The Structure of Gamma Ray Burst Jets
Abstract
1. Introduction
2. Origin of the Jet Structure
2.1. General Definition of Jet Structure
2.2. Stages in the Life of a Relativistic Jet
- Birth–jet launch: the jet is launched by the central engine. Different mechanisms have been considered to power the jet, depending on the nature of the central engine (e.g., an accreting BH [70] or a magnetar [71]). Further details are provided in Section 2.3;
- Infancy–jet head formation: the jet material expands within the low-density funnel where it formed until it collides with the dense ambient that surrounds the central engine (the progenitor star envelope or the merger ejecta), which we term ‘the progenitor vestige’. A forward-reverse shock structure forms—the jet ‘head’ [72]—where the jet momentum flux is counterbalanced by the ram pressure of the vestige material (as seen in the headrest frame—see Section 2.4);
- Childhood–jet propagation through the progenitor vestige: the jet head, which is sustained by fresh jet material flowing across the reverse shock, propagates through the progenitor vestige [30,73,74,75]. Due to the absence of lateral confinement, as soon as the head has slowed down enough as to become causally connected in the transverse direction, shocked material (both from the vestige and from the jet) is cast aside to form a hot, over-pressured cocoon that shrouds the jet and slowly expands laterally. The cocoon pressure is typically sufficient [75] to balance the lateral momentum flux of the jet material that flows from the central engine, leading to the formation of an oblique shock—the ‘re-collimation’ or ‘re-confinement’ shock [76]–where the lateral component of the jet momentum is dissipated, turning the flow from radial into cylindrical. The jet is therefore collimated by its own cocoon (Section 2.4);
- Adolescence–breakout: the jet head reaches the steep density gradient that marks the outer edge of the progenitor vestige. The head forward shock thus accelerates [77,78], the reverse shock disappears, and the jet and cocoon material starts flowing freely out of the open channel: this process is broadly referred to as the ‘jet breakout’. During this process, the forward shock transitions from an optically thick region (where photon pressure dominates and the shock is therefore radiation-mediated) to an optically thin region: during this transition, photons from the hot downstream are released producing the ‘shock breakout’ emission [79], which represents the first observable electromagnetic emission in the jet’s life. Childhood and adolescence are further described in Section 2.4;
- Adulthood–free expansion: the flow of fresh jet material from the central engine stops or diminishes significantly, setting a finite radial extent of the resulting outflow, which is now better described as an inhomogeneous shell [80] that expands radially away from the progenitor at relativistic speed. After the jet breakout, the vast majority of the shell is still optically thick to Compton scattering [3,5,81,82] (both off electrons associated with baryons in the outflow and potentially off pairs that can form within the outflow as a consequence of energy dissipation events) for another few orders of magnitude in radius. Initially, in this expansion phase, radial density gradients remain frozen (‘coasting phase’, [80,83]) until radial pressure waves have the time to cross the outflow, leading to a radial spreading phase. During the free expansion phase, radial inhomogeneities in the bulk Lorentz factor can lead to the development of internal shocks [84], which have long been considered one of the main candidate mechanisms for the dissipation and subsequent radiation of the outflow’s energy. Internal-shock-induced turbulence [85] has also been proposed as a possible triggering mechanism for magnetic reconnection (see also, e.g., [86,87]), which represents the other leading scenario for the dissipation of the outflow’s energy in this phase;
- Seniority–external shock: the shell expands into the external low-density medium that surrounds the progenitor, which can be just the interstellar medium (ISM) or a stellar bubble inflated by the progenitor’s stellar wind [88]. As soon as the shell has swept a sufficient amount of external medium, corresponding to a rest mass energy equal to the shell’s kinetic energy divided by the square of its bulk Lorentz factor [80,89], the expansion starts to be affected: a forward-reverse shock structure forms, with the reverse shock quickly crossing the entire shell [90,91], initiating the deceleration of the latter and the transfer of its energy to the forward-shocked external medium. Soon after the start of the deceleration, the forward shock settles into a self-similar expansion phase [83,92], erasing any memory of the details of the shell radial structure. The angular structure remains unaffected as most of the shocked shell is out of causal contact in the transverse direction;
- Senility–lateral spreading and transition to non-relativistic expansion: as soon as the transverse sound crossing time scale becomes shorter than the dynamical expansion time scale (or, in other terms, the angular size of causally connected regions starts to exceed the reciprocal of the local bulk Lorentz factor), pressure waves start to level out angular inhomogeneities, initiating a lateral expansion phase [11,32,43,89,93,94,95] which increases the shock working surface, therefore increasing the shock deceleration rate. The shock soon transitions to a non-relativistic expansion phase, slowly converging towards the Sedov–Taylor spherical blastwave behavior.
2.3. Models of Jet-Launching Central Engines
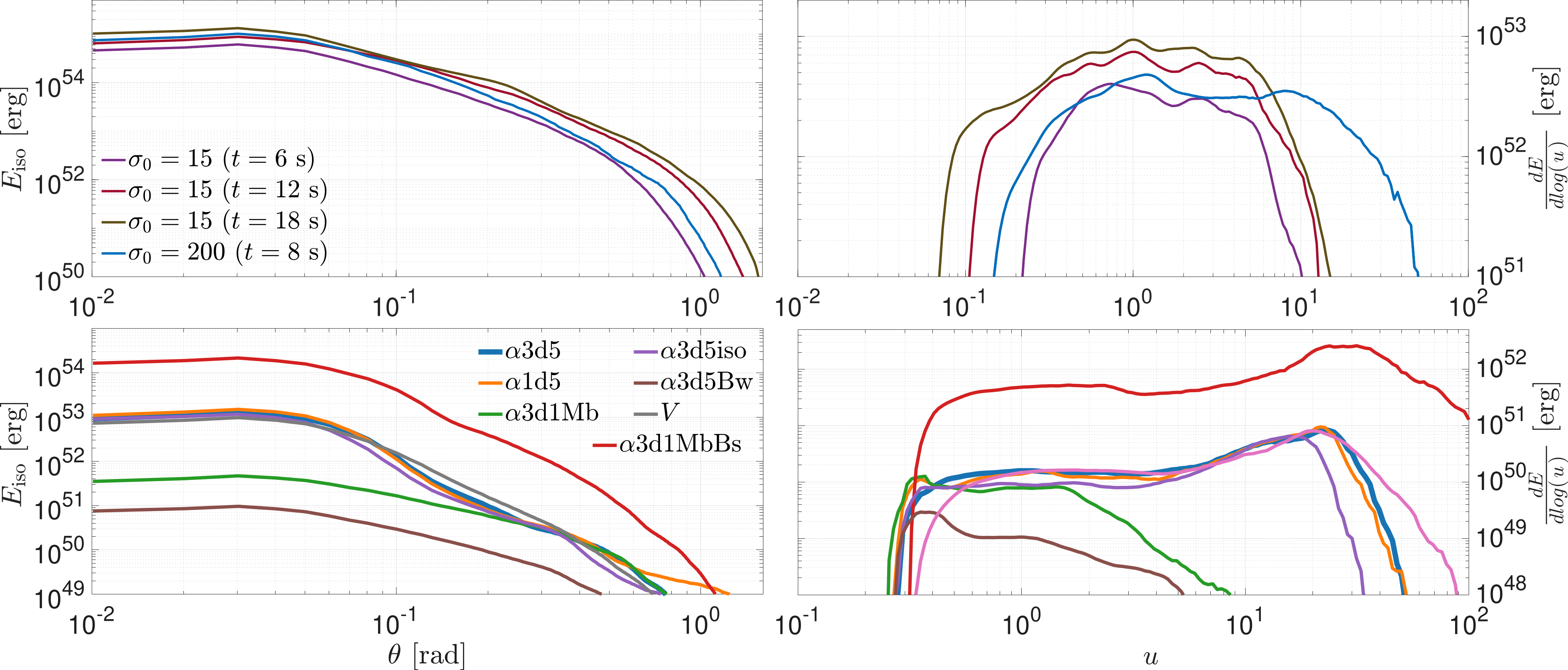
2.4. Models of Jet Propagation through the Progenitor Vestige
2.5. Jet and Cocoon Breakout
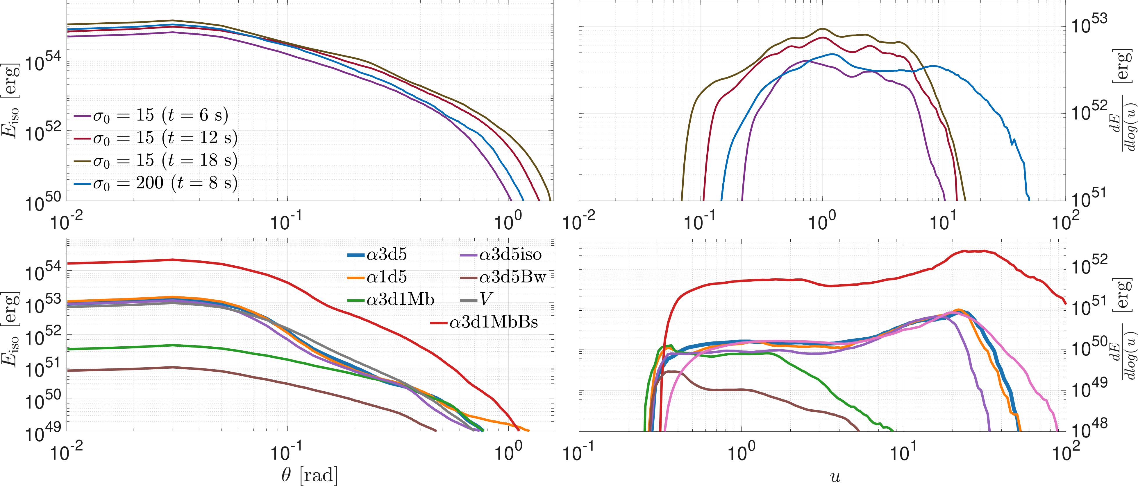
2.6. Expected General Features of the Jet Structure in GRBs
3. Prompt Emission from a Structured Jet
3.1. Observed Temporal and Spectral Poperties of GRB Prompt Emission
3.2. On the Synchrotron Origin of GRB Prompt Emission
3.3. Correlations between Spectral Peak Frequency and Energetics
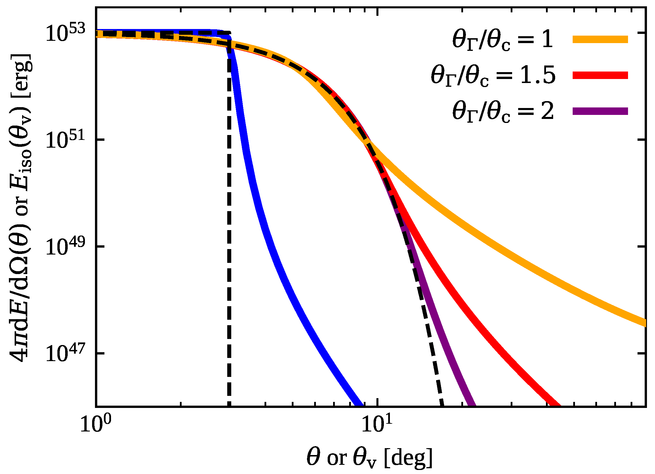
3.4. Impact of Jet Structure on the Prompt Emission Observables
3.5. The GRB Luminosity Function and the Jet Structure
3.6. Jet Structure and the Correlation

3.7. Jet Structure and ‘Late-Prompt’ Emission
4. Afterglow Emission from a Structured Jet
4.1. Jet Structure and the Early Afterglow
4.2. Jet Structure and the Late Afterglow
5. Gw170817 and GRB170817A: An Observational Test-Bed for Off-Axis Structured Jet Theory
6. Concluding Remarks
Funding
Acknowledgments
Conflicts of Interest
Abbreviations
| GRB | Gamma Ray Burst |
| NS | Neutron Star |
| BH | Black Hole |
| AGN | Active Galactic Nucleus |
| CGRO | Compton Gamma Ray Observatory |
| BATSE | Burst And Transient Source Experiment |
| GBM | Gamma-ray Burst Monitor |
| BAT | Burst Alert Telescope |
| XRT | X-ray Telescope |
| SSC | Synchrotron Self Compton |
| LAT | Large Area Telescope |
References
- Cavallo, G.; Rees, M.J. A qualitative study of cosmic fireballs and gamma-ray bursts. MNRAS 1978, 183, 359–365. [Google Scholar] [CrossRef]
- Paczynski, B. Gamma-ray bursters at cosmological distances. Astrophys. J. 1986, 308, L43–L46. [Google Scholar] [CrossRef]
- Goodman, J. Are gamma-ray bursts optically thick? Astrophys. J. 1986, 308, L47. [Google Scholar] [CrossRef]
- Krolik, J.H.; Pier, E.A. Relativistic motion in gamma-ray bursts. Astrophys. J. 1991, 373, 277–284. [Google Scholar] [CrossRef]
- Lithwick, Y.; Sari, R. Lower limits on Lorentz factors in gamma-ray bursts. Astrophys. J. 2001, 555, 540–545. [Google Scholar]
- Taylor, G.B.; Frail, D.A.; Berger, E.; Kulkarni, S.R. The Angular Size and Proper Motion of the Afterglow of GRB 030329. Astrophys. J. 2004, 69, L1. [Google Scholar]
- Rees, M.J. Appearance of Relativistically Expanding Radio Sources. Nature 1966, 211, 468–470. [Google Scholar] [CrossRef]
- Rhoads, J.E. How to Tell a Jet from a Balloon: A Proposed Test for Beaming in Gamma-Ray Bursts. Astrophys. J. 1997, 487, L1. [Google Scholar]
- Briggs, M.S.; Band, D.L.; Kippen, R.M.; Preece, R.D.; Kouveliotou, C.; van Paradijs, J.; Share, G.H.; Murphy, R.J.; Matz, S.M.; Connors, A.; et al. Observations of GRB 990123 by theCompton gamma ray observatory. Astrophys. J. 1999, 524, 82–91. [Google Scholar]
- Preece, R.; Michael Burgess, J.; von Kienlin, A.; Bhat, P.N.; Briggs, M.S.; Byrne, D.; Chaplin, V.; Cleveland, W.; Collazzi, A.C.; Connaughton, V.; et al. The First Pulse of the Extremely Bright GRB 130427A: A Test Lab for Synchrotron Shocks. Science 2013, 343, 51–54. [Google Scholar]
- Rhoads, J.E. The Dynamics and Light Curves of Beamed Gamma-Ray Burst Afterglows. Astrophys. J. 1999, 525, 737–749. [Google Scholar] [CrossRef]
