Abstract
With the continuous advancement of industrial technology, higher demands have been placed on the properties of gear oils, such as oxidation stability and shear resistance. Herein, the oxidation stability of high-viscosity metallocene poly--olefins (mPAOs) was improved by chemical modification via aromatic amine alkylation. The modified mPAO base oils were synthesized separately with diphenylamine (mPAO-DPA) and N-phenyl--naphthylamine (mPAO-NPA), and their applicability in industrial gear oil formulations was evaluated. The composition and physicochemical properties of the obtained samples were assessed using 1H NMR spectroscopy, Fourier transform infrared spectroscopy, gel permeation chromatography, and the American Society for Testing and Materials standards (ASTM D445, ASTM D2270, ASTM D92, etc.) confirming the successful completion of the alkylation reaction. The oxidation stability of the samples was also evaluated using pressurized differential scanning calorimetry. The initial oxidation temperature of mPAO-NPA (230 °C) was 53 °C higher than that of mPAO, and the oxidation induction period of mPAO-DPA was nearly twice that of mPAO-NPA. Thermogravimetric analysis in air revealed the increased thermal decomposition temperature and improved thermal stability of modified mPAO. ISO VG 320 industrial gear oils were formulated using mPAO alkylated with N-phenyl--naphthylamine(Lub-2) and commercially purchased PAO100 (Lub-1) as base oil components. The antioxidant performance of two industrial gear oils was evaluated through oven oxidation and rotating oxygen bomb tests. The oxidation induction period of Lub-2 was 30% higher than that of Lub-1, with the latter having a lower acid number and a smaller increase in viscosity at 40 °C. Finally, the friction performance of the samples was assessed on a four-ball friction tester, revealing the synergistic effect of the mPAO-NPA base oil with the HiTEC 3339 additive, forming a more stable oil film with a smaller wear scar diameter.
1. Introduction
Polyalphaolefins (PAOs) are a synthetic lubricant base oil produced by the oligomerization of higher -olefins, such as 1-hexene and 1-octene [1,2,3], and especially 1-decene [4,5,6]. Due to their distinctive structure with a long straight alkane main chain and multiple side chains, PAOs have superior viscosity–temperature behavior and low-temperature fluidity compared with conventional mineral oils. The use of PAOs in lubricants significantly enhances the application range of lubricants under challenging conditions such as extreme temperatures, high loads, and severe operating conditions. Consequently, PAOs have become one of the most widely used base oil materials for engine oil, gear oil, and other industrial oil formulations [7,8,9].
Various techniques have been reported for the synthesis of PAOs, including the use of coordination catalysts [10,11,12], Lewis acid-initiator systems (e.g., AlCl3 and BF3), or proton initiators such as H2O and alcohol. In commercial plants, BF3 is typically used to produce low-viscosity PAOs (2–10 mm2/s), while high-viscosity products (>10 mm2/s) are produced using AlCl3 as the catalyst. However, these production processes demand high standards in terms of equipment anti-corrosion performance, safety, and sealing while also imposing extremely stringent requirements on post-processing and discharge procedures, which restrict their applicability. In recent years, researchers have sought to replace traditional production processes with environmentally friendly polymerization processes and catalysts [5,13,14,15,16,17,18,19,20,21]. Metallocene catalysts have thus garnered increasing attention due to their advantage of a single active center, high reactivity, facile post-processing, and minimal environmental impact [22,23,24,25,26]. Various grades of PAOs with different viscosities can be achieved through metallocene catalytic systems, distinguishing them from conventional PAOs, this novel type of base oil is referred to as metallocene polyalphaolefin (mPAOs). When -olefins are polymerized by cationic systems to produce PAOs, significant skeletal isomerization occurs, resulting in the production of PAOs with short side chains and a lower viscosity index. However, in the metallocene-catalyzed polymerization process, the catalyst provides uniform PAO chains through the 1,2-insertions of monomers into the metal–C bond, which are subsequently terminated by the -hydride transfer mechanism [27]. The comb-like structure of metallocene-based poly--olefins provides better shear stability, a lower pour point, and a higher viscosity index for base oil than conventional PAOs.
Synthetic gear oil is an important application of PAOs. With advancing industrial technology, gear design precision has continuously improved. The development of gear transmission devices focuses on achieving smaller dimensions, reduced weight, increased speed and load capacity, and enhanced efficiency. These require industrial gear oil to have excellent oxidation stability, and shear resistance to extend the service life and change interval of the oil [28,29,30]. The anti-oxidation ability of the lubricating base oil can be improved by adjusting the antioxidants, but there has been limited research on enhancing these properties.
During metallocene-catalyzed -olefin oligomerization, most chain termination reactions occur through -hydrogen transfer and elimination, resulting in PAOs with high amounts of terminal vinylidene-type double bonds or double bonds at more accessible positions. Thus, they are more reactive toward alkylation with aromatic compounds or aromatic amines with antioxidant properties. “Grafting” aromatic compounds onto the mPAO main chain imparts a “natural” anti-oxidation ability to the mPAO base oil, saturating its double bonds without expensive, dangerous hydrogenation. The addition of aromatic and amine groups also increases the mPAO polarity, enhancing additive dissolution. These factors increase the lubricant formulation flexibility.
In this work, two aromatic chemically modified mPAO base oils were synthesized by the alkylation of diphenylamine (DPA) and N-phenyl--naphthylamine (NPA) with chloroaluminate ionic liquid catalyst. The modified mPAO structures were characterized using infrared spectroscopy, 1H NMR, and gel permeation chromatography (GPC), and their thermal oxidative stability was measured using pressurized differential scanning calorimetry (PDSC) and thermogravimetric analysis (TGA). Based on the characterization results, ISO VG 320 [31] industrial gear oils were formulated using mPAO alkylated with N-phenyl--naphthylamine and commercially purchased PAO100 as base oil components. Their anti-oxidation capabilities were further compared using rotary bomb oxidation and oven oxidation tests. Additionally, the tribological performance of both oils was evaluated on a four-ball friction tester.
