Analysis of the Influencing Factors of Aerostatic Bearings on Pneumatic Hammering
Abstract
1. Introduction
2. Geometry and Numerical Modeling of an Aerostatic Bearing
3. Flow Field Analysis and Vortex-Excited Properties
4. The Analysis of the Dynamic Performance Factors of the Bearing System and the Experimental Investigation of Pneumatic Hammering
4.1. The Analysis of the Dynamic Performance of the Bearing
4.2. Experimental Investigation
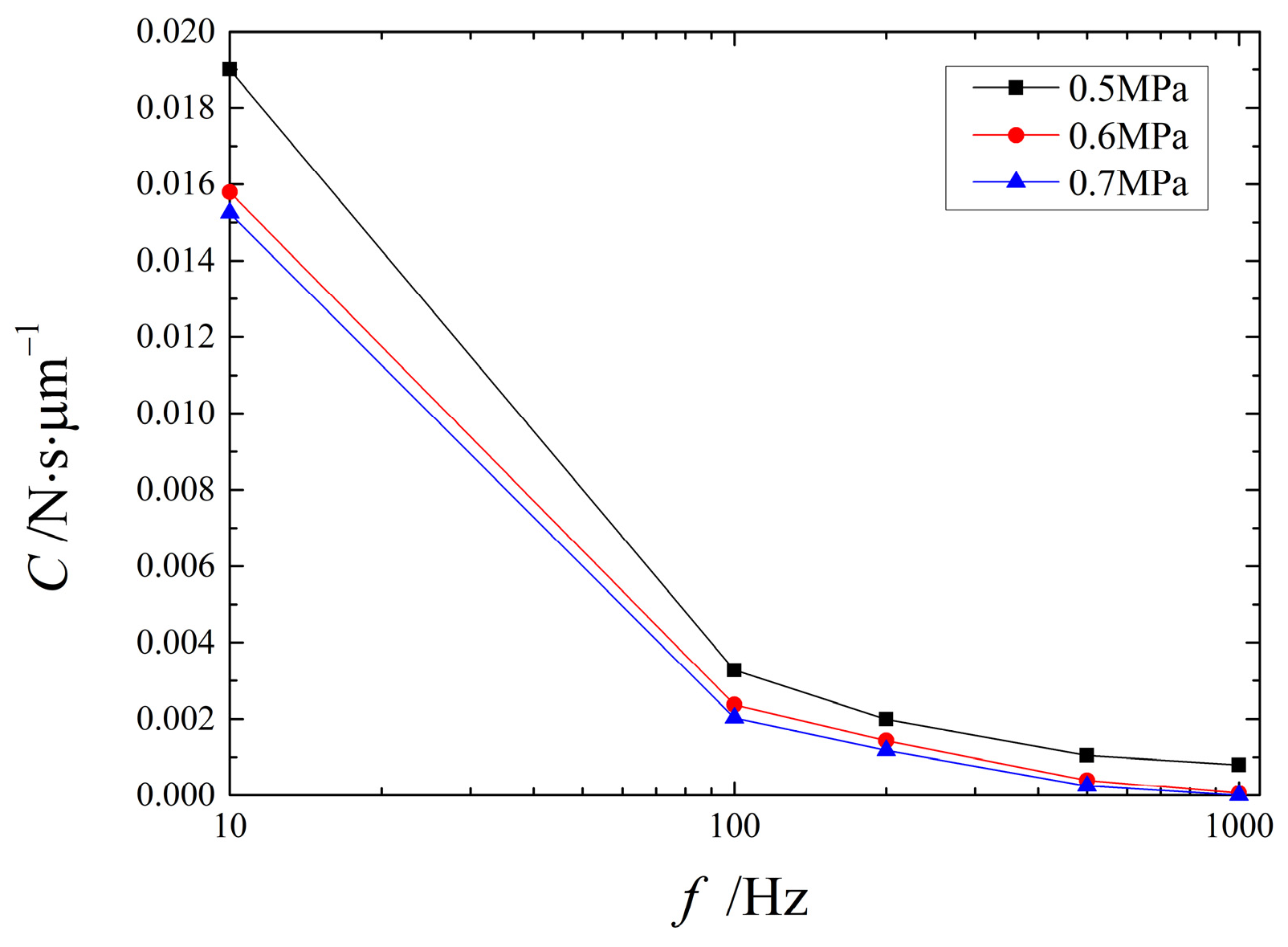
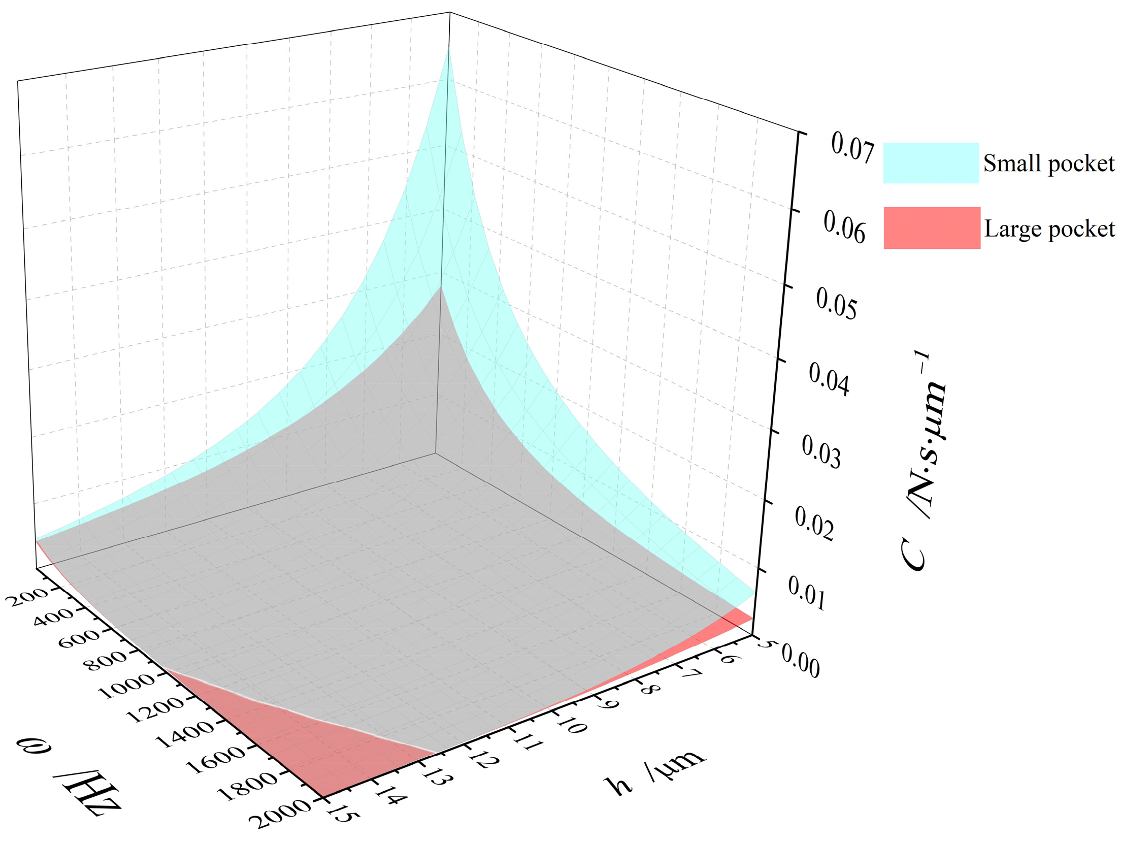
5. The Damping Performance of the Air Film
6. The Optimization of the Damping Performance
7. Conclusions
Author Contributions
Funding
Data Availability Statement
Conflicts of Interest
References
- Chen, X.D.; Chen, H.; Luo, X.; Ye, Y.X.; Hu, Y.T.; Xu, J.Q. Air vortices and nano-vibration of aerostatic bearings. Tribol. Lett. 2011, 42, 179–183. [Google Scholar] [CrossRef]
- Zhu, J.C.; Chen, H.; Chen, X.D. Large eddy simulation of vortex shedding and pressure fluctuation in aerostatic bearings. J. Fluid Struct. 2013, 40, 42–51. [Google Scholar] [CrossRef]
- Li, Y.T.; Zhao, J.Y.; Zhu, H.X.; Lin, Y.X. Numerical analysis and experimental study on the microvibration of an aerostatic thrust bearing with a pocketed orifice-type restrictor. Proc. IMechE Part J J. Eng. Tri. 2015, 229, 609–623. [Google Scholar] [CrossRef]
- Yoshimura, T.; Hanafusa, T.; Kitagawa, T.; Hirayama, T.; Matsuoka, T.; Yabe, H. Clarifications of the mechanism of nano-fluctuation of aerostatic thrust bearing with surface restriction. Tribol. Int. 2012, 48, 29–34. [Google Scholar] [CrossRef]
