Abstract
A Ti-6Al-4V titanium alloy exhibits low hardness and poor wear resistance under sliding contact. This study evaluates the effect of low-pressure gas oxynitriding (LPON) followed by low-temperature oxidation on its microstructure and tribological performance. Specimens were nitrided at 1000 °C for 100 min, then oxidized at 450–600 °C for 120 min. Microstructural and phase changes were characterized by SEM and XRD; surface roughness, hardness, and wear were assessed using 3D laser scanning microscopy, microhardness profiling, and pin-on-disk tests under 2 N and 4 N loads. XRD revealed TiN, Ti2N, Ti2AlN, and TiO2 phases, with oxidation temperature governing TiN grain growth and nitride-to-oxide transformation. Oxidation at 500–550 °C formed a dense TiO2-rich layer over a stable TiN/Ti2N substrate, achieving hardness up to ~670 HV0.025 and the lowest wear volume. At low load (2 N), nitriding alone provided the highest wear resistance, while at higher load (4 N), oxidation yielded only slight improvement due to oxide embrittlement. Excessive oxidation at 600 °C increased roughness, induced spallation, and reduced wear resistance. The optimal condition (550 °C) offered synergistic protection from nitrides and stable oxides, enhancing load-bearing capacity. Overall, duplex nitriding–oxidation is most effective for low-to-moderate load applications, with potential use in biomedical implants, aerospace fasteners, and precision components.
1. Introduction
The Ti-6Al-4V titanium alloy, renowned for its excellent strength-to-weight ratio, corrosion resistance, and biocompatibility, has been extensively employed in aerospace, biomedical, and chemical industries [1,2,3,4]. However, its poor wear resistance, high friction coefficient, and susceptibility to galling significantly limit its tribological performance. These deficiencies cause surface damage in applications such as compressor blades, fasteners, biomedical implants, and valves, where friction and wear are critical issues. For instance, ultrasonic cutting tools are widely employed for machining thermoplastics, textiles, rubber, woven and non-woven fabrics, as well as the flanges and punches of stoma bags and various aerospace materials under dry sliding conditions. In addition, the wear of Ti-based blades often leads to edge roughening, severe distortion, and reduced cutting efficiency, thereby limiting their operational reliability [5]. To overcome these challenges, surface engineering approaches—particularly nitriding and subsequent oxidation—have been developed to form duplex structures composed of TiN/Ti2N and TiO2, which enhance hardness, reduce friction, and improve oxidation resistance. To address these limitations, surface modification and strengthening strategies are essential to enhance the tribological performance of Ti alloys and extend their service lifetime. Given the alloy’s extensive use in friction-related systems and its inherent limitations, further investigation into duplex-treated Ti-6Al-4V surfaces is essential to ensure reliable performance under demanding tribological conditions [6,7,8,9,10,11,12].
To address these issues, a combined nitriding and oxidation process—known as oxynitriding (ON)—has emerged as a promising duplex surface treatment. This process promotes the formation of a composite surface layer composed of hard nitrides and protective oxides (e.g., TiO2), thereby potentially enhancing both wear and corrosion resistance. According to previous studies [13,14,15,16], titanium oxynitrides (TiN0.5O0.5) with near-equiatomic composition exhibit enhanced overlap between Ti 3d and O(N) 2p orbitals. In this compositional range, the filling of the main Ti–n valence orbitals reach its maximum, indicating that the valence electron spectra of TiNxOy compounds are not simply a linear superposition of TiNx and TiOy energy bands [13,14]. The stabilization of a symmetric NaCl-type structure near TiN0.5O0.5 leads to stronger chemical bonding and consequently improved high-temperature stability and mechanical performance [15,16]. Furthermore, the presence of an oxide scale acts as an effective diffusion barrier and can also provide solid lubrication through the formation of TiO2 or Magnéli-type phases, thereby mitigating wear and corrosion in aggressive environments [17,18,19,20].
Several methods have been utilized to fabricate TiN or TiON modified surfaces on titanium alloys, including nitrogen ion implantation [21], physical vapor deposition (PVD) [22,23,24], reactive chemical (Chemical Vapor Deposition (CVD)) [25,26], plasma nitriding [27,28], laser-assisted nitriding [29,30,31], and vacuum gas nitriding [32,33,34]. Among these, low-pressure vacuum gas oxynitriding (ON) has gained attention for its superior diffusion kinetics, substantial surface hardening, and precise parameter control. In addition, it minimizes surface contamination, reduces ammonia consumption, and produces uniform, adherent nitride layers with enhanced mechanical and tribological performance [27,35,36].
In this study, a novel two-step surface modification approach was adopted. Ti-6Al-4V was first subjected to low-pressure vacuum nitriding at 1000 °C to develop a hardened nitride layer, and subsequently oxidized at 450, 500, 550, and 600 °C to promote the formation of composite oxide–nitride structures. This duplex treatment facilitates a controlled transformation from TiN/Ti2N to TiO2, thereby generating a graded surface architecture with enhanced phase stability.
The primary objective of this work is to elucidate the microstructural evolution, phase composition, and elemental distribution of the duplex-treated surfaces, and to establish their correlation with improvements in wear resistance protection. Therefore, improving the tribological performance of Ti-6Al-4V is essential for extending service life and reliability in these high-value sectors. Conventional surface hardening methods provide only limited benefits, whereas advanced techniques such as gas nitriding and ON offer a means of forming hard ceramic-like layers (TiN, Ti2N, TiO2) that reduce friction, increase hardness, and enhance wear resistance. By revealing the synergistic interactions between nitrided and oxidized layers, the present study provides new insights into the design of durable tribological surfaces for Ti-6Al-4V alloys.
2. Materials and Methods
Commercial Ti-6Al-4V alloy (α + β phase, composition in Table 1) was cut into specimens (35 × 35 × 5 mm) using wire electrical discharge machining. The specimens were mechanically ground with SiC papers up to #1200 grit, polished to a mirror finish with 0.5 μm alumina suspension, and ultrasonically cleaned in ethanol. The pretreated specimens were subjected to low-pressure vacuum nitriding. The chamber was evacuated to
Pa and purged with high-purity nitrogen. Heating was carried out stepwise to 1000 °C, followed by nitriding for 100 min under nitrogen atmosphere, and furnace cooling.
Table 1.
Elemental composition of Ti-6Al-4V titanium alloy specimen (wt%).
Subsequently, the nitrided specimens were oxidized at 450, 500, 550, or 600 °C for 120 min in air, followed by furnace cooling. The overall thermal profile of the nitriding–oxidation cycle is shown in Figure 1.
Figure 1.
Temperature curve of the nitriding–oxidizing process.
Phase analysis was performed using X-ray diffraction (Siemens, Munich, Germany, D5000, Cu Kα radiation, 20–80° 2θ). Surface morphology and roughness were characterized by a laser scanning confocal microscope (Keyence, Osaka, Japan, VK-X1000). Wear tests were conducted according to ASTM G99 [37] ball-on-disk using a tungsten carbide ball (6 mm diameter) under loads of 2 N and 4 N, with corresponding sliding distances of 188.5 m and 301.6 m. Wear volume and wear rate were calculated from wear track profiles.
