Investigating Influence of Mo Elements on Friction and Wear Performance of Nickel Alloy Matrix Composites in Air from 25 to 800 °C
Abstract
1. Introduction
2. Experimental Details
2.1. Materials
2.2. Tribological Tests
2.3. Characterization
3. Results and Discussion
4. Conclusions
- (1)
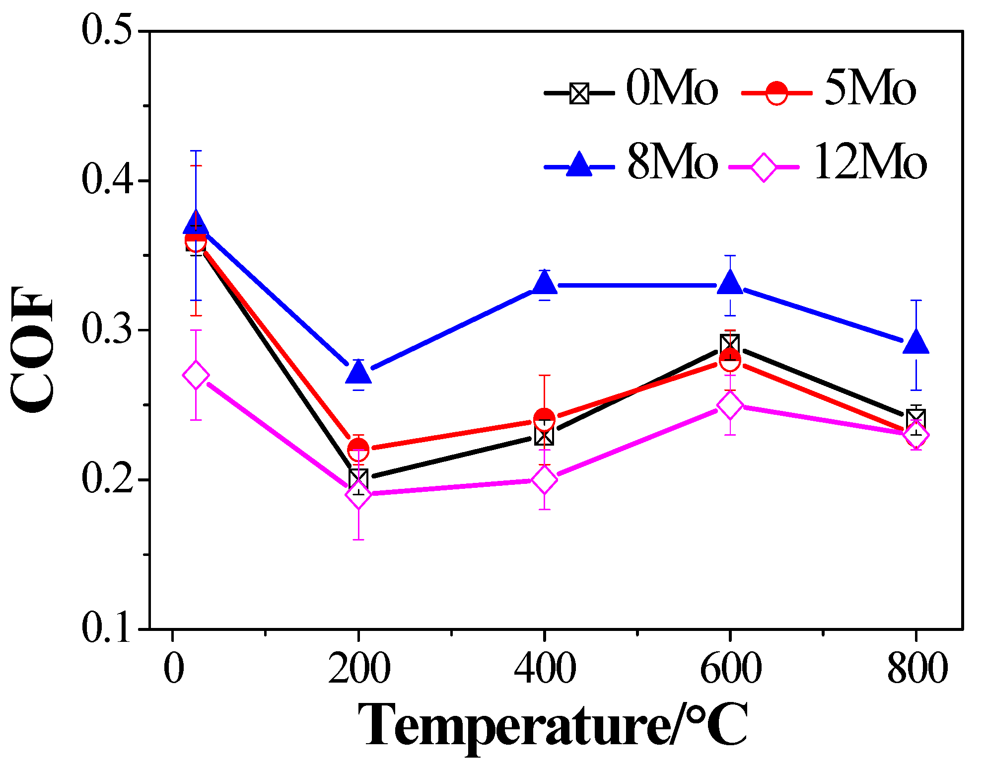
- From 25 to 200 °C, the COFs of the studied composites first decreased to the minimum values, and then continuously increased when the temperature increased to 600 °C; at 800 °C, the COF values decreased to a certain extent. Overall, the 12Mo composite showed the lowest COF, while the 8Mo composite exhibited the highest COF value under testing conditions.
- (2)
- All four composites exhibit low wear rate which, in the order of 10−5 mm3/Nm (2.5–28.1 × 10−5 mm3/Nm), especially for the composites of 8Mo and 12Mo, the values are below 8.8 × 10−5 mm3/Nm.
- (3)
- The 12Mo composite exhibits the lowest COF, while 8Mo has the highest COF and 0Mo/5Mo composites exhibited similar COFs under the given test conditions. From 25 to 600 °C, 8Mo and 12Mo composites exhibit a relatively low wear rate, while at 800 °C, 0Mo composite shows the best wear resistance properties.
- (4)
- From 25 to 400 °C, the presence of Ag results in excellent lubricating performance, while at 600 and 800 °C, the effective lubricant is attributed to the formation of an oxidative glazed layer. The main wear mechanisms are abrasive and fatigue wear at low-to-moderate temperatures, and it changes into abrasive wear at high temperatures.
- (5)
- In further studies, we plan to investigate the influence of extreme testing conditions on the friction and wear behavior of nickel alloy matrix composites, such as ultralow temperature (−50 °C, −100 °C and −150 °C) and ultrahigh temperature (900 °C, 1000 °C and 1100 °C). The results obtained in this work will provide theoretical guidance for the design and preparation of high temperature solid lubricant materials.