- Fruchter, A.S.; Thorsett, S.E.; Metzger, M.R.; Sahu, K.C.; Petro, L.; Livio, M.; Ferguson, H.; Pian, E.; Hogg, D.W.; Galama, T.; et al. Hubble Space Telescope and Palomar Imaging of GRB 990123: Implications for the Nature of Gamma-Ray Bursts and Their Hosts. Astrophys. J. 1999, 519, L13. [Google Scholar]
- Kulkarni, S.R.; Djorgovski, S.G.; Odewahn, S.C.; Bloom, J.S.; Gal, R.R.; Koresko, C.D.; Harrison, F.A.; Lubin, L.M.; Armus, L.; Sari, R.; et al. The afterglow, redshift and extreme energetics of the γ-ray burst of 23 January 1999. Nature 1999, 398, 389–394. [Google Scholar] [CrossRef][Green Version]
- Stanek, K.Z.; Garnavich, P.M.; Kaluzny, J.; Pych, W.; Thompson, I. BVRI Observations of the Optical Afterglow of GRB 990510*. Astrophys. J. 1999, 522, L39. [Google Scholar] [CrossRef]
- Harrison, F.A.; Bloom, J.S.; Frail, D.A.; Sari, R.; Kulkarni, S.R.; Djorgovski, S.G.; Axelrod, T.; Mould, J.; Schmidt, B.P.; Wieringa, M.H.; et al. Optical and Radio Observations of the Afterglow from GRB 990510: Evidence for a Jet. Astrophys. J. 1999, 523, L121. [Google Scholar] [CrossRef]
- Chandra, P.; Frail, D.A. A Radio-selected Sample of Gamma-Ray Burst Afterglows. Astrophys. J. 2012, 746, 156. [Google Scholar] [CrossRef]
- Lu, R.J.; Wei, J.J.; Qin, S.F.; Liang, E.W. Selection Effects on the Observed Redshift Dependence of Gamma-Ray Burst Jet Opening Angles. Astrophys. J. 2012, 745, 168. [Google Scholar] [CrossRef]
- Frail, D.A.; Kulkarni, S.R.; Sari, R.; Djorgovski, S.G.; Bloom, J.S.; Galama, T.J.; Reichart, D.E.; Berger, E.; Harrison, F.A.; Price, P.A.; et al. Beaming in Gamma-Ray Bursts: Evidence for a Standard Energy Reservoir. Astrophys. J. 2001, 562, L55. [Google Scholar] [CrossRef]
- Fong, W.; Berger, E.; Margutti, R.; Zauderer, B.A. A decade of short-duration gamma-ray burst broadband afterglows: Energetics, circumburst densities, and jet opening angles. Astrophys. J. 2015, 815, 102. [Google Scholar]
- Berger, E.; Kulkarni, S.R.; Frail, D.A. A Standard Kinetic Energy Reservoir in Gamma-Ray Burst Afterglows. Astrophys. J. 2003, 590, 379. [Google Scholar] [CrossRef]
- Ghirlanda, G.; Ghisellini, G.; Lazzati, D. The Collimation-corrected Gamma-Ray Burst Energies Correlate with the Peak Energy of Their νFν Spectrum. Astrophys. J. 2004, 616, 331. [Google Scholar] [CrossRef]
- Zhang, B.; Mészáros, P. Gamma-Ray Burst Beaming: A Universal Configuration with a Standard Energy Reservoir? Astrophys. J. 2002, 571, 876. [Google Scholar] [CrossRef]
- Lipunov, V.M.; Postnov, K.A.; Prokhorov, M.E. Gamma-Ray Bursts as Standard-Energy Explosions. Astron. Rep. 2001, 45, 236–240. [Google Scholar] [CrossRef]
- Rossi, E.; Lazzati, D.; Rees, M.J. Afterglow light curves, viewing angle and the jet structure of γ-ray bursts. MNRAS 2002, 332, 945–950. [Google Scholar] [CrossRef]
- Abbott, B.P.; Abbott, R.; Abbott, T.D.; Acernese, F.; Ackley, K.; Adams, C.; Adams, T.; Addesso, P.; Adhikari, R.X.; Adya, V.B.; et al. GW170817: Observation of Gravitational Waves from a Binary Neutron Star Inspiral. Phys. Rev. Lett. 2017, 119, 161101. [Google Scholar] [CrossRef]
- Abbott, B.P.; Abbott, R.; Abbott, T.D.; Acernese, F.; Ackley, K.; Adams, C.; Adams, T.; Addesso, P.; Adhikari, R.X.; Adya, V.B.; et al. Gravitational Waves and Gamma-Rays from a Binary Neutron Star Merger: GW170817 and GRB 170817A. Astrophys. J. 2017, 848, L13. [Google Scholar] [CrossRef]
- Abbott, B.P.; Abbott, R.; Abbott, T.D.; Acernese, F.; Ackley, K.; Adams, C.; Adams, T.; Addesso, P.; Adhikari, R.X.; Adya, V.B.; et al. Multi-messenger Observations of a Binary Neutron Star Merger. Astrophys. J. 2017, 848, L12. [Google Scholar] [CrossRef]
- SAO/NASA. Astrophysics Data System (ADS). Available online: https://ui.adsabs.harvard.edu/ (accessed on 10 June 2022).
- Lazzati, D.; Begelman, M.C. Universal GRB Jets from Jet-Cocoon Interaction in Massive Stars. Astrophys. J. 2005, 629, 903. [Google Scholar] [CrossRef]
- Morsony, B.J.; Lazzati, D.; Begelman, M.C. Temporal and Angular Properties of Gamma-Ray Burst Jets Emerging from Massive Stars. Astrophys. J. 2007, 665, 569–598. [Google Scholar] [CrossRef]
- Granot, J.; Kumar, P. Constraining the Structure of Gamma-Ray Burst Jets through the Afterglow Light Curves. Astrophys. J. 2003, 591, 1086. [Google Scholar] [CrossRef]
- Kumar, P.; Granot, J. The Evolution of a Structured Relativistic Jet and Gamma-Ray Burst Afterglow Light Curves. Astrophys. J. 2003, 591, 1075–1085. [Google Scholar] [CrossRef]
- Ghisellini, G.; Tavecchio, F.; Chiaberge, M. Structured jets in TeV BL Lac objects and radiogalaxies-Implications for the observed properties. Astron. Astrophys. Suppl. Ser. 2005, 432, 401–410. [Google Scholar] [CrossRef]
- Racusin, J.L.; Karpov, S.V.; Sokolowski, M.; Granot, J.; Wu, X.F.; Pal’shin, V.; Covino, S.; van der Horst, A.J.; Oates, S.R.; Schady, P.; et al. Broadband observations of the naked-eye gamma-ray burst GRB 080319B. Nature 2008, 455, 183–188. [Google Scholar] [CrossRef] [PubMed]
- van der Horst, A.J.; Rol, E.; Wijers, R.A.M.; Strom, R.; Kaper, L.; Kouveliotou, C. The Radio Afterglow of GRB 030329 at Centimeter Wavelengths: Evidence for a Structured Jet or Nonrelativistic Expansion. Astrophys. J. 2005, 634, 1166. [Google Scholar] [CrossRef][Green Version]
- Granot, J. Afterglow Light Curves from Impulsive Relativistic Jets with an Unconventional Structure. Astrophys. J. 2005, 631, 1022. [Google Scholar] [CrossRef]
- Salmonson, J.D. Perspective on Afterglows: Numerically Computed Views, Light Curves, and the Analysis of Homogeneous and Structured Jets with Lateral Expansion. Astrophys. J. 2003, 592, 1002. [Google Scholar] [CrossRef]
- Perna, R.; Sari, R.; Frail, D. Jets in Gamma-Ray Bursts: Tests and Predictions for the Structured Jet Model. Astrophys. J. 2003, 594, 379–384. [Google Scholar] [CrossRef]
- Dai, X.; Zhang, B. A Global Test of a Quasi-universal Gamma-Ray Burst Jet Model through Monte Carlo Simulations. Astrophys. J. 2005, 621, 875–883. [Google Scholar] [CrossRef][Green Version]
- Lloyd-Ronning, N.M.; Dai, X.; Zhang, B. On the Structure of Quasi-universal Jets for Gamma-Ray Bursts. Astrophys. J. 2004, 601, 371–379. [Google Scholar] [CrossRef]
- Nakar, E.; Granot, J.; Guetta, D. Testing the Predictions of the Universal Structured Gamma-Ray Burst Jet Model. Astrophys. J. 2004, 606, L37–L40. [Google Scholar]
- Ghisellini, G.; Lazzati, D. Polarization light curves and position angle variation of beamed gamma-ray bursts. MNRAS 1999, 309, L7–L11. [Google Scholar] [CrossRef]
- Rossi, E.M.; Lazzati, D.; Salmonson, J.D.; Ghisellini, G. The polarization of afterglow emission reveals γ-ray bursts jet structure. MNRAS 2004, 354, 86–100. [Google Scholar] [CrossRef]
- Lazzati, D.; Covino, S.; Gorosabel, J.; Rossi, E.; Ghisellini, G.; Rol, E.; Castro Cerón, J.M.; Castro-Tirado, A.J.; Della Valle, M.; di Serego Alighieri, S.; et al. On the jet structure and magnetic field configuration of GRB 020813. Astron. Astrophys. 2004, 422, 121–128. [Google Scholar]
- Gill, R.; Kole, M.; Granot, J. GRB Polarization: A Unique Probe of GRB Physics. Galaxies 2021, 9, 82. [Google Scholar] [CrossRef]
- Totani, T.; Panaitescu, A. Orphan Afterglows of Collimated Gamma-Ray Bursts: Rate Predictions and Prospects for Detection. ApJ 2002, 576, 120–134. [Google Scholar] [CrossRef]
- Granot, J.; Panaitescu, A.; Kumar, P.; Woosley, S.E. Off-Axis Afterglow Emission from Jetted Gamma-Ray Bursts. Astrophys. J. 2002, 570, L61–L64. [Google Scholar] [CrossRef]
- Nakar, E.; Piran, T.; Granot, J. The Detectability of Orphan Afterglows. Astrophys. J. 2002, 579, 699–705. [Google Scholar] [CrossRef]
- Rau, A.; Greiner, J.; Schwarz, R. Constraining the GRB collimation with a survey for orphan afterglows. Astron. Astrophys. 2006, 449, 79–88. [Google Scholar] [CrossRef]
- Perna, R.; Loeb, A. Constraining the Beaming of Gamma-Ray Bursts with Radio Surveys. Astrophys. J. 1998, 509, L85–L88. [Google Scholar] [CrossRef]
- Rossi, E.M.; Perna, R.; Daigne, F. ‘Orphan’ afterglows in the Universal structured jet model for γ-ray bursts. MNRAS 2008, 390, 675–682. [Google Scholar]
- Ghirlanda, G.; Burlon, D.; Ghisellini, G.; Salvaterra, R.; Bernardini, M.G.; Campana, S.; Covino, S.; D’Avanzo, P.; D’Elia, V.; Melandri, A.; et al. GRB Orphan Afterglows in Present and Future Radio Transient Surveys. PASA 2014, 31, e022. [Google Scholar] [CrossRef][Green Version]
- Ghirlanda, G.; Salvaterra, R.; Campana, S.; Vergani, S.D.; Japelj, J.; Bernardini, M.G.; Burlon, D.; D’Avanzo, P.; Melandri, A.; Gomboc, A.; et al. Unveiling the population of orphan γ-ray bursts. Astron. Astrophys. 2015, 578, A71. [Google Scholar] [CrossRef]
- Granot, J. The Structure and Dynamics of GRB Jets. arXiv 2017, arXiv:astro-ph/0610379. [Google Scholar]
