Development of Wear-Resistant Polymeric Materials Using Fused Deposition Modelling (FDM) Technologies: A Review
Abstract
1. Introduction
2. Considerations for Selecting the 3D Printing Technologies for Wear-Resistant Composites
2.1. Popular 3D Printing Technologies for Polymer Composites
2.1.1. Fused Deposition Modelling (FDM)
2.1.2. Selective Laser Sintering (SLS)
2.2. The Role of 3D Printing Parameters in Achieving High Wear Resistance
2.2.1. Layer Thickness
2.2.2. Printing Speed
2.2.3. Infill Density
2.2.4. Print Orientation and Raster Angle
2.2.5. Extrusion and Bed Temperature
| Polymer/ Reinforcement | 3D Printing Type | 3D Printing Parameters | Reference |
|---|---|---|---|
| ABS/Carbon fibre | FDM | Layer thickness: 0.25 mm Print orientation: 0° Infill density: 90% | [48] |
| ABS | FDM | Layer thickness: 0.18 mm Print speed: 60 mm/s Print orientation: 0° Infill density: 100% Extrusion temperature: 220 °C | [49] |
| ABS | FDM | Layer thickness: 0.2–0.25 mm Print speed: 120 mm/s Extrusion temperature: 220–260 °C | [50] |
| ABS | FDM | Layer thickness: 0.1–0.15 mm Extrusion temperature: 225–235 °C Infill pattern: line hexagon, triangle | [32] |
| ABS | FDM | Layer thickness: 0.1–0.2 mm Infill density: 40–80% Infill pattern: rectilinear, grid triangular | [33] |
| ABS | FDM | Layer thickness: 0.127–0.32 mm Raster angle: 0–90° | [37] |
| ABS/Nano-clay | FDM | Layer thickness: 0.2 mm Infill density: 99% Print orientation: ±45° | [51] |
| ABS | FDM | Layer thickness: 0.4 mm Print speed: 60 mm/s Infill density: 100% Extrusion temperature: 245 °C Bed temperature: 85 °C | [52] |
| ABS/Graphene | FDM | Layer thickness: 0.1 mm Print speed: 5 mm/s Infill density: 100% Extrusion temperature: 245 °C | [53] |
| ABS/Graphene | FDM | Layer thickness: 0.16 mm Print speed: 100 mm/s Infill density: 100% Extrusion temperature: 250 °C | [54] |
| Nylon PA12 | SLS | Build orientation: X, Y, Z axes | [55] |
| Nylon PA6/CCF | FDM | Layer thickness: 0.125 mm Print speed: 15 mm/s Extrusion temperature: 275 °C | [56] |
| Nylon PA6/SCF | FDM | Layer thickness: 0.1 mm Print speed: 30 mm/s Extrusion temperature: 275 °C | [57] |
| Nylon PA6 PA66 | FDM | Layer thickness: 0.1 mm Print speed: 30 mm/s Infill density: 50–100% Extrusion temperature: 180 °C | [39] |
| Nylon PA6 PA66/Glass fibre | FDM | Layer thickness: 0.2 mm Print speed: 60 mm/s Infill density: 60–100% Extrusion temperature: 275 °C | [58] |
| Nylon/CF, GF | FDM | Layer thickness: 0.2 mm Print speed: 60 mm/s Infill density: 100% Extrusion temperature: 250 °C | [59] |
| PEEK | FDM | Layer thickness: 0.1–0.15 mm Print speed: 20–25 mm/s Infill density: 100% Extrusion temperature: 420 °C | [12] |
| PEEK | FDM | Layer thickness: 0.1–0.15 mm Print speed: 30–50 mm/s Extrusion temperature: 420–440 °C Bed temperature: 100–120 °C | [18] |
| PEEK/SCF | FDM | Layer thickness: 0.2 mm Print speed: 30 mm/s Infill density: 100% Print orientation: 0–90° Extrusion temperature: 440 °C Bed temperature: 120 °C | [60] |
| PEEK | FDM | Layer thickness: 0.1–0.3 mm Print speed: 15–25 mm/s Infill density: 70–100% Extrusion temperature: 390–420 °C Bed temperature: 136–150 °C | [19] |
| PLA/CF | FDM | Layer thickness: 0.075–0.125 mm Infill density: 60–80% Infill pattern: rectilinear, grid triangular | [34] |
| PLA | FDM | Layer thickness: 0.2 mm Print speed: 60 mm/s Infill density: 100% Extrusion temperature: 210 °C Bed temperature: 60 °C | [52] |
| ABS, PLA, Nylon | FDM | Layer thickness: 0.12 mm Print speed: 30 mm/s Infill density: 50% Bed temperature: 70 °C | [61] |
| PLA/Graphene | FDM | Layer thickness: 0.2 mm Print speed: 110 mm/s Infill density: 100% Extrusion temperature: 200 °C | [4] |
| PLA | FDM | Layer thickness: 0.06 mm Print speed: 35 mm/s Infill density: 100% Extrusion temperature: 210 °C Bed temperature: 60 °C | [11] |
| PLA/Glass fibre | FDM | Layer thickness: 0.5–0.8 mm Print speed: 2–6 mm/s Extrusion temperature: 190–230 °C | [35] |
| PLA/Bronze | FDM | Layer thickness: 0.2 mm Raster angle: 45/135°, Extrusion temperature: 195 °C Bed temperature: 60 °C | [8] |
| PLA | FDM | Layer thickness: 0.2 mm Print orientation: X and Z axes Extrusion temperature: 200 °C | [62] |
| PLA/PA6+TiO2 | FDM | Print speed: 90 mm/s Infill pattern: triangular | [63] |
| PLA | FDM | Layer thickness: 0.07–0.3 mm Print orientation: 60–90° Extrusion temperature: 220–230 °C | [47] |
| PLA/Graphene | FDM | Layer thickness: 0.10–0.18 mm Print speed: 30–40 mm/s Infill density: 16–30%, Extrusion temperature: 200 °C | [64] |
| PLA | FDM | Layer thickness: 0.1–0.2 mm Print orientation: X and Z axes | [65] |
| PLA | FDM | Layer thickness: 0.2 mm Print speed: 60 mm/s Infill density: 100% Print orientation: 45/135° Extrusion temperature: 195 °C Bed temperature: 60 °C | [42] |
| PLA | FDM | Layer thickness: 0.2–0.3 mm Infill density: 25–100% Infill pattern: triangle, hexagon, lines, concentric Raster angle: 0–60° | [66] |
| ABS, PLA | FDM | Layer thickness: 0.18–0.33 mm Infill density: 45–80% Print orientation: 45–90° | [40] |
| PLA | FDM | Layer thickness: 0.1 mm Print speed: 60 mm/s Infill density: 20–100% Extrusion temperature: 200 °C Bed temperature: 60 °C | [67] |
| ABS, PLA | FDM | Wall thickness: 0.8–1.2 mm Print speed: 47–60 mm/s Infill density: 40–100% Raster angle: 0–90° Extrusion temperature: 220–240 °C | [68] |
| PLA/Nano-silicon | FDM | Layer thickness: 0.3 mm Print speed: 50 mm/s Infill density: 100% Extrusion temperature: 210 °C | [9] |
| ABS, PLA | FDM | Layer thickness: 0.2 mm Print speed: 60 mm/s Infill density: 100% Extrusion temperature: 220 °C Bed temperature: 30 °C | [69] |
| PLA | FDM | Layer thickness: 0.2–0.4 mm Print speed: 30–80 mm/s Infill density: 25–100% | [70] |
| PLA | FDM | Layer thickness: 0.2 mm Print orientation: 45° Extrusion temperature: 240 °C Bed temperature: 90 °C | [71] |
| PLA | FDM | Layer thickness: 0.15 mm Infill density: 30–70% Extrusion temperature: 200 °C Bed temperature: 50 °C | [41] |
| PLA | FDM | Layer thickness: 0.2 mm Infill density: 15% Extrusion temperature: 190–230 °C Bed temperature: 60 °C | [45] |
3. Materials Utilised in 3D Printing Wear-Resistant Composites
3.1. Overview of Common Polymers and Reinforcement Materials Used in Wear-Resistant Composites
3.1.1. Commonly Used Polymers in 3D Printing
- Acrylonitrile Butadiene Styrene (ABS)
- 2.
