Enhancing Fault Diagnosis: A Hybrid Framework Integrating Improved SABO with VMD and Transformer–TELM
Abstract
1. Introduction
2. Theoretical Background
2.1. VMD
2.2. Improved Subtraction-Average-Based Optimizer
2.2.1. SABO Algorithm
2.2.2. Improved Strategies for SABO
2.3. Transformer Model
2.4. TELM Model
3. Detailed Implementation Procedure of the Proposed Fault Diagnosis Method
3.1. Optimization of VMD Parameters Using the Improved SABO
- (1)
- Algorithm initialization phase: During this phase, the basic operational parameters of the ISABO optimizer are meticulously set, including the population size and the maximum number of iterations. Meanwhile, based on the specific problem, the feasible solution space for the key VMD parameters (such as the number of decomposition layers and the penalty factor) is defined. Multiple sets of parameter combinations within the preset ranges are randomly generated to form the initial population. Each individual in the initial population represents a potential solution to the VMD parameter optimization problem.
- (2)
- Fitness evaluation construction: A dual-indicator fusion fitness evaluation system is established, which uses the ratio of the envelope entropy to the envelope Gini coefficient of the VMD decomposition results as the performance criterion for parameter optimization. This criterion quantifies the quality of signal decomposition under different parameter combinations. By calculating the ratio of these two indicators, the effectiveness of VMD decomposition under various parameter combinations can be comprehensively evaluated, with a smaller ratio indicating higher decomposition quality.
- (3)
- Population position iterative update: Based on the optimization mechanism of the ISABO algorithm, a dynamic adjustment strategy is constructed by calculating the subtraction average among population individuals to drive their positions towards advantageous regions in the search space. In each iteration, for each individual in the population, its subtraction average relative to other individuals is first calculated. This involves subtracting the parameter values of other individuals from the target individual’s parameter values and then taking the average of these differences. Subsequently, based on the subtraction average and the current individual’s fitness value, the update strategy for the individual’s position is determined. Individuals with poor fitness are more likely to be influenced by the subtraction average, resulting in larger positional adjustments to explore new parameter space regions. Conversely, individuals with good fitness may undergo smaller positional adjustments for refined searches within the current region. As iterations proceed, the population gradually converges towards regions of high-quality solutions.
- (4)
- Convergence condition discrimination: When the algorithm reaches the pre-set maximum number of iterations, the search is forcibly terminated regardless of the current population state. This ensures that the algorithm does not run indefinitely. Subsequently, the individual with the optimal fitness in the current population is locked in as the approximate global optimal VMD parameter combination.
- (5)
- Parameter application: The optimized decomposition parameters (i.e., the number of decomposition layers and the penalty factor) are imported into the VMD system to guide the decomposition of input signals. By reconstructing the signal based on the optimized parameters, more accurate and efficient signal decomposition results can be obtained, thereby constructing a more precise and efficient algorithm model.
3.2. Selection Criteria for IMF Signal Components
3.3. Transformer–TELM Model Structure
3.4. Algorithm Steps and Flow
- (1)
- Fine-tuning of VMD Parameters: To explore the optimal configuration of parameters in the VMD algorithm, the ISABO algorithm is introduced to perform fine-tuning of the parameters. The core of this process lies in continuously iterating and optimizing to achieve the best performance of the VMD algorithm, thereby laying a solid foundation for subsequent signal decomposition tasks.
- (2)
- VMD Signal Decomposition and Key Component Identification: Taking the original signal of the rolling bearing as input, the VMD algorithm optimized by the ISABO algorithm is utilized to perform signal decomposition. This step generates multiple signal components. Subsequently, a screening strategy proposed in this paper is adopted, which involves calculating the ratio of the envelope entropy to the envelope Gini coefficient for each signal component and selecting the component with the smallest ratio as the key signal component.
- (3)
- Calculation and Extraction of Preliminary Features: Based on the identified key signal component, a series of statistical feature quantities, such as the mean, variance, peak value, and kurtosis, are further calculated. These feature quantities, as intuitive reflections of the basic statistical characteristics of the signal, provide the necessary basis and support for subsequent deeper feature mining and learning.
- (4)
- Mining and Learning of Deep Features: To deeply explore the complex features hidden in the signal, the Transformer model is introduced as a feature extractor. With its powerful sequence processing capability, the Transformer model can automatically capture complex patterns and regularities in the data, thereby extracting richer, more effective, and discriminative feature representations.
