Percutaneous Magnetic Resonance Imaging-Guided Focal Laser Ablation (MRI-FLA) of Prostate Tumors: A Systematic Review and Network Meta-Analysis
Abstract
1. Introduction
2. Materials and Methods
2.1. Eligibility Criteria
2.2. Analysis
2.3. Statistical Analysis
3. Results
3.1. RD
3.2. Cancer-Free Survival
3.3. Local Recurrence
3.4. Progression to Metastatic Disease
3.5. Technical Efficacy
3.6. Tolerance and Complications
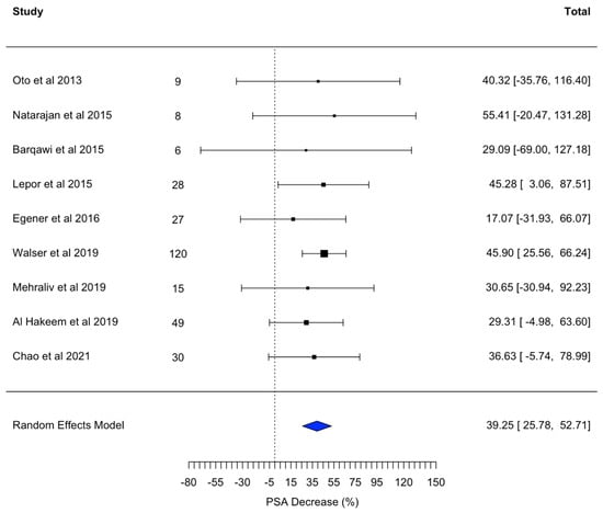
3.7. Decrease in PSA
3.8. Procedural Time
3.9. Follow-Up
4. Discussion
5. Conclusions
Author Contributions
Funding
Institutional Review Board Statement
Informed Consent Statement
Data Availability Statement
Conflicts of Interest
References
- Siegel, R.L.; Giaquinto, A.N.; Jemal, A. Cancer Statistics, 2024. CA Cancer J. Clin. 2024, 74, 12–49. [Google Scholar] [CrossRef]
- Barentsz, J.O.; Weinreb, J.C.; Verma, S.; Thoeny, H.C.; Tempany, C.M.; Shtern, F.; Padhani, A.R.; Margolis, D.; Macura, K.J.; Haider, M.A.; et al. Synopsis of the PI-RADS v2 Guidelines for Multiparametric Prostate Magnetic Resonance Imaging and Recommendations for Use. Eur. Urol. 2016, 69, 41–49. [Google Scholar] [CrossRef]
- Ahmed, H.U. The Index Lesion and the Origin of Prostate Cancer. N. Engl. J. Med. 2009, 361, 1704–1706. [Google Scholar] [CrossRef]
- Eastham, J.A.; Boorjian, S.A.; Kirkby, E. Clinically Localized Prostate Cancer: AUA/ASTRO Guideline. J. Urol. 2022, 208, 505–507. [Google Scholar] [CrossRef]
- Ahmed, H.U.; Dickinson, L.; Charman, S.; Weir, S.; McCartan, N.; Hindley, R.G.; Freeman, A.; Kirkham, A.P.; Sahu, M.; Scott, R.; et al. Focal Ablation Targeted to the Index Lesion in Multifocal Localised Prostate Cancer: A Prospective Development Study. Eur. Urol. 2015, 68, 927–936. [Google Scholar] [CrossRef]
- Ghai, S.; Finelli, A.; Corr, K.; Chan, R.; Jokhu, S.; Li, X.; McCluskey, S.; Konukhova, A.; Hlasny, E.; van der Kwast, T.H.; et al. MRI-Guided Focused Ultrasound Ablation for Localized Intermediate-Risk Prostate Cancer: Early Results of a Phase II Trial. Radiology 2021, 298, 695–703. [Google Scholar] [CrossRef]
- Rosenkrantz, A.B.; Scionti, S.M.; Mendrinos, S.; Taneja, S.S. Role of MRI in Minimally Invasive Focal Ablative Therapy for Prostate Cancer. Am. J. Roentgenol. 2011, 197, W90–W96. [Google Scholar] [CrossRef] [PubMed]
- Ramsay, E.; Mougenot, C.; Köhler, M.; Bronskill, M.; Klotz, L.; Haider, M.A.; Chopra, R. MR Thermometry in the Human Prostate Gland at 3.0T for Transurethral Ultrasound Therapy. J. Magn. Reson. Imaging JMRI 2013, 38, 1564–1571. [Google Scholar] [CrossRef]
- Donaldson, I.A.; Alonzi, R.; Barratt, D.; Barret, E.; Berge, V.; Bott, S.; Bottomley, D.; Eggener, S.; Ehdaie, B.; Emberton, M.; et al. Focal Therapy: Patients, Interventions, and Outcomes--a Report from a Consensus Meeting. Eur. Urol. 2015, 67, 771–777. [Google Scholar] [CrossRef]