3. Results
3.1. Microstructural Analysis
Figure 2 shows the XRD patterns of Ti-6Al-4V specimens nitrided at 1000 °C for 100 min, followed by oxidation at 450 °C, 500 °C, 550 °C, and 600 °C. Based on JCPDS cards, diffraction peaks corresponding to TiN, Ti2N, Ti2AlN, TiO2, α-Ti, and β-Ti phases were identified and indexed.
Figure 2.
XRD diffraction patterns at a nitriding temperature of 1000 °C with various oxidation treatments.
At 450 °C, the predominant phases were TiN and Ti2N, indicating that the nitrided surface remained largely intact with minimal oxidation. Suvorova et al. [38] reported that nitrogen-deficient TiN can partially transform into TiNxOy oxynitrides at 350–450 °C, but overall oxidation is still insignificant, with TiN/Ti2N phases dominating the structure. The presence of α-Ti and β-Ti peaks suggests that X-rays still penetrated into the substrate.
When the oxidation temperature increased to 500 °C, TiO2peaks began to appear while TiN and Ti2N peak intensities slightly decreased, indicating the onset of oxidation despite the nitrides still being dominant. This agrees with Chen et al. [39], who observed that TiN begins to oxidize into rutile TiO2 at approximately 500–650 °C, with oxygen atoms penetrating the oxide layer and nitrogen escaping. A weak Ti2AlN phase was also detected, possibly due to diffusion interactions among nitrogen, aluminum, and titanium during oxidation. The persistence of Ti2AlN suggests good thermal stability within the diffusion zone [40].
At 550 °C, TiO2 became more pronounced, particularly at diffraction angles corresponding to the rutile structure, while TiN and Ti2N intensities further decreased, indicating partial transformation of nitrides into oxides. The Ti2AlN phase remained detectable, implying the formation of a stable ternary compound within the diffusion zone.
At 600 °C, TiO2 became the dominant phase, with nitrides nearly disappearing, indicating extensive oxidation of the surface nitrides. Ti2AlN was still detected, confirming its thermal stability at elevated temperatures.
3.2. Effect of Oxidation Temperature on TiN Grain Size
Figure 3 presents the average TiN grain sizes, calculated using the Scherrer equation from the peak broadening of three major diffraction planes ((111), (200), and (220)), after nitriding at 1000 °C and subsequent oxidation at 450–600 °C. Overall, oxidation temperature had a marked effect on TiN grain size. Ortega-Portilla et al. [41] reported that TiN grain growth is negligible below 300 °C, but changes significantly above 400 °C, with Full width at half maximum (FWHM) values correlating with oxidation extent. In particular, oxidation at 550–600 °C promotes TiO2 formation, which can cause a reduction or anisotropic change in TiN grain size.
Figure 3.
Relationship between the average grain size of TiN and the crystallographic plane indices (111, 200, 220) for Ti-6Al-4V samples nitrided at 1000 °C and subsequently oxidized at different temperatures (450–600 °C) for 120 min.
At 450 °C, TiN exhibited the smallest grain size on all measured planes, ranging from approximately 2.7 to 3.3 nm, suggesting that the nitrided layer retained fine grains due to minimal thermal activation and negligible grain growth. Increasing the oxidation temperature to 500 °C and 550 °C resulted in slight grain coarsening due to thermal exposure. At 600 °C, the average grain size of the (111) plane increased markedly to nearly 5.0 nm, whereas the (200) and (220) planes remained relatively fine, indicating anisotropic grain growth. This may result from preferential oxidation or selective dissolution of specific TiN planes, as the surface composition shifts from nitride- to oxide-dominated. These findings indicate that elevated oxidation temperatures not only promote partial TiN decomposition but also facilitate recrystallization and grain coarsening, particularly in specific crystallographic orientations [42]. Such microstructural changes influence mechanical properties, including hardness and wear resistance, by altering the stability of the surface layer.
3.3. Surface Roughness and Morphological Characteristics After Oxidation
Figure 4 shows the changes in surface roughness Sa (arithmetical mean height) of Ti-6Al-4V specimens nitrided at 1000 °C and subsequently oxidized for 120 min at different temperatures (450–600 °C). The black curve represents roughness after nitriding only, while the red curve corresponds to post-oxidation roughness. VK laser scanning confocal microscopy images of the corresponding 3D surface topographies are displayed below each data point.
Figure 4.
Surface roughness (Sa) of Ti-6Al-4V specimens nitrided at 1000 °C and subsequently oxidized at different temperatures (450–600 °C). The black curve represents the nitrided surface, while the red curve corresponds to the oxidized surface.
The nitrided surfaces (black curve) exhibited relatively low roughness values (~0.06–0.09 µm) under all conditions, consistent with the formation of a dense nitride layer and limited surface disturbance. The lowest Sa value was observed at 500 °C, possibly due to slight surface smoothing from thermal diffusion without significant oxide growth.
In contrast, oxidized surfaces (red curve) showed much higher roughness values (~0.36–0.44 µm), which increased with oxidation temperature, particularly at 600 °C. This trend can be attributed to the formation of granular or porous TiO2-rich oxide scales, which increase surface irregularity. Literature reports indicate that Ti-6Al-4V surface roughness rises significantly with oxidation temperature (600–900 °C) due to such oxide growth [43,44]. The VK 3D profiles corroborate this, showing that nitrided surfaces remained relatively flat and uniform, while oxidized surfaces became progressively rougher and more irregular at higher oxidation temperatures. At 600 °C, the surface appeared highly uneven, likely due to oxide scale growth, grain coarsening, and possible spallation. Xu et al. [45] noted that excessive surface roughness in Ti-6Al-4V promotes cracking and spallation of the oxide layer, especially during early oxidation and subsequent diffusion treatments.
Figure 5 shows the 3D surface morphology of Ti-6Al-4V before and after oxidation at 450–600 °C. The unoxidized surfaces (Figure 5a–d) are relatively smooth, with average roughness values below 0.5 μm. After oxidation, roughness increased markedly with temperature. At 450 and 500 °C, slight coarsening and granular oxide features were observed, with Ra values of ~2.1 and ~2.3 μm, respectively. The maximum roughness (~4.1 μm) occurred at 550 °C, where heterogeneous oxide scales and deep valleys were formed. At 600 °C, the surface remained granular but more compact, and roughness decreased to ~2.9 μm.
Figure 5.
Three-dimensional surface morphology of Ti-6Al-4V before and after oxidation at different temperatures, characterized by VK laser scanning microscopy. (a–d) Surface topography of specimens prior to oxidation; (e–h) oxidized surfaces after treatment at (e) 450 °C, (f) 500 °C, (g) 550 °C, and (h) 600 °C, respectively.
The evolution of surface roughness reflects the growth and degradation of the oxide scale. Zhang et al. [46] demonstrated that changes in surface morphology of the nitrided Ti-6Al-4V alloy are closely associated with the formation and local spallation of the corrosion products, which intensify surface roughening. At higher temperatures (≈600 °C), the stabilization of rutile produces a denser and more adherent oxide layer, as also discussed by Körkel et al. [47] and Ma et al. [48]. Such temperature-dependent morphology changes directly influence tribological and corrosion performance, as increased roughness enhances contact interlocking but also promotes corrosive attack.
