Abstract
This paper reports on the influence of various processing parameters and different SiCp proportions on the outcome of mechanical, tribological, microstructural, and microcompositional investigations of Al-Cu based composites used as potential brake friction materials for eco-friendly vehicle parts. The composites were obtained by powder metallurgy, and then the sintered composite was treated at 515 ± 5 °C/6 h, quenched in water, and artificially aged at different temperatures and times. The microstructural and microcompositional investigations of the composites were made using an environmental scanning electron microscopy (ESEM), energy-dispersive X-ray spectroscopy (EDS). After analyzing the microstructures in correlation with the results of the hardness tests, the optimal proportion of SiCp and optimal heat treatment parameters were determined. The composite samples with the best properties were chosen for tribological investigation. The friction and wear tests of samples were made under dry sliding conditions using a “pin on disc” machine, at a contact pressure of 0.35 to 1.15 MPa, 2 to 4.5 m/s relative speed, and the prediction of tribological behavior was made using a linear factorial design approach.
1. Introduction
In the context of continuous demand, novel or alternative materials with high-performance applications, that are environmentally friendly [1,2,3,4,5,6,7], and have a good price/quality ratio have determined new directions and the research efforts of scientists.
In the last decade, the environmental policy has focused on reducing the impact of products on the environment, specifically by finding solutions to increase vehicle fuel efficiency, reducing the energy consumption and reducing the motor vehicle gas emissions (carbon monoxide and dioxide, nitrogen oxides, particulate matter, or volatile organic compounds) [8,9]. The efforts include the development of non-toxic, innovative compositions of materials used in the transport industry [10,11] and, if possible, to minimize their weight [12,13] to satisfy the required characteristics imposed by their design, without compromising structural integrity and safety. Also, to reduce the fuel consumption of vehicles, many components in the cars, such as pistons, connecting rods, wear-resistant materials, brake disks, or pads, use lightweight materials such as aluminum-, or titanium-, or magnesium-based materials reinforced with ceramic particles, replacing the heavy cast iron or steel alloy components [1,11,14,15,16]. The reinforced Al matrix composites combine the characteristics of aluminum (lightweight compared with iron-based materials, low melting point, ability to resist at oxidation, and good machinability [2,10,17,18,19], with the characteristics of ceramic particles like oxides (Al2O3, SiO2, ZrSiO4), carbides (SiC, B4C, TiC), nitrides (particles of BN or Si3N4), carbon nanotube (CNT), or elemental powders like graphite ecological reinforcements (e.g., egg-/crab shells, hazelnut shells) [5,20] or hybrid ones (SiC + Kaoline, zircon, and SiC or Al2O3, carbides and graphite or carbide and MoS2 [4], eggshells with graphite, etc.) [21,22], which enhances the special characteristics of the mechanical tribological [3,10,19,21,23], and thermal expansion [22,24,25,26,27,28]. For instance, in brake systems, for the counterface (disk brake), the producers already use the lightweight A356/25SiCp Al-based composites [29] as a replacement of the heavier cast iron ones.
The processing of reinforced aluminum with a discontinuous network of ceramic particles is achieved through a variety of methods, such as that derived from the specific metallurgical casting techniques [6,13,29] or by solid-state processing of materials, including powder metallurgy (P/M) techniques [2,4,10,17,21,22,26,27,28]. Of all the techniques used to obtain composites in a solid state, the powder processing of materials is the most advantageous technique to achieve a good uniformity of the particles or short fibers distributed in the matrix and to manufacture complex shaped parts, in an economical manner [2,4,11,21]. The advantage of obtaining aluminum-based composites by powder metallurgy over other metallurgical molten processing is that there is no chemical interaction between the matrix and the ceramic particles at the sintering temperatures. The formation of fragile chemical compounds is prevented at the sintering temperature, which is much lower than the melting point. In addition, the absence of the melted metal or the existence of the liquid phase in a very small proportion excludes or reduces problems related to wettability.
But the problems that arise when preparing aluminum matrix composites are the difficulty of pressing and sintering the aluminum powders compared to, for example, the pressing and sintering of ferrous or copper powders, because of thin (50–150 angstrom) [17] and stable Al2O3 on its surface. The addition of alloying elements like copper into aluminum P/M alloys enhances the mechanical properties by preventing the Al2O3 formation during sintering. Some of these problems with certain compositions of aluminum alloys have been solved, but others, depending on the nature of the material and their processing conditions, still require the support of additional experimental studies. By adding the reinforcing element (such as silicon carbide) to the ductile aluminum alloy that constitutes the matrix, the behavior of the material during the process changes, and its properties change, thus increasing the complexity of the processes that take place during the P/M process. The addition of silicon carbide proportion to aluminum matrices exhibited different aging kinetics in comparison with unreinforced alloys [12,18], and for most of researchers’ studies, adding hard ceramic reinforcements improves the mechanical and wear properties [3,12,15,18,19].
Many techniques for the production of sintered aluminum products and aluminum-based composites by P/M are used, but four of them are the most used, such as the following: (i)—mixing the powders in their elemental state (Al, Cu, Mg, etc.) or powders pre-alloyed with the compaction binder and ceramic particles, followed by hot pressing (uniaxial, biaxial, or isostatic) and heat treatments; (ii)—powder mixing, cold isostatic pressing, and hot extrusion with degassing and specific heat treatments; (iii)—powder mixing, cold isostatic pressing, and hot rolling with degassing and heat treatments [30]; and (iv)—conventional P/M process, i.e., mixing powders with lubricant, press-based densification, sintering, and optional secondary and finishing operations. The conventional press-sinter method of the Al-based matrix from elemental powders allows the obtaining of different compositions by mixing and homogenizing the elemental powders of aluminum (with purity and size-controlled) with alloying elements (for instance, Cu, Mg, Si, Zn powders), and with the ceramic particles with a reinforcing role [28]. After that, the consolidation of powder mixtures by pressing, pre-sintering (removing the lubricant), and sintering in a controlled atmosphere is used to obtain compacts with the highest possible density (80–95% of the theoretical density). If certain specific characteristics are pursued, the composite material can then be further subjected to secondary processing, such as heat and/or thermochemical treatments and cold or hot forming.
The performance of metallic matrix composites, including their tribological properties, is contingent upon (i) the characteristics of the constituent components (matrices and reinforcement materials) [17,18,19,20,21,22,24,25,26,30,31,32,33,34,35,36,37,38], (ii) the size, shape, and weight fraction of the reinforcements [3,18], and (iii) the processing parameters [16,17,21]. These factors underscore the critical need for a careful selection of components and experimental procedures to develop environmentally sustainable composites suitable for automotive applications.
From a tribological perspective, numerous studies have explored the wear performance of metallic matrix composites in relation to their mechanical properties and thermal behavior, particularly for structural applications in the aerospace and automotive industries [3,10,19,21,39]. The friction and wear characteristics of aluminum matrix composites reinforced with silicon carbide (SiC) particles have been investigated under dry sliding conditions, employing setups such as “pin-on-disk” configurations with hardened steel disks [19] or a steel ring-on-block tester [16,39]. These studies evaluated a range of tribological conditions, including normal loads from 5 to 50 N and relative speeds from 0.42 to 4 m/s [16]. For instance, Hassan et al. [19] investigated the friction and wear behavior of Al-Mg-Cu-based composites reinforced with 5 and 10% SiC particles under an applied load of 3.18 MPa (equivalent to 40 N) and a sliding speed of 0.393 m/s. Zheng et al. [16] studied the tribological properties of Al-Si composites reinforced with 20% SiC, as well as a combination of 20% SiC and 10% ceramic waste, at normal loads of 20, 40, and 80 N and a speed of 0.42 m/s. Leszczyńska-Madej et al. [39] investigated Al-4 wt.%Cu composites reinforced with 2.5 to 15 wt.% SiC, at a 50 N load and 136 r/min. The impact of alloying elements (Cu, Mg, Si) and SiC content on the tribological properties of the aluminum matrix has been also emphasized in the literature [16,19,39].
Within this framework, the present study examines the complex effects of ceramic particle reinforcement and processing variables on the performance of sintered and heat-treated Al-Cu composites, utilizing advanced and specific investigative techniques.
2. Materials and Experimental Methods
2.1. Material Selections
The specific characteristics of aluminum-based composites reinforced with hard ceramic particles are wear resistance, hardness, high-temperature resistance, and superior to aluminum alloys. As a matrix, an age-hardened alloy from the Al-Cu system (2000 series) was chosen as a matrix, which has the required characteristics for automotive components such as low density (2.697 g/cm3), corrosion resistance, high thermal conductivity resistance, and mechanical resistance at temperatures up to 500 °C [6,30].
The addition of copper in the aluminum alloy in a proportion of 4% by weight allows the formation of a eutectic liquid phase, at a certain sintering temperature, which results in good sintering behavior, advanced elimination of porosity and implicitly, and better mechanical characteristics.
The selection of SiC ceramic particles as a reinforcing element was made based on the availability and due to its specific characteristics, as follows: low density (3.1–3.21 g/cm3), high melting point (2600 °C), high thermal conductivity 234–270 W/m·K, and high elastic modulus of 324 GPa (1090 °C) to 410 GPa [6,39]. By reinforcing the Al-4Cu alloy with hard SiC ceramic particles, its mechanical and tribological characteristics are improved [39].
The type, size, and shape of the particles [27,28] are also of great importance in the performance of the composites [28,35,37,38,40]. As a result, aluminum powders (type AL-110) obtained by atomizing the metal melt were chosen as raw material for the matrix of the composite material. As an alloying element, electrolytic copper powder type SE from Pometon was chosen.
