Magnetized Particle Motion in γ-Spacetime in a Magnetic Field
Abstract
1. Introduction
2. Magnetized Particles Motion in Spacetime of Weakly Magnetized -Object
2.1. Compact Object Immersed in Uniform Magnetic Field
2.2. Magnetized Particles Motion
3. Astrophysical Applications
- (i)
- The study of the ISCO radius of a test magnetized particles around rotating Kerr BH and deformed spacetime of -object shows the degeneracy relation between the rotation parameter a and -parameter corresponding to exactly the same value of the ISCO radius of the magnetized particles. One can see from the red dashed line in Figure 8 that the rotation parameter a of the Kerr BH can be mimicked by the effect of the -parameter for the range providing the same ISCO radius.
- (ii)
- In the case of magnetized particles motion around the BH immersed in the magnetic field and the deformed static object described by -metric, the same ISCO radius for the magnetized particles can be observed. The detailed analysis shows that (see red dashed line in Figure 8) -parameter in the range of values of can mimic the magnetic coupling parameter up to providing the same ISCO radius.
- (iii)
- The external magnetic field can mimic the rotation parameter of the Kerr BH through astronomical observations of the motion of magnetized particles around Schwarzschild BH immersed in an external asymptotically-uniform magnetic field providing exactly the same values of the ISCO radius. One can see from Figure 8 (blue large dashed line) that the values of the magnetic coupling parameter can mimic the spin of rotating Kerr BH up to .