3.4. Cross-Sectional Morphology of the Oxynitride Layer
Figure 6 presents cross-sectional SEM images of Ti-6Al-4V specimens nitrided at 1000 °C for 100 min and oxidized at 450, 500, 550, and 600 °C for 120 min. A distinct microstructural gradient is observed. The near-surface region exhibits coarse, irregular α grains with an average thickness of approximately 10–14 μm, indicating pronounced grain coarsening due to prolonged exposure above the β-transus temperature (~995 °C). Beneath this layer, the matrix shows a typical Widmanstätten structure, consisting of acicular α lamellae interwoven with retained β phases. Such morphology is characteristic of β → α transformation during cooling, where the α plates nucleate along specific crystallographic orientations and grow directionally within the prior β grains.
Figure 6.
Cross-sectional scanning electron microscopy (SEM) images of Ti-6Al-4V alloys nitrided at 1000 °C for 100 min and subsequently oxidized at different temperatures for 120 min: (a) 450 °C, (b) 500 °C, (c) 550 °C, and (d) 600 °C, respectively.
Prolonged holding at 1000 °C promoted extensive β grain growth, which subsequently resulted in the formation of coarse α colonies upon cooling. The lamellar α structure can enhance hardness and strength through the refinement of α/β interfaces; however, excessive grain coarsening near the surface may reduce ductility and impact toughness. This trade-off indicates that high-temperature treatment favors the development of a pronounced lamellar structure, while simultaneously compromising toughness due to grain boundary embrittlement. Furthermore, intergranular β-Ti islands within the Ti(N) zone were not observed in the cross-sectional images, as nitrogen is a strong α stabilizer. The diffused nitrogen transformed the intergranular β phase into α. With increasing nitriding time, both the Ti–N layer and the Ti(N) zone thickened, accompanied by progressive grain coarsening in the underlying matrix.
At 450 °C (Figure 6a), the surface layer was relatively thin and dense, with a well-defined interface between the modified layer and the substrate. The limited layer thickness and retained TiN/Ti2N suggest minimal oxidation. No visible porosity or cracks were observed, indicating microstructural stability at low oxidation temperatures.
At 500 °C (Figure 6b), the oxide layer thickness increased slightly compared to 450 °C. The layer remained dense but exhibited early signs of oxidation-induced structural changes, such as localized contrast variations, suggesting initial TiO2 formation atop a partially intact nitride layer. The interface remained clear. Pérez et al. [49] noted that oxidation layers formed below 500 °C are thin and compact, whereas temperatures above 550 °C yield thicker, more porous, and granular structures—consistent with the 550–600 °C morphologies observed here.
At 550 °C (Figure 6c), the oxide layer thickened considerably, displaying a two-layer structure: an outer porous/granular oxygen-rich layer and an inner denser zone, likely consisting of residual nitrides or a Ti2AlN transition layer. Slight surface roughness and structural heterogeneity indicate ongoing oxidation and diffusion.
At 600 °C (Figure 6d), the surface layer was markedly thicker and more porous/rough. The topmost region showed signs of complete oxidation, potentially forming TiO2 with columnar or nodular morphologies. Below the oxide layer, a diffusion zone was still discernible but transitioned more gradually into the substrate. The overall structure exhibited advanced oxidation, oxide scale growth, and microcracks likely induced by thermal stresses or oxide volume expansion [16,20].
Figure 7 presents the cross-sectional SEM image and corresponding EDS elemental map-pings of the Ti-6Al-4V alloy subjected to nitriding at 1000 °C for 60 min followed by oxidation at 600 °C for 120 min. The results reveal a pronounced elemental partitioning behavior between the α and β phases. Aluminum exhibits clear enrichment within the α phase, while vanadium shows the opposite tendency, preferentially segregating to the β phase. This elemental redistribution is consistent with the intrinsic roles of Al and V as phase stabilizers in Ti alloys. Specifically, Al acts as an α stabilizer, raising the β-transus temperature and lowering the chemical potential of Al in the hcp-α lattice, thereby promoting its incorporation into α lamellae. In contrast, V is a β stabilizer, lowering the β-transus temperature and energetically favoring the bcc-β lattice, which explains its segregation into the retained β phase.
Figure 7.
Cross-sectional SEM image and corresponding EDS elemental mappings of the Ti-6Al-4V alloy subjected to nitriding at 1000 °C followed by oxidation at 600 °C, showing oxygen (O, yellow) enrichment in the outer oxide scale, nitrogen (N, green) distribution beneath the surface within the nitrided zone, and the spatial distribution of titanium (Ti, blue), aluminum (Al, orange), and vanadium (V, red), respectively.
During the cooling process from the β region, the β → α transformation induces solute partitioning; Al is incorporated into the newly formed α plates, whereas V is rejected into the surrounding β matrix or retained at α/β interfaces. This redistribution results in a characteristic α-colonies structure that is Al-rich, interspersed with thin β films enriched in V. Furthermore, the near-surface region exhibits significant oxygen and nitrogen incorporation, both of which are strong α stabilizers. Their presence further promotes α phase formation and intensifies the partitioning of V into the underlying β regions.
The observed elemental segregation has direct implications for mechanical properties. The enrichment of Al and O/N in the α phase enhances surface hardening, while V-rich β regions contribute to localized ductility. However, the pronounced chemical inhomogeneity at α/β interfaces may also act as potential sites for crack initiation under cyclic loading. These findings highlight the strong coupling between thermally induced phase transformations, solute partitioning, and the resulting microstructural stability in heat-treated Ti-6Al-4V alloys.
Figure 7 presents the cross-sectional SEM image and corresponding EDS elemental mappings of the Ti-6Al-4V alloy subjected to nitriding at 1000 °C followed by oxidation at 600 °C. A distinct modified surface layer is clearly observed, which can be divided into two regions according to the elemental distribution. Oxygen (O, yellow) is concentrated in the outer surface, forming a continuous TiO2 scale with minor Al2O3 from Al enrichment. A distinct modified surface layer was observed, consisting of an outer oxide and an inner nitride region. Oxygen was enriched in the outer surface, where a continuous TiO2 scale with minor Al2O3 formed due to Al segregation. Such elemental confinement indicates that oxidation near 600 °C promotes the development of a protective oxide scale with limited inward diffusion, consistent with the findings of Lee et al. [50].
Nitrogen (N, green) is predominantly distributed beneath the oxide scale, corresponding to the nitrided subsurface zone generated during the 1000 °C treatment. Its deeper penetration suggests the formation of TiN/Ti2N phases, thereby producing a duplex structure consisting of an outer oxide layer and an inner nitride region, consistent with the oxidation behavior of Ti-6Al-4V reported by Casadebaigt et al. [51] and Estupinán-López et al. [52]. EDS mapping further reveals Ti as the matrix element, surface-enriched Al forming an Al2O3-bearing TiO2 scale, and V depletion at the outer surface due to the instability and volatility of V-oxides at elevated temperatures [51,52]. Combined with the persistence of a subsurface TiN/Ti2N zone after nitriding [50,53], these findings substantiate the presence of a duplex TiO2/Al2O3 oxide over an inner nitride layer in Ti-6Al-4V.