- Goldstein, A.; Veres, P.; Burns, E.; Briggs, M.S.; Hamburg, R.; Kocevski, D.; Wilson-Hodge, C.A.; Preece, R.D.; Poolakkil, S.; Roberts, O.J.; et al. An Ordinary Short Gamma-Ray Burst with Extraordinary Implications: Fermi-GBM Detection of GRB 170817A. Astrophys. J. 2017, 848, L14. [Google Scholar] [CrossRef]
- Savchenko, V.; Ferrigno, C.; Kuulkers, E.; Bazzano, A.; Bozzo, E.; Brandt, S.; Chenevez, J.; Courvoisier, T.J.L.; Diehl, R.; Domingo, A.; et al. INTEGRAL Detection of the First Prompt Gamma-Ray Signal Coincident with the Gravitational-wave Event GW170817. Astrophys. J. 2017, 848, L15. [Google Scholar] [CrossRef]
- Lamb, G.P.; Kobayashi, S. Electromagnetic counterparts to structured jets from gravitational wave detected mergers. Mon. Not. R. Astron. Soc. 2017, 472, 4953–4964. [Google Scholar]
- D’Avanzo, P.; Campana, S.; Salafia, O.S.; Ghirlanda, G.; Ghisellini, G.; Melandri, A.; Bernardini, M.G.; Branchesi, M.; Chassande-Mottin, E.; Covino, S.; et al. The evolution of the X-ray afterglow emission of GW 170817/GRB 170817A in XMM-Newton observations. Astron. Astrophys. Suppl. Ser. 2018, 613, L1. [Google Scholar] [CrossRef]
- Alexander, K.D.; Margutti, R.; Blanchard, P.K.; Fong, W.; Berger, E.; Hajela, A.; Eftekhari, T.; Chornock, R.; Cowperthwaite, P.S.; Giannios, D.; et al. A Decline in the X-ray through Radio Emission from GW170817 Continues to Support an Off-axis Structured Jet. Astrophys. J. Lett. 2018, 863, L18. [Google Scholar] [CrossRef]
- Margutti, R.; Alexander, K.D.; Xie, X.; Sironi, L.; Metzger, B.D.; Kathirgamaraju, A.; Fong, W.; Blanchard, P.K.; Berger, E.; MacFadyen, A.; et al. The Binary Neutron Star Event LIGO/Virgo GW170817 160 Days after Merger: Synchrotron Emission across the Electromagnetic Spectrum. Astrophys. J. 2018, 856, L18. [Google Scholar]
- Troja, E.; Piro, L.; Ryan, G.; van Eerten, H.; Ricci, R.; Wieringa, M.H.; Lotti, S.; Sakamoto, T.; Cenko, S.B. The outflow structure of GW170817 from late-time broad-band observations. Mon. Not. R. Astron. Soc. 2018, 478, L18–L23. [Google Scholar] [CrossRef]
- Lazzati, D.; Perna, R.; Morsony, B.J.; Lopez-Camara, D.; Cantiello, M.; Ciolfi, R.; Giacomazzo, B.; Workman, J.C. Late Time Afterglow Observations Reveal a Collimated Relativistic Jet in the Ejecta of the Binary Neutron Star Merger GW170817. Phys. Rev. Lett. 2018, 120, 241103. [Google Scholar] [PubMed]
- Resmi, L.; Schulze, S.; Ishwara-Chandra, C.H.; Misra, K.; Buchner, J.; De Pasquale, M.; Sánchez-Ramírez, R.; Klose, S.; Kim, S.; Tanvir, N.R.; et al. Low-frequency View of GW170817/GRB 170817A with the Giant Metrewave Radio Telescope. Astrophys. J. 2018, 867, 57. [Google Scholar]
- Wu, Y.; MacFadyen, A. Constraining the Outflow Structure of the Binary Neutron Star Merger Event GW170817/GRB170817A with a Markov Chain Monte Carlo Analysis. Astrophys. J. 2018, 869, 55. [Google Scholar] [CrossRef]
- Ryan, G.; van Eerten, H.; Piro, L.; Troja, E. Gamma-Ray Burst Afterglows in the Multimessenger Era: Numerical Models and Closure Relations. Astrophys. J. 2020, 896, 166. [Google Scholar] [CrossRef]
- Mooley, K.P.; Deller, A.T.; Gottlieb, O.; Nakar, E.; Hallinan, G.; Bourke, S.; Frail, D.A.; Horesh, A.; Corsi, A.; Hotokezaka, K. Superluminal motion of a relativistic jet in the neutron-star merger GW170817. Nature 2018, 561, 355–359. [Google Scholar] [PubMed]
- Ghirlanda, G.; Salafia, O.S.; Paragi, Z.; Giroletti, M.; Yang, J.; Marcote, B.; Blanchard, J.; Agudo, I.; An, T.; Bernardini, M.G.; et al. Compact radio emission indicates a structured jet was produced by a binary neutron star merger. Science 2019, 363, 968–971. [Google Scholar] [CrossRef]
- Margutti, R.; Chornock, R. First Multimessenger Observations of a Neutron Star Merger. ARA&A 2021, 59, 155–202. [Google Scholar] [CrossRef]
- Nakar, E. The electromagnetic counterparts of compact binary mergers. Phys. Rep. 2020, 886, 1–84. [Google Scholar] [CrossRef]
- Blandford, R.D.; Znajek, R.L. Electromagnetic extraction of energy from Kerr black holes. Mon. Not. R. Astron. Soc. 1977, 179, 433–456. [Google Scholar] [CrossRef]
- Usov, V.V. Millisecond pulsars with extremely strong magnetic fields as a cosmological source of γ-ray bursts. Nature 1992, 357, 472–474. [Google Scholar] [CrossRef]
- Blandford, R.D.; Rees, M.J. A “twin-exhaust” model for double radio sources. MNRAS 1974, 169, 395–415. [Google Scholar] [CrossRef]
- Marti, J.M.; Mueller, E.; Ibanez, J.M. Hydrodynamical simulations of relativistic jets. A&A 1994, 281, L9–L12. [Google Scholar]
- Matzner, C.D. Supernova hosts for gamma-ray burst jets: Dynamical constraints. MNRAS 2003, 345, 575–589. [Google Scholar] [CrossRef]
- Bromberg, O.; Nakar, E.; Piran, T.; Sari, R. The Propagation of Relativistic Jets in External Media. Astrophys. J. 2011, 740, 100. [Google Scholar] [CrossRef]
- Falle, S.A.E.G. Self-similar jets. MNRAS 1991, 250, 581–596. [Google Scholar] [CrossRef]
- Shapiro, P.R. Relativistic blast waves that accelerate. Astrophys. J. 1980, 236, 958–969. [Google Scholar] [CrossRef]
- Tan, J.C.; Matzner, C.D.; McKee, C.F. Trans-Relativistic Blast Waves in Supernovae as Gamma-Ray Burst Progenitors. Astrophys. J. 2001, 551, 946–972. [Google Scholar] [CrossRef]
- Gottlieb, O.; Nakar, E.; Piran, T. The cocoon emission - an electromagnetic counterpart to gravitational waves from neutron star mergers. MNRAS 2018, 473, 576–584. [Google Scholar] [CrossRef]
- Meszaros, P.; Laguna, P.; Rees, M.J. Gasdynamics of Relativistically Expanding Gamma-Ray Burst Sources: Kinematics, Energetics, Magnetic Fields, and Efficiency. Astrophys. J. 1993, 415, 181. [Google Scholar] [CrossRef]
- Baring, M.G.; Harding, A.K. The Escape of High-Energy Photons from Gamma-Ray Bursts. Astrophys. J. 1997, 491, 663–686. [Google Scholar] [CrossRef]
- Rees, M.J.; Mészáros, P. Dissipative Photosphere Models of Gamma-Ray Bursts and X-ray Flashes. Astrophys. J. 2005, 628, 847–852. [Google Scholar] [CrossRef]
- Kobayashi, S.; Piran, T.; Sari, R. Hydrodynamics of a Relativistic Fireball: The Complete Evolution. Astrophys. J. 1999, 513, 669–678. [Google Scholar] [CrossRef]
- Rees, M.J.; Meszaros, P. Unsteady Outflow Models for Cosmological Gamma-Ray Bursts. Astrophys. J. 1994, 430, L93. [Google Scholar] [CrossRef]
- Zhang, B.; Yan, H. The Internal-collision-induced Magnetic Reconnection and Turbulence (ICMART) Model of Gamma-ray Bursts. Astrophys. J. 2011, 726, 90. [Google Scholar] [CrossRef]
- Drenkhahn, G.; Spruit, H.C. Efficient acceleration and radiation in Poynting flux powered GRB outflows. Astron. Astrophys. 2002, 391, 1141–1153. [Google Scholar] [CrossRef]
- McKinney, J.C.; Uzdensky, D.A. A reconnection switch to trigger gamma-ray burst jet dissipation. MNRAS 2012, 419, 573–607. [Google Scholar] [CrossRef]
- van Marle, A.J.; Langer, N.; Achterberg, A.; García-Segura, G. Forming a constant density medium close to long gamma-ray bursts. Astron. Astrophys. 2006, 460, 105–116. [Google Scholar] [CrossRef]
- Paczynski, B.; Rhoads, J.E. Radio Transients from Gamma-Ray Bursters. Astrophys. J. 1993, 418, L5. [Google Scholar] [CrossRef]
- Sari, R.; Piran, T. Hydrodynamic Timescales and Temporal Structure of Gamma-Ray Bursts. Astrophys. J. 1995, 455, L143. [Google Scholar] [CrossRef]
- Kobayashi, S.; Sari, R. Optical Flashes and Radio Flares in Gamma-Ray Burst Afterglow: Numerical Study. Astrophys. J. 2000, 542, 819–828. [Google Scholar] [CrossRef]
- Blandford, R.D.; McKee, C.F. Fluid dynamics of relativistic blast waves. Phys. Fluids 1976, 19, 1130–1138. [Google Scholar] [CrossRef]
- Zhang, W.; MacFadyen, A. The Dynamics and Afterglow Radiation of Gamma-Ray Bursts. I. Constant Density Medium. Astrophys. J. 2009, 698, 1261–1272. [Google Scholar] [CrossRef]
- van Eerten, H.J.; Leventis, K.; Meliani, Z.; Wijers, R.A.M.J.; Keppens, R. Gamma-ray burst afterglows from transrelativistic blast wave simulations. MNRAS 2010, 403, 300–316. [Google Scholar] [CrossRef]
- Granot, J.; Piran, T. On the lateral expansion of gamma-ray burst jets. MNRAS 2012, 421, 570–587. [Google Scholar] [CrossRef]
- Blandford, R.; Meier, D.; Readhead, A. Relativistic Jets in Active Galactic Nuclei. arXiv 2018, arXiv:1812.06025. [Google Scholar] [CrossRef]
- Molina, E.; del Palacio, S.; Bosch-Ramon, V. A model for high-mass microquasar jets under the influence of a strong stellar wind. Astron. Astrophys. 2019, 629, A129. [Google Scholar] [CrossRef]
- Romero, G.; Boettcher, M.; Markoff, S.; Tavecchio, F. Relativistic Jets in Active Galactic Nuclei und Microquasars. arXiv 2016, arXiv:1611.09507. [Google Scholar]
- Contopoulos, I.; Kazanas, D.; Papadopoulos, D.B. The Force-Free Magnetosphere of a Rotating Black Hole. arXiv 2012, arXiv:1212.0320. [Google Scholar]
- Tchekhovskoy, A.; Narayan, R.; McKinney, J.C. Black Hole Spin and The Radio Loud/Quiet Dichotomy of Active Galactic Nuclei. Astrophys. J. 2010, 711, 50–63. [Google Scholar] [CrossRef]