4. Magnetized Particles Acceleration in -Spacetime
4.1. Collision of Two Magnetized Particles
4.2. Collision of Magnetized and Charged Particles
4.3. Collision of Magnetized and Neutral Particles
5. Summary and Discussions
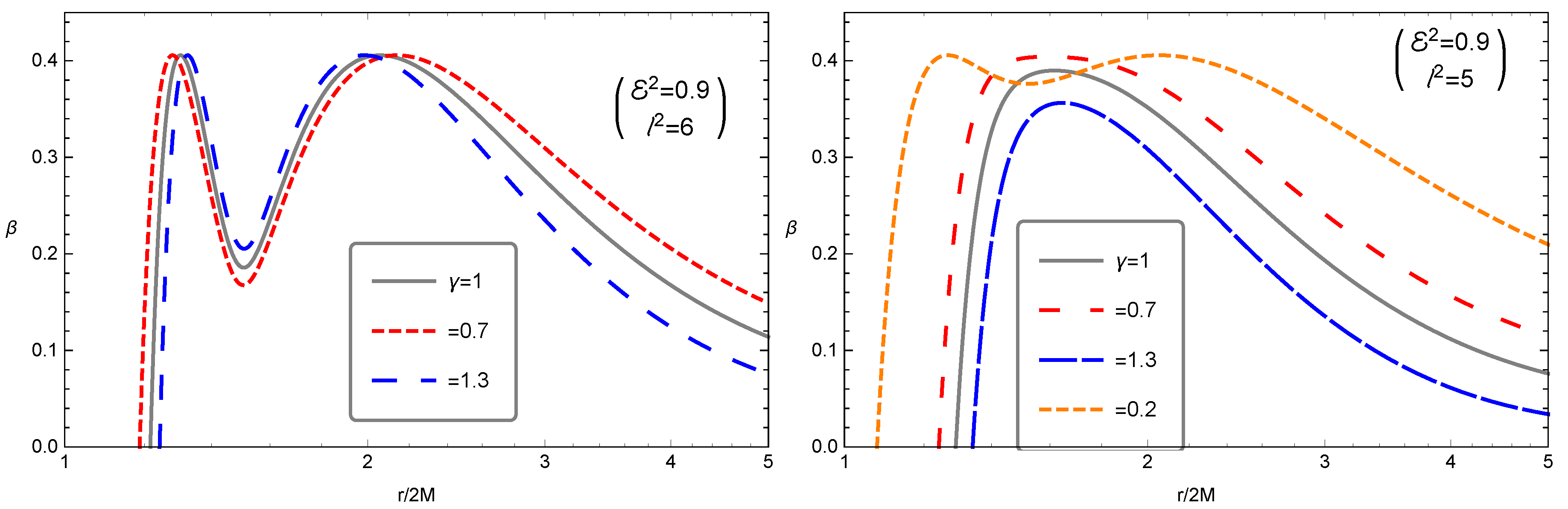
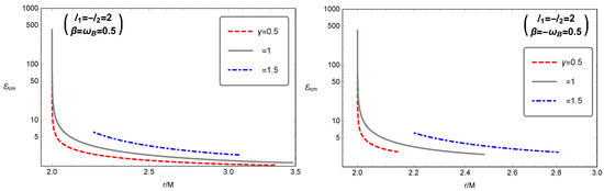
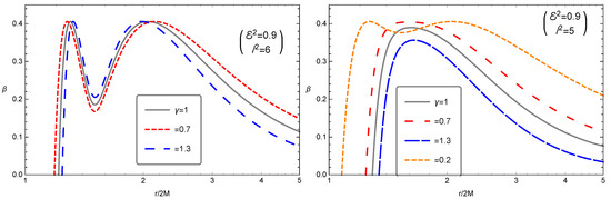
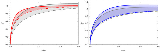
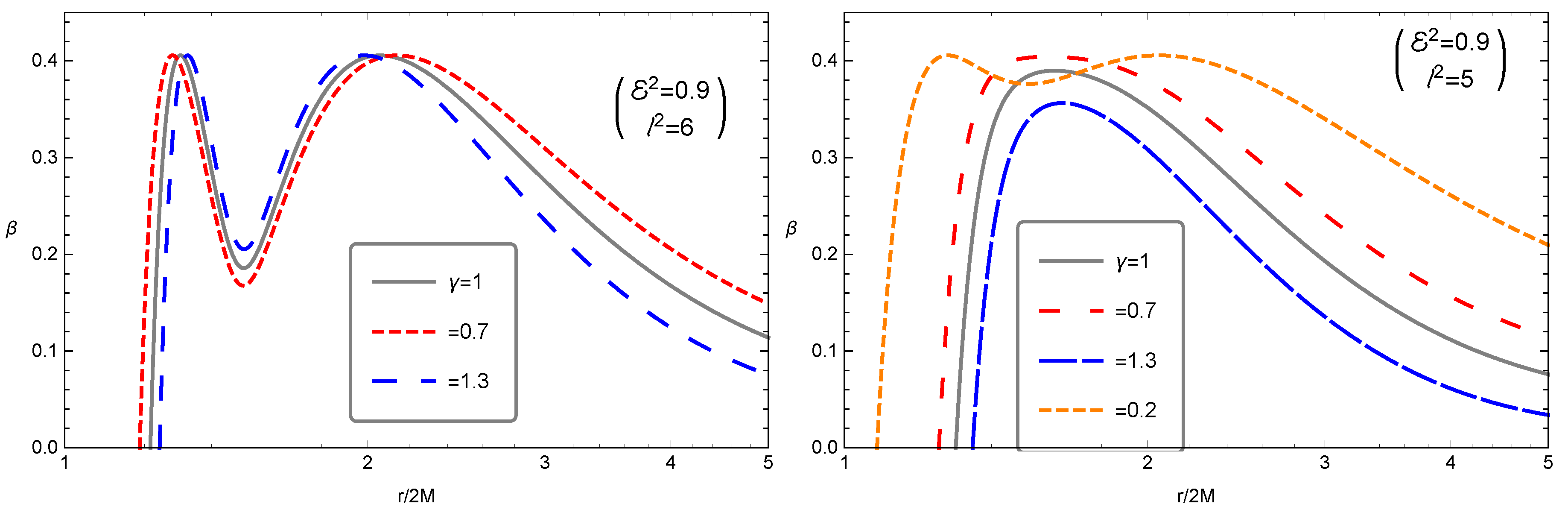
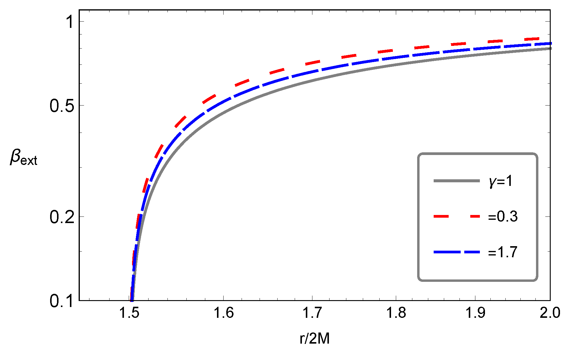
- We have analyzed the magnetic coupling parameter being responsible for circular stable orbits at the given specific angular momentum and specific energy. It has been shown that the maximum value of the magnetic coupling parameter does not depend on the value of -parameter. It is due to the fact that the Lorentz force dominates at the maximum values of the magnetic interaction parameter. Consequently, it is not sensitive to any value of -parameter.
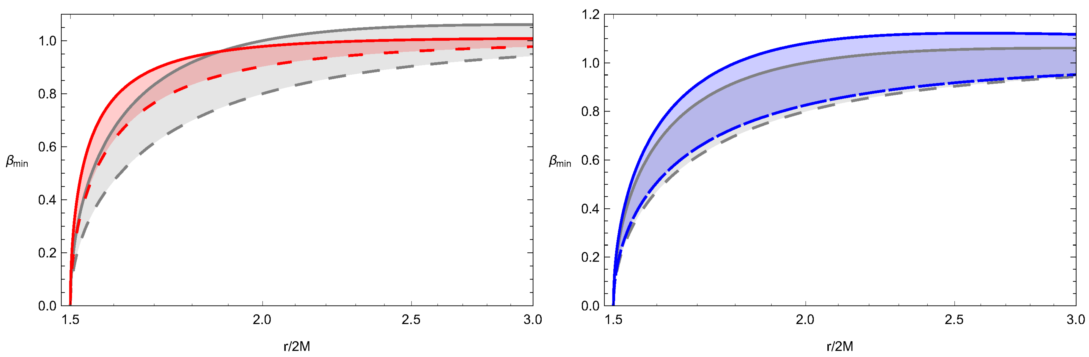
- It has also been shown that the minimum value of the specific energy corresponding to stable circular orbits of magnetized particles decreases with the increase of the value of -parameter due to the decreasing of the gravitational potential at .