3.5. Cross-Sectional Microhardness Distribution of the Oxynitride Layer
Figure 8 presents the microhardness profiles from the treated surface toward the substrate for Ti-6Al-4V specimens subjected to nitriding at 1000 °C for 100 min followed by oxidation at 450–600 °C for 120 min. All treated specimens exhibited markedly higher hardness compared with the substrate (~350–400 HV0.025), thereby confirming the effective formation of a hardened compound layer induced by nitriding. These findings are consistent with previous reports by Whittle [54] and colleagues as well as Leyens [53] et al., who also observed substantial hardness enhancement following similar thermochemical treatments. Moreover, recent studies have provided direct experimental validation of this behavior. Zhang et al. [46] reported that nitrided Ti-6Al-4V exhibited a surface hardness exceeding 1300 HV0.05, demonstrating the significant strengthening imparted by nitride layers. Similarly, Kang et al. [55] confirmed that nitriding not only improved hardness but also enhanced tribological resistance by forming a compact TiN/Ti2N compound layer. Lee et al. [36] demonstrated that gas nitriding followed by oxidation produced a bilayer structure with an outer TiO2 scale and an inner TiN/Ti2N zone. This duplex architecture enhanced hardness and wear resistance by combining oxidative protection from TiO2 with the load-bearing capacity of TiN/Ti2N. Consistently, Pohrelyuk et al. [56] reported that nitrided Ti-6Al-4V developed an oxide–nitride duplex structure upon subsequent oxidation, which significantly improved both hardness and oxidation resistance. Collectively, these works substantiate the pronounced hardening effect and duplex layer formation observed in the present study. All oxidized specimens displayed a significant hardness increase in the near-surface region relative to the substrate, highlighting the strengthening role of oxide and oxynitride layers. The maximum surface hardness (~700 HV0.025) was obtained after oxidation at 450 °C. With increasing temperature (500–600 °C), the hardness slightly decreased, which can be attributed to oxide coarsening and reduced nitride stability. Beyond ~40 μm from the surface, hardness gradually decreased toward the substrate level (~300 HV0.025), suggesting that the modified layer was limited in depth. These results indicate that moderate oxidation temperatures favor the formation of a dense, hard surface layer, whereas higher oxidation temperatures tend to reduce the strengthening effect.
Figure 8.
Depth profiles of microhardness for Ti-6Al-4V specimens nitrided at 1000 °C and subsequently oxidized at different temperatures.
At 600 °C, the surface hardness reached ~750 HV0.025, but the hardness gradient became indistinct, reflecting the transformation of TiN/Ti2N into TiO2. Although TiO2 exhibits high intrinsic hardness, it lacks the toughness of the nitrided layer. The diffusion zone also became shallower and less defined, indicating nitride degradation at elevated oxidation temperatures. Fu et al. [57] reported that post-oxidation surface hardness of nitrided components typically ranges from 668 to 788 HV0.025, depending on oxidation conditions. At 600 °C, they observed ~750 HV0.025 with a blurred hardness gradient and reduced diffusion layer depth, consistent with extensive TiO2 formation and nitride instability [58,59].
3.6. Wear Performance Analysis
Wear tests were performed under applied loads of 2 N and 4 N to evaluate the tribological response of nitrided and oxidized Ti-6Al-4V surfaces. These relatively low loads were intentionally selected to restrict wear within the hardened nitride/oxide layer. Higher loads could rapidly penetrate into the softer substrate, thereby obscuring the protective effect of the modified surface. The chosen conditions therefore allowed a more accurate assessment of the contributions of TiN/Ti2N and TiO2 scales to wear resistance.
Figure 9 presents the average wear volume of specimens nitrided at 1000 °C. At 2 N, oxidation at 450 °C and 500 °C resulted in the lowest wear, consistent with the retention of TiN/Ti2N phases and enhanced surface hardness. In contrast, oxidation at 600 °C produced higher wear volumes due to the formation of a porous and brittle TiO2 scale, which readily fractured under stress. The resulting debris acted as third-body abrasives, accelerating material loss. At 4 N, wear volumes increased overall due to higher contact stresses, but the relative ranking was preserved; the specimen oxidized at 550 °C exhibited the best resistance, while the 600 °C sample underwent severe degradation.
Figure 9.
Average wear loss (volume loss) of Ti-6Al-4V specimens nitrided at 1000 °C and subsequently oxidized at different temperatures under 2 N and 4 N loads.
The 3D wear scar morphologies (Figure 8, Figure 9 and Figure 10) further support these findings. The untreated alloy displayed deep grooves (>15 μm), delamination, and adhesive failure, reflecting its poor intrinsic wear resistance. In contrast, the oxidized specimens exhibited narrower and shallower tracks. At 450 °C, abrasive plowing was still evident, suggesting limited oxide protection. At 500 °C, smoother tracks indicated a synergistic effect between TiN and a thin TiO2 film. The best performance was achieved at 550 °C, where a dense and adherent oxide layer suppressed both abrasive and adhesive wear. At 600 °C, however, excessive oxidation caused embrittlement and spallation of the oxide scale, resulting in severe delamination and debris accumulation. These observations are consistent with prior studies showing that dense rutile TiO2 scales formed at intermediate oxidation temperatures act as stiff, adherent barriers that reduce plastic deformation and suppress adhesive wear [60,61,62,63]. Conversely, excessive oxide growth produces thick and brittle scales with poor interfacial adhesion, thereby promoting crack initiation and spallation under load [64,43].
Figure 10.
Three-dimensional surface morphology of the wear track on untreated Ti-6Al-4V alloy under a 4 N load.
Figure 11 shows the variation in wear track width and depth with oxidation temperature. All oxidized specimens exhibited reduced track dimensions compared with the untreated alloy, confirming the protective role of the modified layers. At 450 °C, both width and depth decreased markedly due to the presence of hard TiN/Ti2N phases, although limited oxide coverage provided only moderate improvement. At 500 °C, both parameters slightly increased, consistent with partial protection from a thin TiO2 film. The most favorable performance was obtained at 550 °C, where the narrowest and shallowest tracks were observed, attributed to the formation of a dense and adherent oxide scale. At 600 °C, wear resistance deteriorated again due to oxide embrittlement and spallation, which increased abrasion despite relatively stable track width. Overall, the data demonstrate that 550 °C represents the optimal oxidation condition, where the synergistic effect of TiN and a stable TiO2 film yields the lowest wear track dimensions and strongest tribological protection.
Figure 11.
The wear tracks width and depth on Ti-6Al-4V alloys nitrided at 1000 °C and subsequently oxidized at different temperatures under a 4 N load: untreated, 450 °C, 500 °C, 550 °C, and 600 °C.