2. Materials and Methods
In this study, diphenylamine (cas:122-39-4, 99.0%) and N-phenyl--naphthylamine (cas:90-30-2, 99.0%) were purchased from Adamas Chemical Reagent Co., Ltd. (Shanghai, China). 1-Butyl-3-methylimidazolium chloride (cas:79917-90-1, 99.0%), triisobutyl aluminum (cas:100-99-2, 1M toluene solution), anhydrous aluminum chloride (cas:7446-70-0, 99.0%), N, N-DimethylaniliniumTetrais(Pentafluorophenyl)Boeate (cas:118612-00-3, 97.0%) and rac-ethylenebis(1-indenyl)zirconium dichloride (cas:100080-82-8, >94.0%) were purchased from Aladdin Biochemical Technology Co., Ltd. (Shanghai, China). All the reagents were used as received without further purification. 1-Octene (cas:111-66-0, 97.0% (dried by 13X molecular sieve), PAO6, PAO100, and AN5 purchased from Shanghai Qicheng Industrial Co., Ltd. (Shanghai, China) and HiTEC 3339 additive package purchased from Afton Chemical (Suzhou) Co., Ltd. (Suzhou, China).
2.1. Synthesis Procedures
2.1.1. Synthesis of High-Viscosity Metallocene Poly--Olefins (mPAO-S)
The polymerization reaction was carried out in a 500 mL round-bottomed flask, evacuated, and back-filled with high-purity nitrogen 3–4 times. First, 250 g of dried 1-octene (pre-treated with a 13×molecular sieve) was added to the flask, and the reaction temperature was raised to 115 °C. Then, 4.2 mg of rac-ethylenebis(1-indenyl) zirconium dichloride and 9.0 mg of N,N-dimethylaniline-tetra(pentafluorophenyl) borate were added to a Schlenk flask containing 5 mL of toluene solvent. Afterward, 2 mL of 1 M triisobutylaluminum toluene solution was added and shaken vigorously. The prepared catalyst solution was injected into 1-octene using a syringe to initiate the reaction while maintaining a controlled reaction temperature of 115 °C. After 2 h, 1 wt% clay was added, and the mixture was further stirred for 1 h. The crude product was filtered, and the unreacted monomers, solvent, and light fractions were removed under vacuum at 210 °C and 1.2 mbar in a molecular distillation apparatus. The prepared mPAO was used as a raw material for subsequent alkylation reactions.
2.1.2. Synthesis of the [BMI]Al2Cl7 Ionic Liquid Catalyst
Briefly, 100 mL of petroleum ether and 11.6 g of 1-butyl trimethyl imidazole were added to a 250 mL three-neck flask and purged with high-purity nitrogen gas three times. The reaction temperature was lowered to −20 °C, 17.6 g anhydrous aluminum chloride was added gradually in three portions, and the reaction was conducted for 3 h under constant stirring. After phase separation, the product was used without further purification.
2.1.3. Synthesis of mPAO-NPA
Briefly, 140 g of the as-prepared mPAO and 8.2 g of N-phenyl--naphthylamine were combined in a reaction flask under an inert atmosphere. After adding 7 mL of [BMI]Al2Cl7ionic liquid catalyst, the reaction mixture was stirred at 120 °C for 18 h. After the reaction, the mixture was allowed to settle and separate, the upper layer was decanted, and 2 wt% calcium oxide was added. The mixture was stirred at 80 °C for 1 h until the neutralization reaction was complete. The mixture was transferred to a separation funnel and filtered. The filtrate was then extracted three times with 200 mL of methanol to remove any unreacted N-phenyl--naphthylamine and transferred to a vacuum distiller to evaporate traces of methanol at 90 °C for 30 min to obtain a pale yellow, transparent oil (Figure 1).
Figure 1.
Synthesis Route of aromatic amine modified mPAO.
2.1.4. Synthesis of mPAO-DPA
mPAO-DPA was synthesized using a method analogous to mPAO-NPA to yield a pale yellow, transparent oil.
2.1.5. Formulation of ISO 320 Gear Oil
The modified mPAO, PAO6, and AN5 were added in appropriate proportions into a 500 mL beaker. A specific quantity of HiTEC 3339 was then added. The beaker was placed on a heating plate, and the temperature of the gear oil was elevated to 60 °C. Mechanical stirring was continued for 2 h, after which the mixture was allowed to cool overnight at room temperature. Various tests were then conducted.
2.2. Physicochemical Properties Test
Standard methods, such as ASTM D445, ASTM D2270, ASTM D92, ASTM D5950, ASTM D1159, ASTM D664(A), ASTM D611 [32,33,34,35,36,37,38] were used to test the kinematic viscosity, viscosity index (VI), flash point, pour point, acid number, bromine number, and aniline point of modified mPAO base oil and gear oil.
2.3. Structural Composition Analysis
The Fourier transform infrared (FT-IR) spectra were recorded on a Spectrum Two FTIR spectrometer (ATR; PerkinElmer, Waltham, MA, USA). The molecular weight distribution of the modified mPAO base oil was characterized using gel permeation chromatography (GPC) on a Viscotek GPCmax system (Malvern Panalytical, Worceterhire, UK). The NMR spectra were recorded on a BRUKER AVANCE III HD spectrometer (Shanghai, China) operated at 400.17 and 100.62 MHz for 1H and 13C, respectively. The aromatic and nitrogen contents in the modified mPAO were determined using the American Society for Testing and Materials (ASTM) standards ASTM D5762 and ASTM D1840, respectively [39,40].