- Javier-DesLoges, J.; Dall’Era, M.A.; Brisbane, W.; Chamie, K.; Washington, S.L.; Chandrasekar, T.; Marks, L.S.; Nguyen, H.; Daneshvar, M.; Gin, G.; et al. The State of Focal Therapy in the Treatment of Prostate Cancer: The University of California Collaborative (UC-Squared) Consensus Statement. Prostate Cancer Prostatic Dis. 2024, 27, 579–581. [Google Scholar] [CrossRef]
- Wimper, Y.; Fütterer, J.J.; Bomers, J.G.R. MR Imaging in Real Time Guiding of Therapies in Prostate Cancer. Life 2022, 12, 302. [Google Scholar] [CrossRef] [PubMed]
- Reddy, D.; Peters, M.; Shah, T.T.; van Son, M.; Tanaka, M.B.; Huber, P.M.; Lomas, D.; Rakauskas, A.; Miah, S.; Eldred-Evans, D.; et al. Cancer Control Outcomes Following Focal Therapy Using High-Intensity Focused Ultra-sound in 1379 Men with Nonmetastatic Prostate Cancer: A Multi-Institute 15-Year Experience. Eur. Urol. 2022, 81, 407–413. [Google Scholar] [CrossRef] [PubMed]
- Khandwala, Y.S.; Soerensen, S.J.C.; Morisetty, S.; Ghanouni, P.; Fan, R.E.; Vesal, S.; Rusu, M.; Sonn, G.A. The Association of Tissue Change and Treatment Success During High-Intensity Focused Ultrasound Focal Therapy for Prostate Cancer. Eur. Urol. Focus. 2023, 9, 584–591. [Google Scholar] [CrossRef]
- Kaufmann, B.; Raess, E.; Schmid, F.A.; Bieri, U.; Scherer, T.P.; Elleisy, M.; Donati, O.F.; Rupp, N.J.; Moch, H.; Gorin, M.A.; et al. Focal Therapy with High-Intensity Focused Ultrasound for Prostate Cancer: 3-Year Outcomes from a Prospective Trial. BJU Int. 2024, 133, 413–424. [Google Scholar] [CrossRef] [PubMed]
- Jolesz, F.A.; Bleier, A.R.; Jakab, P.; Ruenzel, P.W.; Huttl, K.; Jako, G.J. MR Imaging of Laser-Tissue Interactions. Radiology 1988, 168, 249–253. [Google Scholar] [CrossRef] [PubMed]
- Woodrum, D.A.; Gorny, K.R.; Mynderse, L.A.; Amrami, K.K.; Felmlee, J.P.; Bjarnason, H.; Garcia-Medina, O.I.; McNichols, R.J.; Atwell, T.D.; Callstrom, M.R. Feasibility of 3.0T Magnetic Resonance Imaging-Guided Laser Ablation of a Cadaveric Prostate. Urology 2010, 75, 1514.e1–1514.e6. [Google Scholar] [CrossRef] [PubMed]
- Beller, E.M.; Glasziou, P.P.; Altman, D.G.; Hopewell, S.; Bastian, H.; Chalmers, I.; Gøtzsche, P.C.; Lasserson, T.; Tovey, D. PRISMA for Abstracts Group PRISMA for Abstracts: Reporting Systematic Reviews in Journal and Conference Abstracts. PLoS Med. 2013, 10, e1001419. [Google Scholar] [CrossRef]
- Naike, W. How to Conduct a Meta-Analysis of Proportions in R: A Comprehensive Tutorial. 2018. [Google Scholar]
- Walser, E.; Nance, A.; Ynalvez, L.; Yong, S.; Aoughsten, J.S.; Eyzaguirre, E.J.; Williams, S.B. Focal Laser Ablation of Prostate Cancer: Results in 120 Patients with Low- to Intermediate-Risk Disease. J. Vasc. Interv. Radiol. JVIR 2019, 30, 401–409.e2. [Google Scholar] [CrossRef]