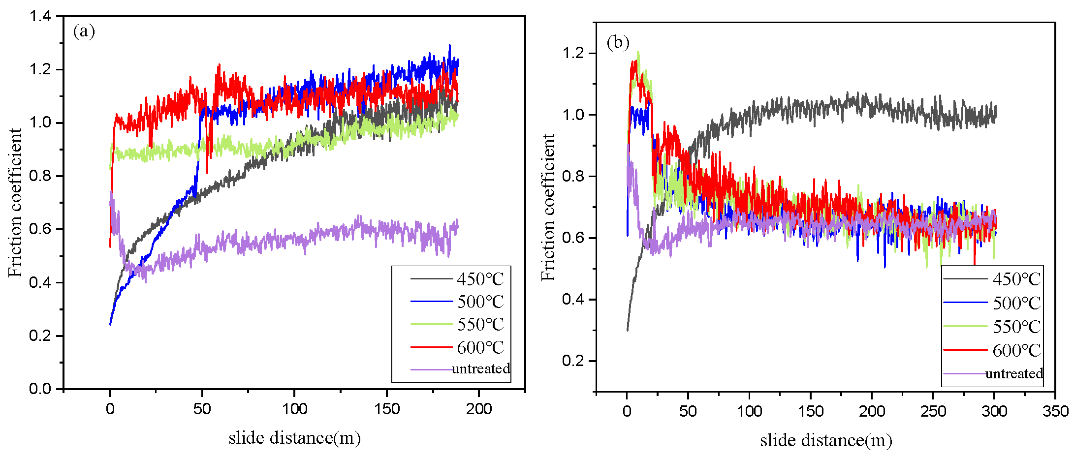
Figure 12 further illustrates the frictional response of Ti-6Al-4V under different oxidation temperatures and applied loads. At 2 N (Figure 12a), the untreated alloy exhibited a relatively low and stable coefficient of friction (~0.4–0.5), whereas oxidized specimens showed higher values (~0.7–1.0). The 450 °C and 500 °C specimens maintained relatively stable friction coefficients, indicating that the oxide layers provided sufficient load-bearing capacity. In contrast, the 550 °C and 600 °C specimens displayed larger fluctuations and gradual increases in friction, attributable to oxide embrittlement and partial spallation at elevated oxidation temperatures. At 4 N (Figure 12b), the oxidized specimens exhibited lower friction coefficients compared with the 2 N case, suggesting compaction and polishing of the oxide layers during sliding. By contrast, the untreated alloy showed a rapid increase to ~1.0, accompanied by instability, reflecting severe adhesive wear of the unmodified substrate.
Figure 12.
Coefficient of friction as a function of sliding distance for oxidized Ti-6Al-4V under different oxidation temperatures: (a) applied load of 2 N and (b) applied load of 4 N.
In summary, the combined effect of vacuum gas nitriding and controlled oxidation significantly enhanced the wear resistance of Ti-6Al-4V. The optimal condition was achieved at 550 °C, where a stable TiN/oxide bilayer minimized both adhesive and abrasive wear. The use of low applied loads confirmed that the improved tribological performance primarily originated from the hardened surface layer, while the untreated alloy remained highly susceptible to plastic deformation, grooving, and delamination.
Figure 13 presents the wear tracks of Ti-6Al-4V alloy nitrided at 1000 °C and oxidized at different temperatures under a 4 N load. At 450 and 500 °C, the tracks remain narrow and smooth, reflecting the protective role of compact TiN/Ti2N and TiO2 scales. In contrast, oxidation at 550 °C induces partial spallation, while at 600 °C severe delamination, deep grooves, and fragmented oxides are observed. The porous and brittle TiO2 formed at higher temperatures detaches readily, and the fractured debris acts as third-body abrasives, intensifying wear. At higher magnification, plowing, localized plastic deformation, and debris accumulation become evident, particularly after oxidation at 550–600 °C. These observations are consistent with prior reports showing that oxide fracture and entrapped debris promote abrasive wear [61,59]. By comparison, nitrided specimens exhibit smoother and shallower tracks with less debris, confirming that the hardened nitride layer significantly improves tribological performance [59]. Moreover, groove depth and debris generation increase with normal load, in agreement with Chen et al. [65].
Figure 13.
SEM images of wear tracks of Ti6Al4V alloy nitrided at 1000 °C under 4N load at different oxidation temperatures: (a) 450 °C, (b) 500 °C, (c) 550 °C, and (d) 600 °C, respectively.
Furthermore, the lubricity behavior of the oxides formed during sliding should also be considered. It has been reported that TiOx layers generated under tribological conditions may act as solid lubricants, thereby reducing the effective friction coefficient and delaying severe wear. In particular, Magnéli-type TiOx phases can exhibit shear-induced slip along crystallographic planes, which contributes to a reduction in frictional forces at the contact interface [Ref]. In the present study, specimens oxidized at 500–550 °C likely benefited from this effect; the formation of a dense TiO2-rich layer not only provided mechanical protection but may also have introduced lubricious oxides that mitigated adhesive wear and stabilized the friction coefficient. This mechanism is consistent with recent findings by Bhatia et al. [25], who demonstrated that the presence of TiOx phases can significantly enhance tribological performance through their lubricating action. At higher oxidation temperatures (e.g., 600 °C), however, excessive oxide growth produced porous and brittle TiO2 scales that fractured under load, negating this lubricating contribution and instead generating abrasive debris that accelerated wear.
4. Conclusions
This study systematically investigated the effects of oxidation at 450–600 °C on the microstructure, surface properties, and tribological performance of a Ti-6Al-4V alloy after vacuum gas nitriding at 1000 °C. The combined analysis of XRD, SEM, VK 3D surface profilometry, microhardness, and wear testing leads to the following conclusions:
- Low-pressure gas nitriding at 1000 °C followed by oxidation at 450–600 °C produced duplex nitride–oxide layers with distinct structural evolution;
- Moderate oxidation at 500–550 °C formed dense TiO2-rich scales on stable TiN/Ti2N layers, leading to smooth surfaces, high hardness, and the lowest wear volume;
- At low load (2 N), nitriding alone provided the best wear resistance, showing that the hardened nitride layer effectively confined wear to the modified surface;
- At higher load (4 N), the improvement from oxidation was only marginal, as excessive oxide growth led to brittleness, microcracking, and debris formation, thereby limiting long-term protection;
- These results indicate that the proposed duplex treatment is most suitable for practical applications involving low-to-moderate contact loads, such as biomedical implants, aerospace fasteners, and precision mechanical parts, where enhanced hardness and controlled friction are critical.
Author Contributions
Conceptualization, C.-H.Y. and S.-H.C.; methodology, C.-H.Y. and S.-H.C.; investigation, C.-C.C., P.-C.C., J.-H.S. and F.-Y.L.; data curation, C.-Y.L.; writing—original draft preparation, C.-H.Y.; writing—review and editing, C.-H.Y. All authors have read and agreed to the published version of the manuscript.
Funding
This research received no external funding.
Data Availability Statement
The data presented in this study are available on request from the corresponding author. The data are not publicly available due to privacy or ethical restrictions.
