Enhancement of Chondrogenic Differentiation in Bone Marrow-Derived Stem Cell Spheroids by Cuminum cyminum Methanolic Extract: Insights into Concentration-Dependent mRNA Expression and Gene Clustering Analysis
Abstract
1. Introduction
2. Materials and Methods
2.1. Preparation of Plant Materials
2.2. Design of This Present Study Utilizing Bone Marrow Mesenchymal Stem Cells
2.3. Fabrication of Stem Cell Spheroids
2.4. Determination of Cellular Viability
2.5. Evaluation of SOX9, FAM20B, COL2A1, and COL1A1 by Quantitative Real-Time Polymerase Chain Reaction (PCR)
2.6. Western Blot
2.7. RNA Extraction, Sequencing Process and Analysis
2.8. Statistical Analysis
3. Results
3.1. Assessment of Cell Morphology
3.2. Measurement of Spheroid Diameters
3.3. Evaluation of Cellular Viability
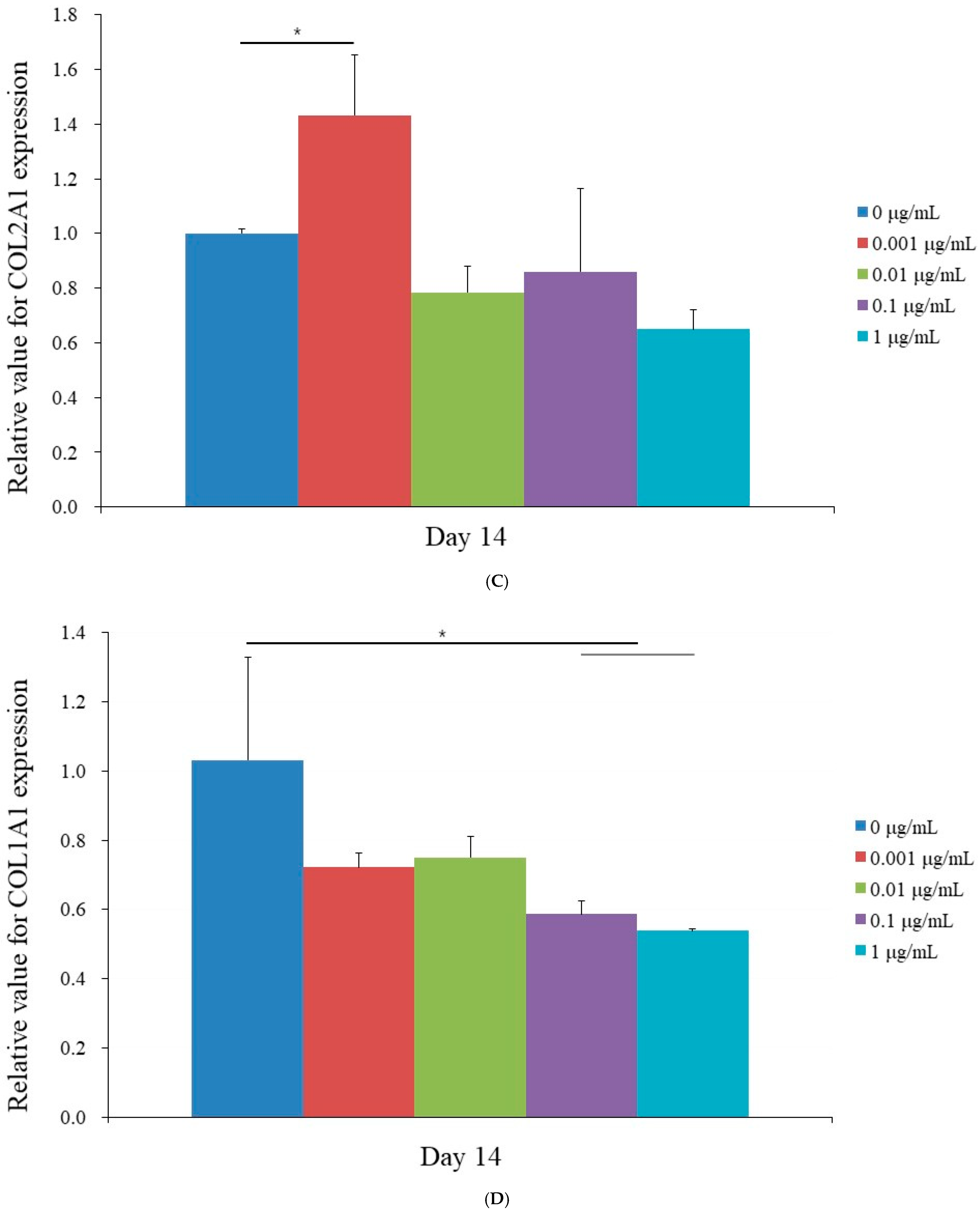
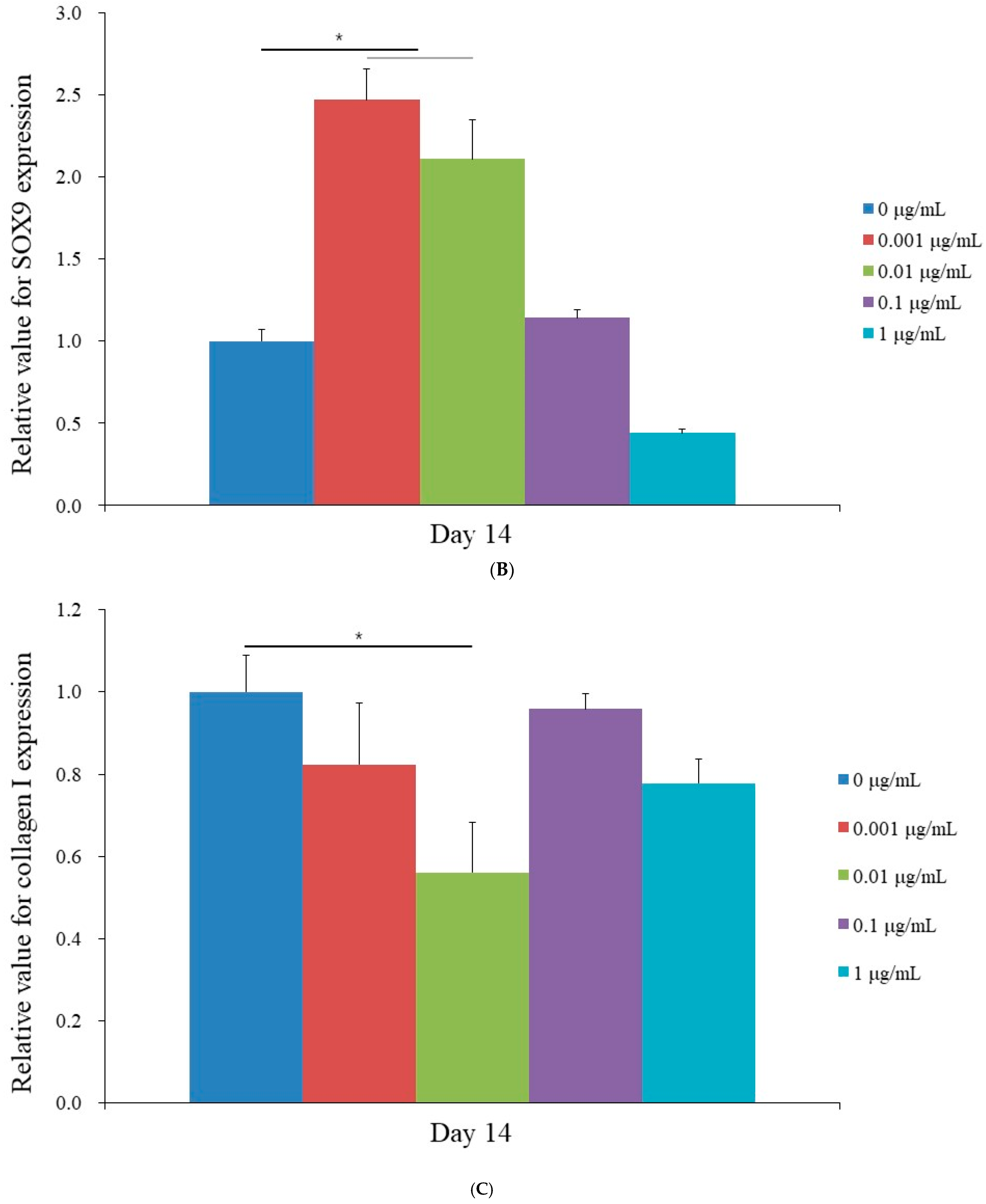
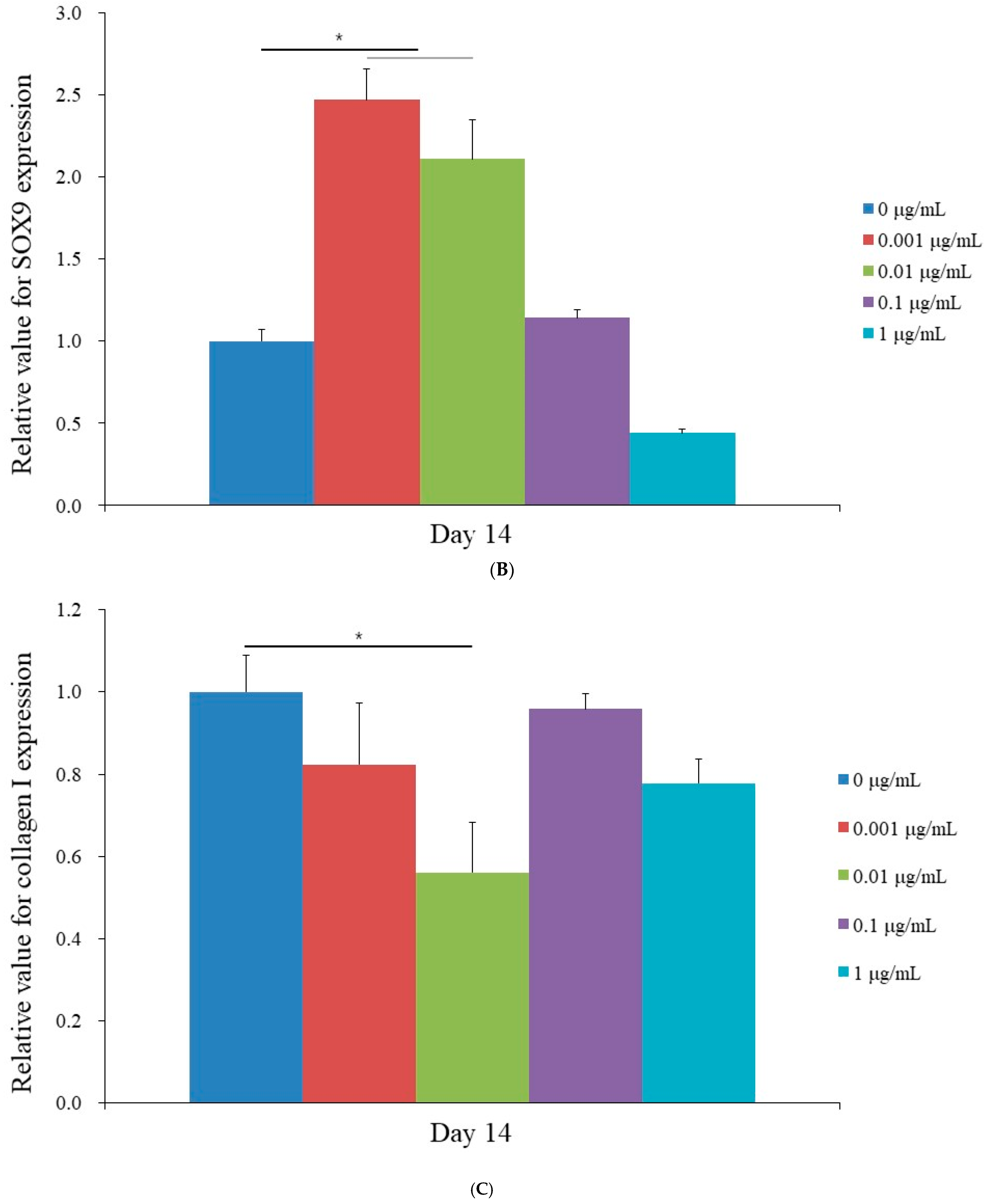
3.4. Evaluation of SOX9, FAM20B, COL2A1, and COL1A1 Gene Expression with Quantitative Real-Time Polymerase Chain Reaction
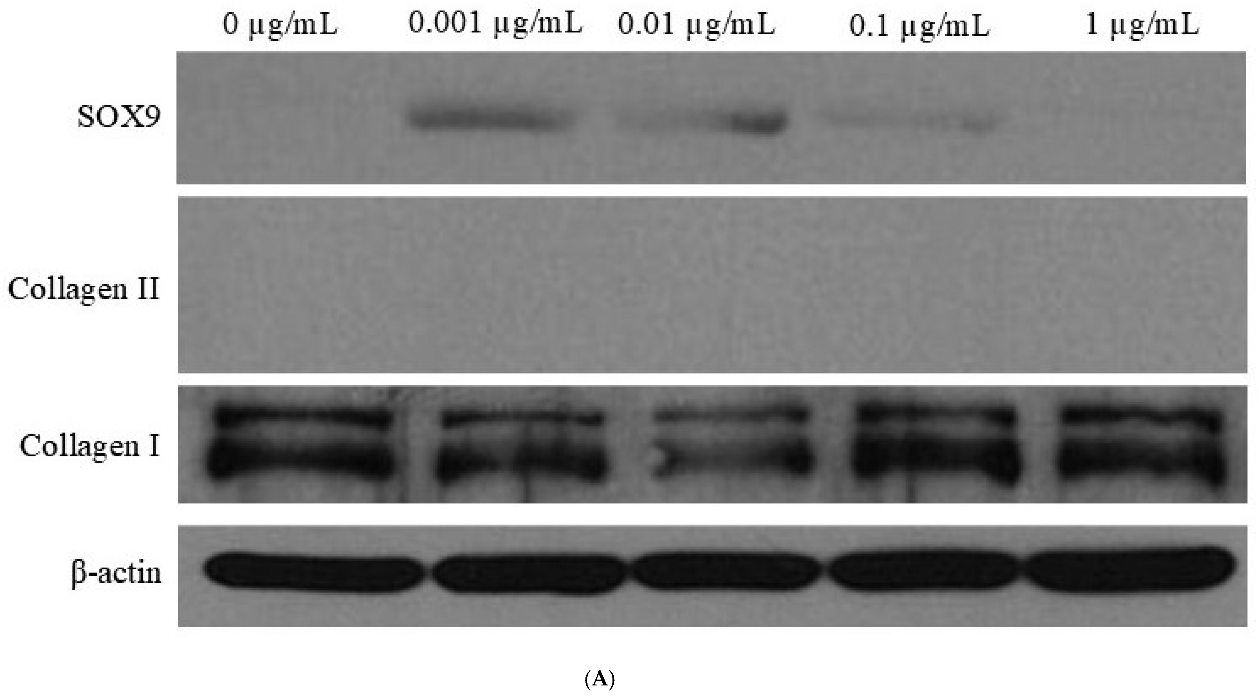
3.5. Western Blot Analysis
3.6. Concentration-Dependent mRNA Expression Changes in BMSCs Induced by Cumin: A Clustering and Differential Analysis
4. Discussion
5. Conclusions
Author Contributions
Funding
Institutional Review Board Statement
Informed Consent Statement
Data Availability Statement
Acknowledgments
Conflicts of Interest
References
- Park, J.B.; Kim, I.; Lee, W.; Kim, H. Evaluation of the regenerative capacity of stem cells combined with bone graft material and collagen matrix using a rabbit calvarial defect model. J. Periodontal Implant Sci. 2023, 53, 467–477. [Google Scholar] [CrossRef] [PubMed]
- Nam, J.H.; Almansoori, A.A.; Kwon, O.J.; Seo, Y.K.; Kim, B.; Kim, Y.K.; Lee, J.H.; Pang, K. Sinus augmentation with poly(ε)caprolactone-β tricalcium phosphate scaffolds, mesenchymal stem cells and platelet rich plasma for one-stage dental implantation in minipigs. J. Periodontal Implant Sci. 2023, 53, 218–232. [Google Scholar] [CrossRef] [PubMed]
- Dong, K.; Zhou, W.J.; Liu, Z.H. Metformin enhances the osteogenic activity of rat bone marrow mesenchymal stem cells by inhibiting oxidative stress induced by diabetes mellitus: An in vitro and in vivo study. J. Periodontal Implant Sci. 2023, 53, 54–68. [Google Scholar] [CrossRef] [PubMed]
- Cho, Y.D.; Kim, K.H.; Lee, Y.M.; Ku, Y.; Seol, Y.J. Dental-derived cells for regenerative medicine: Stem cells, cell reprogramming, and transdifferentiation. J. Periodontal Implant Sci. 2022, 52, 437–454. [Google Scholar] [CrossRef] [PubMed]
- Lee, H.; Lee, S.I.; Ko, Y.; Park, J.B. Evaluation of the secretion and release of vascular endothelial growth factor from two-dimensional culture and three-dimensional cell spheroids formed with stem cells and osteoprecursor cells. Adv. Clin. Exp. Med. Off. Organ Wroc. Med. Univ. 2018, 27, 971–977. [Google Scholar] [CrossRef]
- Safi, I.N.; Hussein, B.M.A.; Al-Shammari, A.M. Bio-hybrid dental implants prepared using stem cells with β-TCP-coated titanium and zirconia. J. Periodontal Implant Sci. 2022, 52, 242–257. [Google Scholar] [CrossRef]
