Unlocking the Potential of Soft Computing for Predicting Lubricant Elemental Spectroscopy
Abstract
1. Introduction
2. Materials and Methods
2.1. Dataset
2.1.1. Extracted Datasets
2.1.2. Experimental Datasets
2.2. Soft Computing Methods
2.2.1. Fundamentals and Theories
2.2.2. Application
2.3. Performance Criteria
3. Results and Discussion
3.1. Preliminary Statistical Analysis
3.2. Performance Evaluation of Models
3.2.1. Adjusting RBF Parameters
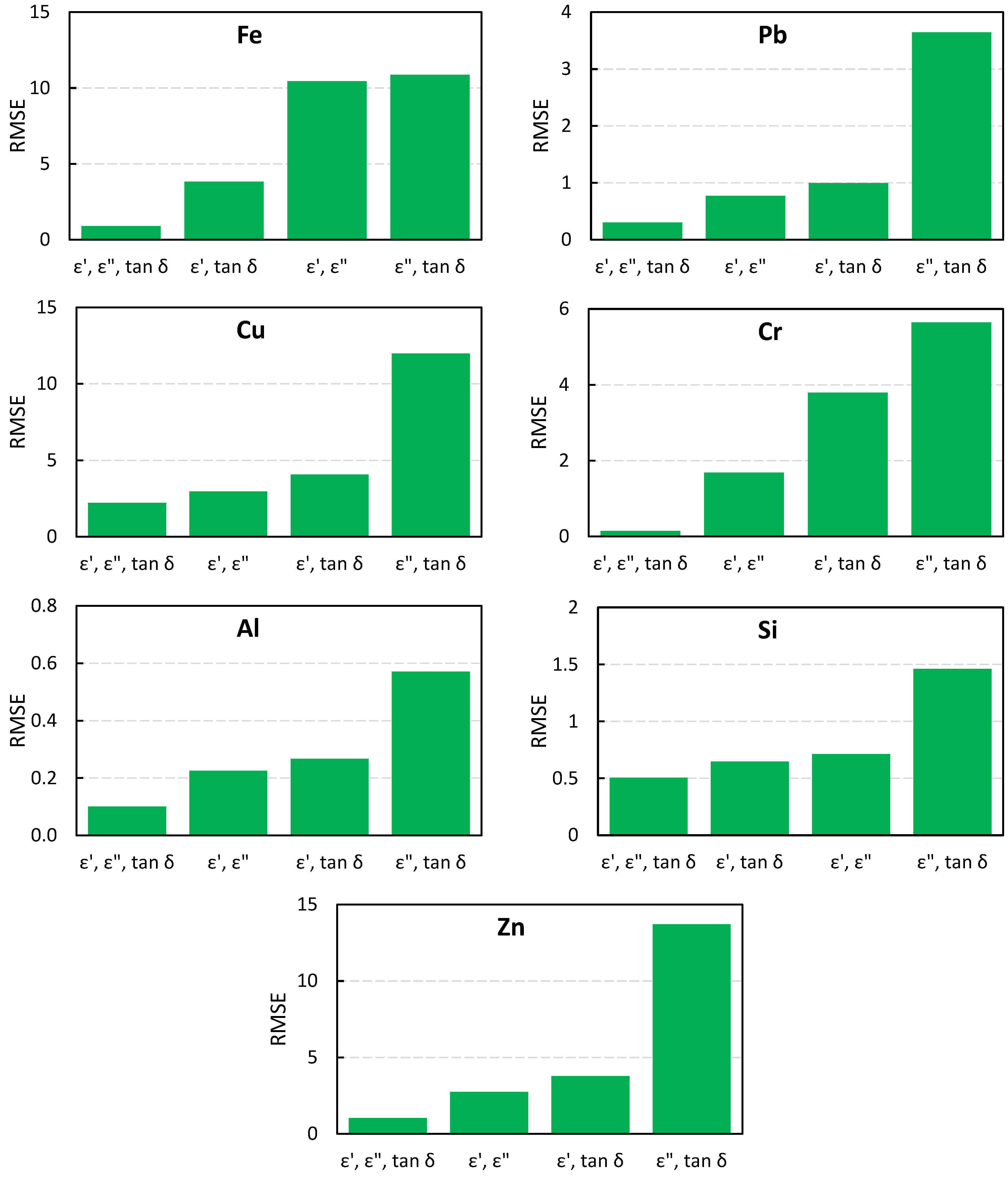
3.2.2. Sensitivity analysis
4. Conclusions
Author Contributions
Funding
Data Availability Statement
Acknowledgments
Conflicts of Interest
Appendix A
| Symbol | Definition | No. Equation |
|---|---|---|
| the principal value of the index vector | (1) | |
| the normalized value of the index vector | (1) | |
| xmax and xmin | the maximum and minimum values of the index | (1) |
| the input of the jth neuron in the hidden layer | (2) | |
| the bias of jth neuron in the hidden layer | (2) | |
| the weight value between the ith input neuron and the jth neuron in the hidden layer | (2) | |
| the activation function | (3) | |
| the outputs of jth neuron | (3), (4) | |
| the output of the neurons in the kth output | (4) | |
| weight value between the neuron in the jth hidden layer and the neuron in the kth output layer | (4) | |
| the number of neurons in the hidden layers | (4) | |
| the output | (5) | |
| the bias terms | (5) | |
| the number of basic functions | (5) | |
| the weight between hidden and output layers | (5) | |
| the input data vector | (5) | |
| the center of RBF unit | (5) | |
| the spread of the Gaussian basis function | (5) | |
| a nonlinear mapping of E | (6) | |
| a weight vector | (6) | |
| the bias factor | (6) | |
| the equal noise variance for of all samples | (7) | |
| the ith component of the desired (actual) output for the ith pattern | ||
| the component of the predicted (fitted) output produced by the network for the ith pattern | (8)–(10) | |
| the number of lubricant samples | (8)–(10) | |
| the average of the whole desired (actual) and predicted output | (10) |
References
- Molęda, M.; Małysiak-Mrozek, B.; Ding, W.; Sunderam, V.; Mrozek, D. From Corrective to Predictive Maintenance—A Review of Maintenance Approaches for the Power Industry. Sensors 2023, 23, 5970. [Google Scholar] [CrossRef] [PubMed]
- Vališ, D.; Gajewski, J.; Žák, L. Potential for using the ANN-FIS meta-model approach to assess levels of particulate contamination in oil used in mechanical systems. Tribol. Int. 2019, 135, 324–334. [Google Scholar] [CrossRef]
- Upadhyay, R. Microscopic technique to determine various wear modes of used engine oil. J. Microsc. Ultrastruct. 2013, 1, 111–114. [Google Scholar] [CrossRef]
- Yan, R.; Gao, R.X. Complexity as a measure for machine health evaluation. IEEE Trans. Instrum. Meas. 2004, 53, 1327–1334. [Google Scholar] [CrossRef]
- Qiang, L.; Xiaowei, L.; Lili, C.; Jiang, W. Research on a Method for the Determination of Iron in Lubricating Oil. In Proceedings of the 1st International Conference on Mechanical Engineering and Material Science (MEMS 2012), Shanghai, China, 28–30 December 2012; pp. 180–182. [Google Scholar]
- Avci, O.; Abdeljaber, O.; Kiranyaz, S.; Hussein, M.; Gabbouj, M.; Inman, D.J. A review of vibration-based damage detection in civil structures: From traditional methods to Machine Learning and Deep Learning applications. Mech. Syst. Signal Process. 2021, 147, 107077. [Google Scholar] [CrossRef]