- Camilloni, F.; Dias, O.J.C.; Grignani, G.; Harmark, T.; Oliveri, R.; Orselli, M.; Placidi, A.; Santos, J.E. Blandford-Znajek monopole expansion revisited: Novel non-analytic contributions to the power emission. J. Cosmol. Astropart. Phys. 2022, 2022, 032. [Google Scholar] [CrossRef]
- Popham, R.; Woosley, S.E.; Fryer, C. Hyperaccreting black holes and gamma-ray bursts. Astrophys. J. 1999, 518, 356–374. [Google Scholar] [CrossRef]
- Ruffert, M.; Janka, H.T. Gamma-ray bursts from accreting black holes in neutron star mergers. Astron. Astrophys. 1999, 344, 573–606. [Google Scholar]
- Chen, W.X.; Beloborodov, A.M. Neutrino-cooled Accretion Disks around Spinning Black Holes. Astrophys. J. 2007, 657, 383. [Google Scholar] [CrossRef]
- Levinson, A.; Globus, N. Ultra-relativistic, neutrino-driven flows IN gamma-ray bursts: A double transonic flow solution in a schwarzschild spacetime. Astrophys. J. 2013, 770, 159. [Google Scholar]
- Salafia, O.S.; Giacomazzo, B. Accretion-to-jet energy conversion efficiency in GW170817. Astron. Astrophys. 2021, 645, A93. [Google Scholar] [CrossRef]
- Leng, M.; Giannios, D. Testing the neutrino annihilation model for launching GRB jets. MNRAS 2014, 445, L1–L5. [Google Scholar] [CrossRef]
- Thompson, T.A.; Chang, P.; Quataert, E. Magnetar Spin-Down, Hyperenergetic Supernovae, and Gamma-Ray Bursts. Astrophys. J. 2004, 611, 380–393. [Google Scholar] [CrossRef]
- Metzger, B.D.; Giannios, D.; Thompson, T.A.; Bucciantini, N.; Quataert, E. The protomagnetar model for gamma-ray bursts. MNRAS 2011, 413, 2031–2056. [Google Scholar] [CrossRef]
- Lü, H.J.; Zhang, B.; Lei, W.H.; Li, Y.; Lasky, P.D. The Millisecond Magnetar Central Engine in Short GRBs. Astrophys. J. 2015, 805, 89. [Google Scholar] [CrossRef]
- Zalamea, I.; Beloborodov, A.M. Neutrino heating near hyper-accreting black holes. MNRAS 2011, 410, 2302–2308. [Google Scholar] [CrossRef]
- Kawanaka, N.; Piran, T.; Krolik, J.H. Jet Luminosity from Neutrino-dominated Accretion Flows in Gamma-Ray Bursts. Astrophys. J. 2013, 766, 31. [Google Scholar] [CrossRef]
- Just, O.; Obergaulinger, M.; Janka, H.T.; Bauswein, A.; Schwarz, N. Neutron-star Merger Ejecta as Obstacles to Neutrino-powered Jets of Gamma-Ray Bursts. Astrophys. J. 2016, 816, L30. [Google Scholar] [CrossRef]
- Salafia, O.S.; Barbieri, C.; Ascenzi, S.; Toffano, M. Gamma-ray burst jet propagation, development of angular structure, and the luminosity function. Astron. Astrophys. 2020, 636, A105. [Google Scholar] [CrossRef]
- Hamidani, H.; Ioka, K. Jet propagation in expanding medium for gamma-ray bursts. MNRAS 2021, 500, 627–642. [Google Scholar] [CrossRef]
- Gottlieb, O.; Nakar, E.; Bromberg, O. The structure of hydrodynamic γ-ray burst jets. MNRAS 2021, 500, 3511–3526. [Google Scholar] [CrossRef]
- Bromberg, O.; Granot, J.; Lyubarsky, Y.; Piran, T. The dynamics of a highly magnetized jet propagating inside a star. MNRAS 2014, 443, 1532–1548. [Google Scholar] [CrossRef]
- Levinson, A.; Begelman, M.C. Collimation and Confinement of Magnetic Jets by External Media. Astrophys. J. 2013, 764, 148. [Google Scholar] [CrossRef]
- Bromberg, O.; Tchekhovskoy, A. Relativistic MHD simulations of core-collapse GRB jets: 3D instabilities and magnetic dissipation. MNRAS 2016, 456, 1739–1760. [Google Scholar] [CrossRef]
- Begelman, M.C.; Cioffi, D.F. Overpressured Cocoons in Extragalactic Radio Sources. Astrophys. J. 1989, 345, L21. [Google Scholar] [CrossRef]
- Murguia-Berthier, A.; Ramirez-Ruiz, E.; Montes, G.; De Colle, F.; Rezzolla, L.; Rosswog, S.; Takami, K.; Perego, A.; Lee, W.H. The Properties of Short Gamma-Ray Burst Jets Triggered by Neutron Star Mergers. Astrophys. J. 2017, 835, L34. [Google Scholar] [CrossRef]
- Duffell, P.C.; Quataert, E.; Kasen, D.; Klion, H. Jet Dynamics in Compact Object Mergers: GW170817 Likely Had a Successful Jet. Astrophys. J. 2018, 866, 3. [Google Scholar] [CrossRef]
- Nativi, L.; Lamb, G.P.; Rosswog, S.; Lundman, C.; Kowal, G. Are interactions with neutron star merger winds shaping the jets? MNRAS 2022, 509, 903–913. [Google Scholar] [CrossRef]
- Gottlieb, O.; Nakar, E. Jet propagation in expanding media. arXiv 2021, arXiv:2106.03860. [Google Scholar]
- Salafia, O.S.; Ghisellini, G.; Pescalli, A.; Ghirlanda, G.; Nappo, F. Structure of gamma-ray burst jets: Intrinsic versus apparent properties. Mon. Not. R. Astron. Soc. 2015, 450, 3549–3558. [Google Scholar]
- Gottlieb, O.; Bromberg, O.; Levinson, A.; Nakar, E. Intermittent mildly magnetized jets as the source of GRBs. MNRAS 2021, 504, 3947–3955. [Google Scholar] [CrossRef]
- Urrutia, G.; De Colle, F.; Murguia-Berthier, A.; Ramirez-Ruiz, E. What determines the structure of short gamma-ray burst jets? MNRAS 2021, 503, 4363–4371. [Google Scholar] [CrossRef]
- Gandel’Man, G.M.; Frank-Kamenetskii, D.A. Shock Wave Emergence at a Stellar Surface. Sov. Phys. Dokl. 1956, 1, 223. [Google Scholar]
- Colgate, S.A. Early Gamma Rays from Supernovae. Astrophys. J. 1974, 187, 333–336. [Google Scholar] [CrossRef]
- Falk, S.W. Shock steepening and prompt thermal emission in supernovae. Astrophys. J. 1978, 225, L133–L136. [Google Scholar] [CrossRef]
- Matzner, C.D.; McKee, C.F. The Expulsion of Stellar Envelopes in Core-Collapse Supernovae. Astrophys. J. 1999, 510, 379–403. [Google Scholar] [CrossRef]
- Nakar, E.; Sari, R. Relativistic Shock Breakouts—A Variety of Gamma-Ray Flares: From Low-luminosity Gamma-Ray Bursts to Type Ia Supernovae. Astrophys. J. 2012, 747, 88. [Google Scholar] [CrossRef]
- Matzner, C.D.; Levin, Y.; Ro, S. Oblique Shock Breakout in Supernovae and Gamma-Ray Bursts. I. Dynamics and Observational Implications. Astrophys. J. 2013, 779, 60. [Google Scholar] [CrossRef]
- Yalinewich, A.; Sari, R. Analytic asymptotic solution to spherical relativistic shock breakout. Phys. Fluids 2017, 29, 016103. [Google Scholar] [CrossRef]
- Linial, I.; Sari, R. Oblique shock breakout from a uniform density medium. Phys. Fluids 2019, 31, 097102. [Google Scholar] [CrossRef]
- Irwin, C.M.; Linial, I.; Nakar, E.; Piran, T.; Sari, R. Bolometric light curves of aspherical shock breakout. MNRAS 2021, 508, 5766–5785. [Google Scholar] [CrossRef]
- Gottlieb, O.; Nakar, E.; Piran, T.; Hotokezaka, K. A cocoon shock breakout as the origin of the γ-ray emission in GW170817. Mon. Not. R. Astron. Soc. 2018, 479, 588–600. [Google Scholar] [CrossRef]
- Nakar, E.; Piran, T. The Observable Signatures of GRB Cocoons. Astrophys. J. 2017, 834, 28. [Google Scholar] [CrossRef]
- Komissarov, S.; Porth, O. Numerical simulations of jets. New Astron. Rev. 2021, 92, 101610. [Google Scholar] [CrossRef]
- Zhang, W.; Woosley, S.E.; MacFadyen, A.I. Relativistic Jets in Collapsars. Astrophys. J. 2003, 586, 356–371. [Google Scholar] [CrossRef]
- López-Cámara, D.; Morsony, B.J.; Lazzati, D. Photospheric emission from long-duration gamma-ray bursts powered by variable engines. MNRAS 2014, 442, 2202–2207. [Google Scholar] [CrossRef]
- Gottlieb, O.; Bromberg, O.; Singh, C.B.; Nakar, E. The structure of weakly magnetized γ-ray burst jets. MNRAS 2020, 498, 3320–3333. [Google Scholar] [CrossRef]
- Aloy, M.A.; Janka, H.T.; Müller, E. Relativistic outflows from remnants of compact object mergers and their viability for short gamma-ray bursts. Astron. Astrophys. 2005, 436, 273–311. [Google Scholar] [CrossRef]
- Kathirgamaraju, A.; Barniol Duran, R.; Giannios, D. Off-axis short GRBs from structured jets as counterparts to GW events. MNRAS 2018, 473, L121–L125. [Google Scholar] [CrossRef]
- Kathirgamaraju, A.; Tchekhovskoy, A.; Giannios, D.; Barniol Duran, R. EM counterparts of structured jets from 3D GRMHD simulations. MNRAS 2019, 484, L98–L103. [Google Scholar] [CrossRef]
- Fernández, R.; Tchekhovskoy, A.; Quataert, E.; Foucart, F.; Kasen, D. Long-term GRMHD simulations of neutron star merger accretion discs: Implications for electromagnetic counterparts. MNRAS 2019, 482, 3373–3393. [Google Scholar] [CrossRef]
- Christie, I.M.; Lalakos, A.; Tchekhovskoy, A.; Fernández, R.; Foucart, F.; Quataert, E.; Kasen, D. The role of magnetic field geometry in the evolution of neutron star merger accretion discs. MNRAS 2019, 490, 4811–4825. [Google Scholar] [CrossRef]
- Ito, H.; Just, O.; Takei, Y.; Nagataki, S. A Global Numerical Model of the Prompt Emission in Short Gamma-ray Bursts. Astrophys. J. 2021, 918, 59. [Google Scholar] [CrossRef]
- Pavan, A.; Ciolfi, R.; Kalinani, J.V.; Mignone, A. Short gamma-ray burst jet propagation in binary neutron star merger environments. MNRAS 2021, 506, 3483–3498. [Google Scholar] [CrossRef]
- Nathanail, A.; Gill, R.; Porth, O.; Fromm, C.M.; Rezzolla, L. 3D magnetized jet break-out from neutron-star binary merger ejecta: Afterglow emission from the jet and the ejecta. MNRAS 2021, 502, 1843–1855. [Google Scholar] [CrossRef]