- Gao, S.Y.; Cheng, K.; Chen, S.J.; Ding, H.; Fu, H.Y. CFD based investigation on influence of orifice chamber shapes for the design of aerostatic thrust bearings at ultra-high speed spindles. Tribol. Int. 2015, 92, 211–221. [Google Scholar] [CrossRef]
- Akhondzadeh, M.; Vahdati, M. Air pocket effects on air spindle vibrations in nanomachining. Proc. IMechE Part B J. Eng. Manuf. 2014, 228, 328–336. [Google Scholar] [CrossRef]
- Ye, Y.X.; Chen, X.D.; Hu, Y.T.; Luo, X. Effects of recess shapes on pneumatic hammering in aerostatic bearings. Proc. IMechE Part J J. Eng. Tri. 2010, 224, 231–237. [Google Scholar] [CrossRef]
- Stowell, T.B. Pneumatic hammer in a gas lubricated externally pressurized annular thrust bearing. J. Lubr. Technol. 1971, 93, 498–503. [Google Scholar] [CrossRef]
- Talukder, H.M.; Stowell, T.B. Pneumatic hammer in an externally pressurized orifice-compensated air journal bearing. Tribol. Int. 2003, 36, 585–591. [Google Scholar] [CrossRef]
- Boffey, D.A.; Waddell, M.; Dearden, J.K. A theoretical and experimental study into the steady-state performance characteristics of industrial air lubricated thrust bearings. Tribol. Int. 1985, 18, 229–233. [Google Scholar] [CrossRef]
- Arghir, M.; Matta, P. Compressibility effects on the dynamic characteristics of gas lubricated mechanical components. Comptes Rendus Mecanique. 2009, 337, 739–747. [Google Scholar] [CrossRef]
- Bhat, N.; Kumar, S.; Tan, W.; Narasimhan, R.; Low, T.C. Performance of inherently compensated flat pad aerostatic bearings subject to dynamic perturbation forces. Precis. Eng. 2012, 36, 399–407. [Google Scholar] [CrossRef]
- Li, Y.F.; Yin, Y.H.; Cui, H.L. An ESA-CFD Combined Method for Dynamic Analysis of the Aerostatic Journal Bearing. Lubr. Sci. 2020, 32, 387–403. [Google Scholar] [CrossRef]