- Kang, S.H.; Park, J.B.; Kim, I.; Lee, W.; Kim, H. Assessment of stem cell viability in the initial healing period in rabbits with a cranial bone defect according to the type and form of scaffold. J. Periodontal Implant Sci. 2019, 49, 258–267. [Google Scholar] [CrossRef]
- Lee, J.W.; Kim, Y.H.; Kim, S.H.; Han, S.H.; Hahn, S.B. Chondrogenic differentiation of mesenchymal stem cells and its clinical applications. Yonsei Med. J. 2004, 45 (Suppl.), 41–47. [Google Scholar] [CrossRef]
- Fürsatz, M.; Gerges, P.; Wolbank, S.; Nürnberger, S. Autonomous spheroid formation by culture plate compartmentation. Biofabrication 2021, 13, 035018. [Google Scholar] [CrossRef]
- Zhang, K.; Fang, H.; Qin, Y.; Zhang, L.; Yin, J. Functionalized Scaffold for in Situ Efficient Gene Transfection of Mesenchymal Stem Cells Spheroids toward Chondrogenesis. ACS Appl. Mater. Interfaces 2018, 10, 33993–34004. [Google Scholar] [CrossRef]
- Hsu, S.H.; Huang, G.S.; Lin, S.Y.; Feng, F.; Ho, T.T.; Liao, Y.C. Enhanced chondrogenic differentiation potential of human gingival fibroblasts by spheroid formation on chitosan membranes. Tissue Eng. Part A 2012, 18, 67–79. [Google Scholar] [CrossRef] [PubMed]
- Ghasemi-Varnamkhasti, M.; Amiri, Z.S.; Tohidi, M.; Dowlati, M.; Mohtasebi, S.S.; Silva, A.C.; Fernandes, D.D.S.; Araujo, M.C.U. Differentiation of cumin seeds using a metal-oxide based gas sensor array in tandem with chemometric tools. Talanta 2018, 176, 221–226. [Google Scholar] [CrossRef] [PubMed]
- Lee, H.; Song, Y.; Park, Y.H.; Uddin, M.S.; Park, J.B. Evaluation of the Effects of Cuminum cyminum on Cellular Viability, Osteogenic Differentiation and Mineralization of Human Bone Marrow-Derived Stem Cells. Medicina 2021, 57, 38. [Google Scholar] [CrossRef] [PubMed]
- Karimian, J.; Farrokhzad, A.; Jalili, C. The effect of cumin (Cuminum cyminum L.) supplementation on glycemic indices: A systematic review and meta-analysis of randomized controlled trials. Phytother. Res. PTR 2021, 35, 4127–4135. [Google Scholar] [CrossRef] [PubMed]
- Mousavi, S.; Weschka, D.; Bereswill, S.; Heimesaat, M.M. Immune-Modulatory Effects upon Oral Application of Cumin-Essential-Oil to Mice Suffering from Acute Campylobacteriosis. Pathogens 2021, 10, 818. [Google Scholar] [CrossRef]
- Xing, L.; Li, Y.; Li, W.; Liu, R.; Geng, Y.; Ma, W.; Qiao, Y.; Li, J.; Lv, Y.; Fang, Y.; et al. Expression of RUNX2/LAPTM5 in the Induction of MC3T3-e1 Mineralization and Its Possible Relationship with Autophagy. Tissue Eng. Regen. Med. 2022, 19, 1223–1235. [Google Scholar] [CrossRef]
- Huh, J.E.; Koh, P.S.; Seo, B.K.; Park, Y.C.; Baek, Y.H.; Lee, J.D.; Park, D.S. Mangiferin reduces the inhibition of chondrogenic differentiation by IL-1β in mesenchymal stem cells from subchondral bone and targets multiple aspects of the Smad and SOX9 pathways. Int. J. Mol. Sci. 2014, 15, 16025–16042. [Google Scholar] [CrossRef]