- Polylactic Acid (PLA)
- 3.
- Polyether Ether Ketone (PEEK)
- 4.
- Nylon
3.1.2. Reinforcement Materials for 3D-Printed Composites
- Carbon Fibres
- 2.
- Glass Fibres
- 3.
- Nanoparticles
3.2. Design Wear-Resistant Polymer Composites Using Different Fillers
3.2.1. Micro-Sized Particles
3.2.2. Nano-Sized Fillers
3.2.3. Fibre Reinforcements
4. Recent Advances in Developing Wear-Resistant Polymer Composites Using 3D Printing Technology
4.1. Discussion on the Synergistic Effects of Combining Different Reinforcements in 3D Printing for Enhanced Wear Resistance
4.2. Numerical Modelling in Developing Wear-Resistant Polymer Composites Using 3D Printing Technology
4.3. Surface Texture Technique for Optimising Wear-Resistant Properties
4.3.1. Surface Texture
4.3.2. Heat Treatment
4.4. Implications for the Advancement of Wear-Resistant Composite Materials
4.4.1. Improving Industrial Applications
- Extended Component Lifespan
- 2.
- Enhanced Performance in Harsh Environments
4.4.2. Innovations in Medical Implants
- Biocompatible Wear-Resistant Materials
- 2.
- Customisation and Patient-Specific Solutions
- 3.
- Advancements in Sustainable Practices
4.4.3. Challenges and Future Directions
5. Conclusions
Author Contributions
Funding
Data Availability Statement
Conflicts of Interest
References
- Jiang, X.; Lu, J.; Zhao, N.; Chen, Z.; Zhao, Z. A Review of Wear in Additive Manufacturing: Wear Mechanism, Materials, and Process. Lubricants 2024, 12, 321. [Google Scholar] [CrossRef]
- Woydt, M. The importance of tribology for reducing CO2 emissions and for sustainability. Wear 2021, 474–475, 203768. [Google Scholar] [CrossRef]
- Friedrich, K.; Reinicke, P. Friction and wear of polymer-based composites. Mech. Compos. Mater. 1998, 34, 503–514. [Google Scholar] [CrossRef]
- Bustillos, J.; Montero, D.; Nautiyal, P.; Loganathan, A.; Boesl, B.; Agarwal, A. Integration of graphene in poly(lactic) acid by 3D printing to develop creep and wear-resistant hierarchical nanocomposites. Polym. Compos. 2018, 39, 3877–3888. [Google Scholar] [CrossRef]
- Olesik, P.; Godzierz, M.; Kozioł, M. Preliminary characterization of novel LDPE-based wear-resistant composite suitable for FDM 3D printing. Materials 2019, 12, 2520. [Google Scholar] [CrossRef] [PubMed]
- Dontsov, Y.V.; Panin, S.V.; Buslovich, D.G.; Berto, F. Taguchi optimization of parameters for feedstock fabrication and FDM manufacturing of wear-resistant UHMWPE-based composites. Materials 2020, 13, 2718. [Google Scholar] [CrossRef] [PubMed]
- Grejtak, T.; Jia, X.; Cunniffe, A.R.; Shi, Y.; Babuska, T.F.; Pack, R.C.; Vermaak, N.; Compton, B.G.; Krick, B.A. Whisker orientation controls wear of 3D-printed epoxy nanocomposites. Addit. Manuf. 2020, 36, 101515. [Google Scholar] [CrossRef]
- Hanon, M.M.; Alshammas, Y.; Zsidai, L. Effect of print orientation and bronze existence on tribological and mechanical properties of 3D-printed bronze/PLA composite. Int. J. Adv. Manuf. Technol. 2020, 108, 553–570. [Google Scholar] [CrossRef]
- Vishal, K.; Rajkumar, K.; Sabarinathan, P.; Dhinakaran, V. Mechanical and wear characteristics investigation on 3D printed silicon filled poly (lactic acid) biopolymer composite fabricated by fused deposition modeling. Silicon 2022, 14, 9379–9391. [Google Scholar] [CrossRef]
- Schonhoff, L.M.; Mayinger, F.; Eichberger, M.; Reznikova, E.; Stawarczyk, B. 3D printing of dental restorations: Mechanical properties of thermoplastic polymer materials. J. Mech. Behav. Biomed. Mater. 2021, 119, 104544. [Google Scholar] [CrossRef]
- Aziz, R.; Ul Haq, M.I.; Raina, A. Effect of surface texturing on friction behaviour of 3D printed polylactic acid (PLA). Polym. Test. 2020, 85, 106434. [Google Scholar] [CrossRef]
- Chithambaram, K.; Senthilnathan, N. Effects of printing parameters on hardness and wear characteristics of 3D printed polyetheretherketone (PEEK) polymer. Mater. Lett. 2024, 356, 135588. [Google Scholar] [CrossRef]
- Papa, I.; Silvestri, A.T.; Ricciardi, M.R.; Lopresto, V.; Squillace, A. Effect of fibre orientation on novel continuous 3d-printed fibre-reinforced composites. Polymers 2021, 13, 2524. [Google Scholar] [CrossRef] [PubMed]
- Zhang, H.; Wang, S.; Zhang, K.; Wu, J.; Li, A.; Liu, J.; Yang, D. 3D printing of continuous carbon fibre reinforced polymer composites with optimised structural topology and fibre orientation. Compos. Struct. 2023, 313, 116914. [Google Scholar] [CrossRef]
- Tee, Y.L.; Tran, P.; Leary, M.; Pille, P.; Brandt, M. 3D Printing of polymer composites with material jetting: Mechanical and fractographic analysis. Addit. Manuf. 2020, 36, 101558. [Google Scholar] [CrossRef]
- Saroia, J.; Wang, Y.; Wei, Q.; Lei, M.; Li, X.; Guo, Y.; Zhang, K. A review on 3D printed matrix polymer composites: Its potential and future challenges. Int. J. Adv. Manuf. Technol. 2020, 106, 1695–1721. [Google Scholar] [CrossRef]
- Zarrintaj, P.; Vahabi, H.; Gutiérrez, T.J.; Mehrpouya, M.; Ganjali, M.R.; Saeb, M.R. Chapter 25—Nanocomposite biomaterials made by 3D printing: Achievements and challenges. In Handbook of Polymer Nanocomposites for Industrial Applications; Hussain, C.M., Ed.; Elsevier: Amsterdam, The Netherlands, 2021; pp. 675–685. [Google Scholar] [CrossRef]