2.4. Oxidation and Thermal Stability
The initial oxidation temperature (IOT) and oxidation induction time (OIT) of modified mPAO were tested with a PDSC system (METTLER TOLEDO, Greifensee, Switzerland). The IOT of samples was determined by a programmed heating method. The test conditions of were a heating rate of 10 °C/min, oxygen pressure of 3.5 MPa, oxygen flow rate of 100 mL/min, open aluminum dish diameter of 6 mm, and sample size of 3.0 mg. Standard methods ASTM D3895 [41] were used to test the OIT of mPAO and its derivatives. The rotating oxygen bomb test (ROBT) of the gear oil sample was carried out on a P/N15200-3 system (SETA, London, UK) according to the ASTM D2272 [42] standard method. Additionally, the oxidation ability of the gear oils was further evaluated using a self-built oven oxidation test. In this test, 200 mL of oil was poured into a 250 mL beaker, to which 5 g of copper wire and a steel ball were added. The beaker was placed in an oven and heated to 200 °C. The acid number and viscosity at 40 °C of the sample were analyzed every 48 h. The oxidation ability of the oil was evaluated based on the degree of change in the acid number and viscosity as well as the amount of sludge at the bottom of the beaker after aging. An SDT Q600 thermal analyzer (TA Instruments, Newcastle, PA, USA) was used to monitor the weight changes of the samples; 50 mg of the sample was transferred into the crucible of the analyzer and heated to 500 °C at 10 °C/min under a nitrogen atmosphere.
2.5. Friction and Wear Test
The tribological performance of the 320-grade gear oil formulations (Lub-1 and Lub-2), which were, respectively, blended with PAO100 and modified mPAO as the base oil, was evaluated on a four-ball friction tester (Tianji Automation Co., Ltd., Xiamen, China) under point-to-point contact. The antiwear performance of both gear oils was evaluated using the SH/T 0189 method. The experimental steel ball was a GCr15 steel ball produced by Falex Company in the United States, with an average hardness of 66.1 HRC and a diameter of 12.7 mm. The experiments were conducted at 75 °C for 60 min with a rotational speed of 1200 rpm and a load of 196 N. Subsequently, the wear mark diameter was observed under an optical microscope.
3. Results
3.1. Physicochemical Characterization
High-viscosity PAOs, such as PAO 40, 100, and 150, represent an important class of base oils used in synthetic industrial gear oils. These materials meet the development requirements for gear oils with low viscosity, high quality, versatility, and long service life. In this study, 1-octene was used as a raw material and catalyzed by a metallocene to synthesize an unsaturated mPAO with a viscosity of 116 mm2/s at 100°C. This product was used as a chemical modification precursor to synthesize specialized mPAO base oils with enhanced antioxidant functions. Amino antioxidants were primarily used due to their superior antioxidant performance at high temperatures and efficacy in regulating oil viscosity. These amino antioxidants predominantly included N-phenyl--naphthylamine and alkylated diphenylamine. As a free radical terminator, N-phenyl--naphthylamine showed exceptional high-temperature antioxidant performance and strong compatibility [43]. However, it exhibited a propensity to generate precipitation and clog filters during use, rendering it challenging to meet certain operational condition requirements [44].
Aromatic amine-modified mPAO base oils were prepared by the alkylation of mPAO vinylidene using an acidic ionic liquid catalyst. The saturation of olefin double bonds can generally enhance the oxidation stability of the base oil but hinders the precipitation of aromatic amines even after oxidation, improving oil sludge dispersibility. Table 1 shows the physicochemical properties of mPAO-DPA and mPAO-NPA prepared by alkylation. For these samples, the viscosity of alkylated mPAO increased slightly (by approximately 8 mm2/s), but the viscosity index decreased. Incorporating mPAO long straight chains into the aromatic rings enhanced the base oil viscosity but lowered the viscosity index. However, modified mPAO also has a high viscosity index (no less than 193). The bromine number of unhydrogenated mPAO was determined as 2.44 g Br/100 g by electrometric titration, indicating an alkene content of 15.24 mmol/100 g.
Table 1.
Physicochemical properties of mPAO, mPAO-DPA, and mPAO-NPA samples.
3.2. Fourier Transform Infrared Spectra of mPAO-S and Its Derivatives
The infrared spectra of all samples are shown in Figure 2. In the mPAO samples, the band at 1643 cm−1 was attributed to the C=C stretching vibration of terminal olefins. This characteristic peak in the mPAO-DPA and mPAO-NPA spectra disappeared, and a new peak indicating the presence of an aromatic group was observed at 1600 cm−1. The results obtained in the FTIR spectra demonstrated the success of the chemical modifications performed. In addition, the intensity of the olefin C–H out-of-plane bending vibration at 888 cm−1 was significantly reduced in the mPAO-DPA and mPAO-NPA spectra, further indicating that most vinyl double bonds had been eliminated by the alkylation reactions.
Figure 2.
Infrared spectra of mPAO and modified products.
3.3. 1H NMR Spectra of mPAO and Its Derivatives
The type of C=C unsaturation in the PAO chains was studied using the 1H NMR spectra. Figure 3 shows several possible unsaturated double bonds, including vinylidene, tri-substituted vinylene, and vinylene [11].
Figure 3.
Unsaturated double bonds in mPAO.