- Zadhoush, M.; Nadooshan, A.A.; Afrand, M. Constructal optimization of longitudinal and latitudinal rectangular fins used for cooling a plate under free convection by the intersection of asymptotes method. Int. J. Heat Mass Transf. 2017, 112, 441–453. [Google Scholar] [CrossRef]
- Kumbár, V.; Dostál, P. Oils degradation in agricultural machinery. Acta Univ. Agric. Silvic. Mendel. Brun. 2013, 61, 1297–1303. [Google Scholar] [CrossRef]
- Lazakis, I.; Raptodimos, Y.; Varelas, T. Predicting ship machinery system condition through analytical reliability tools and artificial neural networks. Ocean Eng. 2018, 152, 404–415. [Google Scholar] [CrossRef]
- Alemayehu, B.; Kota, A.; Neidhard-Doll, A.; Chodavarapu, V.; Subramanyam, G. Cloud-connected real-time oil condition monitoring of utility transformers using impedance spectroscopy. Instrum. Sci. Technol. 2021, 49, 509–520. [Google Scholar] [CrossRef]
- Polo-Mendoza, R.; Navarro-Donado, T.; Ortega-Martinez, D.; Turbay, E.; Martinez-Arguelles, G.; Peñabaena-Niebles, R. Properties and characterization techniques of graphene modified asphalt binders. Nanomaterials 2023, 13, 955. [Google Scholar] [CrossRef]
- Bongfa, B.; Syahrullail, S.; Hamid, M.A.; Samin, P.; Atuci, B.; Ajibili, H. Maximizing the life of lubricating oils for resources and environmental sustainability through quality monitoring in service. Indian J. Sci. Technol. 2016, 9, 1–10. [Google Scholar] [CrossRef]
- Willet, R.; Reichard, K. Vibration and airborne acoustic data fusion for diesel engine health management. J. Acoust. Soc. Am. 2023, 153, A38. [Google Scholar] [CrossRef]
- Altıntaş, O.; Aksoy, M.; Ünal, E.; Akgöl, O.; Karaaslan, M. Artificial neural network approach for locomotive maintenance by monitoring dielectric properties of engine lubricant. Measurement 2019, 145, 678–686. [Google Scholar] [CrossRef]
- Pourramezan, M.-R.; Rohani, A.; Keramat Siavash, N.; Zarein, M. Evaluation of lubricant condition and engine health based on soft computing methods. Neural Comput. Appl. 2022, 34, 5465–5477. [Google Scholar] [CrossRef]
- Hammett, J. Utilising the latest findings on low speed 2-stroke diesel engine oil stress from field & laboratory engine testing. Mar. Eng. 2014, 49, 293–300. [Google Scholar]
- Craft, J. Development of Interdigitated Electrode Sensors for Monitoring the Dielectric Properties of Lubricant Oils; Auburn University: Auburn, AL, USA, 2010. [Google Scholar]
- Raadnui, S.; Kleesuwan, S. Low-cost condition monitoring sensor for used oil analysis. Wear 2005, 259, 1502–1506. [Google Scholar] [CrossRef]
- Senthilkumar, D.K.; Aakash, S.; Kishan, R.; Nithin, N.; Vijay, T. Lubricating Oil Condition Monitoring System in Dashboard. Int. Res. J. Eng. Technol. 2020, 7, 2400–2407. [Google Scholar]
- Li, X.; Yan, E. Application of Information Fusion Technology in Lubricating Oil Quality Monitoring. In Proceedings of the 2022 4th International Conference on Robotics, Intelligent Control and Artificial Intelligence, Dongguan, China, 16–18 December 2022. [Google Scholar]
- Schmitigal, J.; Moyer, S. Evaluation of Sensors for On-Board Diesel Oil Condition Monitoring of US Army Ground Equipment; Tacom Research Development and Engineering Center: Warren, MI, USA, 2005. [Google Scholar]
- Tanwar, M.; Raghavan, N. Lubricating Oil Remaining Useful Life Prediction Using Multi-Output Gaussian Process Regression. IEEE Access 2020, 8, 128897–128907. [Google Scholar] [CrossRef]