- Maepa, M.; Ssemakalu, C.C.; Motaung, K.S. The Potential Chondrogenic Effect of Eucomis autumnalis Aqueous Extracts on Porcine Adipose-Derived Mesenchymal Stem Cells. Tissue Eng. Part A 2019, 25, 1137–1145. [Google Scholar] [CrossRef]
- Ariyoshi, W.; Usui, M.; Sano, K.; Kawano, A.; Okinaga, T.; Nakashima, K.; Nakazawa, K.; Nishihara, T. 3D spheroid culture models for chondrocytes using polyethylene glycol-coated microfabricated chip. Biomed. Res. 2020, 41, 187–197. [Google Scholar] [CrossRef]
- Ko, J.Y.; Park, J.W.; Kim, J.; Im, G.I. Characterization of adipose-derived stromal/stem cell spheroids versus single-cell suspension in cell survival and arrest of osteoarthritis progression. J. Biomed. Mater. Res. Part A 2021, 109, 869–878. [Google Scholar] [CrossRef]
- Jeong, C.H.; Kim, S.M.; Lim, J.Y.; Ryu, C.H.; Jun, J.A.; Jeun, S.S. Mesenchymal stem cells expressing brain-derived neurotrophic factor enhance endogenous neurogenesis in an ischemic stroke model. BioMed Res. Int. 2014, 2014, 129145. [Google Scholar] [CrossRef] [PubMed]
- Kim, B.B.; Tae, J.Y.; Ko, Y.; Park, J.B. Lovastatin increases the proliferation and osteoblastic differentiation of human gingiva-derived stem cells in three-dimensional cultures. Exp. Ther. Med. 2019, 18, 3425–3430. [Google Scholar] [CrossRef] [PubMed]
- Son, J.; Tae, J.Y.; Min, S.K.; Ko, Y.; Park, J.B. Fibroblast growth factor-4 maintains cellular viability while enhancing osteogenic differentiation of stem cell spheroids in part by regulating RUNX2 and BGLAP expression. Exp. Ther. Med. 2020, 20, 2013–2020. [Google Scholar] [CrossRef] [PubMed]
- Lee, S.I.; Yeo, S.I.; Kim, B.B.; Ko, Y.; Park, J.B. Formation of size-controllable spheroids using gingiva-derived stem cells and concave microwells: Morphology and viability tests. Biomed. Rep. 2016, 4, 97–101. [Google Scholar] [CrossRef]
- Ha, D.H.; Yong, C.S.; Kim, J.O.; Jeong, J.H.; Park, J.B. Effects of tacrolimus on morphology, proliferation and differentiation of mesenchymal stem cells derived from gingiva tissue. Mol. Med. Rep. 2016, 14, 69–76. [Google Scholar] [CrossRef]
- Zubillaga, V.; Alonso-Varona, A.; Fernandes, S.C.M.; Salaberria, A.M.; Palomares, T. Adipose-derived mesenchymal stem cell chondrospheroids cultured in hypoxia and a 3D porous chitosan/chitin nanocrystal scaffold as a platform for cartilage tissue engineering. Int. J. Mol. Sci. 2020, 21, 1004. [Google Scholar] [CrossRef]
- Zhou, Q.; Su, X.; Jing, G.; Chen, S.; Ning, K. RNA-QC-chain: Comprehensive and fast quality control for RNA-Seq data. BMC Genom. 2018, 19, 144. [Google Scholar] [CrossRef]
- Trapnell, C.; Pachter, L.; Salzberg, S.L. TopHat: Discovering splice junctions with RNA-Seq. Bioinformatics 2009, 25, 1105–1111. [Google Scholar] [CrossRef]
- Del Fabbro, C.; Scalabrin, S.; Morgante, M.; Giorgi, F.M. An extensive evaluation of read trimming effects on Illumina NGS data analysis. PLoS ONE 2013, 8, e85024. [Google Scholar] [CrossRef]
- Bushnell, B. BBMap: A Fast, Accurate, Splice-Aware Aligner. In Proceedings of the Conference: 9th Annual Genomics of Energy & Environment Meeting, Walnut Creek, CA, USA, 17–20 March 2014. [Google Scholar]