- He, Y.; Shen, M.; Wang, Q.; Wang, T.; Pei, X. Effects of FDM parameters and annealing on the mechanical and tribological properties of PEEK. Compos. Struct. 2023, 313, 116901. [Google Scholar] [CrossRef]
- Pulipaka, A.; Gide, K.M.; Beheshti, A.; Bagheri, Z.S. Effect of 3D printing process parameters on surface and mechanical properties of FFF-printed PEEK. J. Manuf. Process. 2023, 85, 368–386. [Google Scholar] [CrossRef]
- Al Rashid, A.; Khan, S.A.; Al-Ghamdi, S.G.; Koç, M. Additive manufacturing of polymer nanocomposites: Needs and challenges in materials, processes, and applications. J. Mater. Res. Technol. 2021, 14, 910–941. [Google Scholar] [CrossRef]
- Ahn, S.H.; Montero, M.; Odell, D.; Roundy, S.; Wright, P.K. Anisotropic material properties of fused deposition modeling ABS. Rapid Prototyp. J. 2002, 8, 248–257. [Google Scholar] [CrossRef]
- Popescu, D.; Zapciu, A.; Amza, C.; Baciu, F.; Marinescu, R. FDM process parameters influence over the mechanical properties of polymer specimens: A review. Polym. Test. 2018, 69, 157–166. [Google Scholar] [CrossRef]
- Solomon, I.J.; Sevvel, P.; Gunasekaran, J. A review on the various processing parameters in FDM. Mater. Today: Proc. 2021, 37, 509–514. [Google Scholar] [CrossRef]
- Han, W.; Kong, L.; Xu, M. Advances in selective laser sintering of polymers. Int. J. Extrem. Manuf. 2022, 4, 042002. [Google Scholar] [CrossRef]
- Choudhari, C.M.; Patil, V.D. Product Development and its Comparative Analysis by SLA, SLS and FDM Rapid Prototyping Processes. IOP Conf. Ser. Mater. Sci. Eng. 2016, 149, 012009. [Google Scholar] [CrossRef]
- Kluska, E.; Gruda, P.; Majca-Nowak, N. The accuracy and the printing resolution comparison of different 3D printing technologies. Trans. Aerosp. Res. 2018, 2018, 69–86. [Google Scholar] [CrossRef]
- Ziegler, T.; Marquez, J.H.; Jaeger, R.; Phommahavong, S. Wear mechanisms and abrasion rates in selective laser sintering materials. Polym. Test. 2018, 67, 545–550. [Google Scholar] [CrossRef]
- Tagliaferri, V.; Trovalusci, F.; Guarino, S.; Venettacci, S. Environmental and Economic Analysis of FDM, SLS and MJF Additive Manufacturing Technologies. Materials 2019, 12, 4161. [Google Scholar] [CrossRef]
- Kafle, A.; Luis, E.; Silwal, R.; Pan, H.M.; Shrestha, P.L.; Bastola, A.K. 3D/4D Printing of Polymers: Fused Deposition Modelling (FDM), Selective Laser Sintering (SLS), and Stereolithography (SLA). Polymers 2021, 13, 3101. [Google Scholar] [CrossRef]
- Wang, X.; Jiang, M.; Zhou, Z.; Gou, J.; Hui, D. 3D printing of polymer matrix composites: A review and prospective. Compos. Part B Eng. 2017, 110, 442–458. [Google Scholar] [CrossRef]
- Rankouhi, B.; Javadpour, S.; Delfanian, F.; Letcher, T. Failure analysis and mechanical characterization of 3D printed ABS with respect to layer thickness and orientation. J. Fail. Anal. Prev. 2016, 16, 467–481. [Google Scholar] [CrossRef]
- Norani, M.N.M.; Abdollah, M.F.B.; Abdullah, M.I.H.C.; Amiruddin, H.; Ramli, F.R.; Tamaldin, N. 3D printing parameters of acrylonitrile butadiene styrene polymer for friction and wear analysis using response surface methodology. Proc. Inst. Mech. Eng. Part J J. Eng. Tribol. 2020, 235, 468–477. [Google Scholar] [CrossRef]
- Srinivasan, R.; Rathish, R.; Sivaraman, P.; Pramod, A.; Shivaganesh, G. Influential analysis of fused deposition modeling process parameters on the wear behaviour of ABS parts. Mater. Today Proc. 2020, 27, 1869–1876. [Google Scholar] [CrossRef]
- Srinivasan, R.; Aravindkumar, N.; Aravind Krishna, S.; Aadhishwaran, S.; George, J. Influence of fused deposition modelling process parameters on wear strength of carbon fibre PLA. Mater. Today Proc. 2020, 27, 1794–1800. [Google Scholar] [CrossRef]
- Chen, K.; Yu, L.; Cui, Y.; Jia, M.; Pan, K. Optimization of printing parameters of 3D-printed continuous glass fiber reinforced polylactic acid composites. Thin Walled Struct. 2021, 164, 107717. [Google Scholar] [CrossRef]
- Portoacă, A.I.; Ripeanu, R.G.; Diniță, A.; Tănase, M. Optimization of 3D Printing Parameters for Enhanced Surface Quality and Wear Resistance. Polymers 2023, 15, 3419. [Google Scholar] [CrossRef]
- Amirruddin, M.S.; Ismail, K.I.; Yap, T.C. Effect of layer thickness and raster angle on the tribological behavior of 3D printed materials. Mater. Today Proc. 2022, 48, 1821–1825. [Google Scholar] [CrossRef]
- Wang, P.; Zou, B.; Xiao, H.; Ding, S.; Huang, C. Effects of printing parameters of fused deposition modeling on mechanical properties, surface quality, and microstructure of PEEK. J. Mater. Process. Technol. 2019, 271, 62–74. [Google Scholar] [CrossRef]
- Feroz Ali, L.; Raghul, R.; Yogesh Muthu Ram, M.; Harshavardhan Reddy, V.; Shakil Kanna, N. Evaluation of the polyamide’s mechanical properties for varying infill percentage in FDM process. Mater. Today Proc. 2022, 68, 2509–2514. [Google Scholar] [CrossRef]
- Roy, R.; Mukhopadhyay, A. Tribological studies of 3D printed ABS and PLA plastic parts. Mater. Today Proc. 2021, 41, 856–862. [Google Scholar] [CrossRef]
- Şirin, Ş.; Aslan, E.; Akincioğlu, G. Effects of 3D-printed PLA material with different filling densities on coefficient of friction performance. Rapid Prototyp. J. 2023, 29, 157–165. [Google Scholar] [CrossRef]