- (5)
- Identification of Rolling Bearing Faults: The deep features extracted by the Transformer model are input into the TELM model for fault diagnosis of rolling bearings. Through rigorous model training and validation processes, accurate identification and classification of rolling bearing fault types can be achieved.
4. Experimental Verification
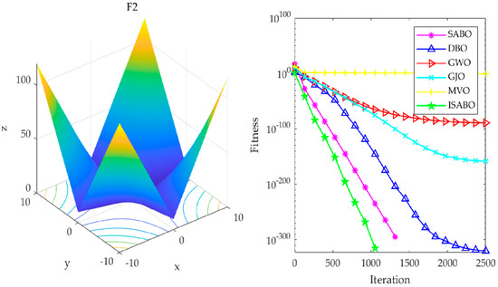
4.1. Analysis of Optimization Performance of ISABO
4.2. Verification of Bearing Experimental Data
5. Conclusions
- (1)
- In terms of feature extraction optimization, the ISABO algorithm is introduced to adaptively optimize the core parameters of VMD. This significantly improves the diversity of particles and accelerates the convergence process, effectively avoiding the problem of local optimal solutions. Compared with algorithms such as SABO, GWO, GJO, MVO, and DBO, the ISABO algorithm has a simple operation process, fast convergence speed, and high convergence accuracy and does not fall into local optimal solutions throughout the optimization process.
- (2)
- In the dimension of modal decomposition evaluation, a dual-index evaluation system based on the envelope entropy and Gini coefficient is constructed. This composite fitness function effectively integrates the characteristics of time-domain sparsity and frequency-domain energy distribution. At the same time, with the help of the ISABO algorithm, the key parameters of VMD are meticulously optimized, achieving precise decomposition and efficient reconstruction of signals. Based on this dual-dimension index evaluation system, the optimal signal components can be more accurately selected.
- (3)
- In view of the limitations of traditional data-driven modeling methods in fault diagnosis, a fault diagnosis model based on Transformer–TELM is proposed. This model uses a multi-layer Transformer model to deeply analyze the initially extracted feature quantities. By automatically capturing the potential patterns in the data, it extracts more discriminative feature representations. Subsequently, features are extracted from the second fully connected layer and input into TELM for fault classification. To verify the effectiveness of feature extraction, the t-SNE algorithm is introduced to compare and analyze the data before and after feature extraction. The results show that the feature space enhanced by Transformer maintains a relatively high degree of intra-class compactness and inter-class separability. Compared with traditional methods based on models such as KELM, ELM, SVM, and Softmax, the method proposed in this study achieves a significant improvement in diagnostic accuracy.
Author Contributions
Funding
Data Availability Statement
Conflicts of Interest
References
- Zhong, J.; Huang, Y. Time-frequency representation based on an adaptive short-time Fourier transform. IEEE Trans. Signal Process. 2010, 58, 5118–5128. [Google Scholar] [CrossRef]
- Griffin, D.; Lim, J. Signal estimation from modified short-time Fourier transform. IEEE Trans. Acoust. Speech Signal Process. 1984, 32, 236–243. [Google Scholar] [CrossRef]