The ceramic polyhedral particles (silicon carbide, Norton, M400 type, New York, NY, USA), which have low cost and simple embedding technologies compared to fibers, were chosen as reinforcing elements. The dimensions of aluminum and copper powders are smaller than 100 μm and the SiC particles have dimensions below 60 μm. The proportion of copper in aluminum was 4 wt.% and the Al-Cu matrix composites were reinforced with 5–20 wt.% silicon carbide particles (SiCp).
2.2. Experimental Procedure
Al-Cu-based composites were made by P/M techniques from elemental powders. In the PM process, the amounts of ceramic particles, the sintering parameters (temperatures, times, and atmosphere), and the artificial aging parameters (aging temperatures and times) were varied. The processing steps, parameters, and equipment used for obtaining the sintered and age-hardened Al-Cu composites are presented in Table 1 and the scheme of variation of technological parameters is shown in Figure 1.
Table 1.
Processing steps for obtaining the Al-Cu PM composites.
Figure 1.
Scheme of the technological parameters used to process the Al-4Cu-SiC composites.
Before the gravimetric dosage of the mixtures, the elemental Al, Cu, and β-SiC powders were characterized from a structural, physical, and technological point of view. The morphology and composition of raw powders were investigated with Environmental Scanning Electron Microscopy (FEI XL-3 type, from Philips), equipped with an EDAX detector for Energy-dispersive X-ray microanalyzer.
The other characteristics of elemental and mixed powders were made according to specific standard methods, such as the following: apparent bulk density (SR EN 23923-1: 1998); tap density (SR EN 23923-2: 1999); and the flow rate (flowability) of powders (SR EN ISO 3953: 1998). All three characteristics were analyzed with Hall flowmeter apparatus. The specific surface area (ISO 10070-1991) was determined with Blaine air permeability apparatus. For particle size distribution (SR EN 24497:1995), a vibratory sieve shaker from FRITSCH was used.
The compressibility test of the powder mixtures was performed in a double action hardened steel die at pressures between 50 MPa and 450 MPa, and has been presented in detail in our previous published work [31]. In addition, the characterization of the pressed compacts consisted of measuring (i) the average densities of green compacts; (ii) the image analysis of the surface area of pores and carbides; and (iii) the grain size distribution of silicon carbides. The green density of the compacts was made by a physical measurement, and after heat treatment (removing the lubricant and sintering). The density of the sintered part was determined by the Archimedes method (ASTM B 328-92). For comparison, and to study the evolution of the consolidated parts, they were characterized from porosity and dimensional variation during sintering, hardness, and a microstructural analysis point of view. The Brinell hardness test was performed using a FRANKOSCOP durometer by pressing on the surface of the material with a ball of 2.5 mm and a force of 62.5 Kgf for 30 s.
The microstructural analysis of different parts was achieved with a light microscope, REICHART type (see the sample preparation in Table 2) with integrated software, and for analysis, the influence of carbide amounts on modifications of morphology, and the distribution of particles, during the compaction, we used the Electron MicroProbe Analyzer, JXA-5A, JEOL type (Tokyo, Japan). For the EDS analysis (EDAX ZAF quantifications), we used the UTW—Sapphire detector type, U = 20 kV, Resolution 128:10 (Valley Design, Shirley, MA, USA). The specific metallographic sample preparation steps of sintered parts are shown in Table 2.
Table 2.
Sample preparation for metallographic observation.
After the artificial aging step, the composites were subjected to mechanical hardness tests (Vickers) and tribological and microstructural analysis. The microstructural analysis was made with ESEM, FEI XL30 (Philips), equipped with an EDAX analyzer type.
Tribological parameters, like the coefficient of friction, volume loss of material, and wear rate between the contact surfaces, can be measured by the “pin-on-disc” tribometer. The tribological (friction and wear) tests of 10 × 10 × 7 mm composite samples were made on a gray cast iron disk (300 HB hardness) using a “pin on disc” machine, at a contact pressure of, respectively, 0.35, 0.75, 1.15 MPa, at 2 to 4.5 m/s relative speed, under dry sliding conditions, and room constant temperature. The disk was polished before each tribological test.
The “pin on disc” testing machine was described in the previous article [10].
The frictional force was determined by measuring the angular movement (α) of the pendulum from the vertical position. The correlation between the applied pendulum weight (G) in Kg, total length (L) in mm, the distance from the spindle axis to pendulum test box (e) in mm, and the friction coefficient (μ) is given by the following relation:
μ = L · G · sin α/Ne
The wear rate was measured, respectively, by height loss (mm/h) and weight loss (g/cm2·h). The wear of the friction materials was expressed by the weight loss percent as
where W0 and W1 are the weight of the specimens before and after testing, respectively.
W% = (W0 · W1)/W0 · 100%,
2.3. Factorial Design of Experiments
Mathematical modeling using a factorial design of experiments is very useful in predicting the tribological properties of composite materials in correlation with wear test parameters. For the prediction of the tribological behavior (wear rate and friction coefficient) of composites, a factorial design of an experiment of the type Pn was used in the present paper, for testing the sintered frictional material, in dry friction conditions.
The “n” corresponds to the number of factors and “P” stands for the number of levels. In this design, n = 2 (i.e., applied load and relative speed in braking point) and P = 2 (i.e., upper and lower level of each variable). Thus, the minimum number of trial experiments to be conducted for each material is four. If the wear rate is represented by Y1 and Y2 (Y1 measured by height loss of material and Y2 measured by weight loss) and the friction coefficient is represented by Y3, the linear regression equation for these experiments could be written as follows:
where bi0 is the response variable of the wear rate and friction coefficient, respectively, at the base level (i.e., at the applied load 7.5 × 10−1 MPa and relative speed in braking points 3.25 m/s); bi1, bi2 are coefficients associated with each variable of the applied load and relative speed in braking point, and bi3 is the interaction coefficient between x1 and x2, within the selected levels of each of the variables.
Yi = bi0 + bi1x1 + bi2x2 + bi3x1x2
The parameters of Equation (3) have been estimated by the method of the least squares using an Excel program package. The coefficients were determined statistically using the Student criterion and the accordance degree of the regression equations was verified with the Fischer criterion. The mathematical model of wear behavior is established, and the problem of the model’s optimization is the determination of the mathematical function extreme [10].
3. Experimental Results and Discussion
3.1. Raw and Mixture Powders’ Characterizations
Raw powders were characterized using morphology and quantitative X-ray microanalysis (Figure 2). The physical and technological characteristics of raw and mixture powders are presented in Table 3.
Figure 2.
ESEM images of elemental powders (top) and associated EDS spectra (bottom) of aluminium (a), copper (b), and β-SiC (c).
Table 3.
Characteristics of the raw and powder mixture.
Table 3 shows that both the apparent densities and the tap densities decrease with the increase in the content of ceramic particles in the mixture. The Hausner Dt/Da ratio depends on the friction between the powders and powder–die wall friction, and on the morphology of the powder particles. The Hausener ratio, in this case, is in the range of 1.2–1.22.
The flow rate is influenced by the frictions between the particles, so implicitly by the shape and the size of the particles. It is observed (Table 3) that the influence of SiC particles slightly increases the flow rate, with the differences between the extreme values (for alloys in comparison with Al-Cu/20% SiC) obtained being very small (0.25 s). This is explained by the fact that irregularly shaped SiC (in a proportion of 15–20%) particles flow harder than an unreinforced matrix with a droplet shape (particles close to the spherical) because between the quasi-spherical particles, the contact surface tends to reduce to a point. As for the specific area surface of the powder mixtures, it has a slightly increasing evolution depending on the proportion of the reinforcing ceramic particles.
One of the most important technological characteristics of the powders represents the ability to reduce the volume under pressure, also known as the pressing capacity. The theoretical density of powder mixtures (ρth mixture) was calculated by the rule of mixtures and represents the maximum density to be reached by the material in the final stage, at which zero porosity is ideally considered, as follows:
where xi is the proportion of component i (i = Al, Cu, zinc stearate, or/and SiC) in the mixture.
Considering the densities of Al, Cu, SiC, respectively, zinc stearate, being: ρAl = 2.698 g/cm3; ρCu = 8.94 g/cm3; ρSiC = 3.21 g/cm3; and ρZn stearate = 1.095 g/cm3; results that the theoretical density for Al-4Cu is 2.697 g/cm3, for Al-4Cu-5% SiC is 2.717 g/cm3, for Al-4Cu-10% SiC is 2.739 g/cm3, for Al-4Cu-15% SiC is 2.761 g/cm3, and for Al-4Cu-20% SiC is 2.784 g/cm3.
To improve the properties of the final product, especially to achieve high strength, and good elongation after pressing and sintering [31], it is essential that the metal-based powders have high compressibility (95–96% compactness of theoretical density) and very good fluidity properties.
3.2. Characterizations of Compacted Parts
The green compact density is a measure of effectiveness of compaction and also determines the behavior of the material during subsequent processing steps of obtaining composite samples. The determination of the green densities (mass/volume of the green compact) was conducted in most cases by measuring the geometric dimensions and in some cases, for a more accurate determination, it was conducted by immersion in liquid. The relative density of the compact (ρr) is expressed by the ratio between the green compact density (ρcompact) and the theoretical density of the mixture (ρth mixture).
The pore volume proportion (porosity) of the consolidated parts (ρconsolidated parts = green compact density or sintered part density) was determined by the following equation:
The morphology of the aluminum and copper particles (Compo Image of samples in the green state) was observed using an Electron Probe Micro Analyzer, JXA-5A JEOL type (Figure 3). We could observe the shape of the Al and Cu particles (oval shape) and the SiC particles (polyhedric shape) in green compact samples for the Al-4Cu alloy pressed at 250 MPa and for the composites Al-4Cu-10% SiC and Al-4Cu-20% SiC pressed at 450 MPa.