- Gottlieb, O.; Liska, M.; Tchekhovskoy, A.; Bromberg, O.; Lalakos, A.; Giannios, D.; Mösta, P. Black hole to photosphere: 3D GRMHD simulations of collapsars reveal wobbling and hybrid composition jets. arXiv 2022, arXiv:2204.12501. [Google Scholar] [CrossRef]
- Gottlieb, O.; Moseley, S.; Ramirez-Aguilar, T.; Murguia-Berthier, A.; Liska, M.; Tchekhovskoy, A. On the jet-ejecta interaction in 3D GRMHD simulations of binary neutron star merger aftermath. arXiv 2022, arXiv:2205.01691. [Google Scholar] [CrossRef]
- Zhang, W.; Woosley, S.E.; Heger, A. The Propagation and Eruption of Relativistic Jets from the Stellar Progenitors of Gamma-Ray Bursts. Astrophys. J. 2004, 608, 365–377. [Google Scholar] [CrossRef]
- Bošnjak, Ž.; Barniol Duran, R.; Pe’er, A. The GRB Prompt Emission: An Unsolved Puzzle. Galaxies 2022, 10, 38. [Google Scholar] [CrossRef]
- Kouveliotou, C.; Meegan, C.A.; Fishman, G.J.; Bhat, N.P.; Briggs, M.S.; Koshut, T.M.; Paciesas, W.S.; Pendleton, G.N. Identification of Two Classes of Gamma-Ray Bursts. Astrophys. J. 1993, 413, L101. [Google Scholar] [CrossRef]
- Ghirlanda, G.; Ghisellini, G.; Celotti, A. The spectra of short gamma-ray bursts. Astron. Astrophys. Suppl. Ser. 2004, 422, L55–L58. [Google Scholar] [CrossRef]
- Ghirlanda, G.; Ghisellini, G.; Nava, L. Short and long gamma-ray bursts: Same emission mechanism? Mon. Not. R. Astron. Soc. Lett. 2011, 418, L109–L113. [Google Scholar] [CrossRef]
- Sakamoto, T.; Barthelmy, S.D.; Barbier, L.; Cummings, J.R.; Fenimore, E.E.; Gehrels, N.; Hullinger, D.; Krimm, H.A.; Markwardt, C.B.; Palmer, D.M.; et al. The First Swift BAT Gamma-Ray Burst Catalog. Astrophys. J. 2008, 175, 179–190. [Google Scholar] [CrossRef]
- Qin, Y.; Liang, E.W.; Liang, Y.F.; Yi, S.X.; Lin, L.; Zhang, B.B.; Zhang, J.; Lü, H.J.; Lu, R.J.; Lü, L.Z.; et al. A comprehensive analysis of fermi gamma-ray burst data. III. energy-dependent T90 distributions of GBM GRBS and instrumental selection effect on duration classification. Astrophys. J. 2012, 763, 15. [Google Scholar] [CrossRef]
- Guidorzi, C.; Dichiara, S.; Amati, L. Individual power density spectra of Swift gamma-ray bursts. Astron. Astrophys. Suppl. Ser. 2016, 589, A98. [Google Scholar] [CrossRef]
- Beloborodov, A.M.; Stern, B.E.; Svensson, R. Power density spectra of gamma-ray bursts. Astrophys. J. 2000, 535, 158–166. [Google Scholar] [CrossRef]
- Guidorzi, C.; Margutti, R.; Amati, L.; Campana, S.; Orlandini, M.; Romano, P.; Stamatikos, M.; Tagliaferri, G. Average power density spectrum of Swift long gamma-ray bursts in the observer and in the source-rest frames. Mon. Not. R. Astron. Soc. 2012, 422, 1785–1803. [Google Scholar] [CrossRef]
- MacLachlan, G.A.; Shenoy, A.; Sonbas, E.; Dhuga, K.S.; Cobb, B.E.; Ukwatta, T.N.; Morris, D.C.; Eskandarian, A.; Maximon, L.C.; Parke, W.C. Minimum variability time-scales of long and short GRBs. Mon. Not. R. Astron. Soc. 2013, 432, 857–865. [Google Scholar] [CrossRef]
- Zach Golkhou, V.; Butler, N.R. Uncovering the Intrinsic Variability of Gamma-ray Bursts. arXiv 2014, arXiv:1403.4254. [Google Scholar] [CrossRef]
- Norris, J.P.; Bonnell, J.T.; Kazanas, D.; Scargle, J.D.; Hakkila, J.; Giblin, T.W. Long-lag, wide-pulse gamma-ray bursts. Astrophys. J. 2005, 627, 324–345. [Google Scholar] [CrossRef]
- Bernardini, M.G.; Ghirlanda, G.; Campana, S.; Covino, S.; Salvaterra, R.; Atteia, J.L.; Burlon, D.; Calderone, G.; Ghisellini, G.; Heussaff, V.; et al. Comparing the spectral lag of short and long gamma-ray bursts and its relation with the luminosity. Mon. Not. R. Astron. Soc. 2015, 446, 1129–1138. [Google Scholar] [CrossRef]
- Kocevski, D.; Ryde, F.; Liang, E. Search for relativistic curvature effects in gamma-ray burst pulses. Astrophys. J. 2003, 596, 389–400. [Google Scholar] [CrossRef]
- Bhat, P.N.; Briggs, M.S.; Connaughton, V.; Kouveliotou, C.; van der Horst, A.J.; Paciesas, W.; Meegan, C.A.; Bissaldi, E.; Burgess, M.; Chaplin, V.; et al. Temporal deconvolution study of long and short gamma-ray burst light curves. Astrophys. J. 2011, 744, 141. [Google Scholar] [CrossRef]
- Burlon, D.; Ghirlanda, G.; Ghisellini, G.; Lazzati, D.; Nava, L.; Nardini, M.; Celotti, A. Precursors in Swift Gamma Ray Bursts with Redshift. Astrophys. J. 2008, 685, L19. [Google Scholar] [CrossRef]
- Troja, E.; Rosswog, S.; Gehrels, N. Precursors of short gamma-ray bursts. Astrophys. J. 2010, 723, 1711. [Google Scholar] [CrossRef]
- Pescalli, A.; Ronchi, M.; Ghirlanda, G.; Ghisellini, G. From the earliest pulses to the latest flares in long gamma-ray bursts. Astron. Astrophys. Suppl. Ser. 2018, 615, A80. [Google Scholar] [CrossRef]
- Burlon, D.; Ghirlanda, G.; Ghisellini, G.; Greiner, J.; Celotti, A. Time resolved spectral behavior of bright BATSE precursors. Astron. Astrophys. Suppl. Ser. 2009, 505, 569–575. [Google Scholar] [CrossRef]
- Ghirlanda, G.; Celotti, A.; Ghisellini, G. Extremely hard GRB spectra prune down the forest of emission models. Astron. Astrophys. Suppl. Ser. 2003, 406, 879–892. [Google Scholar] [CrossRef]
- Ghirlanda, G.; Pescalli, A.; Ghisellini, G. Photospheric emission throughout GRB 100507 detected by Fermi. Mon. Not. R. Astron. Soc. 2013, 432, 3237–3244. [Google Scholar] [CrossRef][Green Version]
- Ryde, F.; Pe’er, A. Quasi-Blackbody Component and radiative efficiency of the prompt emission of gamma-ray bursts. Astrophys. J. 2009, 702, 1211–1229. [Google Scholar] [CrossRef]
- Guiriec, S.; Kouveliotou, C.; Daigne, F.; Zhang, B.; Hascoët, R.; Nemmen, R.S.; Thompson, D.J.; Bhat, P.N.; Gehrels, N.; Gonzalez, M.M.; et al. Toward a better understanding of the GRB phenomenon: A new model for GRB prompt emission and its effects on the new Lint– Epeak,Irest,NT Relation. Astrophys. J. 2015, 807, 148. [Google Scholar] [CrossRef]
- Ghisellini, G.; Celotti, A.; Lazzati, D. Constraints on the emission mechanisms of gamma-ray bursts. Mon. Not. R. Astron. Soc. 2000, 313, L1–L5. [Google Scholar] [CrossRef]
- Nakar, E.; Ando, S.; Sari, R. Klein-Nishina Effects on Optically Thin Synchrotron and Synchrotron Self-Compton Spectrum. Astrophys. J. 2009, 703, 675–691. [Google Scholar] [CrossRef]
- Derishev, E.V.; Kocharovsky, V.V.; Kocharovsky, V.V. Physical parameters and emission mechanism in gamma-ray bursts. Astron. Astrophys. 2001, 372, 1071–1077. [Google Scholar] [CrossRef]
- Daigne, F.; Bošnjak, Ž.; Dubus, G. Reconciling observed gamma-ray burst prompt spectra with synchrotron radiation? Astron. Astrophys. 2011, 526, A110. [Google Scholar] [CrossRef]
- Toffano, M.; Ghirlanda, G.; Nava, L.; Ghisellini, G.; Ravasio, M.E.; Oganesyan, G. The slope of the low-energy spectrum of prompt gamma-ray burst emission. Astron. Astrophys. Suppl. Ser. 2021, 652, A123. [Google Scholar] [CrossRef]
- Oganesyan, G.; Nava, L.; Ghirlanda, G.; Celotti, A. Characterization of gamma-ray burst prompt emission spectra down to soft X-rays. Astron. Astrophys. Suppl. Ser. 2018, 616, A138. [Google Scholar] [CrossRef]
- Oganesyan, G.; Nava, L.; Ghirlanda, G.; Melandri, A.; Celotti, A. Prompt optical emission as a signature of synchrotron radiation in gamma-ray bursts. Astron. Astrophys. Suppl. Ser. 2019, 628, A59. [Google Scholar] [CrossRef]
- Ravasio, M.E.; Oganesyan, G.; Ghirlanda, G.; Nava, L.; Ghisellini, G.; Pescalli, A.; Celotti, A. Consistency with synchrotron emission in the bright GRB 160625B observed by Fermi. Astron. Astrophys. Suppl. Ser. 2018, 613, A16. [Google Scholar] [CrossRef]
- Ravasio, M.E.; Ghirlanda, G.; Nava, L.; Ghisellini, G. Evidence of two spectral breaks in the prompt emission of gamma-ray bursts. Astron. Astrophys. Suppl. Ser. 2019, 625, A60. [Google Scholar] [CrossRef]
- Ronchi, M.; Fumagalli, F.; Ravasio, M.E.; Oganesyan, G.; Toffano, M.; Salafia, O.S.; Nava, L.; Ascenzi, S.; Ghirlanda, G.; Ghisellini, G. Rise and fall of the high-energy afterglow emission of GRB 180720B. Astron. Astrophys. Suppl. Ser. 2020, 636, A55. [Google Scholar] [CrossRef]
- Michael Burgess, J.; Bégué, D.; Greiner, J.; Giannios, D.; Bacelj, A.; Berlato, F. Gamma-ray bursts as cool synchrotron sources. Nat. Astron. 2019, 4, 174–179. [Google Scholar] [CrossRef]
- Ghisellini, G.; Ghirlanda, G.; Oganesyan, G.; Ascenzi, S.; Nava, L.; Celotti, A.; Salafia, O.S.; Ravasio, M.E.; Ronchi, M. Proton–synchrotron as the radiation mechanism of the prompt emission of gamma-ray bursts? Astron. Astrophys. Suppl. Ser. 2020, 636, A82. [Google Scholar] [CrossRef]
- Uhm, Z.L.; Zhang, B. Fast-cooling synchrotron radiation in a decaying magnetic field and γ-ray burst emission mechanism. Nat. Phys. 2014, 10, 351–356. [Google Scholar] [CrossRef]
- Florou, I.; Petropoulou, M.; Mastichiadis, A. A marginally fast-cooling proton-synchrotron model for prompt GRBs. arXiv 2021, arXiv:2102.02501. [Google Scholar] [CrossRef]