- Hanon, M.M.; Zsidai, L. Comprehending the role of process parameters and filament color on the structure and tribological performance of 3D printed PLA. J. Mater. Res. Technol. 2021, 15, 647–660. [Google Scholar] [CrossRef]
- Coppola, B.; Cappetti, N.; Di Maio, L.; Scarfato, P.; Incarnato, L. 3D printing of PLA/clay nanocomposites: Influence of printing temperature on printed samples properties. Materials 2018, 11, 1947. [Google Scholar] [CrossRef]
- Grasso, M.; Azzouz, L.; Ruiz-Hincapie, P.; Zarrelli, M.; Ren, G. Effect of temperature on the mechanical properties of 3D-printed PLA tensile specimens. Rapid Prototyp. J. 2018, 24, 1337–1346. [Google Scholar] [CrossRef]
- Zainal, M.; Ismail, K.; Yap, T. Tribological Properties of PLA 3D Printed at Different Extrusion Temperature. J. Phys. Conf. Ser. 2023, 2452, 012001. [Google Scholar] [CrossRef]
- Vanaei, H.R.; Raissi, K.; Deligant, M.; Shirinbayan, M.; Fitoussi, J.; Khelladi, S.; Tcharkhtchi, A. Toward the understanding of temperature effect on bonding strength, dimensions and geometry of 3D-printed parts. J. Mater. Sci. 2020, 55, 14677–14689. [Google Scholar] [CrossRef]
- Pant, M.; Singari, R.M.; Arora, P.K.; Moona, G.; Kumar, H. Wear assessment of 3–D printed parts of PLA (polylactic acid) using Taguchi design and Artificial Neural Network (ANN) technique. Mater. Res. Express 2020, 7, 115307. [Google Scholar] [CrossRef]
- Sudin, M.; Ramli, F.; Alkahari, M.; Abdullah, M. Comparison of wear behavior of ABS and ABS composite parts fabricated via fused deposition modelling. Int. J. Adv. Appl. Sci. 2018, 5, 164–169. [Google Scholar] [CrossRef]
- Amiruddin, H.; Abdollah, M.F.B.; Norashid, N.A. Comparative study of the tribological behaviour of 3D-printed and moulded ABS under lubricated condition. Mater. Res. Express 2019, 6, 085328. [Google Scholar] [CrossRef]
- Hanon, S.M.M.; Kovács, M.; Zsidai, L. Tribological Behaviour Comparison of ABS Polymer Manufactured Using Turning and 3D Printing. Int. J. Eng. Manag. Sci. 2019, 4, 46–57. [Google Scholar] [CrossRef]
- Gbadeyan, O.J.; Kanny, K.; Mohan, T. Tribological properties of layered silicate nanoparticle filled acrylonitrile butadiene styrene (ABS) nanocomposite produced using 3D printing. Polym. Plast. Technol. Mater. 2022, 61, 2073–2084. [Google Scholar] [CrossRef]
- Tunalioglu, M.S.; Agca, B.V. Wear and Service Life of 3-D Printed Polymeric Gears. Polymers 2022, 14, 2064. [Google Scholar] [CrossRef] [PubMed]
- Keshavamurthy, R.; Tambrallimath, V.; Rajhi, A.A.; R. M, S.A.; Patil, A.Y.; Yunus Khan, T.; Makannavar, R. Influence of solid lubricant addition on friction and wear response of 3D printed polymer composites. Polymers 2021, 13, 2905. [Google Scholar] [CrossRef] [PubMed]
- Tyagi, R.; Tripathi, A.; Kumar, R.; Jain, A.; Pillai, P. On FFF-based 3D printing of wear resistive ABS-Graphene nanocomposites for rapid tooling in wet condition. Diam. Relat. Mater. 2024, 142, 110794. [Google Scholar] [CrossRef]
- Aldahas, S.A. Paper 3—Friction and wear properties of oriented Polyamide 12 objects manufactured by SLS Technology.pdf. J. Eng. Appl. Sci. 2021, 8, 28–36. [Google Scholar]
- Man, Z.; Wang, H.; He, Q.; Kim, D.-E.; Chang, L. Friction and wear behaviour of additively manufactured continuous carbon fibre reinforced PA6 composites. Compos. Part B Eng. 2021, 226, 109332. [Google Scholar] [CrossRef]
- Luo, M.; Huang, S.; Man, Z.; Cairney, J.M.; Chang, L. Tribological behaviour of fused deposition modelling printed short carbon fibre reinforced nylon composites with surface textures under dry and water lubricated conditions. Friction 2022, 10, 2045–2058. [Google Scholar] [CrossRef]
- Ruban, S.R.; Jannet, S.; Raja, R.; Rajaram, E.; Joshua, J. Evaluating the tribological properties of as-built polyamide 6+ 30% glass fiber polymer printed by fused deposition modelling via varying the infill density. Mater. Today Proc. 2023. [Google Scholar] [CrossRef]
- Yilmaz, S. Comprehensive analysis of 3D printed PA6. 6 and fiber-reinforced variants: Revealing mechanical properties and adhesive wear behavior. Polym. Compos. 2023, 45, 1446–1460. [Google Scholar] [CrossRef]
- Lv, X.; Yang, S.; Pei, X.; Zhang, Y.; Wang, Q.; Wang, T. Tribological anisotropy of PEEK composites filled with highly oriented carbon fibers manufactured by fused deposition modeling. Polym. Compos. 2023, 45, 2656–2669. [Google Scholar] [CrossRef]
- Mourya, V.; Bhore, S.P.; Wandale, P.G. Comparative investigation on wear properties of 3D-printed textured journal bearings. J. Manuf. Process. 2023, 103, 337–353. [Google Scholar] [CrossRef]
- Hanon, M.M.; Marczis, R.; Zsidai, L. Impact of 3D-printing structure on the tribological properties of polymers. Ind. Lubr. Tribol. 2020, 72, 811–818. [Google Scholar] [CrossRef]
- Kumar, S.; Singh, R.; Singh, M.; Singh, T.P.; Batish, A. Multi material 3D printing of PLA-PA6/TiO2 polymeric matrix: Flexural, wear and morphological properties. J. Thermoplast. Compos. Mater. 2020, 35, 2105–2124. [Google Scholar] [CrossRef]
- Przekop, R.E.; Kujawa, M.; Pawlak, W.; Dobrosielska, M.; Sztorch, B.; Wieleba, W. Graphite Modified Polylactide (PLA) for 3D Printed (FDM/FFF) Sliding Elements. Polymers 2020, 12, 1250. [Google Scholar] [CrossRef] [PubMed]