Figure 3.
Compo images of Al-4Cu alloy with different percentages of SiC (Al-4Cu alloy was compacted at 250 MPa; Al-4Cu-x% SiC (x = 5, 10, 15, and 20) were compacted at 450 MPa.
In order to observe the influence of the proportion of silicon carbide particles at different compaction (applied) pressures on the characteristics of the green compacts, we determined experimentally the values of the apparent densities of the green compacts and the porosity of them at different pressures applied, and the studied powder mixtures were determined experimentally. The results are presented in Table 4.
Table 4.
Densities and porosities of green compact samples at different applied pressures for all compositions of samples.
From the measured values presented in Table 4 (i.e., densities and porosities of green compact samples at different applied pressure for all sample compositions), we noticed that the densification decreases with the addition of fragile SiC particles in the aluminum alloy matrix. The increase in the difficulty of pressing the mixtures (higher pressing forces) when the SiC content is increased can be explained by the fact that the hard SiC particles delay the densification process by upholding the pressing load until the moment of their rupture, with the maximum densification taking place by repackaging the SiC fragments in the aluminum alloy compacts.
The maximum densification for unreinforced Al alloy is achieved by applying pressures of 250 MPa, while a pressure of 350 MPa is necessary for a composite with 5% SiC addition (porosity of 5.04%, respectively, compactness of 94.96%). For the ceramic particles with amounts higher than 5% (10%, 15%, and 20%), the density evolves upwards. Thus, when applying a pressure of 450 MPa, for mixtures with 10% SiC, an average porosity of 7.85% and 92.15% compactness was obtained, while for the samples with 15% silicon carbide addition, the average porosity values of 8.37% and 91.63% compactness were obtained, and for the samples with 20% SiC, the highest porosities (10.45%) were obtained with the lowest compactness of 89.95%. In the previous work, Ghita and Popescu [31] demonstrated that, for the prediction of optimum pressure when it can obtain the maximum possible densifications (more than 95% compactness), this is possible at 600–650 MPa for 10% SiC and 15% SiC, and at the applied pressure of 950 MPa for composites with 20% SiC particle addition.
3.3. Characterization of Sintered Parts
In order to obtain the most compact materials, the press-compacted samples were subjected to a pre-sintering operation in order to eliminate the lubricant and then sintered to consolidate the compacted material and increase its physical-mechanical properties. Taking into account the fact that pre-sintering (removing the lubricant) and sintering are very complex processes, during which several transformations take place in the mass of the material, such as the following: (i) physical-chemical processes that take place to perform bonding (welding), and (ii) the consolidation of solid particles under the influence of temperature), understanding these complex processes requires comprehensive studies at different processing parameters.
In the case of aluminum composite materials or aluminum alloys reinforced with SiCp, the literature indicates a pre-sintering step at a temperature of 400 to 420 °C, for 30–60 min, according to Lapshin et al. [32], Kim et al. [27], Prasad et al. [28], and Zhou et al. [33], and in the case of alloy unreinforced aluminum, the recommended pre-sintering step is at 300 °C, for 3 h [32]. The sintering parameters (temperature, sintering holding time, and sintering atmosphere) vary within very wide limits, due to the diversity of materials used as the matrix and the shape, size, and distribution of the silicon carbide used. According with the literature data, the sintering temperatures used for aluminum and its alloys are between 520 °C and 640 °C, the holding time varies between 1 h and 16 h, and as sintering atmospheres, hydrogen, nitrogen, dissociated ammonia with a very low dew point of −40 °C, or vacuum can be used [17,28,34]. For instance, Qiu et al. [17] studied the densification behavior of the sintered Al-Cu-Mg-Si alloy by using elemental powders. The blended mixture of elemental powders was cold pressed at 200 MPa, and the green compacts were sintered at temperatures from 450 °C to 600 °C for 30–600 min, at a 5 °C/min heating rate, in a N2 atmosphere. The sintering cycle of Al-4.4Cu-0.5Mg-0.8Si reinforced with 9 to 27% vol. SiC consisted of degassing at 400 °C for 30 min before sintering at 590 °C for 1 h in a nitrogen atmosphere [18]. Zheng et al. [16] obtained the Al alloy (80% aluminum, 20% silicon) with 20% SiC and Al alloy (20% SiC with 10% ceramic waste) by a powder metallurgy route. The compacted materials were sintered at 600 °C for 4 h, hot-pressing at 400 °C, followed by solution treatment at 500 °C for 30 min before quenching in cold water and artificial aging at 220 °C for 24 h. Wasik et al. [30] also investigated the microstructure of heat treated Al4Cu-SiC composites obtained by PM techniques. The elemental powders were mixed, pressed at 300 MPa, and then sintered under a nitrogen atmosphere at 600 °C for 30 min. The sintered composites were solution treated for 6 h at two different temperatures, i.e., 495 and 530 °C, and then aged at 180 °C for various aging periods (i.e., 4, 12, and 24 h).
The thermal cycle of delubricating–sintering of the Al-Cu-SiC green compacts was carried out according to the sintering temperature time schedule, schematically presented in Figure 4. The secondary heat treatments of the sintered parts are presented in Figure 5. The thermal cycle parameters shown in Figure 4 and Figure 5 were determined based on data from the existing literature.
Figure 4.
Delubrication–sintering thermal cycles (heat treatments of the Al-Cu-SiC green compacts).
Figure 5.
Secondary heat treatments of the sintered samples.
The delubricating process was performed in two steps at temperatures of 300 and 400 °C for 30–40 min and sintering at six different sintering temperatures between 520 °C and 620 °C, maintaining time at sintering for 1 h in a hydrogen atmosphere, furnace cooled at room temperature.
According to the Al-Cu binary equilibrium diagram (Figure 6 [27]), a solid solution α is formed during heating by the solid diffusion of Cu in Al, which reaches the maximum solubility of 5.68 wt.% at the eutectic temperature of 548 °C.
Figure 6.
The Al-Cu binary phase diagram (adapted after [27]).
Above the eutectic temperature (548 °C), the liquid phase begins to form, and the solubility of copper in aluminum decreases up to 2% by weight, a liquid phase that allows for a higher level of compaction and thus desired physical-mechanical characteristics. Therefore, melting is expected to occur at temperatures above the eutectic temperature at the contact interface between Al and Cu powders.
Regarding further heating at above 548 °C (e.g., at 560 °C), the coarse copper particles that dotted the aluminum particles are replaced by a large amount of eutectic alloy. The process is illustrated in Figure 7.
Figure 7.
Illustration of the structural changes of the matrix (Al-4Cu alloy) during sintering: (a) Al and Cu particles in green compact; (b) the initial moment of appearance of eutectic liquid phase on the boundary of aluminum and copper powders in the green compact, during sintering; (c) formation of small quantities of eutectic liquid at 548 °C; (d) the quantity of eutectic liquid phase increasing when the materials are heated above the eutectic temperature, allowing breaking the Al2O3 layer; (e) overview of the boundary of aluminum and copper powders with Al2O3 layer at >548 °C; (f) details of the area of eutectic liquid formation with pores; (g) the copper atoms diffuse into the aluminum particles and become Al-Cu alloy (α).
Based on measurements made before and after sintering in the temperature range of 520–620 °C, the height, diameter, volume, and density of the green compact samples (Hc, Dc, Vc, ρc,), as well as the height, diameter, volume, and density of the sintered compact (Hs, Ds, Vs, ρs) and the porosity of the sintered compacts were determined. The measured porosity of the sintered samples, depending on different sintering temperatures and different proportions of silicon carbide, is shown in Figure 8.
Figure 8.
The porosity of sintered samples, depending on the different sintering temperature and the different proportion of silicon carbide.
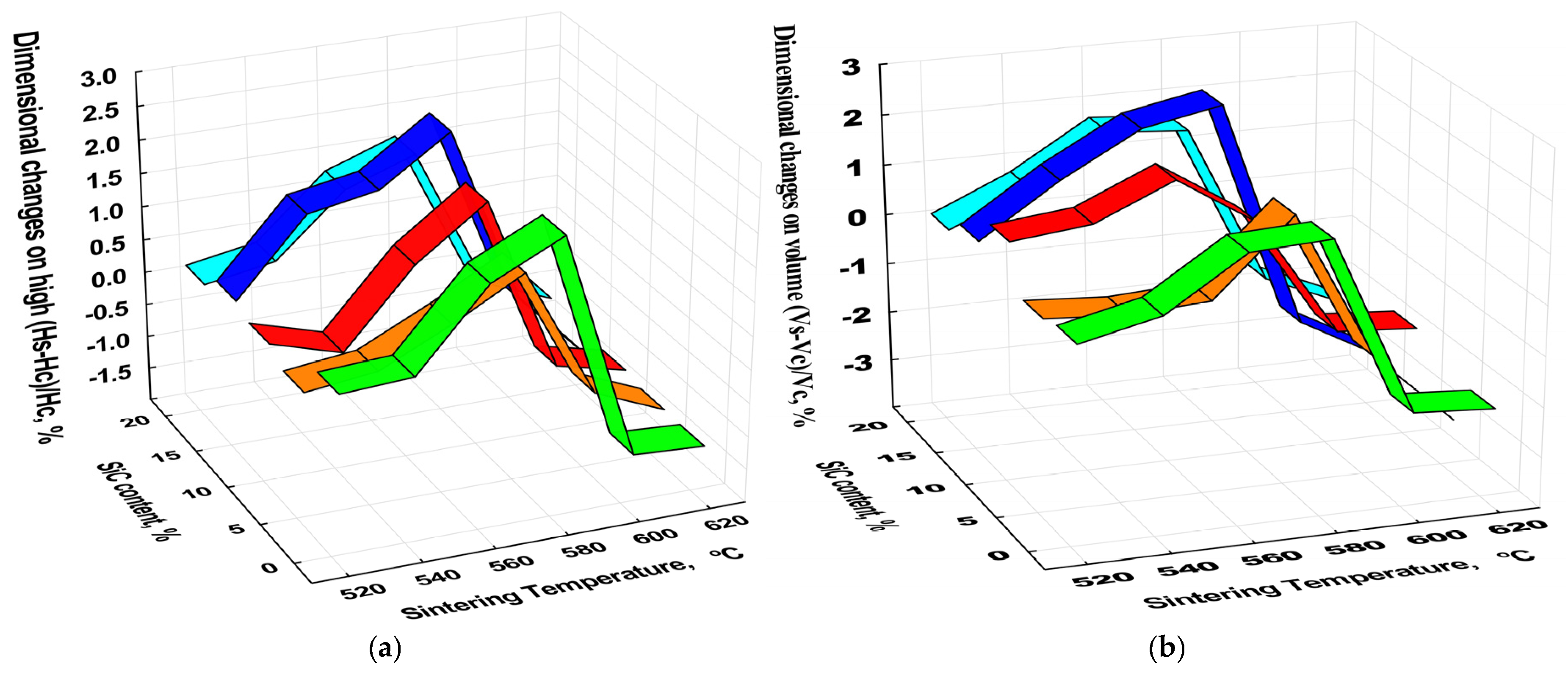
Dimensional changes in the height and volume of the sintered composites and un-reinforced matrix alloys sintered at 520 °C to 620 °C are presented in Figure 9.