The 1H NMR spectra of mPAO and its derivatives are shown in Figure 4. The pair of double peaks at 4.67 and 4.73 ppm belonged to vinylidene, produced by -H elimination and chain termination after the 1,2-insertion of the olefin. The peaks at 5.0–5.2 ppm were attributed to tri-substituted vinylene, formed by rearrangement during -H elimination, while those at 5.3–5.5 ppm were assigned to vinylene. Compared with the mPAO-S spectrum, the peaks at 4.67 and 4.73 ppm for vinylidene showed a marked decrease in intensity in the mPAO-DPA and mPAO-NPA spectra, indicating that most double bonds had undergone alkylation reactions with the aromatic amine. The alkylation conversion rate was calculated based on changes in the relative content of three different double bond types (Table 2). The vinylidene conversion rate for the two reactions was 88.58% and 85.79%. Furthermore, the appearance of aromatic C–H proton peaks at = 6.8–8.0 ppm indicated the presence of an aromatic ring in the mPAO main chain. These results were consistent with the FTIR characterization, further indicating successful alkylation.
Figure 4.
1H NMR spectra of mPAO-S, mPAO-NPA, and mPAO-DPA.
Table 2.
Relative content of three types of unsaturated double bonds in mPAO and modified products.
3.4. Aromatic Content, Nitrogen Content, and Molecular Weight
The nitrogen content of modified mPAO was determined by elemental analysis, the aromatic content in the oil was analyzed using UV spectrophotometry, and their aniline points were also measured (Table 3). The ratios of aromatics to nitrogen in mPAO-DPA (12.5) and mPAO-NPA (14.2) were close to the respective theoretical values of 11.0 and 14.6. Based on the bromine number and 1H NMR data, the estimated aromatic content in mPAO-NPA and mPAO-DPA should be 1.81% and 1.37%, respectively, which was consistent with the UV spectrophotometry analysis. The alkylation of diphenylamine and N-phenyl--naphthylamine with mPAO occurred through a monoalkyl substitution reaction. Furthermore, the excessive amounts of alkylating agents favored mono-substitution, while the large steric hindrance of mPAO molecules would make secondary substitution more difficult. Aniline point tests showed that a lower content of aromatic amines had little effect on the aniline point of the base oil.
Table 3.
Aromatic content, nitrogen content, and molecular weight of mPAO and its derivatives.
The molecular weight distribution of mPAO and its derivatives is shown in Table 4. The molecular weight of modified mPAO slightly increased, which was consistent with the change in viscosity. The polydispersity index did not change. Based on the Mw of mPAO-S, the double bond content in mPAO-S was approximately 16.72 mmol/100 g, slightly greater than the value calculated from the bromine number (15.24 mmol/g).
Table 4.
Molecular weights of mPAO and its derivatives.
3.5. Thermal Oxidative Stability
The antioxidant performance of mPAO-S and derivative, PAO100, was evaluated using PDSC (Figure 5). mPAO-S had the lowest initial oxidation temperature due to the unsaturated double bonds in its main chain, while that of PAO100 was only slightly higher from its fully hydrogenated alkane structure. The antioxidant ability of mPAO was significantly improved by alkylation. The initial oxidation temperature increased from 177 to 210 °C through modification with diphenylamine. N-Phenyl--naphthylamine exhibited the best modification effect, with the initial oxidation temperature of mPAO-NPA reaching 230 °C. The oxidation induction times were consistent with those at the initial oxidation temperature. Because of the lower IOTs of mPAO-S and PAO100, the OITs at 190 °C were less than 1 min. mPAO-NPA exhibited the best antioxidant capacity, with an OIT almost twice that of mPAO-DPA. The benzene and naphthalene rings in N-phenyl--naphthylamine formed a large -electron conjugated system. The ability of the N–H bond to react with oxygen free radicals was enhanced, and the electron delocalization effect with the loss of hydrogen caused the molecule to form a stable free radical, reducing the oxidation rate of the oil product [45]. The antioxidant performance of dibenzylamine was weaker than that of N-phenyl--naphthylamine due to the electron-withdrawing inductive effect of the aromatic ring. This reduced the electron density of the nitrogen atom and generated active hydrogen, thereby producing a slightly weaker antioxidant effect [46].
Figure 5.
(a) Initial oxidation temperature and (b) oxidation induction time of mPAO-S, its derivatives, and commercially purchased PAO100.
The thermal decomposition temperatures of four samples were measured using TGA (Figure 6). The initial decomposition temperatures of mPAO-S (304 °C) and PAO100 (306 °C) were similar. The alkylation of mPAO led to higher initial decomposition temperatures of 315 °C and 318 °C for mPAO-DPA and mPAO-NPA, respectively. The increased thermal oxidative stability can be attributed to the saturation of double bonds in the modified base oil and the effective capture of free radicals by the introduced aromatic amine during thermal decomposition. This reduced the generation of volatile substances and slowed the rate of weight loss [47].
Figure 6.
TGA curves of mPAO-S, its derivatives, and PAO100.
3.6. Evaluation of VG 320 Industrial Gear Oils
To investigate the compatibility of the modified mPAO formulations, mPAO-NPA was selected as the base oil for its superior anti-oxidation performance and blended with PAO-6 and AN5 alkylnaphthalene. The HiTEC 3339 additive (Afton Chemical, Richmond, VA, USA) was used to formulate VG 320 industrial gear oil, named Lub-2. For comparison, gear oil of the same grade was formulated using PAO 100 base oil, named Lub-1. The specific formulation compositions are listed in Table 5.
Table 5.
Parameters of two 320-grade gear oil formulations.