- Zhiani Hervan, S.; Altınkaynak, A.; Parlar, Z. Hardness, friction and wear characteristics of 3D-printed PLA polymer. Proc. Inst. Mech. Eng. Part J J. Eng. Tribol. 2020, 235, 1590–1598. [Google Scholar] [CrossRef]
- Raheja, K.; Jain, A.; Sharma, C.; Rana, R.; Lal, R. Comparative Study of Tribological Parameters of 3D Printed ABS and PLA Materials. In Advances in Manufacturing and Industrial Engineering; Springer: Singapore, 2021. [Google Scholar]
- Zivic, F.; Mitrovic, S.; Grujovic, N.; Jovanovic, Z.; Dzunic, D.; Milenkovic, S. The Influence of the 3D Printing Infill and Printing Direction on Friction and Wear of Polylactic Acid (PLA) under Rotational Sliding. J. Frict. Wear 2021, 42, 106–111. [Google Scholar] [CrossRef]
- Phogat, A.; Chhabra, D.; Sindhu, V.; Ahlawat, A. Analysis of wear assessment of FDM printed specimens with PLA, multi-material and ABS via hybrid algorithms. Mater. Today Proc. 2022, 62, 37–43. [Google Scholar] [CrossRef]
- Mahmood, S.; Guo, E.; Stirling, A.; Schulze, K.D. Orientation Controls Tribological Performance of 3D-Printed PLA and ABS. Tribol. Online 2023, 18, 302–312. [Google Scholar] [CrossRef]
- Mehdiyev, Z.; Felhő, C.; Zoltán, K.P. Investigation on 3D Printing Parameters of PLA Polymers for Gear Applications. In Vehicle and Automotive Engineering 4; Springer International Publishing: Cham, Switzerland, 2023. [Google Scholar]
- Palaniandy, L.; Ismail, K.; Yap, T. Tribological Behaviour of 3D printed Polylactic Acid (PLA) Sliding Against Steel at Different Sliding Speed. J. Phys. Conf. Ser. 2023, 2542, 012003. [Google Scholar] [CrossRef]
- Harikrishnan, U.; Soundarapandian, S. Fused Deposition Modelling based Printing of Full Complement Bearings. Procedia Manuf. 2018, 26, 818–825. [Google Scholar] [CrossRef]
- Choi, Y.-H.; Kim, C.-M.; Jeong, H.-S.; Youn, J.-H. Influence of bed temperature on heat shrinkage shape error in FDM additive manufacturing of the ABS-engineering plastic. World J. Eng. Technol. 2016, 4, 186–192. [Google Scholar] [CrossRef]
- Dilberoglu, U.M.; Simsek, S.; Yaman, U. Shrinkage compensation approach proposed for ABS material in FDM process. Mater. Manuf. Process. 2019, 34, 993–998. [Google Scholar] [CrossRef]
- Farah, S.; Anderson, D.G.; Langer, R. Physical and mechanical properties of PLA, and their functions in widespread applications—A comprehensive review. Adv. Drug Deliv. Rev. 2016, 107, 367–392. [Google Scholar] [CrossRef]
- Tümer, E.H.; Erbil, H.Y. Extrusion-Based 3D Printing Applications of PLA Composites: A Review. Coatings 2021, 11, 390. [Google Scholar] [CrossRef]
- Bajpai, P.K.; Singh, I.; Madaan, J. Tribological behavior of natural fiber reinforced PLA composites. Wear 2013, 297, 829–840. [Google Scholar] [CrossRef]
- Vinay, D.L.; Keshavamurthy, R.; Tambrallimath, V. Enhanced Mechanical Properties of Metal filled 3D Printed Polymer Composites. J. Inst. Eng. Ser. D 2023, 104, 181–195. [Google Scholar] [CrossRef]
- Singh, S.; Prakash, C.; Ramakrishna, S. 3D printing of polyether-ether-ketone for biomedical applications. Eur. Polym. J. 2019, 114, 234–248. [Google Scholar] [CrossRef]
- Engkvist, G. Investigation of Microstructure and Mechanical Properties of 3D Printed Nylon. Master’s Thesis, Luleå University of Technology, Luleå, Sweden, 2017. [Google Scholar]
- Sanei, S.H.R.; Popescu, D. 3D-Printed Carbon Fiber Reinforced Polymer Composites: A Systematic Review. J. Compos. Sci. 2020, 4, 98. [Google Scholar] [CrossRef]
- Luo, M.; Tian, X.; Shang, J.; Zhu, W.; Li, D.; Qin, Y. Impregnation and interlayer bonding behaviours of 3D-printed continuous carbon-fiber-reinforced poly-ether-ether-ketone composites. Compos. Part A Appl. Sci. Manuf. 2019, 121, 130–138. [Google Scholar] [CrossRef]
- Badogu, K.; Kumar, R.; Kumar, R. 3D Printing of Glass Fiber-Reinforced Polymeric Composites: A Review. J. Inst. Eng. Ser. C 2022, 103, 1285–1301. [Google Scholar] [CrossRef]
- Chand, N.; Naik, A.; Neogi, S. Three-body abrasive wear of short glass fibre polyester composite. Wear 2000, 242, 38–46. [Google Scholar] [CrossRef]
- Bodaghi, M.; Sadooghi, A.; Bakhshi, M.; Hashemi, S.J.; Rahmani, K.; Keshavarz Motamedi, M. Glass fiber reinforced acrylonitrile butadiene styrene composite gears by FDM 3D printing. Adv. Mater. Interfaces 2023, 10, 2300337. [Google Scholar] [CrossRef]
- Feratoglu, K.; Istif, I.; Gumus, O.Y. Wear prediction of 3D-printed acrylonitrile butadiene styrene-carbon nanotube nanocomposites at elevated temperatures. J. Polym. Eng. 2023, 43, 318–332. [Google Scholar] [CrossRef]
- Singh, R.; Kumar, S.; Bedi, P.; Hashmi, M. On wear of 3D printed Al2O3 reinforced Nylon6 matrix based functional prototypes. Mater. Today Proc. 2020, 33, 1477–1482. [Google Scholar] [CrossRef]
- Zhang, Y.; Purssell, C.; Mao, K.; Leigh, S. A physical investigation of wear and thermal characteristics of 3D printed nylon spur gears. Tribol. Int. 2020, 141, 105953. [Google Scholar] [CrossRef]
- KALANİ, A.; VADHER, J.; SHARMA, S.; Rita, J. Investigation of thermal and wear behaviour of 3D printed PA-12 nylon polymer spur gears. El Cezeri 2022, 9, 1121–1135. [Google Scholar] [CrossRef]