Figure 9.
Dimensional changes in height (a) and volume (b) of sintered composites and un-reinforced matrix alloys sintered at 520 to 620 °C.
When analyzing the evolution of the sinter porosity and their dimensional variation, it was observed that for all materials, at sintering temperatures between 520 °C and 580 °C, the progressive expansion (swelling) of the material takes place. Above these temperatures (580 °C), the contraction of the material was observed. These results can be explained by the fact that, in the first stages of sintering, solid-state diffusion occurs between aluminum particles and the copper and aluminum that forms the solid solution α on the surface of the aluminum particles, which results in an increase in volume and implicitly the entire material volume. The predominant diffusion of Cu in Al is due to the diffusion coefficient of copper in aluminum that is much higher than that of aluminum in copper (at 500 °C DCu → Al = 10−10 cm2/s, and DAl → Cu = 10−22 cm2/s), with the maximum solubility of Cu in Al, according to the binary equilibrium diagram Al-Cu at the eutectic temperature of 548 °C, being of 5.68 wt.%. The different solubility of Cu in Al at different sintering temperatures explains the differences in the swelling (dimensional increase) of the material in the single-phase area on the equilibrium diagram (single-phase area for 4 wt.% aluminum alloy Cu extends up to 580 °C), as seen in Figure 8 and Figure 9.
During heating, after the temperature has reached and exceeded the eutectic temperature, eutectic liquid is formed (Figure 7), facilitating liquid phase sintering. The amount of liquid formed in the biphasic domain α-Al + L influences the dimensional variations in both directions. The amount of liquid phase in equilibrium and the copper content of the liquid formed at temperatures between 580 °C and 640 °C, ideally, can be determined by calculation based on the rule of “inverse segments” and applied in the case of the Al-Cu diagram, at 4 wt.% Cu (Table 5).
Table 5.
The liquid equilibrium phase and the copper content of the liquid occurring at different sintering temperatures, for the Al-4Cu alloy, calculated according to the inverse segment rule on the Al-Cu phase equilibrium diagram.
Table 6 displays the Brinell hardness values of samples across various sintering temperatures and SiC proportions. The Brinell hardness values, calculated as the average of five measurements conducted after mechanical testing, showed a slight increase with greater SiC content in the materials. The highest values were recorded at 620 °C for samples with 10% SiC and 15% SiC, reaching 59 HB and 62 HB, respectively. The lowest hardness values were observed at sintering temperatures below 580 °C, which can be attributed to increased porosity during solid-state sintering.
Table 6.
The values of Brinell hardness of samples for different sintering temperatures and SiC proportions.
As can be seen from the results presented in Table 5, the liquid phase in equilibrium is in quantities of 5–20% in the temperature range of 595–620 °C. The presence of the liquid phase can be demonstrated and confirmed experimentally by the effects of liquid phase sintering on the physical-mechanical characteristics, porosity (Figure 8), hardness, and compactness of sintered materials.
It is thus observed in Figure 8 and Figure 9 that at temperatures above 548 °C, there is an expansion of the material followed by a rapid contraction at temperatures above 580 °C. This can be explained by the fact that during liquid phase sintering, the dimensional increases started during solid state sintering (below 548 °C) continue, due to the rapid diffusion of Cu from the eutectic liquid in Al and aluminum alloy particles formed. When a critical concentration of the alloy formed in the surface layer of aluminum is reached, the solid solution layer of aluminum particles melts, leading to the shrinkage of the aluminum particles covered by the solid solution and thus to the contraction of the material. In addition, the presence and maintenance of the liquid phase formed (at 580–620 °C) allows by means of capillary forces the filling of the gaps with liquid and a better packing of the particles, which leads to the densification by contraction of the whole material. Figure 8 shows the effect of the proportion of silicon carbide on the physical-mechanical characteristics of sintered; as the proportion of SiC in the material increases, regardless of temperature, the porosity increases, its highest values being recorded at increased carbide content silicon (15–20%).
The measured porosity (see Figure 8) is also dependent on the sintering temperature, namely the following: at temperatures of 560–580 °C, the highest porosity values (maximums) for all types of materials are recorded: the porosity for the Al-4Cu alloy unreinforced (0% SiC) is 5.65% (at 560 °C) and 5.94% (at 580 °C). For the composite with 5% SiC, the porosity is 5.86% (at 560 °C) and 6.80% (at 580 °C). For the composite with the addition of 10% SiC, the porosity is 9.14% (at 560 °C) and 8.04% (at 580 °C). And for the composites with 15%, the maximum registered values of porosity are 10.88% (at 560 °C) and 10.52% (at 580 °C). Respectively, for the composites with 20%, the porosity is 12.75% (at 560 °C and 12.63% at 580 °C). At temperatures of 600 °C and 620 °C, the range of sintering temperatures in the presence of the liquid phase, the lowest porosity values are recorded. For instance, 2.53% (at 600 °C) and 2.20% (at 620 °C) are the porosities for alloy. Also, 4.39% (at 600 °C) and 3.53% (at 620 °C) are the porosities for composites reinforced with 5% SiC.
The measured porosity for composites reinforced with 10% SiC was 5.94% (for both sintering temperatures of 600 °C and 620 °C), and for the composites reinforced with 15% SiC, the porosity was 7.22% (at 600 °C) and 6.58% (at 620 °C). And for the composite with 20% SiC, the minimum recorded porosity values are 8.94% (at 600 °C) and 8.38% (at 620 °C).
The high porosity values for composite materials with high SiC content, in the first stages of sintering, are explained by the existence of a high initial porosity of the green compact, due to a weaker packing on presses of high SiC mixtures, respectively, by preventing the solid-state self-diffusion of Al-Al particles between them, respectively, of the diffusion of Al-Cu by SiC. The minimum values recorded at temperatures of 600 °C and 620 °C are explained by the presence of the liquid phase in sufficient quantity, allowing a maximum densification of the material (minimum porosity) (Figure 8).
Due to the use of elemental powders, it is possible to traverse all areas of the diagram during sintering, given, for example, by the horizontal drawn at the sintering temperature of 600 °C (Figure 6) from the ends of the diagram to the phases in equilibrium at that temperature. Thus, when the materials are heated above the eutectic temperature, the solubility of Cu in Al decreases, reaching the temperature of 600 °C, 2.9% by weight, and 2% by weight, and 620 °C (point “a” in the diagram (Figure 6). Between “b” and “c”, the liquid phase is enriched in copper, and a high proportion of Cu in Al leads to the formation of the θ phase (Al2Cu) in the material. By maintaining a constant sintering temperature, any other intermetallic compound that could form at the sintering temperatures would have time to dissolve.
The mechanical hardness characteristics, in correlation with the physical and microstructural characteristics, show us that the best sintering temperature of the Al-4Cu-SiC composite is 620 °C, and the best proportion of SiC, at which a good compactness/hardness characteristics ratio is ensured, is 10 and 15% by weight. As a result, the sintered samples at 620 °C were chosen for the secondary heat treatment (precipitation or age hardening).
3.4. Characterizations of Age-Hardened Sample
3.4.1. The Influence of Aging Parameters on Physical, Mechanical, and Micostructural Properties of Sintered Al-Cu-SiC Composites
The heat treatments are applied to the precipitation-hardening Al-4Cu alloy matrix in order to improve the mechanical properties of the sintered composite materials. The thermal cycle of the age hardening of Al-Cu-SiC, sintered at 620 °C/1 h in hydrogen, was carried out according to the secondary heat treatment diagram, schematically presented in Figure 5.
Figure 10 shows the microstructure of the unreinforced Al-4Cu matrix sintered at 620 °C for 1 h in a hydrogen atmosphere and subsequently heat-treated (solution heat treatment at 515 °C for 6 h followed by water quenching, then aging at 170 °C for different aging times) for 12 h. The microstructure predominantly consists of coarse grains of the Al-4Cu solid solution matrix (bright contrast) alongside intermetallic phases, exhibiting diverse precipitated morphologies along the grain boundaries.
Figure 10.