- Zhou, Y.; Liang, Y.; Li, R. Research on intelligent diagnosis technology of emergency diesel generator in nuclear power plant based on new monitoring method. IOP Conf. Ser. Mater. Sci. Eng. 2019, 677, 032074. [Google Scholar] [CrossRef]
- Grimmig, R.; Lindner, S.; Gillemot, P.; Winkler, M.; Witzleben, S. Analyses of used engine oils via atomic spectroscopy–Influence of sample pre-treatment and machine learning for engine type classification and lifetime assessment. Talanta 2021, 232, 122431. [Google Scholar] [CrossRef]
- Macin, V.; Tormos, B.; Sala, A.; Ramirez, J. Fuzzy logic-based expert system for diesel engine oil analysis diagnosis. Insight-Non-Destr. Test. Cond. Monit. 2006, 48, 462–469. [Google Scholar] [CrossRef]
- Bai, H.; Zhan, X.; Yan, H.; Wen, L.; Jia, X. Combination of Optimized Variational Mode Decomposition and Deep Transfer Learning: A Better Fault Diagnosis Approach for Diesel Engines. Electronics 2022, 11, 1969. [Google Scholar] [CrossRef]
- Zhang, D.; Tong, P.; Zhu, W.; Zheng, J. Research on Reciprocating diesel engines fault diagnosis based on adaptive genetic algorithm optimization. In Proceedings of the 2022 IEEE 6th Advanced Information Technology, Electronic and Automation Control Conference (IAEAC), Beijing, China, 3–5 October 2022; pp. 872–876. [Google Scholar]
- Aghilinategh, N.; Nankali, S.; Babaei, M. Applying capacitance/inductance measurements for characterizing oil debris and pH. Indian J. Sci. Technol. 2016, 9, 28. [Google Scholar] [CrossRef][Green Version]
- Król, A.; Gocman, K.; Giemza, B. Neural networks as a tool to characterise oil state after porous bearings prolonged tests. Mater. Sci. 2015, 21, 466–472. [Google Scholar] [CrossRef][Green Version]
- Li, L.; Chang, W.; Zhou, S.; Xiao, Y. An identification and prediction model of wear-out fault based on oil monitoring data using PSO-SVM method. In Proceedings of the 2017 Annual Reliability and Maintainability Symposium (RAMS), Orlando, FL, USA, 23–26 January 2017; pp. 1–6. [Google Scholar]
- RodRigues, J.; Costa, I.; Farinha, J.T.; Mendes, M.; Margalho, L. Predicting motor oil condition using artificial neural networks and principal component analysis. Eksploat. Niezawodn. 2020, 22, 440–448. [Google Scholar] [CrossRef]
- More, S.M.; Kakati, J.P.; Pal, S.; Saha, U.K. Implementation of Soft Computing Techniques in Predicting and Optimizing the Operating Parameters of Compression Ignition Diesel Engines: State-of-the-Art Review, Challenges, and Future Outlook. J. Comput. Inf. Sci. Eng. 2022, 22, 050801. [Google Scholar] [CrossRef]
- Ghosh, S.; Sarkar, B.; Sanyal, S.; Saha, J. Automated Maintenance Approach for Industrial Machineries by Soft Computing Techniques at Offline Monitoring Process. JJMIE 2009, 3, 1. [Google Scholar]
- More, S.M.; Kakati, J.; Saha, U.K. Evaluating the Operating Parameters of a Compression Ignition Engine Fueled With Waste Cooking Oil—Diesel Blends Using Artificial Neural Network and Ensemble Methods. J. Eng. Gas Turbines Power 2023, 145, 071010. [Google Scholar] [CrossRef]
- Li, Z.; Fei, F.; Zhang, G. Edge-to-Cloud IIoT for Condition Monitoring in Manufacturing Systems with Ubiquitous Smart Sensors. Sensors 2022, 22, 5901. [Google Scholar] [CrossRef]
- Kumar, K.V.; Kumar, S.S.; Praveena, B.J.; John, J.P.; Paul, J.E. Soft computing based fault diagnosis. In Proceedings of the 2010 Second International conference on Computing, Communication and Networking Technologies, Karur, India, 29–31 July 2010; pp. 1–7. [Google Scholar]