- Amati, L.; Frontera, F.; Tavani, M.; in’t Zand, J.J.M.; Antonelli, A.; Costa, E.; Feroci, M.; Guidorzi, C.; Heise, J.; Masetti, N.; et al. Intrinsic spectra and energetics of BeppoSAX Gamma–Ray Bursts with known redshifts. Astron. Astrophys. Suppl. Ser. 2002, 390, 81–89. [Google Scholar] [CrossRef]
- Yonetoku, D.; Murakami, T.; Nakamura, T.; Yamazaki, R.; Inoue, A.K.; Ioka, K. Gamma-Ray Burst Formation Rate Inferred from the Spectral Peak Energy-Peak Luminosity Relation. Astrophys. J. 2004, 609, 935. [Google Scholar] [CrossRef]
- D’Avanzo, P.; Salvaterra, R.; Bernardini, M.G.; Nava, L.; Campana, S.; Covino, S.; D’Elia, V.; Ghirlanda, G.; Ghisellini, G.; Melandri, A.; et al. A complete sample of bright Swift short gamma-ray bursts. Mon. Not. R. Astron. Soc. 2014, 442, 2342–2356. [Google Scholar] [CrossRef]
- Ghirlanda, G.; Bernardini, M.G.; Calderone, G.; D’Avanzo, P. Are short Gamma Ray Bursts similar to long ones? J. High Energy Astrophys. 2015, 7, 81–89. [Google Scholar] [CrossRef][Green Version]
- Calderone, G.; Ghirlanda, G.; Ghisellini, G.; Bernardini, M.G.; Campana, S.; Covino, S.; Melandri, A.; Salvaterra, R.; Sbarufatti, B.; Tagliaferri, G. There is a short gamma-ray burst prompt phase at the beginning of each long one. Mon. Not. R. Astron. Soc. 2015, 448, 403–416. [Google Scholar] [CrossRef]
- Salafia, O.S.; Pescalli, A.; Nappo, F.; Ghisellini, G.; Ghirlanda, G.; Salvaterra, R.; Tagliaferri, G. Gamma-ray burst jets: Uniform or structured? arXiv 2015, arXiv:1503.01131. [Google Scholar]
- Ioka, K.; Nakamura, T. Spectral puzzle of the off-axis gamma-ray burst in GW170817. MNRAS 2019, 487, 4884–4889. [Google Scholar] [CrossRef]
- Beniamini, P.; Nakar, E. Observational constraints on the structure of gamma-ray burst jets. MNRAS 2019, 482, 5430–5440. [Google Scholar] [CrossRef]
- Salafia, O.S.; Ghirlanda, G.; Ascenzi, S.; Ghisellini, G. On-axis view of GRB 170817A. A&A 2019, 628, A18. [Google Scholar] [CrossRef]
- Zhang, B.; Mészáros, P. An Analysis of Gamma-Ray Burst Spectral Break Models. Astrophys. J. 2002, 581, 1236–1247. [Google Scholar] [CrossRef]
- Salafia, O.S.; Ghisellini, G.; Pescalli, A.; Ghirlanda, G.; Nappo, F. Light curves and spectra from off-axis gamma-ray bursts. MNRAS 2016, 461, 3607–3619. [Google Scholar] [CrossRef]
- Barbieri, C.; Salafia, O.S.; Perego, A.; Colpi, M.; Ghirlanda, G. Light-curve models of black hole - neutron star mergers: Steps towards a multi-messenger parameter estimation. Astron. Astrophys. 2019, 625, A152. [Google Scholar] [CrossRef]
- Patricelli, B.; Bernardini, M.G.; Mapelli, M.; D’Avanzo, P.; Santoliquido, F.; Cella, G.; Razzano, M.; Cuoco, E. Prospects for multimessenger detection of binary neutron star mergers in the fourth LIGO-Virgo-KAGRA observing run. MNRAS 2022, 513, 4159–4168. [Google Scholar] [CrossRef]
- Matsumoto, T.; Nakar, E.; Piran, T. Constraints on the emitting region of the gamma-rays observed in GW170817. MNRAS 2019, 483, 1247–1255. [Google Scholar] [CrossRef]
- Matsumoto, T.; Nakar, E.; Piran, T. Generalized compactness limit from an arbitrary viewing angle. MNRAS 2019, 486, 1563–1573. [Google Scholar] [CrossRef]
- Pescalli, A.; Ghirlanda, G.; Salafia, O.S.; Ghisellini, G.; Nappo, F.; Salvaterra, R. Luminosity function and jet structure of Gamma-Ray Burst. Mon. Not. R. Astron. Soc. 2015, 447, 1911–1921. [Google Scholar] [CrossRef]
- Ascenzi, S.; Oganesyan, G.; Salafia, O.S.; Branchesi, M.; Ghirlanda, G.; Dall’Osso, S. High-latitude emission from the structured jet of γ-ray bursts observed off-axis. A&A 2020, 641, A61. [Google Scholar] [CrossRef]
- Cano, Z.; Wang, S.Q.; Dai, Z.G.; Wu, X.F. The Observer’s Guide to the Gamma-Ray Burst Supernova Connection. Adv. Astron. 2017, 2017, 8929054. [Google Scholar] [CrossRef]
- Lü, H.J.; Lan, L.; Zhang, B.; Liang, E.W.; Kann, D.A.; Du, S.S.; Shen, J. Gamma-Ray Burst/Supernova Associations: Energy Partition and the Case of a Magnetar Central Engine. Astrophys. J. 2018, 862, 130. [Google Scholar] [CrossRef]
- Wanderman, D.; Piran, T. The luminosity function and the rate of Swift’s gamma-ray bursts. Mon. Not. R. Astron. Soc. 2010, 406, 1944–1958. [Google Scholar] [CrossRef]
- Wanderman, D.; Piran, T. The rate, luminosity function and time delay of non-Collapsar short GRBs. Mon. Not. R. Astron. Soc. 2015, 448, 3026–3037. [Google Scholar] [CrossRef]
- Ghirlanda, G.; Salafia, O.S.; Pescalli, A.; Ghisellini, G.; Salvaterra, R.; Chassande-Mottin, E.; Colpi, M.; Nappo, F.; D’Avanzo, P.; Melandri, A.; et al. Short gamma-ray bursts at the dawn of the gravitational wave era. Astron. Astrophys. Suppl. Ser. 2016, 594, A84. [Google Scholar] [CrossRef]
- Lien, A.; Sakamoto, T.; Barthelmy, S.D.; Baumgartner, W.H.; Cannizzo, J.K.; Chen, K.; Collins, N.R.; Cummings, J.R.; Gehrels, N.; Krimm, H.A.; et al. The Third Swift Burst Alert Telescope Gamma-Ray Burst Catalog. Astrophys. J. 2016, 829, 7. [Google Scholar] [CrossRef]
- Nava, L.; Salvaterra, R.; Ghirlanda, G.; Ghisellini, G.; Campana, S.; Covino, S.; Cusumano, G.; D’Avanzo, P.; D’Elia, V.; Fugazza, D.; et al. A complete sample of bright Swift long gamma-ray bursts: Testing the spectral-energy correlations. Mon. Not. R. Astron. Soc. 2012, 421, 1256–1264. [Google Scholar] [CrossRef]
- Eichler, D.; Levinson, A. An Interpretation of the hνpeak-Eiso Correlation for Gamma-Ray Bursts. Astrophys. J. 2004, 614, L13–L16. [Google Scholar] [CrossRef]
- Ghirlanda, G.; Nava, L.; Ghisellini, G.; Celotti, A.; Burlon, D.; Covino, S.; Melandri, A. Gamma-ray bursts in the comoving frame. MNRAS 2012, 420, 483–494. [Google Scholar] [CrossRef]
- The LIGO Scientific Collaboration; the Virgo Collaboration; the KAGRA Collaboration; Abbott, R.; Abbott, T.D.; Acernese, F.; Ackley, K.; Adams, C.; Adhikari, N.; Adhikari, R.X.; et al. The population of merging compact binaries inferred using gravitational waves through GWTC-3. arXiv 2021, arXiv:2111.03634. [Google Scholar]
- Tagliaferri, G.; Goad, M.; Chincarini, G.; Moretti, A.; Campana, S.; Burrows, D.N.; Perri, M.; Barthelmy, S.D.; Gehrels, N.; Krimm, H.; et al. An unexpectedly rapid decline in the X-ray afterglow emission of long gamma-ray bursts. Nature 2005, 436, 985–988. [Google Scholar] [CrossRef]
- O’Brien, P.T.; Willingale, R.; Osborne, J.; Goad, M.R.; Page, K.L.; Vaughan, S.; Rol, E.; Beardmore, A.; Godet, O.; Hurkett, C.P.; et al. The Early X-ray Emission from GRBs. Astrophys. J. 2006, 647, 1213–1237. [Google Scholar]
- Burrows, D.N.; Romano, P.; Falcone, A.; Kobayashi, S.; Zhang, B.; Moretti, A.; O’brien, P.T.; Goad, M.R.; Campana, S.; Page, K.L.; et al. Bright x-ray flares in gamma-ray burst afterglows. Science 2005, 309, 1833–1835. [Google Scholar] [CrossRef] [PubMed]
- Nousek, J.A.; Kouveliotou, C.; Grupe, D.; Page, K.L.; Granot, J.; Ramirez-Ruiz, E.; Patel, S.K.; Burrows, D.N.; Mangano, V.; Barthelmy, S.; et al. Evidence for a Canonical Gamma-Ray Burst Afterglow Light Curve in the Swift XRT Data. Astrophys. J. 2006, 642, 389. [Google Scholar] [CrossRef]
- Chincarini, G.; Mao, J.; Margutti, R.; Bernardini, M.G.; Guidorzi, C.; Pasotti, F.; Giannios, D.; Valle, M.D.; Moretti, A.; Romano, P.; et al. Unveiling the origin of X-ray flares in gamma-ray bursts. Mon. Not. R. Astron. Soc. 2010, 406, 2113–2148. [Google Scholar]
- Oganesyan, G.; Ascenzi, S.; Branchesi, M.; Salafia, O.S.; Dall’Osso, S.; Ghirlanda, G. Structured Jets and X-ray Plateaus in Gamma-Ray Burst Phenomena. Astrophys. J. 2020, 893, 88. [Google Scholar]
- Kumar, P.; Panaitescu, A. Afterglow Emission from Naked Gamma-Ray Bursts. Astrophys. J. 2000, 541, L51–L54. [Google Scholar] [CrossRef]
- Duque, R.; Beniamini, P.; Daigne, F.; Mochkovitch, R. Flares in gamma-ray burst X-ray afterglows as prompt emission from slightly misaligned structured jets. arXiv 2021, arXiv:2112.02917. [Google Scholar] [CrossRef]
- Mészáros, P.; Rees, M.J. Optical and Long-Wavelength Afterglow from Gamma-Ray Bursts. Astrophys. J. 1997, 476, 232–237. [Google Scholar] [CrossRef]
- Sari, R.; Piran, T.; Narayan, R. Spectra and Light Curves of Gamma-Ray Burst Afterglows. Astrophys. J. 1998, 497, L17–L20. [Google Scholar] [CrossRef]
- Panaitescu, A.; Kumar, P. Analytic Light Curves of Gamma-Ray Burst Afterglows: Homogeneous versus Wind External Media. Astrophys. J. 2000, 543, 66–76. [Google Scholar] [CrossRef]
- Lamb, G.P.; Kobayashi, S. Reverse shocks in the relativistic outflows of gravitational wave-detected neutron star binary mergers. MNRAS 2019, 489, 1820–1827. [Google Scholar] [CrossRef]
- Fermi, E. On the Origin of the Cosmic Radiation. Phys. Rev. 1949, 75, 1169–1174. [Google Scholar] [CrossRef]
- Bell, A.R. The acceleration of cosmic rays in shock fronts - I. MNRAS 1978, 182, 147–156. [Google Scholar] [CrossRef]