- Mehralivand, S.; George, A.K.; Hoang, A.N.; Rais-Bahrami, S.; Rastinehad, A.R.; Lebastchi, A.H.; Ahdoot, M.; Siddiqui, M.M.; Bloom, J.; Sidana, A.; et al. MRI-Guided Focal Laser Ablation of Prostate Cancer: A Prospective Single-Arm, Single-Center Trial with 3 Years of Follow-Up. Diagn. Interv. Radiol. Ank. Turk. 2021, 27, 394–400. [Google Scholar] [CrossRef]
- Oto, A.; Sethi, I.; Karczmar, G.; McNichols, R.; Ivancevic, M.K.; Stadler, W.M.; Watson, S.; Eggener, S. MR Imaging-Guided Focal Laser Ablation for Prostate Cancer: Phase I Trial. Radiology 2013, 267, 932–940. [Google Scholar] [CrossRef]
- Barqawi, A.; Krughoff, K.; Li, H.; Patel, N.U. Initial Experience of Targeted Focal Interstitial Laser Ablation of Prostate Cancer with MRI Guidance. Curr. Urol. 2015, 8, 199–207. [Google Scholar] [CrossRef]
- Eggener, S.E.; Yousuf, A.; Watson, S.; Wang, S.; Oto, A. Phase II Evaluation of Magnetic Resonance Imaging Guided Focal Laser Ablation of Prostate Cancer. J. Urol. 2016, 196, 1670–1675. [Google Scholar] [CrossRef]
- Natarajan, S.; Raman, S.; Priester, A.M.; Garritano, J.; Margolis, D.J.A.; Lieu, P.; Macairan, M.L.; Huang, J.; Grundfest, W.; Marks, L.S. Focal Laser Ablation of Prostate Cancer: Phase I Clinical Trial. J. Urol. 2016, 196, 68–75. [Google Scholar] [CrossRef]
- Lepor, H.; Llukani, E.; Sperling, D.; Fütterer, J.J. Complications, Recovery, and Early Functional Outcomes and Oncologic Control Following In-Bore Focal Laser Ablation of Prostate Cancer. Eur. Urol. 2015, 68, 924–926. [Google Scholar] [CrossRef] [PubMed]
- Chao, B.; Lepor, H. 5-Year Outcomes Following Focal Laser Ablation of Prostate Cancer. Urology 2021, 155, 124–129. [Google Scholar] [CrossRef] [PubMed]
- Al-Hakeem, Y.; Raz, O.; Gacs, Z.; Maclean, F.; Varol, C. Magnetic Resonance Image-Guided Focal Laser Ablation in Clinically Localized Prostate Cancer: Safety and Efficacy. ANZ J. Surg. 2019, 89, 1610–1614. [Google Scholar] [CrossRef]
- Dindo, D.; Demartines, N.; Clavien, P.-A. Classification of Surgical Complications: A New Proposal with Evaluation in a Cohort of 6336 Patients and Results of a Survey. Ann. Surg. 2004, 240, 205–213. [Google Scholar] [CrossRef] [PubMed]
- Junker, D.; Steinkohl, F.; Fritz, V.; Bektic, J.; Tokas, T.; Aigner, F.; Herrmann, T.R.W.; Rieger, M.; Nagele, U. Comparison of Multiparametric and Biparametric MRI of the Prostate: Are Gadolinium-Based Contrast Agents Needed for Routine Examinations? World J. Urol. 2019, 37, 691–699. [Google Scholar] [CrossRef]