- Barsoukov, E.; Macdonald, J.R. Impedance Spectroscopy Theory, Experiment, and Applications, 2nd ed.; John Wiley & Sons, Inc.: Hoboken, NJ, USA, 2005. [Google Scholar]
- Sapotta, B.; Schwotzer, M.; Wöll, C.; Franzreb, M. On the Integration of Dielectrometry into Electrochemical Impedance Spectroscopy to Obtain Characteristic Properties of a Dielectric Thin Film. Electroanalysis 2022, 34, 512–522. [Google Scholar] [CrossRef]
- Xu, X. Enhancements in Dielectric Response Characterization of Insulation Materials; Chalmers Tekniska Hogskola: Gothenburg, Sweden, 2013. [Google Scholar]
- Yoon, E.J.; Stelson, A.C.; Orloff, N.D.; Long, C.J.; Booth, J.C.; Meng, E.F. The Effect of Annealing Thin Film Parylene C-Platinum Interfaces Characterized by Broadband Dielectric Spectroscopy. In Proceedings of the 2021 21st International Conference on Solid-State Sensors, Actuators and Microsystems (Transducers), Orlando, FL, USA, 20–24 June 2021; pp. 884–887. [Google Scholar]
- Wróblewski, P. The theory of the surface wettability angle in the formation of an oil film in internal combustion piston engines. Materials 2023, 16, 4092. [Google Scholar] [CrossRef]
- Wróblewski, P. Investigation of energy losses of the internal combustion engine taking into account the correlation of the hydrophobic and hydrophilic. Energy 2023, 264, 126002. [Google Scholar] [CrossRef]
- Fayaz, S.D.; Wani, M. Insights into the tribological behavior of IF-WS2 nanoparticle reinforced mild extreme pressure lubrication for coated chromium/bulk grey cast iron interface. Proc. Inst. Mech. Eng. Part J J. Eng. Tribol. 2021, 235, 1478–1494. [Google Scholar] [CrossRef]
- Rajabi-Vandechali, M.; Abbaspour-Fard, M.H.; Rohani, A. Development of a prediction model for estimating tractor engine torque based on soft computing and low cost sensors. Measurement 2018, 121, 83–95. [Google Scholar] [CrossRef]
- Al-Dosary, N.M.N.; Al-Hamed, S.A.; Aboukarima, A.M. K-nearest Neighbors method for prediction of fuel consumption in tractor-chisel plow systems. Eng. Agrícola 2019, 39, 729–736. [Google Scholar] [CrossRef]
- Kappa, B. Predicting Bearing Failures and Measuring Lubrication Film Thickness in Your Plants Rotating Equipment. Proc. WEFTEC 2006, 6, 5969–5974. [Google Scholar] [CrossRef]
- Heidari, P.; Rezaei, M.; Rohani, A. Soft computing-based approach on prediction promising pistachio seedling base on leaf characteristics. Sci. Hortic. 2020, 274, 109647. [Google Scholar] [CrossRef]
- Rezaei, M.; Rohani, A.; Heidari, P.; Lawson, S. Using soft computing and leaf dimensions to determine sex in immature Pistacia vera genotypes. Measurement 2021, 174, 108988. [Google Scholar] [CrossRef]
- Blanco, A.; Pino-Mejías, R.; Lara, J.; Rayo, S. Credit scoring models for the microfinance industry using neural networks: Evidence from Peru. Expert Syst. Appl. 2013, 40, 356–364. [Google Scholar] [CrossRef]
- Borghi, P.H.; Zakordonets, O.; Teixeira, J.P. A COVID-19 time series forecasting model based on MLP ANN. Procedia Comput. Sci. 2021, 181, 940–947. [Google Scholar] [CrossRef]
- Bazrafshan, O.; Ehteram, M.; Latif, S.D.; Huang, Y.F.; Teo, F.Y.; Ahmed, A.N.; El-Shafie, A. Predicting crop yields using a new robust Bayesian averaging model based on multiple hybrid ANFIS and MLP models. Ain Shams Eng. J. 2022, 13, 101724. [Google Scholar] [CrossRef]