- It has been obtained that the minimum value of the specific angular momentum corresponding to the extreme value of the magnetic coupling parameter causes a decrease in the distance between the innermost and outermost stable circular orbits. The magnetized particle’s circular orbits can not be stable ones for the values . This may be helpful to predict that no magnetized neutron star can be observed in circular orbits in an environment of Sgr A* when the dipole magnetic field is greater than Gauss.
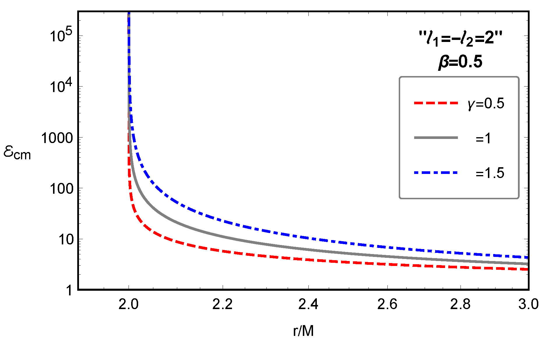
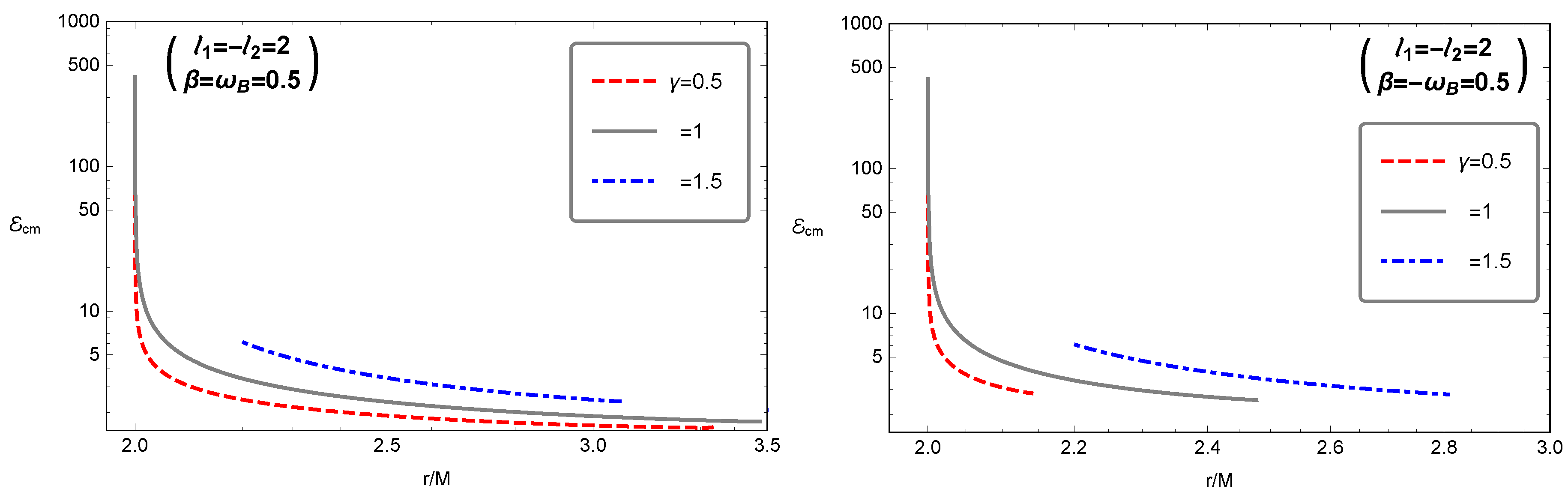
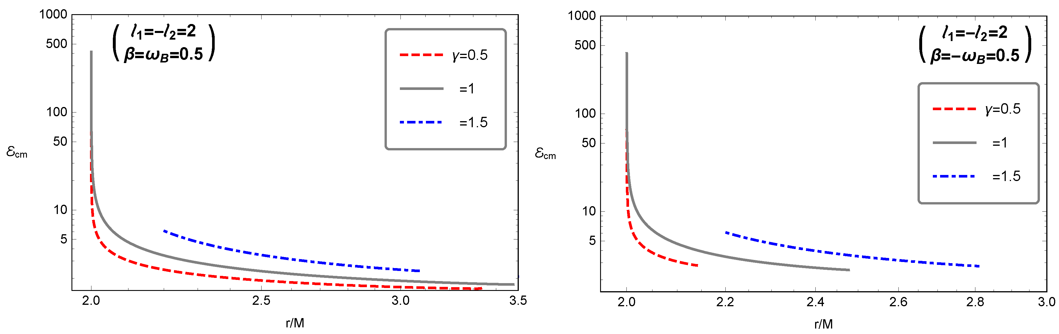
- We have studied the acceleration process in the collision of magnetized particles around compact objects in -spacetime. We have shown that the center-of-mass energy of collision of magnetized particles increases with the increase of the -parameter.
- Finally, we have applied the obtained results to the real astrophysical scenario and shown distinguishable features of the three different geometries. Particularly, analyzing the ISCO radii of magnetized particles around Kerr, deformed -spacetime and Schwarzschild BH immersed in an asymptotically-uniform magnetic field. We have shown that the -parameter can mimic the spin parameter of Kerr BH , while the magnetic coupling parameter can mimic the -parameter for the range and the rotation parameter of Kerr BH .