- Kour, K.; Badogu, K.; Babbar, A.; Sood, A.; Kumar, R.; Singh, G. On melt flow and wear properties of recycled Nylon 6-Zirconia composites for 3D printing in rapid tooling applications. Mater. Today Proc. 2023. [Google Scholar] [CrossRef]
- Yu, G.; Ma, J.; Li, J.; Wu, J.; Yu, J.; Wang, X. Mechanical and Tribological Properties of 3D Printed Polyamide 12 and SiC/PA12 Composite by Selective Laser Sintering. Polymers 2022, 14, 2167. [Google Scholar] [CrossRef] [PubMed]
- Ma, J.; Yu, G.; Wang, X.; Li, J.; Wu, J.; Wang, X. Tribological Behavior of 3D-Printed Nanometer SiC and SiO2 Particle-Reinforced Polyamide 12 Composites by Selective Laser Sintering under Seawater Lubrication Condition. Polymers 2022, 14, 4137. [Google Scholar] [CrossRef]
- Lin, L.; Ecke, N.; Huang, M.; Pei, X.-Q.; Schlarb, A.K. Impact of nanosilica on the friction and wear of a PEEK/CF composite coating manufactured by fused deposition modeling (FDM). Compos. Part B Eng. 2019, 177, 107428. [Google Scholar] [CrossRef]
- Ertane, E.G.; Dorner-Reisel, A.; Baran, O.; Welzel, T.; Matner, V.; Svoboda, S. Processing and Wear Behaviour of 3D Printed PLA Reinforced with Biogenic Carbon. Adv. Tribol. 2018, 2018, 1763182. [Google Scholar] [CrossRef]
- Pawlak, W.; Wieleba, W.; Kluczyński, J.; Śnieżek, L. The influence of the addition of graphite on the tribological properties of polylactic (PLA) applied in 3D printing technology. Q. Tribol. 2018, 277, 89–93. [Google Scholar] [CrossRef]
- Paulak, W. Wear and coefficient of friction of pla-graphite composite in 3D printing technology. Eng. Mech. 2018, 2018, 649–652. [Google Scholar]
- Almajid, A.A. Mechanical, physical, and wear properties of 3D printed polyactic acid materials. Key Eng. Mater. 2020, 833, 118–125. [Google Scholar] [CrossRef]
- Kariz, M.; Sernek, M.; Obućina, M.; Kuzman, M.K. Effect of wood content in FDM filament on properties of 3D printed parts. Mater. Today Commun. 2018, 14, 135–140. [Google Scholar] [CrossRef]
- Pawlak, W.; Kowalewski, P.; Przekop, R. The influence of MoS2 on the tribological properties of polylactide (PLA) applied in 3D printing technology. Tribologia 2020, 289, 57–62. [Google Scholar] [CrossRef]
- Zhang, P.; Hu, Z.; Xie, H.; Lee, G.-H.; Lee, C.-H. Friction and wear characteristics of polylactic acid (PLA) for 3D printing under reciprocating sliding condition. Ind. Lubr. Tribol. 2020, 72, 533–539. [Google Scholar] [CrossRef]
- Engin, T. Experimentally assessing the wear characteristics of 3D-printed PLA and tough PLA materials based on fused deposition modeling. Gazi Mühendislik Bilim. Derg. 2023, 9, 213–226. [Google Scholar]
- Raichur, S.; Ravishankar, R.; Kumar, R.R. Tribological Studies of Nanoclay-Reinforced PLA Composites Developed by 3D Printing Technology. J. Inst. Eng. Ser. D 2023, 105, 517–525. [Google Scholar] [CrossRef]
- Friedrich, K.; Fakirov, S.; Zhang, Z. Polymer Composites: From Nano-To Macro-Scale; Springer Science & Business Media: Berlin/Heidelberg, Germany, 2005. [Google Scholar]
- Parker, M.; Inthavong, A.; Law, E.; Waddell, S.; Ezeokeke, N.; Matsuzaki, R.; Arola, D. 3D printing of continuous carbon fiber reinforced polyphenylene sulfide: Exploring printability and importance of fiber volume fraction. Addit. Manuf. 2022, 54, 102763. [Google Scholar] [CrossRef]
- Al Abir, A.; Chakrabarti, D.; Trindade, B. Fused Filament Fabricated Poly(lactic acid) Parts Reinforced with Short Carbon Fiber and Graphene Nanoparticles with Improved Tribological Properties. Polymers 2023, 15, 2451. [Google Scholar] [CrossRef]
- Pan, S.; Shen, H.; Zhang, L. Effect of carbon nanotube on thermal, tribological and mechanical properties of 3D printing polyphenylene sulfide. Addit. Manuf. 2021, 47, 102247. [Google Scholar] [CrossRef]
- Golbang, A.; Harkin-Jones, E.; Wegrzyn, M.; Campbell, G.; Archer, E.; McIlhagger, A. Production and characterization of PEEK/IF-WS2 nanocomposites for additive manufacturing: Simultaneous improvement in processing characteristics and material properties. Addit. Manuf. 2020, 31, 100920. [Google Scholar] [CrossRef]
- Dabees, S.; Tirth, V.; Mohamed, A.; Kamel, B.M. Wear performance and mechanical properties of MWCNT/HDPE nanocomposites for gearing applications. J. Mater. Res. Technol. 2021, 12, 2476–2488. [Google Scholar] [CrossRef]
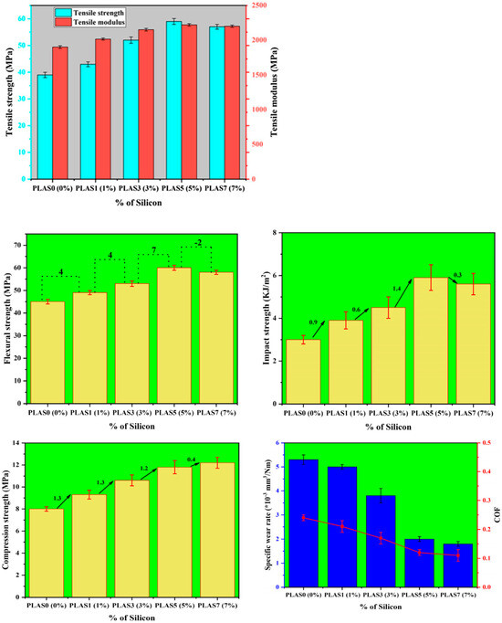
- Ramachandran, M.G.; Rajeswari, N. Influence of Nano Silica on Mechanical and Tribological Properties of Additive Manufactured PLA Bio Nanocomposite. Silicon 2022, 14, 703–709. [Google Scholar] [CrossRef]
- Cardoso, P.H.M.; Oliveira, M.F.L.; Oliveira, M.G.; da Silva Moreira Thiré, R.M. 3D Printed Parts of Polylactic Acid Reinforced with Carbon Black and Alumina Nanofillers for Tribological Applications. Macromol. Symp. 2020, 394. [Google Scholar] [CrossRef]
- Dhakal, N.; Espejo, C.; Morina, A.; Emami, N. Tribological performance of 3D printed neat and carbon fiber reinforced PEEK composites. Tribol. Int. 2024, 193, 109356. [Google Scholar] [CrossRef]
- Liow, Y.H.; Ismail, K.I.; Yap, T.C. Tribology Behavior of In-Situ FDM 3D Printed Glass Fibre-Reinforced Thermoplastic Composites. J. Res. Updates Polym. Sci. 2024, 13, 86–93. [Google Scholar] [CrossRef]