- Durak, L.; Arikan, O. Short-time Fourier transform: Two fundamental properties and an optimal implementation. IEEE Trans. Signal Process. 2003, 51, 1231–1242. [Google Scholar] [CrossRef]
- Guo, T.; Zhang, T.; Lim, E.; Lopez-Benitez, M.; Ma, F.; Yu, L. A review of wavelet analysis and its applications: Challenges and opportunities. IEEE Access 2022, 10, 58869–58903. [Google Scholar] [CrossRef]
- Al-Badour, F.; Sunar, M.; Cheded, L. Vibration analysis of rotating machinery using time–frequency analysis and wavelet techniques. Mech. Syst. Signal Process. 2011, 25, 2083–2101. [Google Scholar] [CrossRef]
- Zhu, K.; San Wong, Y.; Hong, G.S. Wavelet analysis of sensor signals for tool condition monitoring: A review and some new results. Int. J. Mach. Tools Manuf. 2009, 49, 537–553. [Google Scholar] [CrossRef]
- Smith, J.S. The local mean decomposition and its application to EEG perception data. J. R. Soc. Interface 2005, 2, 443–454. [Google Scholar] [CrossRef]
- Huang, N.E.; Shen, Z.; Long, S.R.; Wu, M.C.; Shih, H.H.; Zheng, Q.; Yen, N.C.; Tung, C.C.; Liu, H.H. The empirical mode decomposition and the Hilbert spectrum for nonlinear and non-stationary time series analysis. Proc. R. Soc. Lond. Ser. A Math. Phys. Eng. Sci. 1998, 454, 903–995. [Google Scholar] [CrossRef]
- Wu, Z.; Huang, N.E. Ensemble empirical mode decomposition: A noise-assisted data analysis method. Adv. Adapt. Data Anal. 2009, 1, 1–41. [Google Scholar]
- Yeh, J.R.; Shieh, J.S.; Huang, N.E. Complementary Ensemble Empirical Mode Decomposition: A Novel Noise Enhanced Data Analysis Method. Adv. Adapt. Data Anal. 2010, 2, 135–156. [Google Scholar]
- Zhao, H.; Li, X.; Liu, Z.; Wen, H.; He, J. A Double Interpolation and Mutation Interval Reconstruction LMD and Its Application in Fault Diagnosis of Reciprocating Compressor. Appl. Sci. 2023, 13, 7543. [Google Scholar] [CrossRef]
- Sun, Y.; Li, S.; Wang, X. Bearing fault diagnosis based on EMD and improved Chebyshev distance in SDP image. Measurement 2021, 176, 109100. [Google Scholar]
- Zhao, Y.; Fan, Y.; Li, H.; Gao, X. Rolling bearing composite fault diagnosis method based on EEMD fusion feature. J. Mech. Sci. Technol. 2022, 36, 4563–4570. [Google Scholar]
- Zhang, L.; Yu, S.; Guo, G.; Gong, B. A Fault Diagnosis Approach for Rotating Machinery Rotor Parts Based on Equipment Operation Principle and CEEMD. Mechanics 2023, 29, 494–501. [Google Scholar]
- Dragomiretskiy, K.; Zosso, D. Variational mode decomposition. IEEE Trans. Signal Process. 2013, 62, 531–544. [Google Scholar]
- Ma, Z.; Zhang, Y. A study on rolling bearing fault diagnosis using RIME-VMD. Sci. Rep. 2025, 15, 4712. [Google Scholar]
- Chang, B.; Zhao, X.; Guo, D.; Zhao, S.; Fei, J. Rolling Bearing Fault Diagnosis Based on Optimized VMD and SSAE. IEEE Access 2024, 12, 130746–130762. [Google Scholar]
- Lv, Q.; Zhang, K.; Wu, X.; Li, Q. Fault Diagnosis Method of Bearings Based on SCSSA-VMD-MCKD. Processes 2024, 12, 1484. [Google Scholar] [CrossRef]
- Yin, C.; Li, Y.; Wang, Y.; Dong, Y. Physics-guided degradation trajectory modeling for remaining useful life prediction of rolling bearings. Mech. Syst. Signal Process. 2025, 224, 112192. [Google Scholar]
- Zhou, H.; Liu, R.; Li, Y.; Wang, J.; Xie, S. A rolling bearing fault diagnosis method based on a convolutional neural network with frequency attention mechanism. Struct. Health Monit. 2024, 23, 2475–2495. [Google Scholar]