The microstructure of the unreinforced Al-4Cu matrix, sintered at 620 °C/1 h/H2 and then heat treated (solution heat treatment at 515 °C/6 h/water quenching, aging at 170 °C and different aging times) for 12 h. Etching: Keller.
Figure 11 shows the microstructure of Al-4Cu composites reinforced with 10% and 15% SiC, sintered at 620 °C for 1 h in a hydrogen atmosphere and age-hardened (solution heat treatment at 515 °C for 6 h followed by water quenching, then aging at 170 °C for 8 h and 12 h in air). The microstructure features grains of the Al-4Cu solid solution matrix (bright contrast), with a uniform distribution of silicon carbide particles (gray, angular shapes) and irregular pores surrounding the SiC particles.
Figure 11.
The microstructure Al-4Cu composites sintered (620 °C/1 h/H2) and heat treated (solution heat treatment at 515 °C/6 h/water quenching, aging at 170 °C, and different aging times) for (a) 8 h for composites with 10% SiC and (b) 4 h working on the manuscript composites with 15% SiC; Etching: Keller.
In a previous work [12], we have shown that the aging process is enhanced, with maximum values between 101 and 103 μHV0.01 for non-reinforced and aged aluminum alloys at 170 °C for 8 h and at 190 °C for 8 h and 12 h. For composite samples reinforced with 5% and 10% SiC and artificially aged at 170 °C for 8 h, the average maximum microhardness was 119 μHV0.01 and 121 μHV0.01, respectively. In contrast to these, as expected, when increasing the addition of carbides in the aluminum matrix, for composite materials reinforced with a high percentage of SiC (15% and 20% SiC, respectively), the hardness increases, i.e., the average values of micohardness are 130 μHV0.01 for the materials’ reinforcement with 15% ceramic particles and 123 μHV0.01 for composite samples reinforced with 20% silicon carbide, at 170 °C and an aging time of 4 h. The Vickers micro hardness maximum values obtained for unreinforced aluminum alloy and Al-4Cu-SiC composites, sintered 620 °C/1 h/H2 and secondary heat treatment: 515 °C/6 h/water quenching and aging at different aging temperatures and times are presented synthetically in Table 7.
Table 7.
The Vickers micro hardness maximum values obtained for unreinforced aluminum alloy and Al-4Cu-SiC composites, sintered 620 °C/1 h/H2 and secondary heat treatment: 515 °C/6 h/water quenching and aging at different aging temperatures and times.
According to the results presented in the prior studies [12], the aging curves demonstrate an increase in the hardness and strength of the material, reaching a maximum (peak hardness) before subsequently declining. This shape can be explained based on the sequence of phase precipitation (Guiner Preston zone → metastable θ′ (Al2Cu) precipitate → equilibrium θ (Al2Cu) phase) in the aluminum alloy during heat treatment (solution heat treatment, quenching, and artificial aging).
According to the binary diagram of Al-Cu (Figure 6), due to the existence of solvus lines, as the temperature decreases, the solubility of the solid solution α decreases. The decrease in the solubility of the solid solution leads to its supersaturation, the material becoming thermodynamically unstable, and as a result, it will tend to decompose into two new phases. Under conditions where the material is solution treated at 515 °C/6 h and then quenched at temperatures below the solvus curve (water quenching), the matrix alloy remains in the metastable state of a supersaturated solid solution. When the material is reheated to moderate temperatures, below the solvus line, precipitation from the solid solution α appears, which further hardens the matrix alloy. The Guiner Preston zones appear at low aging temperatures and times, and the peak hardness appears due to the metastable precipitate, at a moderate temperature, when the precipitate–matrix interface is semi-coherent or coherent.
The presence of SiC particles shows that the peak hardness is quickly reached [12] and aging kinetics are accelerated. This is explained by the fact that the density of dislocations in the composite is lower around small SiC particles. These particles constitute heterogeneous nuclei sites for precipitates during aging hardening. The microstructures and EDS analysis of the composition of secondary phases of analyzed composites are presented in Figure 12, Figure 13, Figure 14, Figure 15, Figure 16 and Figure 17. These results are in concordance with the experimental results on sintered samples, which shows that the mechanical characteristics of samples and the porosity of sintered samples depend on the processing parameters and proportion of silicon carbide. Thus, the higher proportion added by SiC in the matrix alloy increases the porosity of the material while the mechanical properties decrease.

Figure 12.
EDS analysis of the composition of secondary phases of Al alloy, (a) ESEM image for Al-4Cu alloys, solution heat treated at 515 °C/6 h/water quenching and artificial aging at 170 °C/12 h, (b) Al2Cu (white and gray area) (c) Al2Cu (gray area); (d) Cu (white area).

Figure 13.
EDS analysis of the composition of secondary phases of Al alloy, (a) ESEM image for Al-4Cu-10% SiC composites, solution heat treated at 515 °C/6 h/water quenching and artificial aging at 170 °C/8 h; (b) Al2Cu (white and gray area); (c) Al-Cu-Zn compound (white area); (d) SiC.

Figure 14.
EDS analysis of the composition of secondary phases of Al alloy (a) ESEM image for Al-4Cu-15% SiC composites, solution heat treated at 515 °C/6 h/water quenching and artificial aging at 170 °C/4 h, (b) SiC, (c) Al2Cu (gray area), (d) Al-Cu-Fe compound (white area).
Figure 15.
SEM image and the associated elemental mappings of Al, Si, C, O, Cu, Zn for Al-4Cu alloys, solution heat treated at 515 °C/6 h/water quenching and artificial aging at 170 °C/12 h.
Figure 16.
SEM image and the associated elemental mappings of Al, Si, C, O, Cu, Zn for Al-4Cu-10% SiC composites, solution heat treated at 515 °C/6 h/water quenching and artificial aging at 170 °C/8 h.
Figure 17.
SEM image and the associated elemental mappings of Al, Si, C, O, Fe, Cu for Al-4Cu-15% SiC composites, solution heat treated at 515 °C/6 h/water quenching and artificial aging at 170 °C/4 h.
In addition to microstructural analysis, the microanalysis of precipitated areas (EDS analysis of the composition of secondary phases of the Al alloy) was performed (see Figure 12), Al-4Cu-10% SiC (Figure 13), Al-4Cu-15% SiC (Figure 14), and with image mapping of the elements Al alloy (Figure 15), Al-4Cu-10% SiC (Figure 16) and Al-4Cu-15% SiC (Figure 17).
In Table 8 are presented the values of the EDS spectra for the investigated white and gray area (Al2Cu) of age-hardened Al alloy samples (Figure 14b).
Table 8.
Quantification of EDS spectra for the investigated white and gray area (Al2Cu) of age-hardened Al alloy samples.
Table 9 presents the EDS values for the white and gray area (Al2Cu) of age-hardened Al-4Cu-10% SiC composites (Figure 13b). The ratio between aluminum and copper given by the coefficients Al, Cu and K-ratio is almost 1:2, which confirms that the areas of the Al2Cu secondary phase are investigated, responsible for the hardening of the material. That alloy has also a very low content of zinc as impurities, which can also help in a small measure to the hardening material.
Table 9.
Quantification of EDS spectra for the investigated white and gray area (Al2Cu) of age-hardened Al-4Cu-10% SiC.
In Table 10 are presented the EDS values for the white area of age-hardened Al-4Cu-15% SiC composites (Figure 14b).
Table 10.
Quantification of EDS spectra for the investigated white area of age-hardened Al-4Cu-15% SiC composites.
The results obtained from the chemical microanalysis show that for the sample with 15% SiC (Figure 14b), the ratio between the K coefficients of iron and copper is 1:2, which corresponds to the ternary compound Al7Cu2Fe that exists in the materials of the Al-Cu system [36].
This compound is insoluble during the heat treatment of solution treatments at 515 °C, its presence being undesirable, because it diminishes the possibility of the formation of the Al2Cu hardening compound.
Despite this, the hardening is achieved by the high proportion of silicon carbide, which has largely taken over this hardening effect, giving the material very good mechanical strength.
Figure 12, Figure 13, Figure 14, Figure 15, Figure 16 and Figure 17 confirmed the presence of θ (Al2Cu) secondary phases precipitated at grain boundaries and also the presence of carbide silicon in the matrix. These precipitates in large quantity correlated with the existence of silicon carbide in a relatively large proportion, providing very good aging results (maximum hardness for Al reinforced with 10% SiC aged 8 h). The microstructural analysis reveals the effective embedding of SiC particles within the alloy, observed at 10% and 15% SiC concentrations in the sintered and age-hardened composite sample. Additionally, it was also observed that the number of precipitates at grain boundaries increases with the increasing aging time. Figure 14 shows some undissolved or partial dissolution of free copper in Al solid solution in the vicinity of SiC particles, which can be explained due to the various size of copper powder particles and higher amount of the addition of SiC.
In Table 11, the results of the EDX analysis extracted from Figure 12, Figure 13 and Figure 14 for all of the age-hardened samples of Al-4Cu-(0, 10, and 15%) SiC are summarized.
Table 11.
EDX analysis of the investigated age-hardened Al-4Cu-(0, 10, and 15%) SiC samples.
As an alloying element, the addition of copper (4%) allows the formation of the eutectic phase at the appropriate sintering temperatures, which determines a good sintering, the advanced elimination of the porosity, and implicitly better characteristics. The two constituents (Al2Cu and SiC) that determine the hardening of the heat-treated materials were highlighted in Figure 12, Figure 13, Figure 14, Figure 15, Figure 16 and Figure 17.