- Mandikos, M.N.; McGivney, G.P.; Davis, E.; Bush, P.J.; Carter, J.M. A comparison of the wear resistance and hardness of indirect composite resins. J. Prosthet. Dent. 2001, 85, 386–395. [Google Scholar] [CrossRef]
- Konyashin, I.; Ries, B.; Hlawatschek, D.; Zhuk, Y.; Mazilkin, A.; Straumal, B.; Dorn, F.; Park, D. Wear-resistance and hardness: Are they directly related for nanostructured hard materials? Int. J. Refract. Met. Hard Mater. 2015, 49, 203–211. [Google Scholar] [CrossRef]
- Valino, A.D.; Dizon, J.R.C.; Espera, A.H.; Chen, Q.; Messman, J.; Advincula, R.C. Advances in 3D printing of thermoplastic polymer composites and nanocomposites. Prog. Polym. Sci. 2019, 98, 101162. [Google Scholar] [CrossRef]
- Chang, L.; Zhang, Z.; Breidt, C.; Friedrich, K. Tribological properties of epoxy nanocomposites. Wear 2005, 258, 141–148. [Google Scholar] [CrossRef]
- Mahesh, V.; George, J.P.; Mahesh, V.; Chakraborthy, H.; Mukunda, S.; Ponnusami, S.A. Dry-sliding wear properties of 3D printed PETG/SCF/OMMT nanocomposites: Experimentation and model predictions using artificial neural network. J. Reinf. Plast. Compos. 2023, 43, 682–693. [Google Scholar] [CrossRef]
- Zhang, J.; Wang, X.Z.; Yu, W.W.; Deng, Y.H. Numerical investigation of the influence of process conditions on the temperature variation in fused deposition modeling. Mater. Des. 2017, 130, 59–68. [Google Scholar] [CrossRef]
- Yang, H.; Zhang, S. Numerical simulation of temperature field and stress field in fused deposition modeling. J. Mech. Sci. Technol. 2018, 32, 3337–3344. [Google Scholar] [CrossRef]
- Zhou, X.; Hsieh, S.-J.; Sun, Y. Experimental and numerical investigation of the thermal behaviour of polylactic acid during the fused deposition process. Virtual Phys. Prototyp. 2017, 12, 221–233. [Google Scholar] [CrossRef]
- Lei, M.; Wei, Q.; Li, M.; Zhang, J.; Yang, R.; Wang, Y. Numerical Simulation and Experimental Study the Effects of Process Parameters on Filament Morphology and Mechanical Properties of FDM 3D Printed PLA/GNPs Nanocomposite. Polymers 2022, 14, 3081. [Google Scholar] [CrossRef]
- Serdeczny, M.P.; Comminal, R.; Pedersen, D.B.; Spangenberg, J. Numerical prediction of the porosity of parts fabricated with fused deposition modeling. In Proceedings of the 29th Annual International Solid Freeform Fabrication Symposium (SFF Symp 2018), Austin, TX, USA, 13–15 August 2018; pp. 1849–1854. [Google Scholar]
- Fekete, G. Numerical Wear Analysis of a PLA-Made Spur Gear Pair as a Function of Friction Coefficient and Temperature. Coatings 2021, 11, 409. [Google Scholar] [CrossRef]
- Mao, K.; Greenwood, D.; Ramakrishnan, R.; Goodship, V.; Shrouti, C.; Chetwynd, D.; Langlois, P. The wear resistance improvement of fibre reinforced polymer composite gears. Wear 2019, 426, 1033–1039. [Google Scholar] [CrossRef]
- Li, Y.; Chiovelli, S.; Remesat, D.; Rideout, B.; Ivey, M.; Serate, D.; Yuen, S.; Doucette, B.; Waldbillig, D. 3D Printing of Wear-Resistant Materials: A Review and Perspectives in Oil Sands Applications. In Proceedings of the AMPP Annual Conference + Expo, Nashville, TN, USA, 6–10 April 2025; p. D051S052R001. [Google Scholar]
- Dimitrova, M.; Vlahova, A.; Kalachev, Y.; Zlatev, S.; Kazakova, R.; Capodiferro, S. Recent Advances in 3D Printing of Polymers for Application in Prosthodontics. Polymers 2023, 15, 4525. [Google Scholar] [CrossRef]
- Han, X.; Yang, D.; Yang, C.; Spintzyk, S.; Scheideler, L.; Li, P.; Li, D.; Geis-Gerstorfer, J.; Rupp, F. Carbon Fiber Reinforced PEEK Composites Based on 3D-Printing Technology for Orthopedic and Dental Applications. J. Clin. Med. 2019, 8, 240. [Google Scholar] [CrossRef] [PubMed]
- Tian, Y.; Chen, C.; Xu, X.; Wang, J.; Hou, X.; Li, K.; Lu, X.; Shi, H.; Lee, E.-S.; Jiang, H.B. A Review of 3D Printing in Dentistry: Technologies, Affecting Factors, and Applications. Scanning 2021, 2021, 9950131. [Google Scholar] [CrossRef] [PubMed]
- Malik, A.; Haq, M.I.U.; Raina, A.; Gupta, K. 3D printing towards implementing Industry 4.0: Sustainability aspects, barriers and challenges. Ind. Robot Int. J. Robot. Res. Appl. 2022, 49, 491–511. [Google Scholar] [CrossRef]
- Faludi, J.; Bayley, C.; Bhogal, S.; Iribarne, M. Comparing environmental impacts of additive manufacturing vs traditional machining via life-cycle assessment. Rapid Prototyp. J. 2015, 21, 14–33. [Google Scholar] [CrossRef]
- Holmberg, K.; Erdemir, A. Influence of tribology on global energy consumption, costs and emissions. Friction 2017, 5, 263–284. [Google Scholar] [CrossRef]
- Niemelä, M.; Shi, A.; Shirowzhan, S.; Sepasgozar, S.; Liu, C. 3D printing architectural freeform elements: Challenges and opportunities in manufacturing for industry 4.0. In Proceedings of the 36th International Symposium on Automation and Robotics in Construction (ISARC), Banff, AB, Canada, 21–24 May 2019; pp. 1298–1304. [Google Scholar]
- Zhai, W.; Bai, L.; Zhou, R.; Fan, X.; Kang, G.; Liu, Y.; Zhou, K. Recent progress on wear-resistant materials: Designs, properties, and applications. Adv. Sci. 2021, 8, 2003739. [Google Scholar] [CrossRef] [PubMed]
- Deepak Kumar, S.; Dewangan, S.; Jha, S.K.; Parida, S.; Behera, A. 3D and 4D printing in industry 4.0: Trends, challenges, and opportunities. In Next Generation Materials and Processing Technologies: Select Proceedings of RDMPMC 2020; Springer: Berlin/Heidelberg, Germany, 2021; pp. 579–587. [Google Scholar]