The ROBT and oven oxidation tests were used to investigate the antioxidant performance of the formulation. In ROBT, Lub-2 showed better antioxidant capacity, with an oxidation induction time 30% higher than that of Lub-1. Additionally, the antioxidant performance of both samples was evaluated by 288-h oven oxidation at 200 °C while regularly monitoring the acid number and viscosity at 40 °C (Figure 7). As the test proceeded, the change in the viscosity at 40 °C and the acid number of both oil products began to increase. After 96 h, Lub-2 remained a clear red liquid, while Lub-1 turned into a dark brown liquid. The increase in the viscosity at 40 °C of Lub-2 was initially higher than that of Lub-1. After 144 h, the change in the viscosity at 40 °C of Lub-1 increased rapidly to eventually exceed that of Lub-2. After 288 h of testing, the change in the viscosity at 40 °C of Lub-2 reached 30%, while that of Lub-1 increased to 40%. The presence of unsaturated double bonds in mPAO-NBA may have led to a slight increase in viscosity from the production of colloidal substances during oxidation.
Figure 7.
(a) Change in the viscosity at 40 °C and (b) acid number of Lub-1 and Lub-2 during oven oxidation.
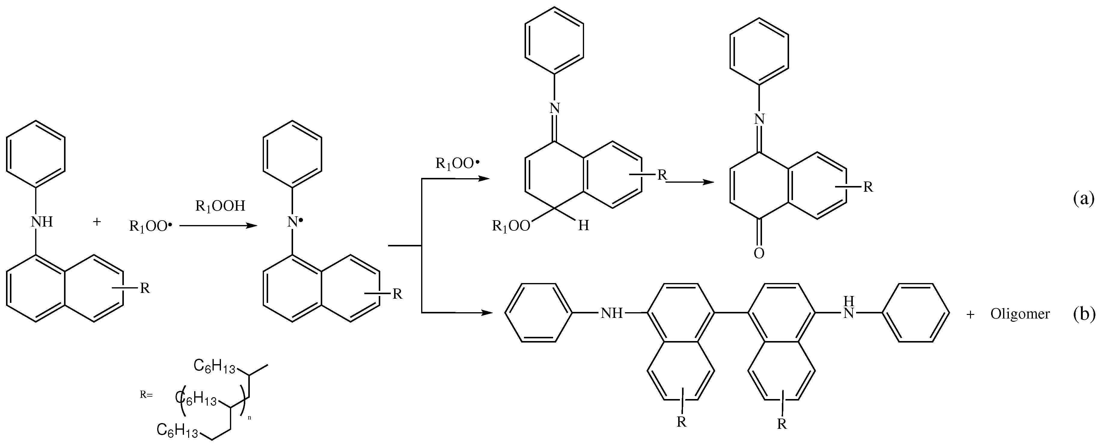
Lub-2 can capture free radicals continuously with the alkylated N-phenyl--naphth-ylamine antioxidant components, forming more stable substances during free-radical capture (Figure 8). The substitute has two reaction pathways to form stable substances: pathway (a) facilitates the production of stable non-reactive substances, while pathway (b) generates high relative molecular mass polymers and regenerates active antioxidants [48]. This aligns with the acid number and changes in the viscosity at 40 °C in the oil. The acid number of Lub-1 was always higher than that of Lub-2 during testing, dramatically rising to 0.53 mg KOH/g after 144 h or 1.6-fold that of Lub-2 (0.33 mg KOH/g). Therefore, the N-phenyl--naphthylamine antioxidant can effectively improve the base oil antioxidant capacity by accessing the mPAO skeleton via alkylation.
Figure 8.
Antioxidant mechanism of N-phenyl--naphthylamine, (a) pathway of generate inactive species (b) pathway of produce polymer.
After 288 h of oven oxidation testing, the oil sludge deposits formed by both oils at the cup bottom were observed (Figure 9). Lub-1 produced more sludge and deposits than Lub-2. The sediments were collected, washed with n-pentane, and filtered to obtain insolubles. After drying, the insolubles generated by Lub-1 and Lub-2 weighed 0.149 and 0.102 g, respectively. Lub-2 produced 32.8% less insoluble matter than Lub-1, showing better oxidation resistance and sludge dispersion. This aligned with the above test results, demonstrating that alkylated mPAO improved the antioxidant capacity of the base oil. Introducing long-chain alkylated N-phenyl--naphthylamine effectively lowered the deposition rate at high temperatures, significantly reducing insoluble generation [49].
Figure 9.
(a) Sludge and (b) insolubles of Lub-1 and Lub-2 after oven oxidation.
To investigate the effect of modified mPAO base oils on gear oil friction characteristics, blended base oils without additives, Lub-1 and Lub-2, were chosen for constant-speed testing on a four-ball friction tester. Due to the absence of active elements in the blank base oils, a stable chemical reaction film cannot be formed, resulting in a larger wear scar. Conversely, in an additive package typically containing sulfur and phosphorus as active elements are present. Under boundary lubrication conditions, these active elements react with the metal to form a stable chemical reaction film, thereby the wear scar diameter of Lub-1 and Lub-2 was obviously reduced. Both oils exhibited similar wear mark morphology in the absence of additives (Figure 10 and Figure 11). The base oil B-PAO had a lower friction coefficient and a larger wear scar diameter than B-mPAO. However, after the addition of the additive, both lubricants showed similar wear mark morphologies but different friction coefficients and scar diameters. Lub-2 outperformed Lub-1, exhibiting a lower friction coefficient and slightly smaller scar diameter. Moreover, Lub-2 achieved “running-in” after 400 s, with a friction coefficient rapidly decreasing to a stable state. In contrast, Lub-1 took 1400 seconds to achieve “running-in”, with a decreasing friction coefficient. This suggests that Lub-2 more quickly formed an oil film that reduced the friction coefficient and wear scar diameter. The increased polarity of the NPA-modified base oil enabled the rapid formation of a more stable oil film in conjunction with the HiTEC 3339 additive, providing better protection on friction surfaces.