Author Contributions
Funding
Data Availability Statement
Conflicts of Interest
References
- Voevodin, A.; Muratore, C.; Aouadi, S. Hard coatings with high temperature adaptive lubrication and contact thermal management: Review. Surf. Coat. Technol. 2014, 257, 247–265. [Google Scholar] [CrossRef]
- Muratore, C.; Hu, J.; Voevodin, A. Adaptive nanocomposite coatings with a titanium nitride diffusion barrier mask for high-temperature tribological applications. Thin Solid Films 2007, 515, 3638–3643. [Google Scholar] [CrossRef]
- Muratore, C.; Voevodin, A.; Hu, J.; Zabinski, J. Tribology of adaptive nanocomposite yttria-stabilized zirconia coatings containing silver and molybdenum from 25 to 700 °C. Wear 2006, 261, 797–805. [Google Scholar] [CrossRef]
- Sarkar, M.; Mandal, N. Solid lubricant materials for high temperature application: A review. Mater. Today Proc. 2022, 66, 3762–3768. [Google Scholar] [CrossRef]
- Rodriguez, A.; Jaman, M.; Acikgoz, O.; Wang, B.; Yu, J.; Grützmacher, P.; Rosenkranz, A.; Baykara, M. The potential of Ti3C2TX nano-sheets (MXenes) for nanoscale solid lubrication revealed by friction force microscopy. Appl. Surf. Sci. 2021, 535, 147664. [Google Scholar] [CrossRef]
- Liang, J.; Yin, X.; Lin, Z.; Chen, S.; Liu, C.; Wang, C. Microstructure and wear behaviors of laser cladding in-situ synthetic (TiBx+TiC)/(Ti2Ni+TiNi) gradient composite coatings. Vacuum 2020, 176, 109305. [Google Scholar] [CrossRef]
- Zhou, Z.; Liu, X.; Zhuang, S.; Yang, X.; Wang, M.; Sun, C. Preparation and high temperature tribological properties of laser in-situ synthesized self-lubricating composite coatings containing metal sulfides on Ti6Al4V alloy. Appl. Surf. Sci. 2019, 481, 209–218. [Google Scholar] [CrossRef]
- Zhu, S.; Yu, Y.; Cheng, J.; Qiao, Z.; Yang, J.; Liu, W. Solid/liquid lubrication behavior of nickel aluminum-silver alloy under seawater condition. Wear 2019, 420, 9–16. [Google Scholar] [CrossRef]
- Muratore, C.; Voevodin, A. Chameleon coatings: Adaptive surfaces to reduce friction and wear in extreme environments. Annu. Rev. Mater. Res. 2009, 39, 297–324. [Google Scholar] [CrossRef]
- Zhen, J.; Zhen, C.; Han, Y.; Yuan, L.; Yang, L.; Yang, T.; Guo, S. High-temperature friction and wear behavior of nickel-alloy matrix composites with the addition of molybdate. Lubricants 2023, 11, 516. [Google Scholar] [CrossRef]
- Ouyang, J.; Li, Y.; Zhang, Y.; Wang, Y.; Wang, Y. High-temperature solid lubricants and self-lubricating composites: A critical review. Lubricants 2022, 10, 177. [Google Scholar] [CrossRef]
- Kumar, R.; Antonov, M.; Varga, M.; Hussainova, I.; Rodriguez Ripoll, M. Synergistic effect of Ag and MoS2 on high-temperature tribology of self-lubricating NiCrBSi composite coatings by laser metal deposition. Wear 2023, 532, 205114. [Google Scholar] [CrossRef]
- Moskalewicz, T.; Wendler, B.; Czyrska-Filemonowicz, A. Microstructure of nanocomposite carbon-, MoS2- and MoO3-based solid-lubricant coatings. IOP Conf. Ser. Mater. Sci. Eng. 2014, 55, 012012. [Google Scholar] [CrossRef]
- Liu, C.; Chen, L.; Zhou, J.; Zhou, H.; Chen, J. Tribological properties of adaptive phosphate composite coatings with addition of silver and molybdenum disulfide. Appl. Surf. Sci. 2014, 300, 111–116. [Google Scholar] [CrossRef]
- Yang, J.; Jiang, Y.; Hardell, J.; Prakash, B.; Fang, Q. Influence of service temperature on tribological characteristics of self-lubricant coatings: A review. Front. Mater. Sci. 2013, 7, 28–39. [Google Scholar] [CrossRef]
- Sliney, H. Wide temperature spectrum self-lubricating coatings prepared by plasma spraying. Thin Solid Films 1979, 64, 211–217. [Google Scholar] [CrossRef]
- Dellacorte, C.; Edmond, B. Preliminary Evaluation of PS300: A New Self-Lubricating High Temperature Composite Coating for Use to 800 °C; NASA TM 107056; NASA: Washington, DC, USA, 1 November 1995. [Google Scholar]