- Ding, L.; Guo, H.; Bian, L. Convolutional Neural Networks Based on Resonance Demodulation of Vibration Signal for Rolling Bearing Fault Diagnosis in Permanent Magnet Synchronous Motors. Energies 2024, 17, 4334. [Google Scholar] [CrossRef]
- Wang, Y.; Li, D.; Li, L.; Sun, R.; Wang, S. A novel deep learning framework for rolling bearing fault diagnosis enhancement using VAE-augmented CNN model. Heliyon 2024, 10, e35407. [Google Scholar]
- Shi, L.; Liu, W.; You, D.; Yang, S. Rolling bearing fault diagnosis based on CEEMDAN and CNN-SVM. Appl. Sci. 2024, 14, 5847. [Google Scholar] [CrossRef]
- Zhou, Q.; Tang, J. An Interpretable Parallel Spatial CNN-LSTM Architecture for Fault Diagnosis in Rotating Machinery. IEEE Internet Things J. 2024, 11, 31730–31744. [Google Scholar]
- Chen, H.; Wei, J.; Huang, H.; Wen, L.; Yuan, Y.; Wu, J. Novel imbalanced fault diagnosis method based on generative adversarial networks with balancing serial CNN and Transformer (BCTGAN). Expert Syst. Appl. 2024, 258, 125171. [Google Scholar]
- Rahman, A.U.; Alsenani, Y.; Zafar, A.; Ullah, K.; Rabie, K.; Shongwe, T. Enhancing heart disease prediction using a self-attention-based transformer model. Sci. Rep. 2024, 14, 514. [Google Scholar]
- Wan, Y.; Song, S.; Huang, G.; Li, S. Twin Extreme Learning Machines for Pattern Classification. Neurocomputing 2017, 260, 235–244. [Google Scholar]
- Trojovský, P.; Dehghani, M. Subtraction-Average-Based Optimizer:A New Swarm-Inspired Metaheuristic Algorithm for Solving Optimization Problems. Biomimetics 2023, 8, 149. [Google Scholar] [CrossRef]
- Dai, J.; Zhang, Z.; Li, S.; Li, L. Research on Fault Section Location in an Active Distribution Network Based on Improved Subtraction-Average-Based Optimizer. Symmetry 2025, 17, 107. [Google Scholar] [CrossRef]
- Huang, G.B.; Zhu, Q.Y.; Siew, C.K. Extreme learning machine: Theory and applications. Neurocomputing 2006, 70, 489–501. [Google Scholar]
- Mirjalili, S.; Mirjalili, S.M.; Lewis, A. Grey wolf optimizer. Adv. Eng. Softw. 2014, 69, 46–61. [Google Scholar]
- Chopra, N.; Ansari, M.M. Golden jackal optimization: A novel nature-inspired optimizer for engineering applications. Expert Syst. Appl. 2022, 198, 116924. [Google Scholar]
- Mirjalili, S.; Mirjalili, S.M.; Hatamlou, A. Multi-verse optimizer:a nature-inspired algorithm for global optimization. Neural Comput. Appl. 2016, 27, 495–513. [Google Scholar]
- Xue, J.K.; Shen, B. Dung beetle optimizer: A new metaheuristic algorithm for global optimization. J. Supercomput. 2023, 79, 7305–7336. [Google Scholar]
- Sun, P.; Liao, Y.H.; Lin, J. The shock pulse index and its application in the fault diagnosis of rolling element bearings. Sensors 2017, 17, 535. [Google Scholar] [CrossRef]
- Neupane, D.; Seok, J. Bearing fault detection and diagnosis using case western reserve university dataset with deep learning approaches: A review. IEEE Access 2020, 8, 93155–93178. [Google Scholar]

































| Function | Index | ISABO | SABO | DBO | GWO | GJO | MVO |
|---|---|---|---|---|---|---|---|