Acknowledgments
The authors gratefully acknowledge Hsing-Kuang Industrial Co., Ltd. for their assistance and guidance in the ON treatments. The authors gratefully acknowledge of Hitachi SU8600 (EM0026200) belonging to the Core Facility Center of National Cheng Kung University. Special thanks are extended to Shih-Hsien Chang of the Department of Materials Science, National Taipei University of Technology, for providing access to laboratory equipment, which made the successful completion of this study possible.
Conflicts of Interest
The authors declare no conflicts of interest.
Abbreviations
The following abbreviations are used in this manuscript:
| LPON | Low-Pressure Gas Oxynitriding |
| ON | Oxynitriding |
| WEDM | Wire-cut Electrical Discharge Machine |
| WC | Tungsten Carbide |
| FWHM | Full width at half maximum |
| SEM | Scanning Electron Microscope |
References
- Weng, Z.; Gu, K.; Cui, C.; Cai, H.; Liu, X.; Wang, J. Microstructure evolution and wear behavior of titanium alloy under cryogenic dry sliding wear condition. Mater. Charact. 2020, 165, 110385. [Google Scholar] [CrossRef]
- Qu, J.; Blau, P.J.; Watkins, T.R.; Cavin, O.B.; Kulkarni, N.S. Friction and wear of titanium alloys sliding against metal, polymer, and ceramic counterfaces. Wear 2005, 258, 1348–1356. [Google Scholar] [CrossRef]
- Revankar, G.D.; Shetty, R.; Rao, S.S.; Gaitonde, V.N. Wear resistance enhancement of titanium alloy (Ti-6Al-4V) by ball burnishing process. J. Mater. Res. Technol. 2017, 6, 13–32. [Google Scholar] [CrossRef]
- Wang, J.; Jing, Z.; Yin, C.; Wang, Z.; Zeng, S. Coatless modification of 3D-printed Ti-6Al-4V implants through tailored Cu ion implantation combined with UV photofunctionalization to enhance cell attachment, osteogenesis and angiogenesis. Colloids Surf. B Biointerfaces 2024, 238, 113891. [Google Scholar] [CrossRef] [PubMed]
- He, Z.; He, H.; Lou, J.; Li, Y.; Li, D.; Chen, Y. Fabrication, structure and mechanical and ultrasonic properties of medical Ti-6Al-4V alloys. Part I: Microstructure and mechanical properties of Ti-6Al-4V alloys suitable for ultrasonic scalpel. Materials 2020, 13, 478. [Google Scholar] [CrossRef]
- Das, S.; Anand, S.; Vishwakarma, P.A.; Singh, R.; Mukherjee, S.K.; Sinha, S.K.; Gupta, M. Formation of TiN protective layer at 500 °C for enhanced oxidation resistance of IMI 834 titanium alloy in aerospace engine applications. Ceram. Int. 2025; in press. [Google Scholar] [CrossRef]
- Wang, G.; Li, J.; Cheng, Q.; Guo, Z.; Zhang, J. Hierarchical MAO–diamond coating for titanium alloys: Enhancing tribological performance through experimental and atomistic insights. Appl. Surf. Sci. 2025, 714, 164393. [Google Scholar] [CrossRef]
- Pan, T.; Li, X.; Zhang, Z.; Yang, Y.; Liu, C.; Qiao, G.; Huang, H.; Dong, H. A novel surface engineering technique for improving tribological performance of low-cost beta titanium alloy. Wear 2025, 572, 206076. [Google Scholar] [CrossRef]
- Yang, C.; Liu, J. Intermittent vacuum gas nitriding of TB8 titanium alloy. Vacuum 2019, 163, 52–58. [Google Scholar] [CrossRef]
- Zhecheva, A.; Sha, W.; Malinov, S.; Long, A. Enhancing the microstructure and properties of titanium alloys through nitriding and other surface engineering methods. Surf. Coat. Technol. 2005, 200, 2192–2207. [Google Scholar] [CrossRef]
- Zhang, B.; Zhu, S.; Wang, Z.; Zhou, H. Microstructure and tribological performance of a dimpled gradient nanoscale TiN layer. Mater. Lett. 2016, 169, 214–217. [Google Scholar] [CrossRef]
- Turu, I.C.; Cansever, N. Anodization of Ti-6Al-4V in water–ethylene glycol solution containing NH4F and its corrosion behavior in Ringer’s solution. Int. J. Electrochem. Sci. 2022, 17, 220624. [Google Scholar] [CrossRef]
- Graciani, J.; Márquez, A.M.; Plata, J.J.; Ortega, Y.; Hernández, N.C.; Meyer, B.; Sanz, J.F. Comparative study on the band gap of transition metal oxides: Trends and mechanisms. J. Chem. Phys. 2009, 131, 244713. [Google Scholar] [CrossRef]
- Odusanya, A.I.; Maphanga, R.R.; Shongwe, M.B. Structural, electronic, and optical properties of titanium oxynitrides: First-principles calculations. Phys. B Condens. Matter 2024, 671, 415079. [Google Scholar] [CrossRef]
- Mucha, J.; Zakrzewska, K.; Wierzbicka, M.; Socha, R.P.; Kusior, A.; Michalow-Mauke, K.; Graule, T. Optical and electronic properties of titanium oxynitride thin films: Influence of oxygen/nitrogen ratio. Thin Solid Films 2020, 693, 137688. [Google Scholar] [CrossRef]
- Enríquez-Pérez, E.A.; Olivares-Maldonado, Y.; López-Cartes, C.; Galindo, H.; Zambrano-Robledo, P.; Ramírez-Morales, E. Synthesis and characterization of titanium oxynitride thin films deposited by reactive magnetron sputtering. Ceram. Int. 2021, 47, 26546–26554. [Google Scholar] [CrossRef]
- Wittmer, M.; Baglin, J.E.E.; Spitz, J. Oxidation of titanium nitride films: Mechanism and kinetics. J. Appl. Phys. 1985, 58, 1029–1035. [Google Scholar] [CrossRef]
- Furlan, A.; Högberg, H.; Hultman, L.; Jansson, U. Ti–O–N thin films: Phase stability, microstructure, and mechanical properties. Surf. Coat. Technol. 2015, 266, 154–163. [Google Scholar] [CrossRef]
- Erdemir, A.; Donnet, C. Tribology of diamond-like carbon films: Recent progress and future prospects. J. Phys. D Appl. Phys. 2006, 39, R311–R327. [Google Scholar] [CrossRef]
- Graciani, J.; Hamad, S.; Sanz, J.F. Changing the physical and chemical properties of titanium oxynitrides TiN1−xOx by changing the composition. Phys. Rev. B 2009, 80, 184112. [Google Scholar] [CrossRef]