- Dellacorte, C. A New Foil Air Bearing Test Rig for Use to 700 °C and 70,000 rpm. Tribol. Trans. 1998, 41, 335–340. [Google Scholar] [CrossRef]
- Stanford, M.; Yanke, A.; DellaCorte, C. Thermal Effects on a Low Cr Modification of PS304 Solid Lubricant Coating; NASA/TM-2004-213111; NASA: Washington, DC, USA, 1 June 2004. [Google Scholar]
- DellaCorte, C.; Stanford, M.; Thomas, F.; Edmonds, B. The Effect of Composition on the Surface Finish of PS400: A New High Temperature Solid Lubricant Coating; NASA/TM-2010-216774; NASA: Washington, DC, USA, 1 September 2010. [Google Scholar]
- Dellacorte, C.; Lukaszewicz, V.; Valco, M.; Radil, K.; Heshmat, H. Performance and durability of high temperature foil air bearings for oil-free turbomachinery. Tribol. Trans. 2000, 43, 774–780. [Google Scholar] [CrossRef]
- Voevodin, A.; O’neill, P.; Zabinski, J. WC/DLC/WS2 nanocomposite coatings for aerospace tribology. Tribol. Lett. 1999, 6, 75–78. [Google Scholar] [CrossRef]
- Baker, C.; Hu, J.; Voevodin, A. Preparation of Al2O3/DLC/Au/MoS2 chameleon coatings for space and ambient environments. Surf. Coat. Technol. 2006, 201, 4224–4229. [Google Scholar] [CrossRef]
- Gao, H.; Otero-de-la-Roza, A.; Gu, J.; Stone, D.; Aouadi, S.; Johnson, E.; Martini, A. (Ag, Cu)-Ta-O ternaries as high-temperature solid-lubricant coatings. ACS Appl. Mater. Interfaces 2015, 7, 15422–15429. [Google Scholar] [CrossRef] [PubMed]
- Stone, D.; Liu, J.; Singh, D.; Muratore, C.; Voevodin, A.; Mishra, S.; Rebholz, C.; Ge, Q.; Aouadi, S. Layered atomic structures of double oxides for low shear strength at high temperatures. Scr. Mater. 2010, 62, 735–738. [Google Scholar] [CrossRef]
- Aouadi, S.; Singh, D.; Stone, D.; Polychronopoulou, K.; Nahif, F.; Rebholz, C.; Muratore, C.; Voevodin, A. Adaptive VN/Ag nanocomposite coatings with lubricious behavior from 25 to 1000 °C. Acta Mater. 2010, 58, 5326–5331. [Google Scholar] [CrossRef]
- Voevodin, A.; Capano, M.; Laube, S.; Donley, M.; Zabinski, J. Design of a Ti/TiC/DLC functionally gradient coating based on studies of structural transitions in Ti-C thin films. Thin Solid Films 1997, 298, 107–115. [Google Scholar] [CrossRef]
- Corte, C.; Sliney, H. Composition optimization of self-lubricating chromium-carbide-based composite coatings for use to 760 °C. Tribol. Trans. 1987, 30, 77–83. [Google Scholar] [CrossRef]
- Zhu, Z.; Chen, W.; Bian, Z.; Sun, Q.; Zheng, M.; Zhu, S.; Cheng, J.; Yang, J. Self-lubrication of high-entropy carbide matrix composites over a wide temperature range: The synergistic effect of silver and molybdenum component. Wear 2024, 546, 205341. [Google Scholar] [CrossRef]
- Zhang, Z.; Gao, Y.; Cheng, J.; Gan, X.; Liu, C.; Zhou, K. Development of Cu-15Ni-8Sn/MoS2 self-lubricating composites with desirable mechanical and friction properties. Wear 2024, 550, 205428. [Google Scholar] [CrossRef]
- Qu, C.; He, B.; Cheng, X.; Wang, H. Microstructure and wear characteristics of laser-clad Ni-based self-lubricating coating incorporating MoS2/Ag for use in high temperature. J. Mater. Res. Technol. 2024, 33, 4481–4492. [Google Scholar] [CrossRef]
- Cao, W.; Yan, W.; Yang, X.; Li, Z.; Geng, J.; Dong, Y.; Zhang, Y.; Qi, X. Multiscale study on the solid-liquid synergistic lubrication mechanism of graphite and liquid lubricant in polymer composites. Carbon 2024, 230, 119605. [Google Scholar] [CrossRef]
- Bian, Z.; Zheng, M.; Sun, Q.; Zhu, Z.; Zhu, S.; Cheng, J.; Liu, X.; Tan, H.; Yang, J. High-temperature tribological properties of NiCr-Cr3C2 cermet coatings in fluoride molten salts. Tribol. Int. 2024, 200, 110150. [Google Scholar] [CrossRef]
- Ye, F.; Lou, Z.; Wang, Y.; Liu, W. Wear mechanism of Ag as solid lubricant for wide range temperature application in micro-beam plasma cladded Ni60 coatings. Tribol. Int. 2022, 167, 107402. [Google Scholar] [CrossRef]