| F2 | min | 0.00 × 100 | 0.00 × 100 | 0.00 × 100 | 1.10 × 10−173 | 8.41 × 10−302 | 3.71 × 10−3 |
| std | 0.00 × 100 | 0.00 × 100 | 0.00 × 100 | 0.00 × 100 | 0.00 × 100 | 3.07 × 10−3 | |
| avg | 0.00 × 100 | 0.00 × 100 | 0.00 × 100 | 3.79 × 10−167 | 1.89 × 10−294 | 8.07 × 10−3 | |
| median | 0.00 × 100 | 0.00 × 100 | 0.00 × 100 | 2.61 × 10−170 | 7.03 × 10−297 | 7.67 × 10−3 | |
| F5 | min | 5.38 × 10−8 | 5.93 × 100 | 5.69 × 10−1 | 5.19 × 100 | 5.26 × 100 | 4.13 × 100 |
| std | 6.63 × 10−5 | 7.14 × 10−1 | 8.20 × 10−1 | 7.11 × 10−1 | 6.88 × 10−1 | 1.25 × 102 | |
| avg | 3.44 × 10−5 | 6.54 × 100 | 1.33 × 100 | 6.06 × 100 | 6.73 × 100 | 5.94 × 101 | |
| median | 3.35 × 10−6 | 6.21 × 100 | 1.05 × 100 | 6.23 × 100 | 7.08 × 100 | 8.56 × 100 | |
| F8 | min | −4.19 × 103 | −2.80 × 103 | −4.19 × 103 | −3.48 × 103 | −3.38 × 103 | −3.71 × 103 |
| std | 1.98 × 10−4 | 1.31 × 102 | 3.72 × 102 | 2.82 × 102 | 3.75 × 102 | 2.18 × 102 | |
| avg | −4.19 × 103 | −2.50 × 103 | −3.89 × 103 | −2.89 × 103 | −2.61 × 103 | −3.21 × 103 | |
| median | −4.19 × 103 | −2.48 × 103 | −3.97 × 103 | −2.88 × 103 | −2.63 × 103 | −3.22 + 03 | |
| F10 | min | 4.44 × 10−16 | 4.44 × 10−16 | 4.44 × 10−16 | 4.00 × 10−15 | 4.44 × 10−16 | 4.32 × 10−3 |
| std | 0.00 × 100 | 9.01 × 10−16 | 0.00 × 100 | 0.00 × 100 | 1.60 × 10−15 | 3.66 × 10−1 | |
| avg | 4.44 × 10−16 | 3.76 × 10−15 | 4.44 × 10−16 | 4.00 × 10−15 | 3.05 × 10−15 | 7.65 × 10−2 | |
| median | 4.44 × 10−16 | 4.00 × 10−15 | 4.44 × 10−16 | 4.00 × 10−15 | 4.00 × 10−15 | 9.38 × 10−3 | |
| F13 | min | 1.03 × 10−10 | 8.87 × 10−4 | 1.35 × 10−32 | 7.11 × 10−8 | 8.28 × 10−7 | 1.22 × 10−5 |
| std | 6.43 × 10−7 | 7.67 × 10−2 | 2.98 × 10−2 | 3.01 × 10−2 | 9.44 × 10−2 | 2.85 × 10−3 | |
| avg | 4.48 × 10−7 | 4.44 × 10−2 | 1.09 × 10−2 | 9.85 × 10−3 | 7.32 × 10−2 | 8.68 × 10−4 | |
| median | 1.45 × 10−7 | 8.62 × 10−3 | 2.82 × 10−31 | 2.83 × 10−7 | 6.01 × 10−6 | 1.13 × 10−4 | |
| F15 | min | 3.08 × 10−4 | 3.08 × 10−4 | 3.07 × 10−4 | 3.07 × 10−4 | 3.07 × 10−4 | 3.08 × 10−4 |
| std | 1.55 × 10−5 | 1.06 × 10−4 | 3.44 × 10−4 | 8.99 × 10−3 | 2.32 × 10−4 | 1.22 × 10−2 | |
| avg | 3.22 × 10−4 | 4.76 × 10−4 | 5.55 × 10−4 | 5.72 × 10−3 | 3.69 × 10−4 | 5.71 × 10−3 | |
| median | 3.14 × 10−4 | 4.68 × 10−4 | 3.31 × 10−4 | 3.07 × 10−4 | 3.08 × 10−4 | 5.55 × 10−4 |
| Status | Data Length | Sample Number | Label |
|---|---|---|---|
| Normal | 2048 | 120 | 1 |
| Inner ring | 2048 | 120 | 2 |
| Rolling element | 2048 | 120 | 3 |
| Outer ring | 2048 | 120 | 4 |
| Category | a | k |
|---|---|---|
| Normal | 2446 | 9 |
| Inner ring | 2273 | 3 |
| Rolling element | 2238 | 10 |
| Outer ring | 100 | 4 |
| Category | −2 dB | −7 dB |
|---|---|---|
| Normal | α = 2344, k = 8 | α = 2100, k = 10 |
| Inner ring | α = 2219, k = 8 | α = 2447, k = 10 |
| Rolling element | α = 2297, k = 10 | α = 1811, k = 9 |
| Outer ring | α = 120, k = 3 | α = 287, k = 3 |
| Noise Situation | Category | 1 | 2 | 3 | 4 | 5 | 6 | 7 | 8 | 9 |
|---|---|---|---|---|---|---|---|---|---|---|
| Without noise addition | A | 0.00003 | 0.00024 | 0.06093 | 1.67803 | 0.01565 | 3.89365 | 4.39619 | 1.12906 | 4.85315 |
| B | 0.00011 | 0.01956 | 1.02767 | 4.73608 | 0.13987 | 7.34740 | 10.36760 | 1.41106 | 13.20921 | |