Figure 10.
Constant-speed test results of different oils at 196 N and 1200 rpm: (a) friction coefficient curve; (b) wear scar diameter and average friction coefficient.
Figure 11.
Typical morphology of steel ball wear marks for different oils: (a) B-PAO; (b) B-mPAO; (c) Lub-1; and (d) Lub-2.
4. Conclusions
In this paper, the chemical modification of high-viscosity mPAO-containing vinylidene was performed using aluminum chloride as the ionic liquid catalyst. Two chemically modified mPAO base oils were prepared, and their physical properties, thermal oxidation resistances, and friction characteristics were evaluated. Based on the thermal oxidation experiment, their suitability in formulations was also studied, and the following conclusions can be drawn:
- (1)
- Through 1H NMR, FTIR, and elemental composition analysis, it was confirmed that the alkylation reaction proceeded with monoalkyl substitution. Up to 88% of vinylidene in mPAO was saturated by alkylation.
- (2)
- After being alkylated with aromatic amines, the two prepared samples, mPAO-DPA and mPAO-NPA, showed a slight increase in molecular weight and viscosity compared with mPAO-S, while the viscosity index decreased slightly.
- (3)
- Compared with mPAO-S, the initial oxidation temperature of mPAO-DPA and mPAO-NPA, respectively, increased by 33 and 53 °C, while the oxidation induction period increased by 11 and 20 min, respectively. The initial decomposition temperatures of both (315 and 318 °C) were higher than those of mPAO-S and PAO100 (304 and 306 °C, respectively).
- (4)
- Compared with Lub-1, the ROBT induction period of Lub-2 increased by 30%, reaching 471 min. After 144 h of oxidation, the viscosity of Lub-1 at 40 °C began to increase rapidly, while the acid number of Lub-2 was 1.6 times that of Lub-1 after 288 h of oxidation.
- (5)
- The mPAO base oil modified with N-phenyl--naphthalamine showed a certain synergistic effect with the HiTEC 3339 additive, enabling the rapid formation of a more stable oil film and reducing the wear scar diameter.
Author Contributions
J.X. and J.L.; methodology, J.X. and J.L.; validation, J.X. and Q.H.; formal analysis, J.X. and Q.H.; investigation, J.X.; data curation, J.X. and J.L.; writing—original draft preparation, J.X.; writing—review and editing, J.L.; supervision, J.L. All authors have read and agreed to the published version of the manuscript.
Funding
This research was funded by the 2021 Chinese Academy of Sciences Science and Technology Service Network Program (STS)-Dongguan Special Technology Innovation Project (20211600200042).
Data Availability Statement
The original contributions presented in the study are included in the article, further inquiries can be directed to the corresponding author.
Conflicts of Interest
The authors declare no conflict of interest.
References
- Lian, B.; Beckerle, K.; Spaniol, T.; Okuda, J. Regioselective 1-hexene oligomerization using cationic bis(phenolato) group 4 metal catalysts: Switch from 1,2-to 2,1-Insertion. Angew. Chem. Int. Ed. 2007, 46, 8507–8510. [Google Scholar] [CrossRef] [PubMed]
- Ray, S.; Rao, P.V.C.; Choudary, N.V. Poly-α-olefin-based synthetic lubricants: A short review on various synthetic routes. Lubr. Sci. 2012, 24, 23–44. [Google Scholar] [CrossRef]
- Sun, H.; Shen, B.; Wu, D.; Guo, X.; Li, D. Supported Al-Ti bimetallic catalysts for 1-decene oligomerization: Activity, stability and deactivation mechanism. J. Catal. 2016, 339, 84–92. [Google Scholar] [CrossRef]
- Bialek, M.; Bisz, E. A comparative study on the polymerization of 1-octene promoted by vanadium and titanium complexes supported by phenoxyimine and salen type ligands. J. Polym. Res. 2013, 20, 164–172. [Google Scholar] [CrossRef]
- Hogg, J.M.; Ferrer-Ugalde, A.; Coleman, F.; Swadzba-Kwasny, M. Borenium ionic liquids as alternative to BF3 in poly-α-olefins (PAOs) synthesis. ACS Sustain. Chem. Eng. 2019, 7, 15044–15052. [Google Scholar] [CrossRef]
- Yadav, G.D.; Doshi, N.S. Development of a green process for poly-α-olefin based lubricants. Green Chem. 2002, 4, 528–540. [Google Scholar] [CrossRef]
- Benda, R.; Bullen, J.; Plomer, A. Synthetics basics: Polyalphaolefins-base fluids for modern heavy duty diesel oils. J. Synth. Lubr. 1998, 15, 117–132. [Google Scholar] [CrossRef]
- Ahad, H.; Naeimeh, B.; Ali, M.; Mehdi, N. Oligomerization of higher α-olefins to poly(α-olefins). Iran. Polym. J. 2022, 31, 107–126. [Google Scholar]
- Hope, K. PAO contributions to energy efficiency in 0W-20 passenger car Engine oils. Lubricants 2018, 6, 73. [Google Scholar] [CrossRef]
- Nikunj, P.; Vaibhav, V.; Gopal, T. Recent developments in catalyst systems for selective oligomerization and polymerization of higher α-olefins. Polym. Chem. 2023, 14, 2542–2571. [Google Scholar]
- Shao, H.; Gu, X.; Wang, R.; Wang, X.; Jiang, T.; Guo, X. Preparation of lubricant base stocks with high viscosity index through 1-decene oligomerization catalyzed by alkylaluminum chloride promoted by metal chloride. Energy Fuel 2020, 34, 2214–2220. [Google Scholar] [CrossRef]