- Sada, S.; Ikpeseni, S. Evaluation of ANN and ANFIS modeling ability in the prediction of AISI 1050 steel machining performance. Heliyon 2021, 7, e06136. [Google Scholar] [CrossRef] [PubMed]
- Vasileva-Stojanovska, T.; Vasileva, M.; Malinovski, T.; Trajkovik, V. An ANFIS model of quality of experience prediction in education. Appl. Soft Comput. 2015, 34, 129–138. [Google Scholar] [CrossRef]
- Stojčić, M.; Stjepanović, A.; Stjepanović, Đ. ANFIS model for the prediction of generated electricity of photovoltaic modules. Decis. Mak. Appl. Manag. Eng. 2019, 2, 35–48. [Google Scholar] [CrossRef]
- Chen, Y.; Zhao, Y. Face recognition using DCT and hierarchical RBF model. In Proceedings of the International Conference on Intelligent Data Engineering and Automated Learning, Manchester, UK, 24–26 November 2022; pp. 355–362. [Google Scholar]
- Park, J.-W.; Venayagamoorthy, G.K.; Harley, R.G. MLP/RBF neural-networks-based online global model identification of synchronous generator. IEEE Trans. Ind. Electron. 2005, 52, 1685–1695. [Google Scholar] [CrossRef]
- Soleymani, S.A.; Goudarzi, S.; Anisi, M.H.; Hassan, W.H.; Idris, M.Y.I.; Shamshirband, S.; Noor, N.M.; Ahmedy, I. A novel method to water level prediction using RBF and FFA. Water Resour. Manag. 2016, 30, 3265–3283. [Google Scholar] [CrossRef]
- Otchere, D.A.; Ganat, T.O.A.; Gholami, R.; Ridha, S. Application of supervised machine learning paradigms in the prediction of petroleum reservoir properties: Comparative analysis of ANN and SVM models. J. Pet. Sci. Eng. 2021, 200, 108182. [Google Scholar] [CrossRef]
- Li, X.; Lord, D.; Zhang, Y.; Xie, Y. Predicting motor vehicle crashes using support vector machine models. Accid. Anal. Prev. 2008, 40, 1611–1618. [Google Scholar] [CrossRef]
- Ghorbani, M.A.; Zadeh, H.A.; Isazadeh, M.; Terzi, O. A comparative study of artificial neural network (MLP, RBF) and support vector machine models for river flow prediction. Environ. Earth Sci. 2016, 75, 476. [Google Scholar] [CrossRef]
- Zhang, Y.; Yang, H.; Cui, H.; Chen, Q. Comparison of the ability of ARIMA, WNN and SVM models for drought forecasting in the Sanjiang Plain, China. Nat. Resour. Res. 2020, 29, 1447–1464. [Google Scholar] [CrossRef]
- Cheng, M.-Y.; Huang, C.-C.; Roy, A.F.V. Predicting project success in construction using an evolutionary Gaussian process inference model. J. Civ. Eng. Manag. 2013, 19, S202–S211. [Google Scholar] [CrossRef]
- Ghanizadeh, A.R.; Heidarabadizadeh, N.; Heravi, F. Gaussian process regression (Gpr) for auto-estimation of resilient modulus of stabilized base materials. J. Soft Comput. Civ. Eng. 2021, 5, 80–94. [Google Scholar]
- Schulz, E.; Speekenbrink, M.; Krause, A. A tutorial on Gaussian process regression: Modelling, exploring, and exploiting functions. J. Math. Psychol. 2018, 85, 1–16. [Google Scholar] [CrossRef]
- Quinonero-Candela, J.; Rasmussen, C.E. A unifying view of sparse approximate Gaussian process regression. J. Mach. Learn. Res. 2005, 6, 1939–1959. [Google Scholar]
- Gupta, G.K.; Sharma, D.K. A review of overfitting solutions in smart depression detection models. In Proceedings of the 2022 9th International Conference on Computing for Sustainable Global Development (INDIACom), New Delhi, India, 23–25 March 2022; pp. 145–151. [Google Scholar]
- Ibrahim, M.S.; Pang, D.; Randhawa, G.; Pappas, Y. Development and validation of a simple risk model for predicting metabolic syndrome (MetS) in midlife: A cohort study. Diabetes Metab. Syndr. Obes. Targets Ther. 2022, 15, 1051–1075. [Google Scholar] [CrossRef]
