa |
| Gas supply pressure (ps) | 0.5 Mpa |
| Gas viscosity (η) | 1.82 × 10−5 Ns/m2 |
| Ambient gas density (ρa) | 1.204 kg/m3 |
| Ratio of specific heat (k) | 1.4 |
| Rotating speed (N) | 5 × 104 rpm |
| Parameter | Value |
|---|---|
| Internal radius (ra) | 10 mm |
| External radius (rb) | 40 mm |
| Distribution circle radius (rc) | 25 mm |
| Initial clearance (hm) | 18.67 μm |
| Orifice diameter (d) | 0.2 mm |
| Orifice number (n) | 6 |
| Ambient pressure (pa) | 0.1 Mpa |
| Gas supply pressure (ps) | 0.6 Mpa |
| Gas viscosity (η) | 1.82 × 10−5 Ns/m2 |
| Ambient gas density (ρa) | 1.204 kg/m3 |
| Ratio of specific heat (k) | 1.4 |
| Rotating speed (N) | 0 |
| Order Number | hm (μm) | rb (mm) | N (104 rpm) | p0 (bar) | φx (10−5 rad) |
|---|---|---|---|---|---|
| 1 | 15 | 60 | 6 | 6 | 10 |
| 2 | 20 | 60 | 6 | 6 | 10 |
| 3 | 20 | 60 | 10 | 6 | 10 |
| 4 | 20 | 60 | 10 | 4 | 10 |
| 5 | 20 | 40 | 10 | 4 | 10 |
| 6 | 20 | 40 | 10 | 4 | 15 |
Disclaimer/Publisher’s Note: The statements, opinions and data contained in all publications are solely those of the individual author(s) and contributor(s) and not of MDPI and/or the editor(s). MDPI and/or the editor(s) disclaim responsibility for any injury to people or property resulting from any ideas, methods, instructions or products referred to in the content. |
© 2025 by the authors. Licensee MDPI, Basel, Switzerland. This article is an open access article distributed under the terms and conditions of the Creative Commons Attribution (CC BY) license (https://creativecommons.org/licenses/by/4.0/).
Share and Cite
Jia, S.; Jia, C.; Lu, Y. Study on the Influence of Inertial Force on the Performance of Aerostatic Thrust Bearings. Lubricants 2025, 13, 198. https://doi.org/10.3390/lubricants13050198
Jia S, Jia C, Lu Y. Study on the Influence of Inertial Force on the Performance of Aerostatic Thrust Bearings. Lubricants. 2025; 13(5):198. https://doi.org/10.3390/lubricants13050198
Chicago/Turabian StyleJia, Shuo, Chenhui Jia, and Yanhui Lu. 2025. "Study on the Influence of Inertial Force on the Performance of Aerostatic Thrust Bearings" Lubricants 13, no. 5: 198. https://doi.org/10.3390/lubricants13050198
APA StyleJia, S., Jia, C., & Lu, Y. (2025). Study on the Influence of Inertial Force on the Performance of Aerostatic Thrust Bearings. Lubricants, 13(5), 198. https://doi.org/10.3390/lubricants13050198