| C | 0.00001 | 0.00036 | 0.09217 | 1.95135 | 0.01891 | 4.87420 | 5.62661 | 1.15436 | 6.29117 | |
| D | 0.00292 | 0.09003 | 1.61593 | 2.53194 | 0.30007 | 5.38521 | 6.60537 | 1.22658 | 7.71407 | |
| −2 dB | A | 0.00009 | 0.01272 | 0.58018 | 2.36468 | 0.11277 | 5.14501 | 6.21697 | 1.20835 | 7.18660 |
| B | 0.00022 | 0.01764 | 0.92745 | 3.04446 | 0.13281 | 6.98353 | 8.73434 | 1.25071 | 10.25235 | |
| C | 0.00060 | 0.01093 | 0.64122 | 2.77426 | 0.10454 | 6.13398 | 7.62936 | 1.24379 | 8.98314 | |
| D | 0.00227 | 0.15646 | 3.08134 | 4.27411 | 0.39555 | 7.79001 | 10.47850 | 1.34512 | 12.84789 | |
| −7 dB | A | 0.00011 | 0.03649 | 1.27916 | 3.31807 | 0.19101 | 6.69672 | 8.52395 | 1.27286 | 10.14771 |
| B | 0.01149 | 0.03550 | 1.08048 | 3.09752 | 0.18877 | 5.72370 | 7.27148 | 1.27042 | 8.72239 | |
| C | 0.00001 | 0.04276 | 1.12691 | 2.70226 | 0.20679 | 5.44948 | 6.70285 | 1.23000 | 7.80779 | |
| D | 0.00154 | 0.18171 | 3.11818 | 3.47646 | 0.42628 | 7.31487 | 9.56494 | 1.30760 | 11.64287 |
| Noise Situation | Evaluating Indicator | Transformer-TELM | Transformer-KELM | Transformer-ELM | Transformer-SVM | Transformer-Softmax | CNN |
|---|---|---|---|---|---|---|---|
| Without noise addition | Accuracy/% | 100 | 100 | 100 | 100 | 100 | 100 |
| Recall/% | 100 | 100 | 100 | 100 | 100 | 100 | |
| F1 measure/% | 100 | 100 | 100 | 100 | 100 | 100 | |
| −2 dB | Accuracy/% | 100 | 94.167 | 94.167 | 92.5 | 90 | 95 |
| Recall/% | 100 | 94.711 | 94.711 | 92.5 | 90 | 95 | |
| F1 measure/% | 100 | 94.154 | 94.154 | 92.438 | 89.991 | 95 | |
| −7 dB | Accuracy/% | 100 | 83.333 | 85.47 | 84.167 | 82.5 | 82.5 |
| Recall/% | 100 | 83.916 | 85.521 | 84.167 | 82.5 | 82.5 | |
| F1 measure/% | 100 | 82.601 | 84.948 | 83.824 | 82.165 | 82.319 |
Disclaimer/Publisher’s Note: The statements, opinions and data contained in all publications are solely those of the individual author(s) and contributor(s) and not of MDPI and/or the editor(s). MDPI and/or the editor(s) disclaim responsibility for any injury to people or property resulting from any ideas, methods, instructions or products referred to in the content. |
© 2025 by the authors. Licensee MDPI, Basel, Switzerland. This article is an open access article distributed under the terms and conditions of the Creative Commons Attribution (CC BY) license (https://creativecommons.org/licenses/by/4.0/).
Share and Cite
Yang, J.; Li, X.; Mao, M. Enhancing Fault Diagnosis: A Hybrid Framework Integrating Improved SABO with VMD and Transformer–TELM. Lubricants 2025, 13, 155. https://doi.org/10.3390/lubricants13040155
Yang J, Li X, Mao M. Enhancing Fault Diagnosis: A Hybrid Framework Integrating Improved SABO with VMD and Transformer–TELM. Lubricants. 2025; 13(4):155. https://doi.org/10.3390/lubricants13040155
Chicago/Turabian StyleYang, Jingzong, Xuefeng Li, and Min Mao. 2025. "Enhancing Fault Diagnosis: A Hybrid Framework Integrating Improved SABO with VMD and Transformer–TELM" Lubricants 13, no. 4: 155. https://doi.org/10.3390/lubricants13040155
APA StyleYang, J., Li, X., & Mao, M. (2025). Enhancing Fault Diagnosis: A Hybrid Framework Integrating Improved SABO with VMD and Transformer–TELM. Lubricants, 13(4), 155. https://doi.org/10.3390/lubricants13040155