- Arvanitidis, A.I.; Bargiotas, D.; Daskalopulu, A.; Kontogiannis, D.; Panapakidis, I.P.; Tsoukalas, L.H. Clustering Informed MLP Models for Fast and Accurate Short-Term Load Forecasting. Energies 2022, 15, 1295. [Google Scholar] [CrossRef]
- Thapa, S.; Zhao, Z.; Li, B.; Lu, L.; Fu, D.; Shi, X.; Tang, B.; Qi, H. Snowmelt-driven streamflow prediction using machine learning techniques (LSTM, NARX, GPR, and SVR). Water 2020, 12, 1734. [Google Scholar] [CrossRef]
- Okwu, M.O.; Adetunji, O. A comparative study of artificial neural network (ANN) and adaptive neuro-fuzzy inference system (ANFIS) models in distribution system with nondeterministic inputs. Int. J. Eng. Bus. Manag. 2018, 10, 1847979018768421. [Google Scholar] [CrossRef]
- Slama, S.; Errachdi, A.; Benrejeb, M. Model reference adaptive control for MIMO nonlinear systems using RBF neural networks. In Proceedings of the 2018 international conference on advanced systems and electric technologies (IC_ASET), Hammamet, Tunisia, 22–25 March 2018; pp. 346–351. [Google Scholar]
- Tabari, H.; Kisi, O.; Ezani, A.; Talaee, P.H. SVM, ANFIS, regression and climate based models for reference evapotranspiration modeling using limited climatic data in a semi-arid highland environment. J. Hydrol. 2012, 444, 78–89. [Google Scholar] [CrossRef]
- Taki, M.; Ajabshirchi, Y.; Ranjbar, S.F.; Rohani, A.; Matloobi, M. Modeling and experimental validation of heat transfer and energy consumption in an innovative greenhouse structure. Inf. Process. Agric. 2016, 3, 157–174. [Google Scholar] [CrossRef]
- Alshahrani, M.; Mekni, S. Comparison between Different Techniques to Predict Municipal Water Consumption in Jeddah. In Proceedings of the 6th International Conference on Future Networks & Distributed Systems, Amman, Jordan, 26–27 June 2018; pp. 429–434. [Google Scholar]
- Willmott, C.J.; Matsuura, K. Advantages of the mean absolute error (MAE) over the root mean square error (RMSE) in assessing average model performance. Clim. Res. 2005, 30, 79–82. [Google Scholar] [CrossRef]
- Kharroubi, L.; Maaref, H.; Vigneron, V. Soft computing based control approach applied to an under actuated system. In Proceedings of the 2022 19th International Multi-Conference on Systems, Signals & Devices (SSD), Setif, Algeria, 6–10 May 2022; pp. 816–822. [Google Scholar]









| Application | Soft Computing Tool | Performance | Ref. |
|---|---|---|---|
| This study proposes a novel procedure for predicting particle concentrations in the oil phase as a function of operational period times, which can serve as a basis for determining the residual useful life of lubricant agents. | FIS, MLP, and RBF | Learning rate | [2] |
| This study proposes a recognition and prediction model for estimating wear-out faults in engines. To establish the model, unessential attributes were eliminated from the early stages of oil monitoring data. | PSO-SVM | Accuracy | [30] |
| This study developed models based on soft computing methods to estimate the engine torque performance across an extensive range of loads and speeds, which represent the operational conditions of the engine. | ANFIS, RBF | RMSE, EF, R, TSSE | [44] |
| This study focuses on the evaluation of lubricant and engine health status based on wear and lubricant pollution. By analyzing wear and pollution in the lubricant, this approach provides valuable insights into the health of the engine and lubrication system. | KNN and RBF-NN | Accuracy | [15] |