- Blandford, R.; Eichler, D. Particle acceleration at astrophysical shocks: A theory of cosmic ray origin. Phys. Rep. 1987, 154, 1–75. [Google Scholar] [CrossRef]
- Spitkovsky, A. Particle Acceleration in Relativistic Collisionless Shocks: Fermi Process at Last? Astrophys. J. 2008, 682, L5. [Google Scholar] [CrossRef]
- Kobayashi, S. Light Curves of Gamma-Ray Burst Optical Flashes. Astrophys. J. 2000, 545, 807–812. [Google Scholar] [CrossRef]
- Resmi, L.; Zhang, B. Gamma-ray Burst Reverse Shock Emission in Early Radio Afterglows. Astrophys. J. 2016, 825, 48. [Google Scholar] [CrossRef]
- Salafia, O.S.; Ravasio, M.E.; Yang, J.; An, T.; Orienti, M.; Ghirlanda, G.; Nava, L.; Giroletti, M.; Mohan, P.; Spinelli, R.; et al. Multiwavelength View of the Close-by GRB 190829A Sheds Light on Gamma-Ray Burst Physics. Astrophys. J. 2022, 931, L19. [Google Scholar] [CrossRef]
- Rees, M.J.; Mészáros, P. Refreshed Shocks and Afterglow Longevity in Gamma-Ray Bursts. Astrophys. J. 1998, 496, L1–L4. [Google Scholar] [CrossRef]
- Beniamini, P.; Duque, R.; Daigne, F.; Mochkovitch, R. X-ray plateaus in gamma-ray bursts’ light curves from jets viewed slightly off-axis. MNRAS 2020, 492, 2847–2857. [Google Scholar] [CrossRef]
- Nakar, E.; Piran, T. Implications of the radio and X-ray emission that followed GW170817. MNRAS 2018, 478, 407–415. [Google Scholar] [CrossRef]
- Nava, L.; Sironi, L.; Ghisellini, G.; Celotti, A.; Ghirlanda, G. Afterglow emission in gamma-ray bursts-I. Pair-enriched ambient medium and radiative blast waves. MNRAS 2013, 433, 2107–2121. [Google Scholar] [CrossRef]
- Lu, W.; Beniamini, P.; McDowell, A. Deceleration of relativistic jets with lateral expansion. arXiv 2020, arXiv:2005.10313. [Google Scholar]
- Cannizzo, J.K.; Gehrels, N.; Vishniac, E.T. A Numerical Gamma-Ray Burst Simulation Using Three-Dimensional Relativistic Hydrodynamics: The Transition from Spherical to Jetlike Expansion. Astrophys. J. 2004, 601, 380–390. [Google Scholar] [CrossRef]
- De Colle, F.; Granot, J.; López-Cámara, D.; Ramirez-Ruiz, E. Gamma-Ray Burst Dynamics and Afterglow Radiation from Adaptive Mesh Refinement, Special Relativistic Hydrodynamic Simulations. Astrophys. J. 2012, 746, 122. [Google Scholar] [CrossRef]
- Taylor, G. The Dynamics of the Combustion Products behind Plane and Spherical Detonation Fronts in Explosives. Proc. R. Soc. Lond. Ser. A 1950, 200, 235–247. [Google Scholar] [CrossRef]
- Sedov, L.I. Similarity and Dimensional Methods in Mechanics; Academic Press: New York, NY, USA, 1959. [Google Scholar]
- Ostriker, J.P.; McKee, C.F. Astrophysical blastwaves. Rev. Mod. Phys. 1988, 60, 1–68. [Google Scholar] [CrossRef]
- Wei, D.M.; Jin, Z.P. GRB afterglow light curves from uniform and non-uniform jets. A&A 2003, 400, 415–419. [Google Scholar] [CrossRef]
- Gill, R.; Granot, J. Afterglow imaging and polarization of misaligned structured GRB jets and cocoons: Breaking the degeneracy in GRB 170817A. MNRAS 2018, 478, 4128–4141. [Google Scholar] [CrossRef]
- Beniamini, P.; Granot, J.; Gill, R. Afterglow light curves from misaligned structured jets. Mon. Not. R. Astron. Soc. 2020, 493, 3521–3534. [Google Scholar]
- Lamb, G.P.; Alexander Kann, D.; Fernández, J.J.; Mandel, I.; Levan, A.J.; Tanvir, N.R. GRB jet structure and the jet break. arXiv 2021, arXiv:2104.11099. [Google Scholar]
- Beniamini, P.; Gill, R.; Granot, J. Robust Features of Off-Axis Gamma-Ray Burst Afterglow Lightcurves. arXiv 2022, arXiv:2204.06008. [Google Scholar]
- Achterberg, A.; Gallant, Y.A.; Kirk, J.G.; Guthmann, A.W. Particle acceleration by ultrarelativistic shocks: Theory and simulations. MNRAS 2001, 328, 393–408. [Google Scholar] [CrossRef]
- Cunningham, V.; Cenko, S.B.; Ryan, G.; Vogel, S.N.; Corsi, A.; Cucchiara, A.; Fruchter, A.S.; Horesh, A.; Kangas, T.; Kocevski, D.; et al. GRB 160625B: Evidence for a Gaussian-shaped Jet. Astrophys. J. 2020, 904, 166. [Google Scholar] [CrossRef]
- Taub, A.H. Relativistic Rankine-Hugoniot Equations. Phys. Rev. 1948, 74, 328–334. [Google Scholar] [CrossRef]
- Medvedev, M.V.; Loeb, A. Generation of Magnetic Fields in the Relativistic Shock of Gamma-Ray Burst Sources. Astrophys. J. 1999, 526, 697–706. [Google Scholar] [CrossRef]
- Dermer, C.D.; Chiang, J.; Mitman, K.E. Beaming, Baryon Loading, and the Synchrotron Self-Compton Component in Gamma-Ray Bursts. Astrophys. J. 2000, 537, 785–795. [Google Scholar] [CrossRef]
- Sari, R.; Esin, A.A. On the Synchrotron Self-Compton Emission from Relativistic Shocks and Its Implications for Gamma-Ray Burst Afterglows. Astrophys. J. 2001, 548, 787–799. [Google Scholar] [CrossRef]
- Ghisellini, G.; George, I.M.; Fabian, A.C.; Done, C. Anisotropic inverse Compton emission. MNRAS 1991, 248, 14–19. [Google Scholar] [CrossRef][Green Version]
- Fan, Y.; Piran, T. Sub-GeV flashes in γ-ray burst afterglows as probes of underlying bright far-ultraviolet flares. MNRAS 2006, 370, L24–L28. [Google Scholar] [CrossRef]
- Mei, A.; Banerjee, B.; Oganesyan, G.; Sharan Salafia, O.; Giarratana, S.; Branchesi, M.; D’Avanzo, P.; Campana, S.; Ghirlanda, G.; Ronchini, S.; et al. GeV emission from a compact binary merger. arXiv 2022, arXiv:2205.08566. [Google Scholar]
- Sari, R. The Observed Size and Shape of Gamma-Ray Burst Afterglow. Astrophys. J. 1998, 494, L49–L52. [Google Scholar] [CrossRef]
- Granot, J.; Piran, T.; Sari, R. Images and Spectra from the Interior of a Relativistic Fireball. Astrophys. J. 1999, 513, 679–689. [Google Scholar] [CrossRef]
- Granot, J.; Sari, R. The Shape of Spectral Breaks in Gamma-Ray Burst Afterglows. Astrophys. J. 2002, 568, 820–829. [Google Scholar] [CrossRef]
- Panaitescu, A.; Mészáros, P. Rings in Fireball Afterglows. Astrophys. J. 1998, 493, L31–L34. [Google Scholar] [CrossRef][Green Version]
- Rybicki, G.B.; Lightman, A.P. Radiative Processes in Astrophysics; Wiley: New York, NY, USA, 1979. [Google Scholar]
- Granot, J.; Piran, T.; Sari, R. The Synchrotron Spectrum of Fast Cooling Electrons Revisited. Astrophys. J. 2000, 534, L163–L166. [Google Scholar] [CrossRef] [PubMed]
- Granot, J.; Gill, R.; Guetta, D.; De Colle, F. Off-axis emission of short GRB jets from double neutron star mergers and GRB 170817A. MNRAS 2018, 481, 1597–1608. [Google Scholar] [CrossRef]
- Granot, J.; De Colle, F.; Ramirez-Ruiz, E. Off-axis afterglow light curves and images from 2D hydrodynamic simulations of double-sided GRB jets in a stratified external medium. MNRAS 2018, 481, 2711–2720. [Google Scholar] [CrossRef]
- Hotokezaka, K.; Nakar, E.; Gottlieb, O.; Nissanke, S.; Masuda, K.; Hallinan, G.; Mooley, K.P.; Deller, A.T. A Hubble constant measurement from superluminal motion of the jet in GW170817. Nat. Astron. 2019, 3, 940–944. [Google Scholar] [CrossRef]
- Fernández, J.J.; Kobayashi, S.; Lamb, G.P. Lateral spreading effects on VLBI radio images of neutron star merger jets. MNRAS 2022, 509, 395–405. [Google Scholar] [CrossRef]
- Lin, H.; Totani, T.; Kiuchi, K. Non-thermal afterglow of the binary neutron star merger GW170817: A more natural modelling of electron energy distribution leads to a qualitatively different new solution. MNRAS 2019, 485, 2155–2166. [Google Scholar] [CrossRef]
- Lamb, G.P.; Lyman, J.D.; Levan, A.J.; Tanvir, N.R.; Kangas, T.; Fruchter, A.S.; Gompertz, B.; Hjorth, J.; Mandel, I.; Oates, S.R.; et al. The Optical Afterglow of GW170817 at One Year Post-merger. Astrophys. J. 2019, 870, L15. [Google Scholar] [CrossRef]
- Takahashi, K.; Ioka, K. Inverse reconstruction of jet structure from off-axis gamma-ray burst afterglows. MNRAS 2020, 497, 1217–1235. [Google Scholar] [CrossRef]
- Takahashi, K.; Ioka, K. Diverse jet structures consistent with the off-axis afterglow of GRB 170817A. MNRAS 2021, 501, 5746–5756. [Google Scholar] [CrossRef]
- Hallinan, G.; Corsi, A.; Mooley, K.P.; Hotokezaka, K.; Nakar, E.; Kasliwal, M.M.; Kaplan, D.L.; Frail, D.A.; Myers, S.T.; Murphy, T.; et al. A radio counterpart to a neutron star merger. Science 2017, 358, 1579–1583. [Google Scholar] [CrossRef] [PubMed]
- Alexander, K.D.; Berger, E.; Fong, W.; Williams, P.K.G.; Guidorzi, C.; Margutti, R.; Metzger, B.D.; Annis, J.; Blanchard, P.K.; Brout, D.; et al. The Electromagnetic Counterpart of the Binary Neutron Star Merger LIGO/Virgo GW170817. VI. Radio Constraints on a Relativistic Jet and Predictions for Late-time Emission from the Kilonova Ejecta. Astrophys. J. 2017, 848, L21. [Google Scholar] [CrossRef]
- Dobie, D.; Kaplan, D.L.; Murphy, T.; Lenc, E.; Mooley, K.P.; Lynch, C.; Corsi, A.; Frail, D.; Kasliwal, M.; Hallinan, G. A Turnover in the Radio Light Curve of GW170817. Astrophys. J. 2018, 858, L15. [Google Scholar] [CrossRef]
- Corsi, A.; Hallinan, G.W.; Lazzati, D.; Mooley, K.P.; Murphy, E.J.; Frail, D.A.; Carbone, D.; Kaplan, D.L.; Murphy, T.; Kulkarni, S.R.; et al. An Upper Limit on the Linear Polarization Fraction of the GW170817 Radio Continuum. Astrophys. J. 2018, 861, L10. [Google Scholar] [CrossRef]