- Zeng, Q. Influence of CePO4 on high temperature anti-friction and anti-wear behaviors of nickel-based h-BN composite coatings. Diam. Relat. Mater. 2024, 148, 111421. [Google Scholar] [CrossRef]
- Zheng, C.; Huang, K.; Mi, T.; Li, M.; Yi, X. Laser cladding Ni60 @ WC/Cu encapsulated rough MoS2 self-lubricating wear resistant composite coating and ultrasound-assisted optimization. Ceram. Int. 2024, 50, 36555–36569. [Google Scholar] [CrossRef]
- Qin, Q.; Wang, T. Effect of mo content on the microstructure and properties of powder metallurgy iron based friction materials. J. Phys. Conf. Ser. 2024, 2670, 012071. [Google Scholar] [CrossRef]
- Behera, N.; Ramesh, M.R.; Rahman, M.R. Elevated temperature wear and friction performance of WC-CoCr/Mo and WC-Co/NiCr/Mo coated Ti-6Al-4V alloy. Mater. Charact. 2024, 215, 114207. [Google Scholar] [CrossRef]
- Zhen, Y.; Chen, M.; Yu, C.; Yang, Z.; Qi, Y.; Wang, F. High temperature self-lubricating Ti-Mo-Ag composites with exceptional high mechanical strength and wear resistance. J. Mater. Sci. Technol. 2024, 180, 80–90. [Google Scholar] [CrossRef]
- Moussaoui, A.; Abboudi, A.; Aissani, L.; Belgroune, A.; Cheriet, A.; Alhussein, A.; Rtimi, S. Effect of Mo addition on the mechanical and tribological properties of magnetron sputtered TiN films. Surf. Coat. Technol. 2023, 470, 129862. [Google Scholar] [CrossRef]
- Cui, G.; Han, W.; Zhang, W.; Li, J.; Kou, Z. Friction and wear performance of laser clad Mo modified Stellite 12 matrix coatings at elevated temperature. Tribol. Int. 2024, 196, 109738. [Google Scholar] [CrossRef]
- Zhen, J.; Han, Y.; Chen, J.; Cheng, J.; Zhu, S.; Yang, J.; Kong, L. Influence of Mo and Al elements on the vacuum high temperature tribological behavior of high strength nickel alloy matrix composites. Tribol. Int. 2019, 131, 702–709. [Google Scholar] [CrossRef]



















| Composites | Ni Alloy | BaF2/CaF2 (wt. %) | Ag (wt. %) | Density (g/cm3) |
|---|---|---|---|---|
| 0Mo | Ni15Cr3Ti6Al | 5 | 12.5 | 7.46 |
| 5Mo | Ni15Cr5Mo3Ti6Al | 5 | 12.5 | 7.46 |
| 8Mo | Ni15Cr8Mo3Ti6Al | 5 | 12.5 | 7.37 |
| 12Mo | Ni15Cr12Mo3Ti6Al | 5 | 12.5 | 8.04 |
Disclaimer/Publisher’s Note: The statements, opinions and data contained in all publications are solely those of the individual author(s) and contributor(s) and not of MDPI and/or the editor(s). MDPI and/or the editor(s) disclaim responsibility for any injury to people or property resulting from any ideas, methods, instructions or products referred to in the content. |
© 2024 by the authors. Licensee MDPI, Basel, Switzerland. This article is an open access article distributed under the terms and conditions of the Creative Commons Attribution (CC BY) license (https://creativecommons.org/licenses/by/4.0/).
Share and Cite
Zhen, J.; Han, Y.; Yuan, L.; Jia, Z.; Zhang, R. Investigating Influence of Mo Elements on Friction and Wear Performance of Nickel Alloy Matrix Composites in Air from 25 to 800 °C. Lubricants 2024, 12, 396. https://doi.org/10.3390/lubricants12110396
Zhen J, Han Y, Yuan L, Jia Z, Zhang R. Investigating Influence of Mo Elements on Friction and Wear Performance of Nickel Alloy Matrix Composites in Air from 25 to 800 °C. Lubricants. 2024; 12(11):396. https://doi.org/10.3390/lubricants12110396
Chicago/Turabian StyleZhen, Jinming, Yunxiang Han, Lin Yuan, Zhengfeng Jia, and Ran Zhang. 2024. "Investigating Influence of Mo Elements on Friction and Wear Performance of Nickel Alloy Matrix Composites in Air from 25 to 800 °C" Lubricants 12, no. 11: 396. https://doi.org/10.3390/lubricants12110396
APA StyleZhen, J., Han, Y., Yuan, L., Jia, Z., & Zhang, R. (2024). Investigating Influence of Mo Elements on Friction and Wear Performance of Nickel Alloy Matrix Composites in Air from 25 to 800 °C. Lubricants, 12(11), 396. https://doi.org/10.3390/lubricants12110396