- Couchoux, T.; Jaouen, T.; Melodelima-Gonindard, C.; Baseilhac, P.; Branchu, A.; Arfi, N.; Aziza, R.; Barry Delongchamps, N.; Bladou, F.; Bratan, F.; et al. Performance of a Region of Interest-Based Algorithm in Diagnosing International Society of Urological Pathology Grade Group ≥2 Prostate Cancer on the MRI-FIRST Database-CAD-FIRST Study. Eur. Urol. Oncol. 2024, 7, 1113–1122. [Google Scholar] [CrossRef]
- Manenti, G.; Nezzo, M.; Ryan, C.P.; Fraioli, F.R.; Carreri, B.; Gigliotti, P.E.; Angeloni, C.; Di Pietro, F.; De Angeli, M.; Perretta, T.; et al. Transperineal Laser Ablation (TPLA) with Ultrasound/MRI Fusion Guidance in the Treatment of Localized Radiotherapy-Resistant Prostate Cancer. BJR Open 2023, 5, 20230042. [Google Scholar] [CrossRef] [PubMed]
- Tay, K.J. Focal Therapy for Prostate Cancer—Ready to Be a Standard of Care? Prostate Cancer Prostatic Dis. 2021, 24, 931–932. [Google Scholar] [CrossRef]
- Ghai, S.; Finelli, A.; Corr, K.; Lajkosz, K.; McCluskey, S.; Chan, R.; Gertner, M.; van der Kwast, T.H.; Incze, P.F.; Zlotta, A.R.; et al. MRI-Guided Focused Ultrasound Focal Therapy for Intermediate-Risk Prostate Cancer: Final Results from a 2-Year Phase II Clinical Trial. Radiology 2024, 310, e231473. [Google Scholar] [CrossRef]
- Bakavicius, A.; Marra, G.; Macek, P.; Robertson, C.; Abreu, A.L.; George, A.K.; Malavaud, B.; Coloby, P.; Rischmann, P.; Moschini, M.; et al. Available Evidence on HIFU for Focal Treatment of Prostate Cancer: A Systematic Review. Int. Braz. J. Urol. Off. J. Braz. Soc. Urol. 2021, 48, 263–274. [Google Scholar] [CrossRef]
- Ayerra Perez, H.; Barba Abad, J.F.; Extramiana Cameno, J. An Update on Focal Therapy for Prostate Cancer. Clin. Genitourin. Cancer 2023, 21, 712.e1–712.e8. [Google Scholar] [CrossRef]
- Barret, E.; Ahallal, Y.; Sanchez-Salas, R.; Galiano, M.; Cosset, J.-M.; Validire, P.; Macek, P.; Durand, M.; Prapotnich, D.; Rozet, F.; et al. Morbidity of Focal Therapy in the Treatment of Localized Prostate Cancer. Eur. Urol. 2013, 63, 618–622. [Google Scholar] [CrossRef]
- Rakauskas, A.; Marra, G.; Heidegger, I.; Kasivisvanathan, V.; Kretschmer, A.; Zattoni, F.; Preisser, F.; Tilki, D.; Tsaur, I.; van den Bergh, R.; et al. Focal Therapy for Prostate Cancer: Complications and Their Treatment. Front. Surg. 2021, 8, 696242. [Google Scholar] [CrossRef] [PubMed]
- Walker, T.G.; Kalva, S.P.; Yeddula, K.; Wicky, S.; Kundu, S.; Drescher, P.; d’Othee, B.J.; Rose, S.C.; Cardella, J.F.; Society of Interventional Radiology Standards of Practice Committee; et al. Clinical Practice Guidelines for Endovascular Abdominal Aortic Aneurysm Repair: Written by the Standards of Practice Committee for the Society of Interventional Radiology and Endorsed by the Cardiovascular and Interventional Radiological Society of Europe and the Canadian Interventional Radiology Association. J. Vasc. Interv. Radiol. JVIR 2010, 21, 1632–1655. [Google Scholar] [CrossRef] [PubMed]