After a complex investigation of sintered and hardened aluminum copper-based composites, we concluded that the composites with 15% SiC in the matrix, sintered at 620 °C, one hour in hydrogen, and age-hardened at 170 °C for four hours have the best physical and mechanical(microhardness) characteristics. As a result, we have chosen Al-4Cu-15% SiC composite samples for the analysis of tribological behavior and compared them with unreinforced Al alloys.
3.4.2. The Comparison of Sintered and Age-Hardened Unreinforced Matrix Al-4Cu Alloy Versus Aluminum-Based Composites from Tribological Point of View
The effect of test parameters (applied load and relative speed) on the wear rate and friction coefficient was studied on two types of samples: the composites with 15% SiC and the unreinforced matrix (Al-4Cu), sintered at 620 °C/1 h/H2, solution heat treatment at 515 °C/6 h/water quenching and age-hardened at 170 °C for 4 h/air (the composite), respectively, at 170 °C for 12 h/air (for matrix).
Figure 18 shows the experimental values of the friction coefficients for the Al-4Cu-15% SiC composite and unreinforced Al alloy samples, as a function of different applied loads (0.35 to 1.15 MPa) and relative speed in braking point (at 2 to 4.5 m/s). In Figure 19, the results of tribological testing of selected aluminum alloy samples and composites with 15% SiC are presented. The experimental values of wear rates and friction coefficients are the average of three determinations.
Figure 18.
The experimental values of friction coefficients for Al-4Cu-15% SiC composite and unreinforced Al alloy samples, as a function of different applied loads and relative speed.
Figure 19.
The experimental values of wear rates for Al-4Cu-15% SiC composite and unreinforced Al alloy samples, function of different applied loads and relative speed: (a) wear rate measured by weight loss (g/cm2/h); (b) wear rate measured by height loss (mm/h).
The friction coefficient of sintered and age-hardened aluminum alloy varies between 0.25 (at 1.15 MPa and 2 m/s) and 0.36 (at 0.35 MPa and 2 m/s) and the composite between 0.27 (at 1.15 MPa and 2 m/s) and 0.52 (at 0.35 MPa and 2 m/s).
The wear rate (weight loss) of sintered and age-hardened aluminum alloy varies between 0.22 (at 0.35 MPa and 2 m/s) and 0.428 (at 1.15 MPa and 2 m/s) and the composite between 0.164 (at 0.35 MPa and 2 m/s) and 0.417 (at 1.15 MPa and 4.5 m/s).
The wear rate (height loss) of sintered and age-hardened aluminum alloy varies between 1.69 (at 0.35 MPa and 2 m/s) and 2.05 (at 1.15 MPa and 2 m/s), and the composite between 0.42 (at 0.35 MPa and 2 m/s) and 1.12 (at 1.15 MPa and 4.5 m/s).
The friction coefficient slightly decreases (0.36 to 0.32 for Al alloy and 0.52 to 0.445 for composite), with increasing relative speed at low loads (0.35 MPa), and highly decreases (0.41 to 0.27 for composite) at high loads (1.15 MPa) due to interface changes caused by wear. The friction coefficient values of sintered and age-hardened unreinforced Al alloy in comparison with the composite is 28% lower (at 4.5 m/s and 0.35 MPa), 30.7% lower (at 2 m/s and 0.35 MPa), and 39% lower (at 2 m/s and 1.15 MPa).
At 4.5 m/s and 1.15 MPa, the aluminum alloy is gripping. Figure 19 shows that the wear rate increased with the increase in relative speed. At the same relative speed, the friction coefficients (Figure 18) of both types of samples (unreinforced matrix and composite) decreased as the applied load increased, while the wear rates increased. The increase in wear rate, despite the presence of a thicker tribo-layer, can be attributed to the dynamic nature of this layer’s formation and breakdown during the wear process. Specifically, the tribo-layer consists of a mixture of compacted debris, oxides, and transferred material from the interacting surfaces. While this layer initially acts as a protective barrier, reducing friction by limiting direct metal-to-metal contact, its stability is influenced by the sliding conditions, such as the applied load and speed. Under higher loads, the breakdown of the oxide film on the surface exposes harder asperities—such as embedded ceramic particles or oxidized fragments, which protrude through the tribo-layer. These hard asperities, rather than the tribo-layer itself, intensify abrasive interactions with the counterface, leading to an elevated wear rate. At the same time, the thicker tribo-layer continues to mitigate direct surface contact, maintaining a lower friction coefficient.
Thus, the simultaneous increase in wear rate and decrease in friction coefficient arise from the dual role of the tribo-layer: it reduces friction by acting as a lubricating intermediary, while its partial disruption under load generates abrasive debris that accelerates material loss.
The wear rate (weight loss) values of sintered and age-hardened unreinforced Al alloy are 25.5% higher in comparison with the composite, tested in the same conditions (0.35 MPa and 2 m/s). Respectively, the wear rate value of sintered and age-hardened unreinforced Al alloy in comparison with the composite tested at 0.35 MPa and 4.5 m/s is 32.2% higher.
In conclusion, as we expected, the addition of silicon carbide in the Al-4Cu matrix, in a proper proportion, according to previous investigation, improves the tribological behavior of the tested materials.
3.4.3. Tribological Behavior and Statistical Experimental Design of Sintered and Age-Hardened Al-4Cu-15% SiC Composites
When solving optimization problems, it is essential to establish the influencing factors (independent variables). For each factor (variable), the base levels Z0i (0) and the variation intervals ΔZ1 are determined.
By adding the variation interval to the base level, the upper level is obtained, and by decreasing the variation interval, the lower level of the factor is obtained. In our experiments, the upper level and lower level of each variable along with their code values used in these investigations are presented in Table 12.
Table 12.
Correspondence between the values of each factor and their coded values.
The coefficients of Equation (3) were determined statistically using the Student criterion starting from the experiment planning matrix. In Table 13, the experiment planning matrix is presented for the Al-4 Cu-15%SiC composite samples. In this table are presented the values of individual variables, with their wear rate and friction coefficient response in each trial, tested for the Al-4 Cu-15%SiC composite samples. The values obtained for the response to the tribological tests result from random experiments along the theoretical values. The experimental values y1 and y2 represent the wear rate measured by height loss and weight loss, respectively, and Y3 represents the values of friction coefficients.
Table 13.
The experiment planning matrix for Al-4 Cu-15%SiC composite samples.
The calculation of the reproducibility dispersion for the y1, y2—wear rate and y3—friction coefficient was made if Z1 × Z2 has values of the basic level and is made according to Equation (4).
The four parallel experiences are presented in Table 14, where u = number of experiments; n—number of parallel experiments (n = 4), = arithmetic average of obtained results for k = 1, 2 or 3, the type of variable response; and = degrees of freedom at n − 1.
Table 14.
The four parallel experiences for variable response for Al-4 Cu-15%SiC composite.
The results were that a variable response for Y1 is S02 = 0.001091667, a variable response for Y2 is S02 = 0.0001817, and a variable response for Y3 is S02 = 0.00016667, for the age-hardened Al-4 Cu-15%SiC samples.
The coefficients of each variable from Equation (3) were calculated with Equations (5) and (6), and determined statistically using the Student criterion.
Introducing the calculated coefficients (5) and (6) in Equation (3) results in the following regression equations:
Y1AMC = 0.838 + 0.1875x1 + 0.1625x2 − 0.0675x1x2
Y2AMC = 0.298 + 0.092x1 + 0.0348x2 − 0.007x1x2
Y3AMC = 0.411 − 0.071x1 − 0.0538x2 − 0.0163x1x2
The accordance degree of the regression equations was verified with the Fischer criterion; thus, the dispersion in the determination of coefficients is calculated with the following relations:
Result that, for the variable response Y1AMC, Sbi = 0.01652019, for variable response Y2AMC, Sbi = 0.0067392, and variable response Y3AMC, Sbi = 0.00645497
The Student criterion t0.05;4 = 2.776 and the Δbi—confidence interval is Δbi =2.776 · Sbi. After calculation, the variable response Y1AMC is Δbi = 0.045860047, for variable response Y2AMC, Δbi = 0.0187080 and for variable response Y3AMC, Δbi = 0.0179190. But according to [10,41], if the relation (11) is not accomplished, the result would be that the calculated value of the coefficient is not statistically different from zero, therefore, the term comprising interaction, or another factor from equation, will be neglected.
In this case, the calculated (predicted) linear model of the processes will be the following: for the wear—Equations (12) and (13) and friction coefficients Equation (14), respectively, of the composite material can be expressed as follows:
Y1AMC = 0.838 + 0.1875x1 + 0.1625x2
Y2AMC = 0.298 + 0.092x1 + 0.0348x2
Y3AMC = 0.411 − 0.071x1 − 0.0538x2
The values of bi0 is 0.838 for Equation (12), 0.298 for Equation (13) and 0.411 for Equation (14) which represent the values of the respond variables at the base level (0.75 MPa, at 3.25 relative speed in braking points). The values of coefficients *bi2* associated with *x2* (relative speed at the brake point) are 0.0348 for Equation (12) and 0.0538 for Equation (13), respectively. This indicates that these variables have minimal influence. Also, the coefficient bi3 is zero, which means we don’t have interactions between the two variables x1 (applied load) and x2 (relative speed) on wear rate and friction coefficients.
As a result, the experiment planning matrix for Al-4 Cu-15%SiC composite samples with the calculated wear rate (y1calc, y2calc) and friction coefficients (y3calc) are presented in Table 15.
Table 15.
The experiment planning matrix for Al-4 Cu-15%SiC composite samples with the calculated variables.
In these equations, x1, x2 are coded values of the factors, which are calculated from natural values, with the following formula:
Substituting in Equation (15) the values from Table 12, we will obtain
For a better understanding of the tribological behavior of the composite samples depending on the applied load (0.35 MPa and 1.15 MPa) and relative speed (2 m/s and 4.5 m/s), we represented graphically the experimental and statistical calculated values of the wear rates (Figure 20) and friction coefficient (Figure 21) of sintered and aged Al-4Cu-15% SiC composites.