- Matkovskii, P.; Startseva, G.; Churkina, V.; Knerel’man, E.; Davydova, G.; Vasil’eva, L.; Yarullin, R. Oligomerization of 1-decene under the action of catalytic systems based on Al–Aluminum activator–RCl and Al–RCl. Polym. Sci. Ser. A 2008, 50, 1175–1186. [Google Scholar] [CrossRef]
- Haraguchi, R.; Nishikawa, T.; Kanazawa, A.; Aoshima, S. Metal-free living cationic polymerization using diaryliodonium salts as organic lewis acid catalysts. Macromolecules 2020, 53, 4185–4192. [Google Scholar] [CrossRef]
- Wasserscheid, P.; Grimm, S.; Köhn, R.D.; Haufe, M. Synthesis of synthetic lubricants by trimerization of 1-decene and 1-dodecene with homogeneous chromium catalysts. Adv. Synth. Catal. 2001, 343, 814–818. [Google Scholar] [CrossRef]
- Ding, H.; Zhang, B.Y.; Liu, J. Study on preparation process of lubrication from 1-decene with acidic ionic liquid catalyst. Pet. Sci. Technol. 2009, 27, 1919–1925. [Google Scholar] [CrossRef]
- Techopittayakul, T.; Echaroj, S.; Santikunaporn, M.; Asavatesanupap, C.; Chen, H.; Yuan, M. Kinetic modeling of 1-decene oligomerization to synthetic fuels and base oil over tungstated-zirconia catalyst. React. Kinet. Mech. Catal. 2019, 126, 529–546. [Google Scholar] [CrossRef]
- Nifant’ev, I.E.; Vinogradov, A.A.; Vinogradov, A.A.; Bagrov, V.V.; Churakov, A.V.; Minyaev, M.E.; Kiselev, A.; Salakhov, I.; Ivchenko, P.V. A competitive way to low-viscosity PAO base stocks via heterocene-catalyzed oligomerization of dec-1-ene. Mol. Catal. 2022, 529, 112542. [Google Scholar] [CrossRef]
- Hanifpour, A.; Bahri-Laleha, N.; Nekoomanesh-Haghighia, M.; Poater, A. Group IV diamine bis(phenolate) catalysts for 1-decene oligomerization. Mol. Catal. 2020, 493, 111047. [Google Scholar] [CrossRef]
- Nomura, K.; Pengoubol, S.; Apisuk, W. Synthesis of ultrahigh molecular weight polymers by homopolymerisation of higher α-olefins catalysed by aryloxo-modified half-titanocenes. RSC Adv. 2016, 6, 16203–16206. [Google Scholar] [CrossRef]
- Tanja, H.; Ritter, H. Homogeneous and heterogeneous oligomerization reactions of olefins with unbridged metallocene catalysts. Polyolefins J. 2019, 6, 107–116. [Google Scholar]
- Mashayekhi, M.; Talebi, S.; Sadjadi, S.; Bahri-Laleh, N. Production of polyalfaolefin-based lubricants using new (poly)ionic liquid/AlCl3 catalysts as environmentally friendly alternatives to commercial AlCl3 route. Appl. Catal. A-Gen 2021, 623, 118274. [Google Scholar] [CrossRef]
- Nifant’ev, I.E.; Vinogradov, A.A.; Sedov, I.V.; Dorokhov, V.G.; Lyadov, A.S.; Ivchenko, P.V. Structurally uniform 1-hexene, 1-octene, and 1-decene oligomers: Zirconocene/MAO-catalyzed preparation, characterization, and prospects of their use as low-viscosity low-temperature oil base stocks. Appl. Catal. A-Gen 2018, 549, 40–50. [Google Scholar] [CrossRef]
- Shao, H.; Wang, R.; Li, H.; Guo, X.; Jiang, T. Synthesis of low-molecular-weight poly-a-olefins using silicon-bridged zirconocene catalyst for lubricant basestock. Arab. J. Chem. 2020, 13, 2715–2721. [Google Scholar] [CrossRef]
- Jalali, A.; Nekoomanehs-Haghighi, M.; Dehghani, S.; Bahri-Laleh, N. Effect of metal type on the metallocene-catalyzed oligomerization of 1-hexene and 1-octene to produce polyα-olefin-based synthetic lubricants. Appl. Organomet. Chem. 2020, 34, e5338. [Google Scholar] [CrossRef]
- Kim, I.; Zhou, J.; Chung, H. Higher a-olefin polymerizations catalyzed by rac-Me2Si(1–C5H2-2-CH3-4-tBu)2Zr(NMe2)2/Al(iBu)3/[Ph3C][B(C6F5)4]. J. Polym. Sci. Part A Polym. Chem. 2000, 38, 1687–1697. [Google Scholar] [CrossRef]
- Zhao, Y.; Xu, X.; Wang, Y.; Liu, T.; Li, H.; Zhang, Y.; Wang, L.; Wang, X.; Zhao, S.; Luo, Y. Ancillary ligand effects on a-olefin polymerization catalyzed by zirconium metallocene:a computational study. RSC Adv. 2022, 12, 21111–21121. [Google Scholar] [CrossRef]
- Ahad, H.; Naeimeh, B.; Mehdi, N.H.; Albert, P. Coordinative chain transfer polymerization of 1-decene in the presence of a Ti-based diamine bis(phenolate) catalyst: A sustainable approach to produce low viscosity PAOs. Green Chem. 2020, 22, 4617–4626. [Google Scholar]
- Boris, Z.; Morteza, N.; Boris, B. The effects of the lubricant properties and surface finish characteristics on the tribology of high-speed gears for EV transmissions. Lubricants 2024, 12, 112. [Google Scholar] [CrossRef]
- Martin, G. Pressure viscosity coefficients and traction properties of synthetic lubricants for wind turbine gear systems. Lubr. Sci. 2012, 24, 75–83. [Google Scholar]
- Hyun, S. Designing automotive gear oils for the new millennium. Lubr. Sci. 2002, 14, 385–469. [Google Scholar]
- ISO 12925-1:2024; Lubricants, Industrial Oils and Related Products (Class L)-Family C (Gears)-Part1: Specifications for Lubricants for Enclosed Gear Systems. International Organization for Standardization: Geneva, Switzerland, 2024.