- Zhang, K.; Teoh, J.; Laguna, P.; Dominguez-Escrig, J.; Barret, E.; Ramon-Borja, J.C.; Muir, G.; Bohr, J.; de Reijke, T.M.; Pelechano Gómez, P.; et al. Effect of Focal vs Extended Irreversible Electroporation for the Ablation of Localized Low- or Intermediate-Risk Prostate Cancer on Early Oncological Control: A Randomized Clinical Trial. JAMA Surg. 2023, 158, 343–349. [Google Scholar] [CrossRef]
- Stabile, A.; Orczyk, C.; Giganti, F.; Moschini, M.; Allen, C.; Punwani, S.; Cathala, N.; Ahmed, H.U.; Cathelineau, X.; Montorsi, F.; et al. The Role of Percentage of Prostate-Specific Antigen Reduction After Focal Therapy Using High-Intensity Focused Ultrasound for Primary Localised Prostate Cancer. Results from a Large Multi-Institutional Series. Eur. Urol. 2020, 78, 155–160. [Google Scholar] [CrossRef]
- Feijoo, E.R.C.; Sivaraman, A.; Barret, E.; Sanchez-Salas, R.; Galiano, M.; Rozet, F.; Prapotnich, D.; Cathala, N.; Mombet, A.; Cathelineau, X. Focal High-Intensity Focused Ultrasound Targeted Hemiablation for Unilateral Prostate Cancer: A Prospective Evaluation of Oncologic and Functional Outcomes. Eur. Urol. 2016, 69, 214–220. [Google Scholar] [CrossRef] [PubMed]
- Ahmed, H.U.; Hindley, R.G.; Dickinson, L.; Freeman, A.; Kirkham, A.P.; Sahu, M.; Scott, R.; Allen, C.; Van der Meulen, J.; Emberton, M. Focal Therapy for Localised Unifocal and Multifocal Prostate Cancer: A Prospective Development Study. Lancet Oncol. 2012, 13, 622–632. [Google Scholar] [CrossRef] [PubMed]
- Chopra, R.; Colquhoun, A.; Burtnyk, M.; N’djin, W.A.; Kobelevskiy, I.; Boyes, A.; Siddiqui, K.; Foster, H.; Sugar, L.; Haider, M.A.; et al. MR Imaging-Controlled Transurethral Ultrasound Therapy for Conformal Treatment of Prostate Tissue: Initial Feasibility in Humans. Radiology 2012, 265, 303–313. [Google Scholar] [CrossRef]
- Peretsman, S.J.; Emberton, M.; Fleshner, N.; Shoji, S.; Bahler, C.D.; Miller, L.E. High-Intensity Focused Ultrasound with Visually Directed Power Adjustment for Focal Treatment of Localized Prostate Cancer: Systematic Review and Meta-Analysis. World J. Urol. 2024, 42, 175. [Google Scholar] [CrossRef] [PubMed]
- Muller, B.G.; van den Bos, W.; Brausi, M.; Cornud, F.; Gontero, P.; Kirkham, A.; Pinto, P.A.; Polascik, T.J.; Rastinehad, A.R.; de Reijke, T.M.; et al. Role of Multiparametric Magnetic Resonance Imaging (MRI) in Focal Therapy for Prostate Cancer: A Delphi Consensus Project. BJU Int. 2014, 114, 698–707. [Google Scholar] [CrossRef]



| Authors | Year | Patients | Mean Age (Year) | Mean Tumor Diameter (mm) | Mean PSA (ng/mL) | Mean Follow-Up | Cancer Free Survival | Residual Disease | Recurence Retreatment | Minor Complication | Major Complication | Mean PSA After Intervention | Mean Time Procedure (min) |