- Gentleman, R.C.; Carey, V.J.; Bates, D.M.; Bolstad, B.; Dettling, M.; Dudoit, S.; Ellis, B.; Gautier, L.; Ge, Y.; Gentry, J.; et al. Bioconductor: Open software development for computational biology and bioinformatics. Genome Biol. 2004, 5, R80. [Google Scholar] [CrossRef]
- Roberts, A.; Trapnell, C.; Donaghey, J.; Rinn, J.L.; Pachter, L. Improving RNA-Seq expression estimates by correcting for fragment bias. Genome Biol. 2011, 12, R22. [Google Scholar] [CrossRef] [PubMed]
- Kanehisa, M.; Furumichi, M.; Tanabe, M.; Sato, Y.; Morishima, K. KEGG: New perspectives on genomes, pathways, diseases and drugs. Nucleic Acids Res. 2017, 45, D353–D361. [Google Scholar] [CrossRef]
- Endo, K.; Fujita, N.; Nakagawa, T.; Nishimura, R. Comparison of the effect of growth factors on chondrogenesis of canine mesenchymal stem cells. J. Vet. Med. Sci. 2019, 81, 1211–1218. [Google Scholar] [CrossRef] [PubMed]
- He, H.; Wang, C.; Tang, Q.; Yang, F.; Xu, Y. Elucidation of possible molecular mechanisms underlying the estrogen-induced disruption of cartilage development in zebrafish larvae. Toxicol. Lett 2018, 289, 22–27. [Google Scholar] [CrossRef] [PubMed]
- Vakhrushev, I.V.; Basok, Y.B.; Baskaev, K.K.; Novikova, V.D.; Leonov, G.E.; Grigoriev, A.M.; Belova, A.D.; Kirsanova, L.A.; Lupatov, A.Y.; Burunova, V.V. Cartilage-Specific Gene Expression and Extracellular Matrix Deposition in the Course of Mesenchymal Stromal Cell Chondrogenic Differentiation in 3D Spheroid Culture. Int. J. Mol. Sci. 2024, 25, 5695. [Google Scholar] [CrossRef] [PubMed]
- Song, Y.M.; Lee, H.J.; Min, S.K.; Park, Y.H.; Oh, J.K.; Kim, J.Y.; Park, J.B. Effects of noni on cellular viability and osteogenic differentiation of gingiva-derived stem cells demonstrated by RNA sequencing and quantitative PCR. Exp. Ther. Med. 2022, 23, 32. [Google Scholar] [CrossRef]
- McCorry, M.C.; Puetzer, J.L.; Bonassar, L.J. Characterization of mesenchymal stem cells and fibrochondrocytes in three-dimensional co-culture: Analysis of cell shape, matrix production, and mechanical performance. Stem Cell Res. Ther. 2016, 7, 39. [Google Scholar] [CrossRef]
- Hada, M.; Nishi, K.; Ishida, M.; Onda, H.; Nishimoto, S.; Sugahara, T. Inhibitory effect of aqueous extract of Cuminum cyminum L. seed on degranulation of RBL-2H3 cells and passive cutaneous anaphylaxis reaction in mice. Cytotechnology 2019, 71, 599–609. [Google Scholar] [CrossRef]
- Katiraee, F.; Ahmadi Afshar, S.; Rahimi Pirmahalleh, S.F.; Shokri, H. In vitro antifungal activity of essential oils extracted from plants against fluconazole-susceptible and -resistant Candida albicans. Curr. Med. Mycol. 2017, 3, 1–6. [Google Scholar] [CrossRef]
- Zhang, Y.; Kumagai, K.; Saito, T. Effect of parathyroid hormone on early chondrogenic differentiation from mesenchymal stem cells. J. Orthop. Surg. Res. 2014, 9, 68. [Google Scholar] [CrossRef]