- Chen, X.D.; Zhu, J.C.; Chen, H. Dynamic characteristics of ultra-precision aerostatic bearings. Adv. Manuf. 2013, 1, 82–86. [Google Scholar] [CrossRef]
- Yu, P.L.; Chen, X.D.; Wang, X.L.; Jiang, W. Frequency-dependent nonlinear dynamic stiffness of aerostatic bearings subjected to external perturbations. Int. J. Precis. Eng. Man. 2015, 16, 1771–1777. [Google Scholar] [CrossRef]
- Li, Y.F. Investigation of micro-vibration reduction method based on dynamic performance analysis of aerostatic bearing. Proc. IMechE Part J J. Eng. Tri. 2023, 237, 2074–2087. [Google Scholar] [CrossRef]
- Thomson, W.T.; Dahleh, M.D. Theory of Vibration with Applications, 4th ed.; Chapman & Hall: London, UK, 1993. [Google Scholar]
- Gao, Q.; Chen, W.Q.; Lu, L.H.; Huo, D.H.; Cheng, K. Aerostatic bearings design and analysis with the application to precision engineering: State-of-the-art and future perspectives. Tribol. Int. 2019, 135, 1–17. [Google Scholar] [CrossRef]
- Li, Y.F.; Yin, Y.H.; Yang, H.; Liu, X.E.; Mo, J.; Cui, H.L. Micro-vibration analysis and optimization of aerostatic bearing with pocketed orifice-type restrictor based on numerical simulation. J. Appl. Fluid. Mech. 2018, 11, 1115–1124. [Google Scholar]
- Wang, G.Q.; Li, W.J.; Liu, G.P.; Feng, K. A novel optimization design method for obtaining high-performance micro-hole aerostatic bearings with experimental validation. Tribol. Int. 2023, 185, 108542. [Google Scholar] [CrossRef]
- Yu, P.L.; Huang, L.; Li, S.Z.; Guo, L.B.; Zhong, M.; Zhang, L.P. Theoretical predictions and experimental measurements of novel aerostatic bearing with multi-inclined-orifice restrictors for the improvement of stability. Precis. Eng. 2024, 88, 266–278. [Google Scholar] [CrossRef]
