| The aim of this study is to predict fuel consumption for various tractor sizes while carrying an agricultural implement (chisel plow) under different specifications. | KNN | MAE, RMSE, RRSE, RAE | [45] |
| This study proposes a novel approach to interpreting the challenges of engine lubricant analysis using machine learning techniques. By leveraging spectral analysis measurements, this approach aims to identify the most important factors and their impact on engine performance. | KNN, RBF | Accuracy | [46] |
| This study utilized various conditional features of mechanical components to characterize the state of engine oil. | ANN | Accuracy | [29] |
| Sample No. | Fe | Pb | Cu | Cr | Al | Si | Zn |
|---|---|---|---|---|---|---|---|
| 1 | 11.05 | 2.83 | 0.98 | 1.26 | 3.62 | 8.79 | 1319 |
| 2 | 9.94 | 0 | 0.97 | 0.46 | 1.61 | 17.77 | 1362 |
| 3 | 30.25 | 0 | 1.64 | 5.33 | 10.18 | 9.23 | 1359 |
| 4 | 81.17 | 0 | 2.59 | 7.46 | 34.59 | 36.21 | 1493 |
| 5 | 13.19 | 1.8 | 0.59 | 1.8 | 1.09 | 7.14 | 1281 |
| 6 | 24.65 | 0 | 1.25 | 1.55 | 5.05 | 9.89 | 1398 |
| 7 | 9.24 | 0 | 0.92 | 0.11 | 1 | 6.11 | 1362 |
| 8 | 15.46 | 0 | 1.75 | 0 | 0.38 | 4.01 | 1360 |
| 9 | 39 | 4.42 | 7.78 | 6.52 | 10.93 | 16.29 | 1297 |
| 10 | 39.76 | 3.2 | 1.4 | 2.2 | 3.77 | 15.44 | 1657 |
| 11 | 34.69 | 0.18 | 1.23 | 7.2 | 13.45 | 16.55 | 1264 |
| 12 | 39.67 | 3.91 | 2.31 | 6.48 | 12.45 | 16.33 | 1342 |
| 13 | 86.06 | 1.17 | 2.76 | 3.69 | 10.95 | 40.05 | 1445 |
| 14 | 21.73 | 3.22 | 7.23 | 0.91 | 5.31 | 7.27 | 1317 |
| 15 | 8.17 | 1.79 | 3.23 | 0.04 | 0 | 7.22 | 803 |
| 16 | 49.75 | 3.51 | 4.11 | 4.15 | 5.07 | 13.65 | 1327 |
| Sample No. | 2.40 GHz | 5.80 GHz | 7.40 GHz | ||||||
|---|---|---|---|---|---|---|---|---|---|
| ε′ | ε″ | tan δ | ε′ | ε″ | tan δ | ε′ | ε″ | tan δ | |
| 1 | 2.62 | 0.15 | 0.058 | 2.94 | 0.13 | 0.044 | 2.55 | 0.23 | 0.090 |
| 2 | 2.68 | 0.12 | 0.045 | 2.99 | 0.10 | 0.033 | 2.60 | 0.18 | 0.069 |
| 3 | 2.45 | 0.09 | 0.037 | 2.79 | 0.07 | 0.025 | 2.40 | 0.17 | 0.071 |
| 4 | 2.55 | 0.05 | 0.020 | 2.86 | 0.05 | 0.017 | 2.47 | 0.12 | 0.049 |
| 5 | 2.60 | 0.13 | 0.051 | 2.91 | 0.12 | 0.041 | 2.52 | 0.21 | 0.083 |
| 6 | 2.58 | 0.13 | 0.051 | 2.90 | 0.11 | 0.038 | 2.50 | 0.20 | 0.080 |
| 7 | 2.60 | 0.17 | 0.066 | 2.93 | 0.14 | 0.048 | 2.52 | 0.26 | 0.103 |
| 8 | 2.54 | 0.20 | 0.079 | 2.85 | 0.19 | 0.067 | 2.43 | 0.30 | 0.123 |
| 9 | 2.53 | 0.08 | 0.032 | 2.83 | 0.06 | 0.021 | 2.45 | 0.15 | 0.061 |
| 10 | 2.52 | 0.06 | 0.025 | 2.81 | 0.05 | 0.018 | 2.43 | 0.13 | 0.053 |
| 11 | 2.55 | 0.09 | 0.036 | 2.88 | 0.07 | 0.024 | 2.50 | 0.14 | 0.056 |
| 12 | 2.50 | 0.07 | 0.029 | 2.79 | 0.05 | 0.018 | 2.42 | 0.14 | 0.058 |
| 13 | 2.41 | 0.05 | 0.021 | 2.70 | 0.04 | 0.015 | 2.34 | 0.10 | 0.043 |
| 14 | 2.66 | 0.11 | 0.042 | 2.97 | 0.10 | 0.034 | 2.58 | 0.16 | 0.062 |
| 15 | 2.60 | 0.13 | 0.051 | 2.93 | 0.12 | 0.041 | 2.53 | 0.21 | 0.083 |
| 16 | 2.50 | 0.07 | 0.029 | 2.81 | 0.06 | 0.021 | 2.42 | 0.13 | 0.054 |
| Var. 1 | Var. 2 | Corr. | Var. 1 | Var. 2 | Corr. | Var. 1 | Var. 2 | Corr. | Var. 1 | Var. 2 | Corr. |
|---|---|---|---|---|---|---|---|---|---|---|---|
| Fe | ε′ | −0.13 ns | Cu | ε′ | 0.45 ** | Al | ε′ | −0.23 *** | Zn | ε′ | −0.54 ** |
| ε″ | −0.20 *** | ε″ | 0.53 ** | ε″ | −0.49 ** | ε″ | −0.77 ** | ||||
| tan δ | −0.22 *** | tan δ | 0.53 ** | tan δ | −0.56 ** | tan δ | −0.79 ** | ||||