Author Contributions
Funding
Acknowledgments
Conflicts of Interest
References
- Wald, R.M. Black hole in a uniform magnetic field. Phys. Rev. D 1974, 10, 1680–1685. [Google Scholar] [CrossRef]
- Aliev, A.N.; Özdemir, N. Motion of charged particles around a rotating black hole in a magnetic field. Mon. Not. R. Astron. Soc. 2002, 336, 241–248. [Google Scholar] [CrossRef]
- Frolov, V.P.; Shoom, A.A. Motion of charged particles near a weakly magnetized Schwarzschild black hole. Phys. Rev. D 2010, 82, 084034. [Google Scholar] [CrossRef]
- Abdujabbarov, A.; Ahmedov, B. Test particle motion around a black hole in a braneworld. Phys. Rev. D 2010, 81, 044022. [Google Scholar] [CrossRef]
- Abdujabbarov, A.; Ahmedov, B.; Hakimov, A. Particle motion around black hole in Hořava-Lifshitz gravity. Phys. Rev. D 2011, 83, 044053. [Google Scholar] [CrossRef]
- Frolov, V.P. Weakly magnetized black holes as particle accelerators. Phys. Rev. D 2012, 85, 024020. [Google Scholar] [CrossRef]
- Karas, V.; Kovar, J.; Kopacek, O.; Kojima, Y.; Slany, P.; Stuchlik, Z. Regular and Chaotic Motion in General Relativity. Case of Magnetized Black Hole and a Massive Magnetic Dipole. Am. Astron. Soc. Meet. Abstr. 2012, 220, 430-07. [Google Scholar]
- Hakimov, A.; Abdujabbarov, A.; Ahmedov, B. Magnetic fields of spherical compact stars in modified theories of gravity: f(R) type gravity and Hořava-Lifshitz gravity. Phys. Rev. D 2013, 88, 024008. [Google Scholar] [CrossRef]
- Stuchlík, Z.; Schee, J.; Abdujabbarov, A. Ultra-high-energy collisions of particles in the field of near-extreme Kehagias-Sfetsos naked singularities and their appearance to distant observers. Phys. Rev. D 2014, 89, 104048. [Google Scholar] [CrossRef]
- Stuchlík, Z.; Kološ, M. Acceleration of the charged particles due to chaotic scattering in the combined black hole gravitational field and asymptotically uniform magnetic field. Eur. Phys. J. C 2016, 76, 32. [Google Scholar] [CrossRef]
- Turimov, B.V.; Ahmedov, B.J.; Abdujabbarov, A.A. Electromagnetic Fields of Slowly Rotating Magnetized Gravastars. Mod. Phys. Lett. A 2009, 24, 733–737. [Google Scholar] [CrossRef]
- Rayimbaev, J.R.; Ahmedov, B.J.; Juraeva, N.B.; Rakhmatov, A.S. Plasma magnetosphere of deformed magnetized neutron star. Astrophys. Space Sci. 2015, 356, 301–308. [Google Scholar] [CrossRef]
- Turimov, B.V.; Ahmedov, B.J.; Hakimov, A.A. Stationary electromagnetic fields of slowly rotating relativistic magnetized star in the braneworld. Phys. Rev. D 2017, 96, 104001. [Google Scholar] [CrossRef]
- Rayimbaev, J.; Turimov, B.; Ahmedov, B. Braneworld effects in plasma magnetosphere of a slowly rotating magnetized neutron star. Int. J. Mod. Phys. D 2019, 28, 1950128. [Google Scholar] [CrossRef]
- Rayimbaev, J.; Turimov, B.; Palvanov, S. Plasma magnetosphere of slowly rotating magnetized neutron star in branewold. Int. J. Mod. Phys. Conf. Ser. 2019, 49, 1960019. [Google Scholar] [CrossRef]
- Rayimbaev, J.; Tadjimuratov, P. Can modified gravity silence radio-loud pulsars? Phys. Rev. D 2020, 102, 024019. [Google Scholar] [CrossRef]
- Turimov, B.; Ahmedov, B.; Abdujabbarov, A.; Bambi, C. Electromagnetic fields of slowly rotating magnetized compact stars in conformal gravity. Phys. Rev. D 2018, 97, 124005. [Google Scholar] [CrossRef]
- Turimov, B. Electromagnetic fields in vicinity of tidal charged static black hole. Int. J. Mod. Phys. D 2018, 27, 1850092. [Google Scholar] [CrossRef]
- Rayimbaev, J.; Turimov, B.; Marcos, F.; Palvanov, S.; Rakhmatov, A. Particle acceleration and electromagnetic field of deformed neutron stars. Mod. Phys. Lett. A 2020, 35, 2050056. [Google Scholar] [CrossRef]
- Penrose, R. Solutions of the Zero-Rest-Mass Equations. J. Math. Phys. 1969, 10, 38–39. [Google Scholar] [CrossRef]
- Blandford, R.D.; Znajek, R.L. Electromagnetic extraction of energy from Kerr black holes. Mon. Not. R. Astron. Soc. 1977, 179, 433–456. [Google Scholar] [CrossRef]
- Dhurandhar, S.V.; Dadhich, N. Energy extraction processes near a Kerr black hole immersed in a magnetic field. Bull. Astron. Soc. India 1983, 11, 85. [Google Scholar]