- Vlček, P.; Černý, F.; Drahokoupil, J.; Sepitka, J. The microstructure and surface hardness of Ti-6Al-4V alloy implanted with nitrogen ions at an elevated temperature. J. Alloys Compd. 2015, 620, 48–54. [Google Scholar] [CrossRef]
- Jokanović, V.; Bundaleski, N.; Petrović, B.; Ferarra, M.; Jokanović, B.; Živković, S.; Nasov, I. Detailed physico-chemical characterization of multilayered thin films based on titanium oxynitride and copper-doped titanium nitride obtained by different PVD techniques. Vacuum 2022, 195, 110708. [Google Scholar] [CrossRef]
- Torrent, F.; Lavisse, L.; Berger, P.; Pillon, G.; Lopes, C.; Vaz, F.; de Lucas, M.M. Influence of the composition of titanium oxynitride layers on the fretting behavior of functionalized titanium substrates: PVD films versus surface laser treatments. Surf. Coat. Technol. 2014, 255, 146–152. [Google Scholar] [CrossRef]
- Subramanian, B.; Muraleedharan, C.V.; Ananthakumar, R.; Jayachandran, M. A comparative study of titanium nitride (TiN), titanium oxynitride (TiON) and titanium aluminum nitride (TiAlN) as surface coatings for bioimplants. Surf. Coat. Technol. 2011, 205, 5014–5020. [Google Scholar] [CrossRef]
- Bhatia, H.; Nagay, B.E.; Nasution, H.; Barão, V.A.; Sukotjo, C.; Takoudis, C. Progress in titanium oxynitride (TiOxNy) synthesis for corrosion protection, biocompatibility, and visible light photocatalysis targeting implant applications. Surf. Coat. Technol. 2025, 513, 132490. [Google Scholar] [CrossRef]
- Salamat, A.; Hyett, G.; Cabrera, R.Q.; McMillan, P.F.; Parkin, I.P. High-pressure behavior and polymorphism of titanium oxynitride phase Ti2.85O4N. J. Phys. Chem. C 2010, 114, 8546–8551. [Google Scholar] [CrossRef]
- Hosseini, S.R. Evaluation of the effects of plasma nitriding temperature and time on the characterization of Ti-6Al-4V alloy. Vacuum 2013, 87, 30–39. [Google Scholar] [CrossRef]
- Gong, Y.; Lamichhane, P.; Walker, M.; Hessel, V.; Rebrov, E. Enhanced ammonia production through non-thermal plasma-assisted synthesis: Tailoring titanium oxynitride photocatalysts for optimal performance. Chem. Eng. J. 2025, 165118, in press. [Google Scholar] [CrossRef]
- Teodorescu, V.S.; Maraloiu, A.V.; Negrea, R.F.; Ghica, D.; Scarisoreanu, N.D.; Dinescu, M.; Gartner, M.; Blanchin, M.G. High atomic diffusivity during pulsed laser irradiation of TiON quasi-amorphous films. Appl. Surf. Sci. 2016, 374, 248–251. [Google Scholar] [CrossRef]
- Antończak, A.J.; Trzcinski, M.; Hiller, T.; Bukaluk, A.; Wronkowska, A.A. Optical properties of laser-induced oxynitride films on titanium. Appl. Surf. Sci. 2014, 304, 107–114. [Google Scholar] [CrossRef]
- Tișov, O.; Pohrelyuk, I.; Yurchuk, A.; Lavrys, S. Effect of combination of gas oxynitriding and selective laser treatment on structure, phase composition and wear resistance of high-strength titanium alloy. Appl. Surf. Sci. 2025, 708, 163568. [Google Scholar] [CrossRef]
- Yang, C.; Liu, W.; Yang, X.; Meng, Z. Preparation of TiN compound layer by intermittent vacuum diffusion nitriding on Ti-6Al-4V titanium alloy. Vacuum 2024, 229, 113531. [Google Scholar] [CrossRef]
- Liu, J.; Suslov, S.; Vellore, A.; Ren, Z.; Amanov, A.; Pyun, Y.S.; Ye, C. Surface nanocrystallization by ultrasonic nano-crystal surface modification and its effect on gas nitriding of Ti-6Al-4V alloy. Mater. Sci. Eng. A 2018, 736, 335–343. [Google Scholar] [CrossRef]
- Xu, X.; Li, Z.; Wang, B.; Lai, W.; Cao, S.; You, D.; Wang, X. Formation of a protective oxides-nitrides compound layer with enhanced wear properties, corrosion resistance, and cytocompatibility on novel Ti-Zr-Nb-Ta-Mo multi-principal element alloy. Tribol. Int. 2024, 199, 109947. [Google Scholar] [CrossRef]
- Yilbas, B.S.; Shuja, S.Z. Laser treatment and PVD TiN coating of Ti-6Al-4V alloy. Surf. Coat. Technol. 2000, 130, 152–157. [Google Scholar] [CrossRef]
- Lee, D.B.; Yaskiv, O.; Lee, K.S. Gas nitriding and subsequent oxidation of Ti-6Al-4V alloys. Nanoscale Res. Lett. 2012, 7, 21. [Google Scholar] [CrossRef] [PubMed]
- ASTM G99-17; Standard Test Method for Wear Testing with a Pin-on-Disk Apparatus. ASTM International: West Conshohocken, PA, USA, 2017.
- Suvorova, E.I.; Uvarov, O.V.; Chizh, K.V.; Klimenko, A.A.; Buffat, P.A. Structure, oxygen content and electric properties of titanium nitride electrodes in TiNx/La:HfO2/TiNx stacks grown by PEALD on SiO2/Si. Nanomaterials 2022, 12, 3608. [Google Scholar] [CrossRef]
- Chen, H.Y.; Lu, F.H. Oxidation behavior of titanium nitride films. J. Vac. Sci. Technol. A 2005, 23, 1006–1009. [Google Scholar] [CrossRef]
- Zhang, Z.; Chai, J.; Jin, H.; Pan, J.; Wong, L.M.; Lim, S.H.; Wang, S.J. Oxidation of single crystalline Ti2AlN thin films between 300 and 900 °C: A perspective from surface analysis. J. Phys. Chem. C 2016, 120, 18520–18528. [Google Scholar] [CrossRef]
- Ortega-Portilla, C.; Giraldo, A.; Cardona, J.A.; Ruden, A.; Mondragón, G.C.; Trujillo, J.P.; Ortega, A.G.; González-Carmona, J.M.; Franco Urquiza, E.A. Effect of temperature on the structure and tribological properties of Ti, TiN and Ti/TiN coatings deposited by cathodic arc PVD. Coatings 2024, 14, 823. [Google Scholar] [CrossRef]
- Tang, Y.-Y.; Chang, Y.-L.; Luo, W.; Tang, D.-W. High-temperature oxidation behavior of TiN-, Cr-, and TiN–Cr PVD-coated Zircaloy-4 alloy at 1200 °C. Materials 2025, 18, 1692. [Google Scholar] [CrossRef]
- Ahmed, F.S.; El-Zomor, M.A.; Ghazala, M.S.A.; Elshaer, R.N. Effect of oxide layers formed by thermal oxidation on mechanical properties and NaCl-induced hot corrosion behavior of TC21 Ti-alloy. Sci. Rep. 2022, 12, 19265. [Google Scholar] [CrossRef] [PubMed]