|---|---|---|---|---|---|---|---|---|---|---|---|---|---|
| Oto et al. [19] | 2013 | 15 | 66 | 12 | 6.2 | 6 | 78 | 22 | NA | 26.7 | 0 | 3.7 | 190 |
| Natarajan et al. [24] | 2015 | 8 | 63 | 11.5 | 7.4 | 6 | 62 | 38 | NA | 23 | 0 | 3.3 | 292 |
| Barqawi et al. [22] | 2015 | 7 | NA | NA | 5.5 | 12 | 34 | 66 | NA | 14 | 0 | 3.9 | NA |
| Lepor et al. [25] | 2015 | 25 | 66 | 11 | 5.3 | 3 | 96 | 0 | NA | 28 | 0 | 2.9 | NA |
| Eggener et al. [23] | 2016 | 27 | 62 | 15 | 4.1 | 3 | 96 | 11 | NA | 28 | 0 | 3.4 | 197 |
| Walser et al. [21] | 2019 | 120 | 64 | 12 | 6.1 | 34 | 83 | 17 | NA | 12.5 | 1,6 | 3.3 | 122 |
| Mehralivand et al. [26] | 2019 | 15 | 66 | 12.25 | 6.2 | 36 | 53.3 | 47 | NA | 67 | 0 | 4.3 | 283 |
| Al Hakeem et al. [27] | 2019 | 49 | 63 | 5.8 | 18 | 79.6 | 20 | NA | 0 | 0 | 4.1 | 120 | |
| Chao et al. [20] | 2021 | 36 | 66 | 11 | 5.5 | 71.5 | 83 | 17 | 40 | NA | 0 | NA | NA |
Disclaimer/Publisher’s Note: The statements, opinions and data contained in all publications are solely those of the individual author(s) and contributor(s) and not of MDPI and/or the editor(s). MDPI and/or the editor(s) disclaim responsibility for any injury to people or property resulting from any ideas, methods, instructions or products referred to in the content. |
© 2024 by the authors. Licensee MDPI, Basel, Switzerland. This article is an open access article distributed under the terms and conditions of the Creative Commons Attribution (CC BY) license (https://creativecommons.org/licenses/by/4.0/).
Share and Cite
Marcelin, C.; Klein, C.; Robert, G.; Bladou, F.; Grenier, N.; Jambon, E. Percutaneous Magnetic Resonance Imaging-Guided Focal Laser Ablation (MRI-FLA) of Prostate Tumors: A Systematic Review and Network Meta-Analysis. J. Pers. Med. 2024, 14, 1146. https://doi.org/10.3390/jpm14121146
Marcelin C, Klein C, Robert G, Bladou F, Grenier N, Jambon E. Percutaneous Magnetic Resonance Imaging-Guided Focal Laser Ablation (MRI-FLA) of Prostate Tumors: A Systematic Review and Network Meta-Analysis. Journal of Personalized Medicine. 2024; 14(12):1146. https://doi.org/10.3390/jpm14121146
Chicago/Turabian StyleMarcelin, Clément, Clément Klein, Grégoire Robert, Franck Bladou, Nicolas Grenier, and Eva Jambon. 2024. "Percutaneous Magnetic Resonance Imaging-Guided Focal Laser Ablation (MRI-FLA) of Prostate Tumors: A Systematic Review and Network Meta-Analysis" Journal of Personalized Medicine 14, no. 12: 1146. https://doi.org/10.3390/jpm14121146
APA StyleMarcelin, C., Klein, C., Robert, G., Bladou, F., Grenier, N., & Jambon, E. (2024). Percutaneous Magnetic Resonance Imaging-Guided Focal Laser Ablation (MRI-FLA) of Prostate Tumors: A Systematic Review and Network Meta-Analysis. Journal of Personalized Medicine, 14(12), 1146. https://doi.org/10.3390/jpm14121146