- Dhurandhar, S.V.; Dadhich, N. Energy-extraction processes from a Kerr black hole immersed in a magnetic field. I. Negative-energy states. Phys. Rev. D 1984, 29, 2712–2720. [Google Scholar] [CrossRef]
- Dhurandhar, S.V.; Dadhich, N. Energy-extraction processes from a Kerr black hole immersed in a magnetic field. II. The formalism. Phys. Rev. D 1984, 30, 1625–1631. [Google Scholar] [CrossRef]
- Wagh, S.M.; Dhurandhar, S.V.; Dadhich, N. Revival of the Penrose process for astrophysical applications. Astrophys. J. 1985, 290, 12–14. [Google Scholar] [CrossRef]
- Bañados, M.; Silk, J.; West, S.M. Kerr Black Holes as Particle Accelerators to Arbitrarily High Energy. Phys. Rev. Lett. 2009, 103, 111102. [Google Scholar] [CrossRef]
- Abdujabbarov, A.A.; Ahmedov, B.J.; Kagramanova, V.G. Particle motion and electromagnetic fields of rotating compact gravitating objects with gravitomagnetic charge. Gen. Relativ. Gravit. 2008, 40, 2515–2532. [Google Scholar] [CrossRef]
- Abdujabbarov, A.A.; Tursunov, A.A.; Ahmedov, B.J.; Kuvatov, A. Acceleration of particles by black hole with gravitomagnetic charge immersed in magnetic field. Astrophys. Space Sci. 2013, 343, 173–179. [Google Scholar] [CrossRef]
- Abdujabbarov, A.A.; Ahmedov, B.J.; Jurayeva, N.B. Charged-particle motion around a rotating non-Kerr black hole immersed in a uniform magnetic field. Phys. Rev. D 2013, 87, 064042. [Google Scholar] [CrossRef]
- Abdujabbarov, A.; Ahmedov, B.; Rahimov, O.; Salikhbaev, U. Magnetized particle motion and acceleration around a Schwarzschild black hole in a magnetic field. Phys. Scr. 2014, 89, 084008. [Google Scholar] [CrossRef]
- Narzilloev, B.; Rayimbaev, J.; Shaymatov, S.; Abdujabbarov, A.; Ahmedov, B.; Bambi, C. Can the dynamics of test particles around charged stringy black holes mimic the spin of Kerr black holes? Phys. Rev. D 2020, 102, 044013. [Google Scholar] [CrossRef]
- Narzilloev, B.; Abdujabbarov, A.; Bambi, C.; Ahmedov, B. Charged particle motion around a quasi-Kerr compact object immersed in an external magnetic field. Phys. Rev. D 2019, 99, 104009. [Google Scholar] [CrossRef]
- Oteev, T.; Abdujabbarov, A.; Stuchlík, Z.; Ahmedov, B. Energy extraction and particle acceleration around a rotating black hole in quintessence. Astrophys. Space Sci. 2016, 361, 269. [Google Scholar] [CrossRef]
- Benavides-Gallego, C.A.; Abdujabbarov, A.; Malafarina, D.; Ahmedov, B.; Bambi, C. Charged particle motion and electromagnetic field in γ spacetime. Phys. Rev. D 2019, 99, 044012. [Google Scholar] [CrossRef]
- Benavides-Gallego, C.A.; Abdujabbarov, A.; Malafarina, D.; Bambi, C. Quasi-harmonic oscillations of charged particles in static axially symmetric space-times immersed in a uniform magnetic field. Phys. Rev. D 2020, 101, 124024. [Google Scholar] [CrossRef]
- Tursunov, A.; Kološ, M.; Abdujabbarov, A.; Ahmedov, B.; Stuchlík, Z. Acceleration of particles in spacetimes of black string. Phys. Rev. D 2013, 88, 124001. [Google Scholar] [CrossRef]
- Tursunov, A.; Stuchlík, Z.; Kološ, M. Circular orbits and related quasiharmonic oscillatory motion of charged particles around weakly magnetized rotating black holes. Phys. Rev. D 2016, 93, 084012. [Google Scholar] [CrossRef]
- Kološ, M.; Stuchlík, Z.; Tursunov, A. Quasi-harmonic oscillatory motion of charged particles around a Schwarzschild black hole immersed in a uniform magnetic field. Class. Quantum Gravity 2015, 32, 165009. [Google Scholar] [CrossRef]
- Kološ, M.; Tursunov, A.; Stuchlík, Z. Possible signature of magnetic fields related to quasi-periodic oscillation observed in microquasars. Eur. Phys. J. C 2017, 77, 860. [Google Scholar] [CrossRef]
- Tursunov, A.A.; Kološ, M. Constraints on Mass, Spin and Magnetic Field of Microquasar H 1743–322 from Observations of QPOs. Phys. At. Nucl. 2018, 81, 279–282. [Google Scholar] [CrossRef]
- Tursunov, A.; Kološ, M.; Stuchlík, Z.; Gal’tsov, D.V. Radiation Reaction of Charged Particles Orbiting a Magnetized Schwarzschild Black Hole. Astrophys. J. 2018, 861, 2. [Google Scholar] [CrossRef]