- Arufe, M.C.; De la Fuente, A.; Fuentes, I.; de Toro, F.J.; Blanco, F.J. Chondrogenic potential of subpopulations of cells expressing mesenchymal stem cell markers derived from human synovial membranes. J. Cell. Biochem. 2010, 111, 834–845. [Google Scholar] [CrossRef] [PubMed]
- Moldaschl, J.; Chariyev-Prinz, F.; Toegel, S.; Keck, M.; Hiden, U.; Egger, D.; Kasper, C. Spheroid trilineage differentiation model of primary mesenchymal stem/stromal cells under hypoxia and serum-free culture conditions. Front. Bioeng. Biotechnol. 2024, 12, 1444363. [Google Scholar] [CrossRef] [PubMed]
- Berridge, M.V.; Herst, P.M.; Tan, A.S. Tetrazolium dyes as tools in cell biology: New insights into their cellular reduction. Biotechnol. Annu. Rev. 2005, 11, 127–152. [Google Scholar] [CrossRef] [PubMed]
- Kamiloglu, S.; Sari, G.; Ozdal, T.; Capanoglu, E. Guidelines for cell viability assays. Food Front. 2020, 1, 332–349. [Google Scholar] [CrossRef]
- Teimourinejad, A.; Hashemibeni, B.; Salehi, H.; Mostafavi, F.S.; Kazemi, M.; Bahramian, H. Chondrogenic activity of two herbal products; pomegranate fruit extract and avocado/soybean unsaponifiable. Res. Pharm. Sci. 2020, 15, 358–366. [Google Scholar] [CrossRef]
- Pardavella, I.; Daferera, D.; Tselios, T.; Skiada, P.; Giannakou, I. The use of essential oil and hydrosol extracted from Cuminum cyminum seeds for the control of Meloidogyne incognita and Meloidogyne javanica. Plants 2020, 10, 46. [Google Scholar] [CrossRef]
- Srinivasan, K. Cumin (Cuminum cyminum) and black cumin (Nigella sativa) seeds: Traditional uses, chemical constituents, and nutraceutical effects. Food Qual. Saf. 2018, 2, 1–16. [Google Scholar] [CrossRef]
- Gaissmaier, C.; Koh, J.L.; Weise, K. Growth and differentiation factors for cartilage healing and repair. Injury 2008, 39 (Suppl. S1), S88–S96. [Google Scholar] [CrossRef]
- Ishikawa, T.; Takayanagi, T.; Kitajima, J. Water-soluble constituents of cumin: Monoterpenoid glucosides. Chem. Pharm. Bull. 2002, 50, 1471–1478. [Google Scholar] [CrossRef][Green Version]
- Wang, P.; Zhang, F.; He, Q.; Wang, J.; Shiu, H.T.; Shu, Y.; Tsang, W.P.; Liang, S.; Zhao, K.; Wan, C. Flavonoid Compound Icariin Activates Hypoxia Inducible Factor-1α in Chondrocytes and Promotes Articular Cartilage Repair. PLoS ONE 2016, 11, e0148372. [Google Scholar] [CrossRef]
- Tabarsa, M.; You, S.; Yelithao, K.; Palanisamy, S.; Prabhu, N.M.; Nan, M. Isolation, structural elucidation and immuno-stimulatory properties of polysaccharides from Cuminum cyminum. Carbohydr. Polym. 2020, 230, 115636. [Google Scholar] [CrossRef] [PubMed]
- Mahmood, R.; Ikram, R.; Rizwani, G.H.; Khatoon, H. Comparison of neuropharmacological activities of methanolic extracts of Cuminum nigrum (Linn.) and Centratherum anthelminticum (Linn.) in mice. Pak. J. Pharm. Sci. 2019, 32, 81–87. [Google Scholar] [PubMed]
- Srivsatava, R.; Srivastava, S.P.; Jaiswal, N.; Mishra, A.; Maurya, R.; Srivastava, A.K. Antidiabetic and antidyslipidemic activities of Cuminum cyminum L. in validated animal models. Med. Chem. Res. 2011, 20, 1656–1666. [Google Scholar] [CrossRef]