Figure 20.
The experimental and statistically calculated values of wear rates of Al-4Cu-15% SiC composite samples as a function of applied load (0.35 MPa and 1.15 MPa) and relative speed (2 m/s and 4.5 m/s).
Figure 21.
The experimental and statistically calculated values of friction coefficient of Al-4Cu-15% SiC composite samples as a function of applied load (0.35 MPa and 1.15 MPa) and relative speed (2 m/s and 4.5 m/s).
Verification of the model concordance: The computation of dispersion produced by the linear equations of regression is presented in Table 16:
Table 16.
The computation of dispersion S2conc produced by the linear equation of regression Al-4 Cu-15%SiC composite samples.
- where
The calculated Fischer criterion is as follows:
Introducing the values of from Table 16 in Equation (18) and then introducing the resulted and the values of reproducibility dispersion in Equation (19) resulted that the calculated Fisher is Fc1 = 5.008696 (for variable response Y1); Fc2 = 7.248714 (for variable response Y2); and Fc3 = 1.677193 (for variable response Y3).
From the tabulated values of the optimization book annexes in [40] resulted = = 10.13. Because , i = 1, 2 or 3 ⇒ The linear models for all three variables of sintered Al-4 Cu-15%SiC composite samples are in concordance with the analyzed process. The factorial design of an experiment can be successfully employed to describe the tribological behavior of sintered and age-hardened Al-4Cu-15% SiC composites.
4. Conclusions
This research demonstrated the complex influence of processing variables and the different composition of Al-Cu-SiC P/M composites used for eco-friendly automotive part applications. A comprehensive experimental schedule was developed to better understand the influence of the ceramic particle addition and the material and process parameters on the physical, structural, mechanical, and tribological characteristics of the sintered composite materials.
The influence of the ceramic particles on the characteristics of the mixtures is concluded as follows: (i) the apparent and tap densities decrease with the increasing proportion of SiC in the mixture, and the flow rate and specific surface area have a slightly increasing evolution with increasing the SiC content of the mixture.
The analysis of the results regarding the compaction behavior of the homogenized powder mixtures, at different applied pressures and different compositions (Figure 3, Table 4), indicated that by adding hard and brittle SiC particles to the aluminum alloy matrix, the compactness decreases. By increasing the applied pressure, at moderate pressures between 150 MPa and 250 MPa, the samples reach a compactness of 80–85%, corresponding to stage II of pressing, by the elasto-plastic deformation of aluminum and copper particles, respectively (confirmed by Compo Image of compacted samples in Figure 3).
At pressures between 300 and 450 MPa, the material densifies (compactness increases to values of over 85% corresponding to stage III of pressing) when massive deformations of metal particles and the fragmentation of SiC particles take place (Table 4). It was found that obtaining a maximum densification for unreinforced aluminum alloy is achieved by applying pressures of 250 MPa, and for the composites with 5% SiC, it is obtained at a pressure of 350 MPa (94.96% compactness). For contents higher than 5% SiC, respectively, for 10% SiC, 1% SiC, and 20% SiC, the density increases. Thus, when applying a pressure of 450 MPa, for these mixtures, we obtained 92.15% compactness for samples with 10% SiC, a compactness of 91.63% for samples with 15% SiC, and a compactness of 89.95% of the theoretical density for composites with 20% SiC.
The influence of the sintering parameters and the proportion of silicon carbide particles on the physical-mechanical and microstructural characteristics of the studied materials was as follows: the increased porosity of composites with high SiC content, in the first stages of sintering, determined first on measurements before and after sintering, is explained by the existence of a large initial porosity of the green compact. This fact is due to a weak packing at compaction of the mixtures with a high SiC amount, as well as due to the silicon carbide opposition (impediment) of the solid-state diffusion between the Al-Al particles, respectively, between the Al-Cu particles.
From the above mentioned complex investigation of Al-4Cu-(0 to 20%) SiC, when the sample materials were studied, varying the process parameters and SiC proportion during of each of the subsequent processing steps, we concluded that the composites with 15% SiC in the matrix, sintered at 620 °C/1 h/H2, solution heat treatment at 515 °C/6 h/water quenching, and age hardened at 170 °C for 4 h/air have the best physical and mechanical (microhardness) characteristics. As a result, we have chosen the Al-4Cu-15% SiC composite to be tribologically tested in comparison with the unreinforced matrix (Al-4Cu), sintered in the same condition (at 620 °C/1 h/H2, solution heat treatment at 515 °C/6 h/water) and age-hardened at 170 °C for 12 h in air.
Friction and wear tests of the samples were carried out under dry sliding conditions using a “pin on disc” machine, at a contact pressure of 0.35 to 1.15 MPa and a relative velocity of 2 to 4.5 m/s, and the prediction of the tribological behavior was conducted using a linear factorial design approach. After experimental wear testing, followed by a prediction with factorial design experiments, we concluded that by increasing the applied load and relative speed, the response variables (wear rate as measured by height loss and weight loss, respectively) increase moderately, and the friction coefficient variable slowly decreases.
We also observe that the friction coefficients of composites at moderate and high values of the applied load and the relative speed show high values, between 0.3 and 0.5, values that are in accordance with the requirements of the friction materials for their potential application as parts of the automotive braking system with medium duty dry operating conditions.
5. The Future Scope of Work
In the years ahead, future research will set out the scope of this work through a series of interconnected investigations. One research endeavor focusses on the development of hybrid composites, wherein the aluminum matrix serves as a foundation for integrating advanced reinforcements such as carbide nanoparticles, carbon nanotubes, or graphene, resulting in structures of enhanced complexity and functionality. Concurrently, a comparative analysis is conducted to systematically evaluate the aluminum matrix composites and iron-copper-based counterparts under controlled testing environments.
This exploration extends further into advanced testing regimes, probing a broader spectrum of parameters and conditions to deepen insights into the tribological characteristics and mechanical properties governing these composites’ behavior. Interwoven with these efforts is an assessment of environmental implications, quantifying the sustainability and ecological advantages these materials may confer to sectors such as automotive and broader industrial applications. Central to this progression is the refinement of processing methodologies, optimizing parameters to amplify the composites’ attributes and operational efficacy. By addressing these areas, the research aspires to foster high-performance, environmentally attuned materials poised to address diverse applicative demands.
Author Contributions
Conceptualization, I.N.P.; methodology, I.N.P., B.A., F.V.A. and C.N., validation, R.V., B.A., R.V., B.A. and F.V.A.; investigation, I.N.P., R.V., F.V.A. and C.N.; writing—original draft preparation, I.N.P.; writing—review and editing, I.N.P., R.V., B.A. and C.N.; visualization, R.V., B.A. and F.V.A.; supervision, R.V. All authors have read and agreed to the published version of the manuscript.
Funding
This research received no external funding.
Data Availability Statement
The original contributions presented in the study are included in the article, further inquiries can be directed to the corresponding author.
Acknowledgments
The authors are grateful to the Metallurgical Research Institute Bucharest and BIOMAT Research Centre, Bucharest, for providing equipment and also thank Dionezie Bojin from the Electron Microscopy Laboratory, Faculty of Materials Science and Engineering, POLITEHNICA University of Bucharest, for advice and support.
Conflicts of Interest
The authors declare no conflicts of interest.