| Pb | ε′ | 0.41 ** | Cr | ε′ | 0.45 ** | Si | ε′ | −0.14 ns | |||
| ε″ | 0.48 ** | ε″ | 0.45 ** | ε″ | −0.42 ** | ||||||
| tan δ | 0.48 ** | tan δ | 0.41 ** | tan δ | −0.50 ** |
| Frequency | 2.4 GHz | 5.80 GHz | 7.40 GHz | |||||||||||||
|---|---|---|---|---|---|---|---|---|---|---|---|---|---|---|---|---|
| ML Model | RBF | MLP | ANFIS | GPR | SVM | RBF | MLP | ANFIS | GPR | SVM | RBF | MLP | ANFIS | GPR | SVM | |
| Fe | RMSE | 2.4 | 11.0 | 2.4 | 16.8 | 23.4 | 1.4 | 23.9 | 1.5 | 19.7 | 17.3 | 0.9 | 15.5 | 0.9 | 14.3 | 16.5 |
| MAPE | 3.7 | 33.8 | 3.8 | 48.5 | 51.9 | 2.8 | 69.5 | 2.6 | 34.5 | 43.5 | 0.9 | 47.3 | 1.1 | 40.3 | 36.2 | |
| Pb | RMSE | 1.4 | 5.4 | 2.2 | 3.8 | 15.6 | 1.0 | 4.9 | 1.0 | 5.3 | 6.5 | 0.3 | 3.3 | 0.3 | 5.5 | 7.5 |
| MAPE | - | - | - | - | - | - | - | - | - | - | - | - | - | - | - | |
| Cu | RMSE | 4.4 | 22.4 | 5.0 | 16.4 | 19.0 | 3.9 | 18.7 | 3.9 | 18.6 | 53.2 | 2.2 | 13.2 | 2.2 | 18.5 | 21.3 |
| MAPE | 10.3 | 70.0 | 10.2 | 70.7 | 68.3 | 7.9 | 40.3 | 9.3 | 93.4 | 87.2 | 1.3 | 11.0 | 2.4 | 96.8 | 72.3 | |
| Cr | RMSE | 4.0 | 13.3 | 4.3 | 12.7 | 15.7 | 3.9 | 13.2 | 8.1 | 12.7 | 15.5 | 0.2 | 13.2 | 3.5 | 11.3 | 16.2 |
| MAPE | - | - | - | - | - | - | - | - | - | - | - | - | - | - | - | |
| Al | RMSE | 0.7 | 0.7 | 0.8 | 0.7 | 0.9 | 0.2 | 0.7 | 0.3 | 0.7 | 3.5 | 0.1 | 0.7 | 0.1 | 0.7 | 0.9 |
| MAPE | - | - | - | - | - | - | - | - | - | - | - | - | - | - | - | |
| Si | RMSE | 0.7 | 3.4 | 2.2 | 2.5 | 4.3 | 0.6 | 2.9 | 0.8 | 3.1 | 3.5 | 0.4 | 2.2 | 0.5 | 2.9 | 3.3 |
| MAPE | 4.3 | 38.4 | 8.9 | 28.1 | 48.2 | 1.7 | 28.2 | 1.9 | 33.0 | 36.1 | 0.7 | 25.7 | 1.1 | 24.4 | 34.2 | |
| Zn | RMSE | 10.3 | 20.7 | 80.3 | 29.2 | 39.1 | 6.5 | 41.9 | 53.8 | 28.0 | 28.3 | 1.0 | 6.7 | 2.2 | 28.6 | 35.3 |
| MAPE | 16.4 | 32.0 | 70.7 | 35.3 | 48.3 | 9.0 | 80.9 | 74.9 | 75.2 | 65.4 | 1.4 | 25.4 | 2.3 | 73.1 | 65.4 | |
Disclaimer/Publisher’s Note: The statements, opinions and data contained in all publications are solely those of the individual author(s) and contributor(s) and not of MDPI and/or the editor(s). MDPI and/or the editor(s) disclaim responsibility for any injury to people or property resulting from any ideas, methods, instructions or products referred to in the content. |
© 2023 by the authors. Licensee MDPI, Basel, Switzerland. This article is an open access article distributed under the terms and conditions of the Creative Commons Attribution (CC BY) license (https://creativecommons.org/licenses/by/4.0/).
Share and Cite
Pourramezan, M.-R.; Rohani, A.; Abbaspour-Fard, M.H. Unlocking the Potential of Soft Computing for Predicting Lubricant Elemental Spectroscopy. Lubricants 2023, 11, 382. https://doi.org/10.3390/lubricants11090382
Pourramezan M-R, Rohani A, Abbaspour-Fard MH. Unlocking the Potential of Soft Computing for Predicting Lubricant Elemental Spectroscopy. Lubricants. 2023; 11(9):382. https://doi.org/10.3390/lubricants11090382
Chicago/Turabian StylePourramezan, Mohammad-Reza, Abbas Rohani, and Mohammad Hossein Abbaspour-Fard. 2023. "Unlocking the Potential of Soft Computing for Predicting Lubricant Elemental Spectroscopy" Lubricants 11, no. 9: 382. https://doi.org/10.3390/lubricants11090382
APA StylePourramezan, M.-R., Rohani, A., & Abbaspour-Fard, M. H. (2023). Unlocking the Potential of Soft Computing for Predicting Lubricant Elemental Spectroscopy. Lubricants, 11(9), 382. https://doi.org/10.3390/lubricants11090382