- Shaymatov, S.; Ahmedov, B.; Stuchlík, Z.; Abdujabbarov, A. Effect of an external magnetic field on particle acceleration by a rotating black hole surrounded with quintessential energy. Int. J. Mod. Phys. D 2018, 27, 1850088. [Google Scholar] [CrossRef]
- Shaymatov, S.; Malafarina, D.; Ahmedov, B. Effect of perfect fluid dark matter on particle motion around a static black hole immersed in an external magnetic field. arXiv 2020, arXiv:2004.06811. [Google Scholar]
- Kimura, M.; Nakao, K.I.; Tagoshi, H. Acceleration of colliding shells around a black hole: Validity of the test particle approximation in the Banados-Silk-West process. Phys. Rev. D 2011, 83, 044013. [Google Scholar] [CrossRef]
- Zaslavskii, O.B. Energy extraction from extremal charged black holes due to the Banados-Silk-West effect. Phys. Rev. D 2012, 86, 124039. [Google Scholar] [CrossRef]
- Bañados, M.; Hassanain, B.; Silk, J.; West, S.M. Emergent flux from particle collisions near a Kerr black hole. Phys. Rev. D 2011, 83, 023004. [Google Scholar] [CrossRef]
- Shaymatov, S.; Atamurotov, F.; Ahmedov, B. Isofrequency pairing of circular orbits in Schwarzschild spacetime in the presence of magnetic field. Astrophys. Space Sci. 2014, 350, 413–419. [Google Scholar] [CrossRef]
- Patil, M.; Hakimov, A.A.; Shaymatov, S.R. Particle acceleration in Kerr-TAUB-NUT naked singularities. NEWS Natl. Acad. Sci. Repub. Kazakhstan 2014, 294, 33–38. [Google Scholar]
- Igata, T.; Harada, T.; Kimura, M. Effect of a weak electromagnetic field on particle acceleration by a rotating black hole. Phys. Rev. D 2012, 85, 104028. [Google Scholar] [CrossRef]
- Toshmatov, B.; Abdujabbarov, A.; Ahmedov, B.; Stuchlík, Z. Motion and high energy collision of magnetized particles around a Hořava-Lifshitz black hole. Astrophys. Space Sci. 2015, 360, 19. [Google Scholar] [CrossRef]
- Gao, S.; Zhong, C. Non-extremal Kerr black holes as particle accelerators. Phys. Rev. D 2011, 84, 044006. [Google Scholar] [CrossRef]
- Liu, C.; Chen, S.; Ding, C.; Jing, J. Particle acceleration on the background of the Kerr-Taub-NUT spacetime. Phys. Lett. B 2011, 701, 285–290. [Google Scholar] [CrossRef]
- Patil, M.; Joshi, P.S.; Malafarina, D. Naked singularities as particle accelerators. II. Phys. Rev. D 2011, 83, 064007. [Google Scholar] [CrossRef]
- Patil, M.; Joshi, P.S.; Kimura, M.; Nakao, K.I. Acceleration of particles and shells by Reissner-Nordström naked singularities. Phys. Rev. D 2012, 86, 084023. [Google Scholar] [CrossRef]
- Patil, M.; Joshi, P.S. Naked singularities as particle accelerators. Phys. Rev. D 2010, 82, 104049. [Google Scholar] [CrossRef]
- Zaslavskii, O.B. Acceleration of particles by black holes: Kinematic explanation. Phys. Rev. D 2011, 84, 024007. [Google Scholar] [CrossRef]
- Zaslavskii, O.B. Acceleration of particles by nonrotating charged black holes? Sov. J. Exp. Theor. Phys. Lett. 2010, 92, 571–574. [Google Scholar] [CrossRef]
- Zaslavskii, O.B. Acceleration of particles by black holes—A general explanation. Class. Quantum Gravity 2011, 28, 105010. [Google Scholar] [CrossRef]
- Ghosh, S.G.; Sheoran, P.; Amir, M. Rotating Ayón-Beato-García black hole as a particle accelerator. Phys. Rev. D 2014, 90, 103006. [Google Scholar] [CrossRef]
- Shaymatov, S.R.; Ahmedov, B.J.; Abdujabbarov, A.A. Particle acceleration near a rotating black hole in a Randall-Sundrum brane with a cosmological constant. Phys. Rev. D 2013, 88, 024016. [Google Scholar] [CrossRef]
- Narzilloev, B.; Rayimbaev, J.; Abdujabbarov, A.; Bambi, C. Charged particle motion around non-singular black holes in conformal gravity in the presence of external magnetic field. arXiv 2020, arXiv:2005.04752. [Google Scholar]
- De Laurentis, M.; Younsi, Z.; Porth, O.; Mizuno, Y.; Rezzolla, L. Test-particle dynamics in general spherically symmetric black hole spacetimes. Phys. Rev. D 2018, 97, 104024. [Google Scholar] [CrossRef]