- Patil, D.N.; Kulkarni, A.R.; Shahapurkar, A.A.; Hatappakki, B.C. Natural cumin seeds for wound healing activity in albino rats. Int. J. Biol. Chem. 2009, 3, 148–152. [Google Scholar] [CrossRef]
- Baharlou Houreh, A.; Masaeli, E.; Nasr-Esfahani, M.H. Chitosan/polycaprolactone multilayer hydrogel: A sustained Kartogenin delivery model for cartilage regeneration. Int. J. Biol. Macromol. 2021, 177, 589–600. [Google Scholar] [CrossRef] [PubMed]
- Jiang, X.; Huang, B.; Yang, H.; Li, G.; Zhang, C.; Yang, G.; Lin, F.; Lin, G. TGF-β1 is involved in vitamin D-induced chondrogenic differentiation of bone marrow-derived mesenchymal stem cells by regulating the ERK/JNK pathway. Cell. Physiol. Biochem. Int. J. Exp. Cell. Physiol. Biochem. Pharmacol. 2017, 42, 2230–2241. [Google Scholar] [CrossRef]
- Han, Z.; He, X.; Feng, Y.; Jiang, W.; Zhou, N.; Huang, X. Hsp20 Promotes Endothelial Progenitor Cell Angiogenesis via Activation of PI3K/Akt Signaling Pathway under Hypoxia. Tissue Eng. Regen. Med. 2022, 19, 1251–1266. [Google Scholar] [CrossRef]
- Hardingham, T.E.; Oldershaw, R.A.; Tew, S.R. Cartilage, SOX9 and Notch signals in chondrogenesis. J. Anat. 2006, 209, 469–480. [Google Scholar] [CrossRef]
- Koike, T.; Izumikawa, T.; Tamura, J.; Kitagawa, H. FAM20B is a kinase that phosphorylates xylose in the glycosaminoglycan-protein linkage region. Biochem. J. 2009, 421, 157–162. [Google Scholar] [CrossRef]
- Ezura, Y.; Sekiya, I.; Koga, H.; Muneta, T.; Noda, M. Methylation status of CpG islands in the promoter regions of signature genes during chondrogenesis of human synovium-derived mesenchymal stem cells. Arthritis Rheum. 2009, 60, 1416–1426. [Google Scholar] [CrossRef]
- Aydin, I.; Sirin, D.Y.; Karaarslan, N.; Ozbek, H. Investigation of the Potential Effects of Alpha-Lipoic Acid on Human Degenerated Intervertebral Disc Tissue Primary Cell Cultures. Turk. Neurosurg. 2022, 32, 420–429. [Google Scholar] [CrossRef] [PubMed]
- Mjelle, R.; Kristensen, A.K.; Solheim, T.S.; Westvik, G.S.; Elvebakken, H.; Hofsli, E. Serum small RNAs in metastatic colorectal cancer predict response to chemotherapy and characterize high-risk patients. Mol. Cancer 2024, 23, 133. [Google Scholar] [CrossRef] [PubMed]
- Liang, J.; Wen, J.; Huang, Z.; Chen, X.; Zhang, B.; Chu, L. Small nucleolar RNAs: Insight into their function in cancer. Front. Oncol. 2019, 9, 587. [Google Scholar] [CrossRef] [PubMed]
Gene Symbol * | Gene Name | Modulation | Description |
---|---|---|---|
TRNE | Transfer RNA Glutamic Acid | Upmodulated | Transfer RNA gene |
RN7SKP283 | 7SK Small Nuclear RNA Pseudogene 283 | Upmodulated | RNA-binding protein |
LOC105378662 | Uncharacterized LOC105378662 | Upmodulated | Non-coding RNA |
LOC105376269 | Uncharacterized LOC105376269 | Upmodulated | Non-coding RNA |
SNORA22 | Small Nucleolar RNA, H/ACA Box 22 | Downmodulated | Small nucleolar RNA |
AS3MT | Arsenite Methyltransferase | Upmodulated | Arsenite methyltransferase |
RNVU1-6 | RNA Vault 1-6 | Upmodulated | RNA, vault structure |