- ASTM D445-24; D02.07, Standard Test Method for Kinematic Viscosity of Transparent and Opaque Liquids (and Calculation of Dynamic Viscosity). ASTM International: West Conshohocken, PA, USA, 2024; p. 16.
- ASTM D2270-10R16; D02.07, Standard Practice for Calculating Viscosity Index From Kinematic Viscosity at 40 °C and 100 °C. ASTM International: West Conshohocken, PA, USA, 2016; p. 5.
- ASTM D92-18; D02.08, Standard Test Method for Flash and Fire Points by Cleveland Open Cup Tester. ASTM International: West Conshohocken, PA, USA, 2018; p. 11.
- ASTM D5950-02; D02.07, Standard Test Method for Pour Point of Petroleum Products (Automatic Tilt Method). ASTM International: West Conshohocken, PA, USA, 2002; p. 5.
- ASTM D1159-07; D02.06, Standard Test Method for Bromine Numbers of Petroleum Distillates and Commercial Aliphatic Olefins by Electrometric Titration. ASTM International: West Conshohocken, PA, USA, 2018; p. 10.
- ASTM D664-24; D02.06, Standard Test Method for Acid Number of Petroleum Products by Potentiometric Titration. ASTM International: West Conshohocken, PA, USA, 2024; p. 12.
- ASTM D611-12; D02.04.0D, Standard Test Methods for Aniline Point and Mixed Aniline Point of Petroleum Products and Hydrocarbon Solvents. ASTM International: West Conshohocken, PA, USA, 2016; p. 7.
- ASTM D5762-18a; D02.03, Standard Test Method for Nitrogen in Liquid Hydrocarbons, Petroleum and Petroleum Products by Boat-Inlet Chemiluminescence. ASTM International: West Conshohocken, PA, USA, 2018; p. 6.
- ASTM D1840-22; D02.04.0F, Standard Test Method for Naphthalene Hydrocarbons in Aviation Turbine Fuels by Ultraviolet Spectrophotometry. ASTM International: West Conshohocken, PA, USA, 2023; p. 4.
- ASTM D3895-19; D20.30, Standard Test Method for Oxidative-Induction Time of Polyolefins by Differential Scanning Calorimetry. ASTM International: West Conshohocken, PA, USA, 2023; p. 7.
- ASTM D2272-22; Standard Test Method for Oxidation Stability of Steam Turbine Oils by Rotating Pressure Vessel. ASTM International: West Conshohocken, PA, USA, 2022; p. 22.
- Fen, G.; Yiwei, F.; Ting, Y.; Hongwei, Y.; Qingpeng, G. Thermal-oxidative kinetics of antioxidant N-phenyl-α-naphthylamine in poly-α-olefins base oil. Lubr. Eng. 2015, 40, 68–77. [Google Scholar]
- Nishiyama, T.; Suzuki, T.; Hashiguchi, Y.; Shingo, S.; Masataka, F. Antioxidant activity of aromatic cyclic amine derivatives. Polym. Degrad. Stab. 2002, 75, 549–554. [Google Scholar] [CrossRef]
- Xia, D.; Wang, Y.; Liu, H.; Yan, J.; Lin, H.; Han, S. Research progress of antioxidant additives for lubricating oils. Lubricants 2024, 12, 115. [Google Scholar] [CrossRef]
- Hu, X.; Lv, Y. Molecular simulation on antioxidative activity of free radical scavenger. Mod. Chem. Ind. 2019, 39, 212–221. [Google Scholar]
- Yu, X.; Zhang, C.; Wang, H.; Wang, W.; Jiang, C.; Peng, C.; Yang, K. Oxidation degradation analysis of antioxidant added to CTL base oils: Experiments and simulations. J. Therm. Anal. Calorim. 2023, 148, 7033–7046. [Google Scholar] [CrossRef]
- Reyes-Gavilan, J.L.; Odorisio, P. A review of the mechanisms of action of antioxidants, metal deactivators and corrosion inhibitors. NLGI Spokesm. 2001, 64, 22–31. [Google Scholar]
- Chao, M.; Li, W.; Wang, X. Thermal decomposition kinetics and anti-oxidation performance of commercial antioxidants. J. Therm. Anal. Calorim. 2015, 120, 1921–1928. [Google Scholar] [CrossRef]
Disclaimer/Publisher’s Note: The statements, opinions and data contained in all publications are solely those of the individual author(s) and contributor(s) and not of MDPI and/or the editor(s). MDPI and/or the editor(s) disclaim responsibility for any injury to people or property resulting from any ideas, methods, instructions or products referred to in the content. |
© 2024 by the authors. Licensee MDPI, Basel, Switzerland. This article is an open access article distributed under the terms and conditions of the Creative Commons Attribution (CC BY) license (https://creativecommons.org/licenses/by/4.0/).