References
- Wąsik, A.; Leszczyńska-Madej, B.; Madej, M. Sustainability in the Manufacturing of Eco-Friendly Aluminum Matrix Composite Materials. Sustainability 2024, 16, 903. [Google Scholar] [CrossRef]
- Sadhu, K.K.; Prajapati, P.K.; Mandal, N.; Sahoo, R.R. Tribo-mechanical evaluation of SiC-reinforced wear-resistant aluminium composite fabricated through powder metallurgy. Mater. Today Commun. 2025, 42, 111184. [Google Scholar] [CrossRef]
- Bharathi, P.; Sampath Kumar, T. Effect of Silicon Carbide and Boron Carbide on Mechanical and Tribological Properties of Aluminium 7075 Composites for Automobile Applications. Silicon 2023, 15, 6147–6171. [Google Scholar] [CrossRef]
- Venkatesh, V.S.S.; Deoghare, A.B. Microstructural Characterization and Mechanical Behaviour of SiC and Kaoline Reinforced Aluminium Metal Matrix Composites Fabricated Through Powder Metallurgy Technique. Silicon 2022, 14, 3723–3737. [Google Scholar] [CrossRef]
- Sellami, A.; Elleuch, R. Green composite friction materials: A review of a new generation of eco-friendly brake materials for sustainability. Environ. Eng. Res. 2024, 29, 230226. [Google Scholar] [CrossRef]
- Lattanzi, L.; Awe, S.A. Thermophysical properties of Al-based metal matrix composites suitable for automotive brake discs. J. Alloys Metall. Syst. 2024, 5, 100059. [Google Scholar] [CrossRef]
- Serrenho, A.C.; Norman, J.B.; Allwood, J.M. The impact of reducing car weight on global emissions: The future fleet in Great Britain. Philos. Trans. R. Soc. A Math. Phys. Eng. Sci. 2017, 375, 20160364. [Google Scholar] [CrossRef]
- Romero, C.A.; Correa, P.; Ariza Echeverri, E.A.; Vergara, D. Strategies for Reducing Automobile Fuel Consumption. Appl. Sci. 2024, 14, 910. [Google Scholar] [CrossRef]
- Fayyazbakhsh, A.; Bell, M.L.; Zhu, X.; Mei, X.; Koutný, M.; Hajinajaf, N.; Zhang, Y. Engine emissions with air pollutants and greenhouse gases and their control technologies. J. Clean. Prod. 2022, 376, 134260. [Google Scholar] [CrossRef]
- Popescu, I.N.; Ghiţă, C.; Bratu, V.; Palacios Navarro, G. Tribological behaviour and statistical experimental design of sintered iron–copper based composites. Appl. Surf. Sci. 2013, 285, 72–85. [Google Scholar] [CrossRef]
- Yan, L.; Xu, H. Lightweight composite materials in automotive engineering: State-of-the-art and future trends. Alex. Eng. J. 2025, 118, 1–10. [Google Scholar] [CrossRef]
- Popescu, I.N.; Vidu, R.; Bratu, V.; Olei, B.A.; Ungureanu, D.N.; Anghelina, F.V. Effects of Silicon Carbide Proportion and Artificial Aging Parameters on Microstructure and Hardness of Al-Cu/SiCp Composites. Solid State Phenom. 2014, 216, 122–127. [Google Scholar] [CrossRef]
- Gecu, R.; Karaaslan, A. Sliding Wear of the Ti-Reinforced Al Matrix Bi-metal Composite: A Potential Replacement to Conventional SiC-Reinforced Composites for Automotive Application. Int. J. Met. 2019, 13, 641–652. [Google Scholar] [CrossRef]
- Candela, A.; Sandrini, G.; Gadola, M.; Chindamo, D.; Magri, P. Lightweighting in the automotive industry as a measure for energy efficiency: Review of the main materials and methods. Heliyon 2024, 10, e29728. [Google Scholar] [CrossRef] [PubMed]
- Sima, G.; Mangra, M.; Gîngu, O.; Criveanu, M.C.; Olei, B.A. Influence of the Reinforcing Elements on the Wear Behavior of Al/(Sic+Graphite) Composites Elaborated by Spark Plasma Sintering Technology. Mater. Sci. Forum 2011, 672, 241–244. [Google Scholar] [CrossRef]
- Zheng, K.L.; Wei, X.S.; Yan, B.; Yan, P.F. Ceramic waste SiC particle-reinforced Al matrix composite brake materials with a high friction coefficient. Wear 2020, 458, 203424. [Google Scholar] [CrossRef]
- Qiu, T.; Wu, M.; Du, Z.; Chen, G.; Zhang, L.; Qu, X. Microstructure evolution and densification behaviour of powder metallurgy Al–Cu–Mg–Si alloy. Powder Metall. 2020, 63, 54–63. [Google Scholar] [CrossRef]
- Janowski, G.M.; Pletka, B.J. The effect of particle size and volume fraction on the aging behavior of a liquid-phase sintered SiC/aluminum composite. Metall. Mater. Trans. A 1995, 26, 3027–3035. [Google Scholar] [CrossRef]
- Hassan, A.M.; Alrashdan, A.; Hayajneh, M.T.; Mayyas, A.T. Wear behavior of Al–Mg–Cu–based composites containing SiC particles. Tribol. Int. 2009, 42, 1230–1238. [Google Scholar] [CrossRef]
- Hatti, G.; Naveen, G.J.; Koti, V.; Uppin, V.S.; Lingaraju, S.V.; Janamatti, S.; Hokrani, V.V.; Pujar, S.N. Green metal matrix composites: A multi-faceted study on Al alloy composites with egg shell powder and silicon carbide as reinforcements. Metall. Res. Technol. 2024, 121, 610. [Google Scholar]
- Usca, Ü.A.; Şap, S.; Uzun, M.; Değirmenci, Ü. Determination of mechanical and tribological properties of vacuum sintered hybrid reinforced Al-4Cu composites. J. Compos. Mater. 2024, 58, 2799–2815. [Google Scholar] [CrossRef]
- Ravichandran, M.; Vidhya, V.; Anandakrishanan, V. Study of the Characteristics of AL + 5 wt.% TiO2 + 6 wt.% GR Hybrid P/M Composite Powders Prepared by the Process of Ball Milling. Mater. Sci. 2016, 51, 589–597. [Google Scholar] [CrossRef]
- Bhaskar, S.; Kumar, M.; Patnaik, A. Silicon Carbide Ceramic Particulate Reinforced AA2024 Alloy Composite—Part I: Evaluation of Mechanical and Sliding Tribology Performance. Silicon 2020, 12, 843–865. [Google Scholar] [CrossRef]
- Jang, H.; Ko, K.; Kim, S.J.; Basch, R.H.; Fash, J.W. The effect of metal fibers on the friction performance of automotive brake friction materials. Wear 2004, 256, 406–414. [Google Scholar] [CrossRef]
- Chandel, R.; Sharma, N.; Bansal, S.A. A review on recent developments of aluminum-based hybrid composites for automotive applications. Emergent Mater. 2021, 4, 1243–1257. [Google Scholar] [CrossRef]
- Nicolicescu, C.; Ciobanu, M.; Leonat, L. Influence of the Mechanical Alloying Parameters on the Elaboration of Sic/Al Nanocomposite Powders. Mater. Sci. Forum 2011, 672, 219–222. [Google Scholar] [CrossRef]
- Kim, S.-C.; Kim, M.-T.; Lee, S.; Chung, H.; Ahn, J.-H. Effects of copper addition on the sintering behavior and mechanical properties of powder processed Al/SiCpcomposites. J. Mater. Sci. 2005, 40, 441–447. [Google Scholar] [CrossRef]
- Prasad, N.J.K.; Suresh, K.R.; Niranjan, H.B.; Venkateswarlu, K. Effect of Copper Addition on the Sintering Behavior and Mechanical Properties of Powder Processed Al/Beryl Composites. Procedia Mater. Sci. 2014, 5, 1148–1154. [Google Scholar] [CrossRef]
- Natarajan, N.; Vijayarangan, S.; Rajendran, I. Wear behaviour of A356/25SiCp aluminium matrix composites sliding against automobile friction material. Wear 2006, 261, 812–822. [Google Scholar] [CrossRef]
- Wąsik, A.; Leszczyńska-Madej, B.; Madej, M.; Goły, M. Effect of Heat Treatment on Microstructure of Al4Cu-SiC Composites Consolidated by Powder Metallurgy Technique. J. Mater. Eng. Perform. 2020, 29, 1841–1848. [Google Scholar] [CrossRef]
- Ghiţă, C.; Popescu, I.N. Experimental research and compaction behaviour modelling of aluminium based composites reinforced with silicon carbide particles. Comput. Mater. Sci. 2012, 64, 136–140. [Google Scholar] [CrossRef]
- Lapshin, O.; Savitskii, A.; Ovcharenko, V. Mathematical Model of Compact Changes in Volume during Liquid-Phase Sintering. II. J. Mater. Synth. Process. 2001, 9, 83–92. [Google Scholar] [CrossRef]
- Zhou, J.; Duszczyk, J. Preparation of Al-20Si-4.5Cu alloy and its composite from elemental powders. J. Mater. Sci. 1999, 34, 5067–5073. [Google Scholar] [CrossRef]
- Zhang, Q.; Xiao, B.L.; Liu, Z.Y.; Ma, Z.Y. Microstructure evolution and elemental diffusion of SiCp/Al–Cu–Mg composites prepared from elemental powder during hot pressing. J. Mater. Sci. 2011, 46, 6783–6793. [Google Scholar] [CrossRef]
- Bhoi, N.K.; Singh, H.; Pratap, S. Developments in the aluminum metal matrix composites reinforced by micro/nano particles—A review. J. Compos. Mater. 2020, 54, 813–833. [Google Scholar] [CrossRef]
- Özay, Ç.; Gencer, E.B.; Gökçe, A. Microstructural properties of sintered Al–Cu–Mg–Sn alloys. J. Therm. Anal. Calorim. 2018, 134, 23–33. [Google Scholar] [CrossRef]
- Tang, F.; Anderson, I.E.; Biner, S.B. Solid state sintering and consolidation of Al powders and Al matrix composites. J. Light Met. 2002, 2, 201–214. [Google Scholar] [CrossRef]
- Savitskii, A.P.; Romanov, G.N.; Martsunova, L.S.; Zhdanov, V.V. Nature of the growth of Al-Cu powder compacts during liquid-phase sintering. Sov. Powder Metall. Met. Ceram. 1988, 27, 348–351. [Google Scholar] [CrossRef]
- Leszczyńska-Madej, B.; Madej, M.; Wąsik, A. The effect of Cu addition on wear mechanisms and tribological properties of aluminium matrix composites reinforced with SiC. J. Compos. Mater. 2019, 53, 3073–3083. [Google Scholar] [CrossRef]
- Taloi, D.E.F.; Bratu, C.; Berceanu, E. The Optimisation of Metallurgical Processes; Didactica & Pedagogica Publisher: Bucharest, Romania, 1983. [Google Scholar]
- Milosan, I. 2k Factorial Design Used to Optimize the Linear Mathematical Model through Active Experiment. RECENT—REzultatele CErcetărilor Noastre Teh. 2018, 19, 37–43. [Google Scholar] [CrossRef]
Disclaimer/Publisher’s Note: The statements, opinions and data contained in all publications are solely those of the individual author(s) and contributor(s) and not of MDPI and/or the editor(s). MDPI and/or the editor(s) disclaim responsibility for any injury to people or property resulting from any ideas, methods, instructions or products referred to in the content. |
© 2025 by the authors. Licensee MDPI, Basel, Switzerland. This article is an open access article distributed under the terms and conditions of the Creative Commons Attribution (CC BY) license (https://creativecommons.org/licenses/by/4.0/).