- Mooley, K.P.; Nakar, E.; Hotokezaka, K.; Hallinan, G.; Corsi, A.; Frail, D.A.; Horesh, A.; Murphy, T.; Lenc, E.; Kaplan, D.L.; et al. A mildly relativistic wide-angle outflow in the neutron-star merger event GW170817. Nature 2018, 554, 207–210. [Google Scholar] [CrossRef] [PubMed]
- Balasubramanian, A.; Corsi, A.; Mooley, K.P.; Brightman, M.; Hallinan, G.; Hotokezaka, K.; Kaplan, D.L.; Lazzati, D.; Murphy, E.J. Continued Radio Observations of GW170817 3.5 yr Post-merger. Astrophys. J. 2021, 914, L20. [Google Scholar] [CrossRef]
- Margutti, R.; Berger, E.; Fong, W.; Guidorzi, C.; Alexander, K.D.; Metzger, B.D.; Blanchard, P.K.; Cowperthwaite, P.S.; Chornock, R.; Eftekhari, T.; et al. The Electromagnetic Counterpart of the Binary Neutron Star Merger LIGO/Virgo GW170817. V. Rising X-ray Emission from an Off-axis Jet. Astrophys. J. 2017, 848, L20. [Google Scholar] [CrossRef]
- Haggard, D.; Nynka, M.; Ruan, J.J.; Kalogera, V.; Cenko, S.B.; Evans, P.; Kennea, J.A. A Deep Chandra X-ray Study of Neutron Star Coalescence GW170817. Astrophys. J. 2017, 848, L25. [Google Scholar] [CrossRef]
- Troja, E.; Piro, L.; van Eerten, H.; Wollaeger, R.T.; Im, M.; Fox, O.D.; Butler, N.R.; Cenko, S.B.; Sakamoto, T.; Fryer, C.L.; et al. The X-ray counterpart to the gravitational-wave event GW170817. Nature 2017, 551, 71–74. [Google Scholar] [CrossRef]
- Nynka, M.; Ruan, J.J.; Haggard, D.; Evans, P.A. Fading of the X-ray Afterglow of Neutron Star Merger GW170817/GRB 170817A at 260 Days. Astrophys. J. 2018, 862, L19. [Google Scholar] [CrossRef]
- Piro, L.; Troja, E.; Zhang, B.; Ryan, G.; van Eerten, H.; Ricci, R.; Wieringa, M.H.; Tiengo, A.; Butler, N.R.; Cenko, S.B.; et al. A long-lived neutron star merger remnant in GW170817: Constraints and clues from X-ray observations. MNRAS 2019, 483, 1912–1921. [Google Scholar] [CrossRef]
- Hajela, A.; Margutti, R.; Alexander, K.D.; Kathirgamaraju, A.; Baldeschi, A.; Guidorzi, C.; Giannios, D.; Fong, W.; Wu, Y.; MacFadyen, A.; et al. Two Years of Nonthermal Emission from the Binary Neutron Star Merger GW170817: Rapid Fading of the Jet Afterglow and First Constraints on the Kilonova Fastest Ejecta. Astrophys. J. 2019, 886, L17. [Google Scholar] [CrossRef]
- Lyman, J.D.; Lamb, G.P.; Levan, A.J.; Mandel, I.; Tanvir, N.R.; Kobayashi, S.; Gompertz, B.; Hjorth, J.; Fruchter, A.S.; Kangas, T.; et al. The optical afterglow of the short gamma-ray burst associated with GW170817. Nat. Astron. 2018, 2, 751–754. [Google Scholar] [CrossRef]
- Fong, W.; Blanchard, P.K.; Alexander, K.D.; Strader, J.; Margutti, R.; Hajela, A.; Villar, V.A.; Wu, Y.; Ye, C.S.; Berger, E.; et al. The Optical Afterglow of GW170817: An Off-axis Structured Jet and Deep Constraints on a Globular Cluster Origin. Astrophys. J. 2019, 883, L1. [Google Scholar] [CrossRef]
- Makhathini, S.; Mooley, K.P.; Brightman, M.; Hotokezaka, K.; Nayana, A.J.; Intema, H.T.; Dobie, D.; Lenc, E.; Perley, D.A.; Fremling, C.; et al. The Panchromatic Afterglow of GW170817: The Full Uniform Data Set, Modeling, Comparison with Previous Results, and Implications. Astrophys. J. 2021, 922, 154. [Google Scholar] [CrossRef]
- Kasliwal, M.M.; Nakar, E.; Singer, L.P.; Kaplan, D.L.; Cook, D.O.; Van Sistine, A.; Lau, R.M.; Fremling, C.; Gottlieb, O.; Jencson, J.E.; et al. Illuminating gravitational waves: A concordant picture of photons from a neutron star merger. Science 2017, 358, 1559–1565. [Google Scholar] [CrossRef] [PubMed]
- Salafia, O.S.; Ghisellini, G.; Ghirlanda, G.; Colpi, M. Interpreting GRB170817A as a giant flare from a jet-less double neutron star merger. Astron. Astrophys. 2018, 619, A18. [Google Scholar] [CrossRef]
- Nathanail, A.; Porth, O.; Rezzolla, L. Magnetically Inspired Explosive Outflows from Neutron-star Mergers. Astrophys. J. 2019, 870, L20. [Google Scholar] [CrossRef]
- Nakar, E.; Piran, T. Afterglow Constraints on the Viewing Angle of Binary Neutron Star Mergers and Determination of the Hubble Constant. Astrophys. J. 2021, 909, 114. [Google Scholar] [CrossRef]
- Pian, E.; D’Avanzo, P.; Benetti, S.; Branchesi, M.; Brocato, E.; Campana, S.; Cappellaro, E.; Covino, S.; D’Elia, V.; Fynbo, J.P.U.; et al. Spectroscopic identification of r-process nucleosynthesis in a double neutron-star merger. Nature 2017, 551, 67–70. [Google Scholar] [CrossRef]
- LIGO Scientific Collaboration; Aasi, J.; Abbott, B.P.; Abbott, R.; Abbott, T.; Abernathy, M.R.; Ackley, K.; Adams, C.; Adams, T.; Addesso, P.; et al. Advanced LIGO. Class. Quantum Gravity 2015, 32, 074001. [Google Scholar] [CrossRef]
- Acernese, F.; Agathos, M.; Agatsuma, K.; Aisa, D.; Allemandou, N.; Allocca, A.; Amarni, J.; Astone, P.; Balestri, G.; Ballardin, G.; et al. Advanced Virgo: A second-generation interferometric gravitational wave detector. Class. Quantum Gravity 2015, 32, 024001. [Google Scholar] [CrossRef]
- Somiya, K. Detector configuration of KAGRA-the Japanese cryogenic gravitational-wave detector. Class. Quantum Gravity 2012, 29, 124007. [Google Scholar] [CrossRef]
- Abbott, B.P.; Abbott, R.; Abbott, T.D.; Abraham, S.; Acernese, F.; Ackley, K.; Adams, C.; Adya, V.B.; Affeldt, C.; Agathos, M.; et al. Prospects for observing and localizing gravitational-wave transients with Advanced LIGO, Advanced Virgo and KAGRA. Living Rev. Relativ. 2020, 23, 3. [Google Scholar] [CrossRef]
- Abbott, R.; Abbott, T.D.; Acernese, F.; Ackley, K.; Adams, C.; Adhikari, N.; Adhikari, R.X.; Adya, V.B.; Affeldt, C.; Agarwal, D.; et al. Search for Gravitational Waves Associated with Gamma-Ray Bursts Detected by Fermi and Swift during the LIGO-Virgo Run O3b. Astrophys. J. 2022, 928, 186. [Google Scholar] [CrossRef]
- Petrov, P.; Singer, L.P.; Coughlin, M.W.; Kumar, V.; Almualla, M.; Anand, S.; Bulla, M.; Dietrich, T.; Foucart, F.; Guessoum, N. Data-driven Expectations for Electromagnetic Counterpart Searches Based on LIGO/Virgo Public Alerts. Astrophys. J. 2022, 924, 54. [Google Scholar] [CrossRef]
- Colombo, A.; Salafia, O.S.; Gabrielli, F.; Ghirlanda, G.; Giacomazzo, B.; Perego, A.; Colpi, M. Multi-messenger observations of binary neutron star mergers in the O4 run. arXiv 2022, arXiv:2204.07592. [Google Scholar]
- Howell, E.J.; Ackley, K.; Rowlinson, A.; Coward, D. Joint gravitational wave - gamma-ray burst detection rates in the aftermath of GW170817. MNRAS 2019, 485, 1435–1447. [Google Scholar] [CrossRef]
- Mochkovitch, R.; Daigne, F.; Duque, R.; Zitouni, H. Prospects for kilonova signals in the gravitational-wave era. Astron. Astrophys. 2021, 651, A83. [Google Scholar] [CrossRef]
- Duque, R.; Daigne, F.; Mochkovitch, R. Radio afterglows of binary neutron star mergers: A population study for current and future gravitational wave observing runs. Astron. Astrophys. 2019, 631, A39. [Google Scholar] [CrossRef]
- Saleem, M. Prospects of joint detections of neutron star mergers and short GRBs with Gaussian structured jets. MNRAS 2020, 493, 1633–1639. [Google Scholar] [CrossRef]
- Zhu, J.P.; Wu, S.; Yang, Y.P.; Zhang, B.; Song, H.R.; Gao, H.; Cao, Z.; Yu, Y.W. Kilonova and Optical Afterglow from Binary Neutron Star Mergers. II. Optimal Search Strategy for Serendipitous Observations and Target-of-opportunity Observations of Gravitational-wave Triggers. arXiv 2021, arXiv:2110.10469. [Google Scholar]
- Yu, J.; Song, H.; Ai, S.; Gao, H.; Wang, F.; Wang, Y.; Lu, Y.; Fang, W.; Zhao, W. Multimessenger Detection Rates and Distributions of Binary Neutron Star Mergers and Their Cosmological Implications. Astrophys. J. 2021, 916, 54. [Google Scholar] [CrossRef]
- Salafia, O.S.; Colombo, A.; Gabrielli, F.; Mandel, I. Constraints on the merging binary neutron star mass distribution and equation of state based on the incidence of jets in the population. arXiv 2022, arXiv:2202.01656. [Google Scholar]












Publisher’s Note: MDPI stays neutral with regard to jurisdictional claims in published maps and institutional affiliations. |
© 2022 by the authors. Licensee MDPI, Basel, Switzerland. This article is an open access article distributed under the terms and conditions of the Creative Commons Attribution (CC BY) license (https://creativecommons.org/licenses/by/4.0/).
Share and Cite
Salafia, O.S.; Ghirlanda, G. The Structure of Gamma Ray Burst Jets. Galaxies 2022, 10, 93. https://doi.org/10.3390/galaxies10050093
Salafia OS, Ghirlanda G. The Structure of Gamma Ray Burst Jets. Galaxies. 2022; 10(5):93. https://doi.org/10.3390/galaxies10050093
Chicago/Turabian StyleSalafia, Om Sharan, and Giancarlo Ghirlanda. 2022. "The Structure of Gamma Ray Burst Jets" Galaxies 10, no. 5: 93. https://doi.org/10.3390/galaxies10050093
APA StyleSalafia, O. S., & Ghirlanda, G. (2022). The Structure of Gamma Ray Burst Jets. Galaxies, 10(5), 93. https://doi.org/10.3390/galaxies10050093