| ω/Hz | Ps/MPa | U/mm | V/mm | d/mm | R/mm | C/N·s·μm−1 |
|---|---|---|---|---|---|---|
| 10 | 0.45 | 1.5 | 0.05 | 0.1 | 36 | 0.0165 |
| 100 | 0.45 | 1.5 | 0.05 | 0.1 | 36 | 0.0126 |
| 200 | 0.45 | 1.5 | 0.05 | 0.1 | 36 | 0.0079 |
| 500 | 0.45 | 1.5 | 0.05 | 0.1 | 36 | 0.0035 |
| 800 | 0.45 | 1.5 | 0.05 | 0.104 | 36 | 0.0023 |
Disclaimer/Publisher’s Note: The statements, opinions and data contained in all publications are solely those of the individual author(s) and contributor(s) and not of MDPI and/or the editor(s). MDPI and/or the editor(s) disclaim responsibility for any injury to people or property resulting from any ideas, methods, instructions or products referred to in the content. |
© 2024 by the authors. Licensee MDPI, Basel, Switzerland. This article is an open access article distributed under the terms and conditions of the Creative Commons Attribution (CC BY) license (https://creativecommons.org/licenses/by/4.0/).
Share and Cite
Li, Y.; Huang, W.; Sang, R. Analysis of the Influencing Factors of Aerostatic Bearings on Pneumatic Hammering. Lubricants 2024, 12, 395. https://doi.org/10.3390/lubricants12110395
Li Y, Huang W, Sang R. Analysis of the Influencing Factors of Aerostatic Bearings on Pneumatic Hammering. Lubricants. 2024; 12(11):395. https://doi.org/10.3390/lubricants12110395
Chicago/Turabian StyleLi, Yifei, Weiping Huang, and Ran Sang. 2024. "Analysis of the Influencing Factors of Aerostatic Bearings on Pneumatic Hammering" Lubricants 12, no. 11: 395. https://doi.org/10.3390/lubricants12110395
APA StyleLi, Y., Huang, W., & Sang, R. (2024). Analysis of the Influencing Factors of Aerostatic Bearings on Pneumatic Hammering. Lubricants, 12(11), 395. https://doi.org/10.3390/lubricants12110395