- Morozova, V.S.; Rezzolla, L.; Ahmedov, B.J. Nonsingular electrodynamics of a rotating black hole moving in an asymptotically uniform magnetic test field. Phys. Rev. D 2014, 89, 104030. [Google Scholar] [CrossRef]
- Nathanail, A.; Most, E.R.; Rezzolla, L. Gravitational collapse to a Kerr-Newman black hole. Mon. Not. R. Astron. Soc. Lett. 2017, 469, L31–L35. [Google Scholar] [CrossRef]
- Dadhich, N.; Tursunov, A.; Ahmedov, B.; Stuchlík, Z. The distinguishing signature of magnetic Penrose process. Mon. Not. R. Astron. Soc 2018, 478, L89–L94. [Google Scholar] [CrossRef]
- Zaslavskii, O.B. Energetics of particle collisions near dirty rotating extremal black holes: Banados-Silk-West effect versus Penrose process. Phys. Rev. D 2012, 86, 084030. [Google Scholar] [CrossRef]
- Dadhich, N. Magnetic Penrose Process and Blanford-Zanejk mechanism: A clarification. arXiv 2012, arXiv:1210.1041. [Google Scholar]
- Abdujabbarov, A.; Ahmedov, B.; Ahmedov, B. Energy extraction and particle acceleration around a rotating black hole in Hořava-Lifshitz gravity. Phys. Rev. D 2011, 84, 044044. [Google Scholar] [CrossRef]
- Turimov, B.; Toshmatov, B.; Ahmedov, B.; Stuchlík, Z. Quasinormal modes of magnetized black hole. Phy. Rev. D 2019, 100, 084038. [Google Scholar] [CrossRef]
- Turimov, B.; Ahmedov, B.; Abdujabbarov, A.; Bambi, C. Gravitational lensing by a magnetized compact object in the presence of plasma. Int. J. Mod. Phys. D 2019, 28, 2040013. [Google Scholar] [CrossRef]
- Ahmedov, B.; Turimov, B.; Stuchlík, Z.; Tursunov, A. Optical properties of magnetized black hole in plasma. Int. J. Mod. Phys. Conf. Ser. 2019, 49, 1960018. [Google Scholar] [CrossRef]
- de Felice, F.; Sorge, F. Magnetized orbits around a Schwarzschild black hole. Class. Quantum Gravity 2003, 20, 469–481. [Google Scholar] [CrossRef]
- de Felice, F.; Sorge, F.; Zilio, S. Magnetized orbits around a Kerr black hole. Class. Quantum Gravity 2004, 21, 961–973. [Google Scholar] [CrossRef]
- Rayimbaev, J.R. Magnetized particle motion around non-Schwarzschild black hole immersed in an external uniform magnetic field. Astrophys. Space Sci. 2016, 361, 288. [Google Scholar] [CrossRef]
- Rahimov, O.G.; Abdujabbarov, A.A.; Ahmedov, B.J. Magnetized particle capture cross section for braneworld black hole. Astrophys. Space Sci. 2011, 335, 499–504. [Google Scholar] [CrossRef][Green Version]
- Rahimov, O.G. Magnetized Particle Motion around Black Hole in Braneworld. Mod. Phys. Lett. A 2011, 26, 399–408. [Google Scholar] [CrossRef]
- Abdujabbarov, A.; Rayimbaev, J.; Turimov, B.; Atamurotov, F. Dynamics of magnetized particles around 4-D Einstein Gauss-Bonnet black hole. Phys. Dark Univ. 2020, 30, 100715. [Google Scholar] [CrossRef]
- Rayimbaev, J.; Abdujabbarov, A.; Jamil, M.; Han, W. Dynamics of magnetized particles around Einstein-Æther black hole with uniform magnetic field. arXiv 2020, arXiv:2009.04898. [Google Scholar]
- Haydarov, K.; Abdujabbarov, A.; Rayimbaev, J.; Ahmedov, B. Magnetized Particle Motion around Black Holes in Conformal Gravity: Can Magnetic Interaction Mimic Spin of Black Holes? Universe 2020, 6, 44. [Google Scholar] [CrossRef]
- Haydarov, K.; Rayimbaev, J.; Abdujabbarov, A.; Palvanov, S.; Begmatova, D. Magnetized particle motion around magnetized Schwarzschild-MOG black hole. Eur. Phys. J. C 2020, 80, 399. [Google Scholar] [CrossRef]
- Vrba, J.; Abdujabbarov, A.; Kološ, M.; Ahmedov, B.; Stuchlík, Z.; Rayimbaev, J. Charged and magnetized particles motion in the field of generic singular black holes governed by general relativity coupled to nonlinear electrodynamics. Phys. Rev. D 2020, 101, 124039. [Google Scholar] [CrossRef]
- Zipoy, D.M. Topology of Some Spheroidal Metrics. J. Math. Phys. 1966, 7, 1137–1143. [Google Scholar] [CrossRef]
- Voorhees, B.H. Static Axially Symmetric Gravitational Fields. Phys. Rev. D 1970, 2, 2119–2122. [Google Scholar] [CrossRef]
- Turimov, B.; Ahmedov, B.; Kološ, M.; Stuchlík, Z. Axially symmetric and static solutions of Einstein equations with self-gravitating scalar field. Phys. Rev. D 2018, 98, 084039. [Google Scholar] [CrossRef]