HIST1H2BN | Histone Cluster 1 H2B N | Upmodulated | Histone-related protein |
RN7SL689P | Signal Recognition Particle RNA Pseudogene 689 | Upmodulated | Ribosomal pseudogene |
RN7SL648P | Signal Recognition Particle RNA Pseudogene 648 | Upmodulated | Ribosomal pseudogene |
LOC171391 | Uncharacterized LOC171391 | Downmodulated | Non-coding RNA |
RPL21P16 | Ribosomal Protein L21 Pseudogene 16 | Upmodulated | Ribosomal pseudogene |
RN7SKP69 | 7SK Small Nuclear RNA Pseudogene 69 | Downmodulated | Small nuclear RNA |
RBM14-RBM4 | RNA Binding Motif Protein 14 | Upmodulated | RNA-binding protein |
TRNS1 | Transfer RNA Synthetase 1 | Upmodulated | Transfer RNA synthetase |
RN7SL754P | Signal Recognition Particle RNA Pseudogene 754 | Downmodulated | Ribosomal pseudogene |
RN7SL67P | Signal Recognition Particle RNA Pseudogene 67 | Upmodulated | Ribosomal pseudogene |
RN7SL552P | Signal Recognition Particle RNA Pseudogene 552 | Downmodulated | Ribosomal pseudogene |
RN7SL34P | Signal Recognition Particle RNA Pseudogene 34 | Upmodulated | Ribosomal pseudogene |
HIST1H2AL | Histone Cluster 1 H2A L | Downmodulated | Histone-related protein |
RN7SL851P | Signal Recognition Particle RNA Pseudogene 851 | Downmodulated | Ribosomal pseudogene |
LOC107984521 | Uncharacterized LOC107984521 | Upmodulated | Non-coding RNA |
LOC105372291 | Uncharacterized LOC105372291 | Downmodulated | Non-coding RNA |
LOC107985092 | Uncharacterized LOC107985092 | Downmodulated | Non-coding RNA |
HIST2H2BC | Histone Cluster 2 H2B C | Upmodulated | Histone-related protein |
RPS14P4 | Ribosomal Protein S14 Pseudogene 4 | Downmodulated | Ribosomal pseudogene |
LOC105372497 | Uncharacterized LOC105372497 | Upmodulated | Non-coding RNA |
RN7SL36P | Signal Recognition Particle RNA Pseudogene 36 | Downmodulated | Ribosomal pseudogene |
LOC107986831 | Uncharacterized LOC107986831 | Downmodulated | Non-coding RNA |
MEIS1-AS2 | MEIS1 Antisense RNA 2 | Downmodulated | Non-coding RNA |
RN7SKP71 | 7SK Small Nuclear RNA Pseudogene 71 | Upmodulated | Small nuclear RNA |
RN7SL328P | Signal Recognition Particle RNA Pseudogene 328 | Downmodulated | Ribosomal pseudogene |
RPL31P15 | Ribosomal Protein L31 Pseudogene 15 | Upmodulated | Ribosomal pseudogene |
RN7SL558P | Signal Recognition Particle RNA Pseudogene 558 | Downmodulated | Ribosomal pseudogene |
RN7SL432P | Signal Recognition Particle RNA Pseudogene 432 | Downmodulated | Ribosomal pseudogene |
LOC101927855 | Uncharacterized LOC101927855 | Downmodulated | Non-coding RNA |
RN7SL263P | Signal Recognition Particle RNA Pseudogene 263 | Upmodulated | Ribosomal pseudogene |
LOC105376681 | Uncharacterized LOC105376681 | Upmodulated | Non-coding RNA |
RPS15AP36 | Ribosomal Protein S15A Pseudogene 36 | Downmodulated | Ribosomal pseudogene |
MRPS18CP6 | Mitochondrial Ribosomal Protein S18C Pseudogene 6 | Upmodulated | Mitochondrial pseudogene |
RPL36AP18 | Ribosomal Protein L36A Pseudogene 18 | Upmodulated | Ribosomal pseudogene |
RPS26P19 | Ribosomal Protein S26 Pseudogene 19 | Downmodulated | Ribosomal pseudogene |