- Sharma, A.; Mukhopadhyay, T.; Rangappa, S.M.; Siengchin, S.; Kushvaha, V. Advances in computational intelligence of polymer composite materials: Machine learning assisted modeling, analysis and design. Arch. Comput. Methods Eng. 2022, 29, 3341–3385. [Google Scholar] [CrossRef]













| Printing Type | FDM | SLS |
|---|---|---|
| Print accuracy | Medium | High |
| Maximum printing size | Low | High |
| Capability for post-processing | Medium | Medium |
| Choice of raw materials | Medium | High |
| Machine size | Low | High |
| Affordability of the machine | High | Low |
| Affordability of the operation | High | Low |
| Polymer Matrix | Reinforcement | 3D Printing Type | Volume Fraction (wt.%) | Reference |
|---|---|---|---|---|
| ABS | FDM | [48] | ||
| ABS | Carbon fibre | FDM | 10 | [48] |
| ABS | FDM | [49] | ||
| ABS | FDM | [50] | ||
| ABS | FDM | [32] | ||
| ABS | FDM | [33] | ||
| ABS | FDM | [37] | ||
| ABS | Nano-clay | FDM | 0–2 | [51] |
| ABS | FDM | [52] | ||
| ABS | Glass fibre | FDM | 5, 10 | [85] |
| ABS | CNT | FDM | [86] | |
| ABS | Graphene | FDM | 0–5 | [53] |
| ABS | Graphene | FDM | 1–2 | [54] |
| ABS | FDM | [40] | ||
| ABS | FDM | [66] | ||
| ABS | FDM | [68] | ||
| ABS | FDM | [69] | ||
| ABS | FDM | [61] | ||
| Nylon PA12 | SLS | [55] | ||
| Nylon | FDM | [61] | ||
| Nylon | SiC, Al2O3 | FDM | 0–25, 25–45 | [87] |
| Nylon | FDM | [88] | ||
| Nylon PA6 | CCF | FDM | 35 | [56] |
| Nylon | SCF | FDM | 10 | [57] |
| Nylon PA12 | SLS | [89] | ||
| Nylon | ZrO2 | FDM | 0–30 | [90] |
| Nylon | FDM | [61] | ||
| Nylon | CF, GF | FDM | 25 | [59] |
| Nylon PA6 PA66 | FDM | [39] | ||
| Nylon PA6 PA66 | Glass fibre | FDM | 30 | [58] |
| Nylon PA 12 | SiC | SLS | 10 | [91] |
| Nylon PA 12 | SiC, nano-SiO2 | SLS | 4, 2.5 | [92] |
| Nylon PA 12 | SLS | [27] | ||
| PEEK | FDM | [12] | ||
| PEEK | CF, nanosilica | FDM | 30, 20 | [93] |
| PEEK | FDM | [18] | ||
| PEEK | SCF | FDM | 5 | [60] |
| PEEK | FDM | [19] | ||
| PLA | CF | FDM | 20 | [34] |
| PLA | FDM | [37] | ||
| PLA | FDM | [52] | ||
| PLA | FDM | [61] | ||
| PLA | Graphene | FDM | [4] | |
| PLA | FDM | [11] | ||
| PLA | Glass fibre | FDM | 45 | [35] |
| PLA | Carbon fibre | FDM | 5–30 | [94] |
| PLA | Graphene | FDM | 10–30 | [95] |
| PLA | Graphene | FDM | 50 | [96] |
| PLA | FDM | [97] | ||
| PLA | Wood | FDM | 0–50 | [98] |
| PLA | Bronze | FDM | 8 | [8] |
| PLA | FDM | [62] | ||
| PLA | PA6/TiO2 | FDM | 30–50 | [63] |
| PLA | FDM | [47] | ||
| PLA | MoS2 | FDM | 1, 2.5 | [99] |
| PLA | Graphene | FDM | 1–10 | [64] |
| PLA | FDM | [100] | ||
| PLA | FDM | [65] | ||
| PLA | FDM | [42] | ||
| PLA | FDM | [66] | ||
| PLA | FDM | [40] | ||
| PLA | FDM | [67] | ||
| PLA | FDM | [68] | ||
| PLA | Nano-silicon | FDM | 0–7 | [9] |
| PLA | FDM | [101] | ||
| PLA | FDM | [69] | ||
| PLA | FDM | [70] | ||
| PLA | FDM | [71] | ||
| PLA | Nano-clay | FDM | 10–20 | [102] |
| PLA | FDM | [41] | ||
| PLA | FDM | [45] |
| Matrix/ Nanoparticles | Nanoparticle Size (nm) | Friction Coefficient Trend Against Increasing Volume Content | Best Volume Content for Wear Performance (wt.%) | Reference | |
|---|---|---|---|---|---|
| 20 | ↓ | 1.02 × 10−3 | 8 | [109] | |
| 15–20/ 30–60 | ↓ | 6.9 × 10−4 | 0.75/2.25 | [110] | |
| NA | ↑ | 2.0 × 10−6 | 10 | [64] | |
| NA | ↑ | 1.12 × 10−5 | 10 | [102] | |
| 5 | ↑ | 6.14 × 10−4 | 5/5 | [105] | |
| <100 | ↓ | 2.55 × 10−5 | 2 | [51] | |
| 10–20 | ↓ | 2.78 × 10−7 | 4 | [86] | |
| NA | ↓ | 1.48 × 10−5 | 5 | [53] | |
| 2–10 | ↓ | 3.1 × 10−3 | 2 | [54] | |
| 80 | ↓ | 9 × 10−4 | 10 | [107] | |
| NA | ↑ | 5.89 × 10−6 | 4/2.5 | [92] | |
| 60–100 | ↓ | 1.8 × 10−5 | 0.9 | [106] |
Disclaimer/Publisher’s Note: The statements, opinions and data contained in all publications are solely those of the individual author(s) and contributor(s) and not of MDPI and/or the editor(s). MDPI and/or the editor(s) disclaim responsibility for any injury to people or property resulting from any ideas, methods, instructions or products referred to in the content. |
© 2025 by the authors. Licensee MDPI, Basel, Switzerland. This article is an open access article distributed under the terms and conditions of the Creative Commons Attribution (CC BY) license (https://creativecommons.org/licenses/by/4.0/).
Share and Cite
Li, Z.; Chang, L. Development of Wear-Resistant Polymeric Materials Using Fused Deposition Modelling (FDM) Technologies: A Review. Lubricants 2025, 13, 98. https://doi.org/10.3390/lubricants13030098
Li Z, Chang L. Development of Wear-Resistant Polymeric Materials Using Fused Deposition Modelling (FDM) Technologies: A Review. Lubricants. 2025; 13(3):98. https://doi.org/10.3390/lubricants13030098
Chicago/Turabian StyleLi, Zhiwang, and Li Chang. 2025. "Development of Wear-Resistant Polymeric Materials Using Fused Deposition Modelling (FDM) Technologies: A Review" Lubricants 13, no. 3: 98. https://doi.org/10.3390/lubricants13030098
APA StyleLi, Z., & Chang, L. (2025). Development of Wear-Resistant Polymeric Materials Using Fused Deposition Modelling (FDM) Technologies: A Review. Lubricants, 13(3), 98. https://doi.org/10.3390/lubricants13030098