- Bambi, C. Testing black hole candidates with electromagnetic radiation. Rev. Mod. Phys. 2017, 89, 025001. [Google Scholar] [CrossRef]
- Mazur, P.O.; Mottola, E. Gravitational vacuum condensate stars. Proc. Natl. Acad. Sci. USA 2004, 101, 9545–9550. [Google Scholar] [CrossRef]
- Chirenti, C.B.M.H.; Rezzolla, L. How to tell a gravastar from a black hole. Class. Quantum Gravity 2007, 24, 4191–4206. [Google Scholar] [CrossRef]
- Chirenti, C.; Rezzolla, L. Did GW150914 produce a rotating gravastar? Phys. Rev. D 2016, 94, 084016. [Google Scholar] [CrossRef]
- Cardoso, V.; Franzin, E.; Pani, P. Is the Gravitational-Wave Ringdown a Probe of the Event Horizon? Phys. Rev. Lett. 2016, 116, 171101, Erratum in 2016, 117, 089902. [Google Scholar] [CrossRef]
- Carballo-Rubio, R.; Di Filippo, F.; Liberati, S.; Visser, M. Phenomenological aspects of black holes beyond general relativity. Phys. Rev. D 2018, 98, 124009. [Google Scholar] [CrossRef]
- Rayimbaev, J.; Figueroa, M.; Stuchlík, Z.; Juraev, B. Test particle orbits around regular black holes in general relativity combined with nonlinear electrodynamics. Phys. Rev. D 2020, 101, 104045. [Google Scholar] [CrossRef]
- Vrba, J.; Abdujabbarov, A.; Tursunov, A.; Ahmedov, B.; Stuchlík, Z. Particle motion around generic black holes coupled to non-linear electrodynamics. Eur. Phys. J. C 2019, 79, 778. [Google Scholar] [CrossRef]
- Stuchlík, Z.; Kološ, M.; Kovář, J.; Slaný, P.; Tursunov, A. Influence of Cosmic Repulsion and Magnetic Fields on Accretion Disks Rotating around Kerr Black Holes. Universe 2020, 6, 26. [Google Scholar] [CrossRef]
- Benavides-Gallego, C.A.; Abdujabbarov, A.A.; Bambi, C. Gravitational lensing for a boosted Kerr black hole in the presence of plasma. Eur. Phys. J. C 2018, 78, 694. [Google Scholar] [CrossRef]
- Mori, K.; Gotthelf, E.V.; Zhang, S.; An, H.; Baganoff, F.K.; Barrière, N.M.; Beloborodov, A.M.; Boggs, S.E.; Christensen, F.E.; Craig, W.W.; et al. NuSTAR Discovery of a 3.76 s Transient Magnetar Near Sagittarius A*. Astron. J. Lett. 2013, 770, L23. [Google Scholar] [CrossRef]
- Chandrasekhar, S. The Mathematical Theory of Black Holes; Oxford University Press: New York, NY, USA, 1998. [Google Scholar]
- Grib, A.A.; Pavlov, Y.V. On particle collisions near rotating black holes. Gravit. Cosmol. 2011, 17, 42–46. [Google Scholar] [CrossRef]
- Grib, A.A.; Pavlov, Y.V. On particle collisions in the gravitational field of the Kerr black hole. Astropart. Phys. 2011, 34, 581–586. [Google Scholar] [CrossRef]












| 0.2 | 0.01481 | 0.01672 | 0.01683 | 0.01729 | 0.01694 | 0.01649 |
| 0.5 | 0.10969 | 0.11562 | 0.126684 | 0.13488 | 0.13247 | 0.13112 |
| 0.7 | 0.28643 | 0.337 | 0.350061 | 0.37412 | 0.37139 | 0.36907 |
| 0.9 | 1.02217 | 1.22498 | 1.35529 | 1.39532 | 1.4275 | 1.42591 |
| 0.99 | 6.33322 | 7.37185 | 8.01438 | 8.20703 | 8.35397 | 8.34246 |
Publisher’s Note: MDPI stays neutral with regard to jurisdictional claims in published maps and institutional affiliations. |
© 2020 by the authors. Licensee MDPI, Basel, Switzerland. This article is an open access article distributed under the terms and conditions of the Creative Commons Attribution (CC BY) license (http://creativecommons.org/licenses/by/4.0/).
Share and Cite
Abdujabbarov, A.; Rayimbaev, J.; Atamurotov, F.; Ahmedov, B. Magnetized Particle Motion in γ-Spacetime in a Magnetic Field. Galaxies 2020, 8, 76. https://doi.org/10.3390/galaxies8040076
Abdujabbarov A, Rayimbaev J, Atamurotov F, Ahmedov B. Magnetized Particle Motion in γ-Spacetime in a Magnetic Field. Galaxies. 2020; 8(4):76. https://doi.org/10.3390/galaxies8040076
Chicago/Turabian StyleAbdujabbarov, Ahmadjon, Javlon Rayimbaev, Farruh Atamurotov, and Bobomurat Ahmedov. 2020. "Magnetized Particle Motion in γ-Spacetime in a Magnetic Field" Galaxies 8, no. 4: 76. https://doi.org/10.3390/galaxies8040076
APA StyleAbdujabbarov, A., Rayimbaev, J., Atamurotov, F., & Ahmedov, B. (2020). Magnetized Particle Motion in γ-Spacetime in a Magnetic Field. Galaxies, 8(4), 76. https://doi.org/10.3390/galaxies8040076