RN7SL449P | Signal Recognition Particle RNA Pseudogene 449 | Downmodulated | Ribosomal pseudogene |
RPL34P11 | Ribosomal Protein L34 Pseudogene 11 | Upmodulated | Ribosomal pseudogene |
BORCS7-ASMT | BORCS7 Antisense RNA, Methyltransferase | Downmodulated | Non-coding RNA |
RN7SL277P | Signal Recognition Particle RNA Pseudogene 277 | Upmodulated | Ribosomal pseudogene |
RN7SL20P | Signal Recognition Particle RNA Pseudogene 20 | Upmodulated | Ribosomal pseudogene |
RN7SL83P | Signal Recognition Particle RNA Pseudogene 83 | Upmodulated | Ribosomal pseudogene |
LOC107985204 | Uncharacterized LOC107985204 | Downmodulated | Non-coding RNA |
PDIA3P2 | Protein Disulfide Isomerase A3 Pseudogene 2 | Upmodulated | Ribosomal pseudogene |
Disclaimer/Publisher’s Note: The statements, opinions and data contained in all publications are solely those of the individual author(s) and contributor(s) and not of MDPI and/or the editor(s). MDPI and/or the editor(s) disclaim responsibility for any injury to people or property resulting from any ideas, methods, instructions or products referred to in the content. |
© 2024 by the authors. Licensee MDPI, Basel, Switzerland. This article is an open access article distributed under the terms and conditions of the Creative Commons Attribution (CC BY) license (https://creativecommons.org/licenses/by/4.0/).
Share and Cite
Na, K.-H.; Lee, H.-J.; Kim, J.-H.; Uddin, M.S.; Park, Y.-H.; Song, Y.-M.; Park, C.-S.; Park, J.-B. Enhancement of Chondrogenic Differentiation in Bone Marrow-Derived Stem Cell Spheroids by Cuminum cyminum Methanolic Extract: Insights into Concentration-Dependent mRNA Expression and Gene Clustering Analysis. J. Pers. Med. 2024, 14, 1142. https://doi.org/10.3390/jpm14121142
Na K-H, Lee H-J, Kim J-H, Uddin MS, Park Y-H, Song Y-M, Park C-S, Park J-B. Enhancement of Chondrogenic Differentiation in Bone Marrow-Derived Stem Cell Spheroids by Cuminum cyminum Methanolic Extract: Insights into Concentration-Dependent mRNA Expression and Gene Clustering Analysis. Journal of Personalized Medicine. 2024; 14(12):1142. https://doi.org/10.3390/jpm14121142
Chicago/Turabian StyleNa, Kyung-Hwan, Hyun-Jin Lee, Ju-Hwan Kim, Md. Salah Uddin, Yoon-Hee Park, Young-Min Song, Chul-Sung Park, and Jun-Beom Park. 2024. "Enhancement of Chondrogenic Differentiation in Bone Marrow-Derived Stem Cell Spheroids by Cuminum cyminum Methanolic Extract: Insights into Concentration-Dependent mRNA Expression and Gene Clustering Analysis" Journal of Personalized Medicine 14, no. 12: 1142. https://doi.org/10.3390/jpm14121142
APA StyleNa, K.-H., Lee, H.-J., Kim, J.-H., Uddin, M. S., Park, Y.-H., Song, Y.-M., Park, C.-S., & Park, J.-B. (2024). Enhancement of Chondrogenic Differentiation in Bone Marrow-Derived Stem Cell Spheroids by Cuminum cyminum Methanolic Extract: Insights into Concentration-Dependent mRNA Expression and Gene Clustering Analysis. Journal of Personalized Medicine, 14(12), 1142. https://doi.org/10.3390/jpm14121142