- Khandaker, M.; Riahinezhad, S.; Li, Y.; Vaughan, M.B.; Sultana, F.; Morris, T.L.; Phinney, L.; Hossain, K. Plasma nitriding of titanium alloy: Effect of roughness, hardness, biocompatibility, and bonding with bone cement. Bio-Med. Mater. Eng. 2016, 27, 461–474. [Google Scholar] [CrossRef]
- Xu, Y.; Jiang, Y.; Xie, J.; Xu, Q.; Fei, H.; Lu, Y.; Gong, J. Effect of temperature, vacuum condition and surface roughness on oxygen boost diffusion of Ti-6Al-4V alloy. Coatings 2024, 14, 314. [Google Scholar] [CrossRef]
- Zhang, L.; Shao, M.; Zhang, Z.; Yi, X.; Yan, J.; Zhou, Z.; He, Y.; Li, Y. Corrosion behavior of nitrided layer of Ti-6Al-4V titanium alloy by hollow cathodic plasma source nitriding. Materials 2023, 16, 2961. [Google Scholar] [CrossRef]
- Körkel, A.F.; Jellesen, M.S.; Foss, M.; Ceccato, M.; Somers, M.A.; Christiansen, T.L. Thermochemical oxidation of commercially pure titanium: Controlled formation of robust white titanium oxide layers for biomedical applications. Surf. Coat. Technol. 2023, 467, 129716. [Google Scholar] [CrossRef]
- Ma, K.; Zhang, R.; Sun, J.; Liu, C. Oxidation mechanism of biomedical titanium alloy surface: Experiment and mechanism. Int. J. Corros. 2020, 2020, 1678615. [Google Scholar] [CrossRef]
- Pérez, P. Influence of nitriding on the oxidation behaviour of titanium alloys at 700 °C. Surf. Coat. Technol. 2005, 191, 293–302. [Google Scholar] [CrossRef]
- Lee, D.B.; Abro, W.A.; Lee, K.S.; Abro, M.A.; Pohrelyuk, I.; Yaskiv, O. Gas nitriding and oxidation of Ti-6Al-4V alloy. Defect Diffus. Forum 2018, 382, 155–159. [Google Scholar] [CrossRef]
- Casadebaigt, A.; Hugues, J.; Monceau, D. High-temperature oxidation and embrittlement at 500–600 °C of Ti-6Al-4V alloy fabricated by laser and electron beam melting. Corros. Sci. 2020, 175, 108875. [Google Scholar] [CrossRef]
- Estupinán-López, F.; Orquiz-Muela, C.; Gaona-Tiburcio, C.; Cabral-Miramontes, J.; Bautista-Margulis, R.G.; Nieves-Mendoza, D.; Lopes, A.J. Oxidation Kinetics of Ti-6Al-4V Alloys by Conventional and Electron Beam Additive Manufacturing. Materials 2023, 16, 1187. [Google Scholar] [CrossRef]
- Leyens, C.; Peters, M. (Eds.) Titanium and Titanium Alloys: Fundamentals and Applications; Wiley-VCH: Weinheim, Germany, 2003. [Google Scholar] [CrossRef]
- Whittle, D.P.; Stringer, J. Improvements in High-Temperature Oxidation Resistance by Additions of Reactive Elements or Oxide Dispersions. Philos. Trans. R. Soc. A Math. Phys. Eng. Sci. 1980, 295, 309–329. [Google Scholar] [CrossRef]
- Kang, J.; Wang, M.; Yue, W.; Fu, Z.; Zhu, L.; She, D.; Wang, C. Tribological Behavior of Titanium Alloy Treated by Nitriding: Effects of Surface Textures on Wear Mechanisms. Coatings 2019, 9, 37. [Google Scholar] [CrossRef]
- Pohrelyuk, I.; Tkachuk, O.; Proskurnyak, R. Effect of oxidation of nitride coatings on corrosion properties of Ti-6Al-4V alloy in 0.9% NaCl at 40 °C. Cent. Eur. J. Chem. 2014, 12, 260–265. [Google Scholar] [CrossRef]
- Fu, L.; Makówka, M.; Januszewicz, B.; Kaczmarek, Ł.; Gu, Y. Improvement of Ti-6Al-4V Alloy in Terms of Mechanical and Tribological Properties by Oxidation and Nitriding. Appl. Surf. Sci. Adv. 2023, 14, 100396. [Google Scholar] [CrossRef]
- Ongtrakulkij, G.; Kajornchaiyakul, J.; Kondoh, K.; Khantachawana, A. Investigation of Microstructure, Residual Stress, and Hardness of Ti-6Al-4V after Plasma Nitriding with Different Times and Temperatures. Coatings 2022, 12, 1932. [Google Scholar] [CrossRef]
- Shen, H.; Wang, L. Enhancement of Wear and Corrosion Resistance of Ti6Al4V Alloy through Hollow Cathode Discharge-Assisted Plasma Nitriding. Materials 2024, 17, 4386. [Google Scholar] [CrossRef]
- García-Rueda, A.K.; Guzmán-Castillo, D.; García-González, L.; Zamora-Peredo, L.; Hernández-Torres, J. Surface Modification of a Ti-6Al-4V Alloy by Thermal Oxidation to Improve Its Tribological Properties. Mater. Lett. 2022, 317, 132082. [Google Scholar] [CrossRef]
- Dong, H.; Bell, T. Enhanced Wear Resistance of Titanium Surfaces by a New Thermal Oxidation Treatment. Wear 2000, 238, 131–137. [Google Scholar] [CrossRef]
- Güleryüz, H.; Çimenoğlu, H. Effect of Thermal Oxidation on Corrosion and Corrosion–Wear Behaviour of a Ti-6Al-4V Alloy. Biomaterials 2004, 25, 3325–3333. [Google Scholar] [CrossRef] [PubMed]
- Zeng, Q.; Sun, S.; Pang, Z.; Wei, X. Study on High-Temperature, Ultra-Low Wear Behaviors of Ti6Al4V Alloy with Thermal Oxidation Treatment. Coatings 2024, 14, 416. [Google Scholar] [CrossRef]
- Lin, N.; Xie, R.; Zou, J.; Qin, J.; Wang, Y.; Yuan, S.; Li, D.; Zhao, L.; Zhang, L.; Wang, Z.; et al. Surface Damage Mitigation of Titanium and Its Alloys via Thermal Oxidation: A Brief Review. Rev. Adv. Mater. Sci. 2019, 58, 132–146. [Google Scholar] [CrossRef]
- Chen, Q.; Wang, X.; Zou, Z. Study on Wear Resistance of Ti-6Al-4V Alloy Composite Coating Prepared by Laser Alloying. Appl. Sci. 2021, 11, 446. [Google Scholar] [CrossRef]
Disclaimer/Publisher’s Note: The statements, opinions and data contained in all publications are solely those of the individual author(s) and contributor(s) and not of MDPI and/or the editor(s). MDPI and/or the editor(s) disclaim responsibility for any injury to people or property resulting from any ideas, methods, instructions or products referred to in the content. |
© 2025 by the authors. Licensee MDPI, Basel, Switzerland. This article is an open access article distributed under the terms and conditions of the Creative Commons Attribution (CC BY) license (https://creativecommons.org/licenses/by/4.0/).












