Limits in the Perception of Facial Symmetry—A Prospective Study
Abstract
1. Introduction
2. Materials and Methods
2.1. Participants
2.2. Optical 3D Recording of the Face Surfaces
2.3. Processing of the Digitized Facial Surfaces
2.4. Processing a Range of Asymmetry Values
2.5. Calculation of the Asymmetry Index
2.6. Presentation of the Faces in Rotating View and Evaluation by the Rater Group
2.7. Evaluation of the Data
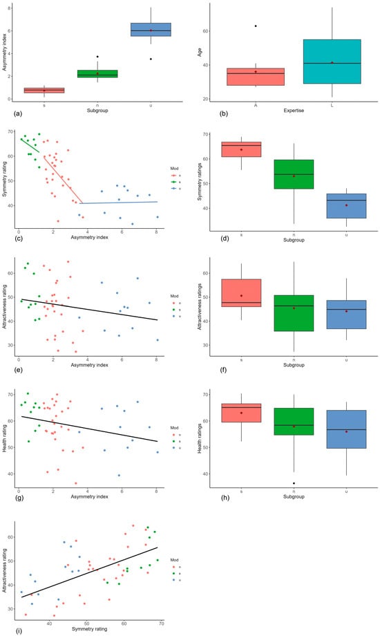
3. Results
3.1. Stimuli
3.2. Symmetry Ratings
3.3. Evaluation of Groups with Different Expertise
3.4. Thresholds
4. Discussion
5. Conclusions
Author Contributions
Funding
Institutional Review Board Statement
Informed Consent Statement
Data Availability Statement
Acknowledgments
Conflicts of Interest
References
- Choi, J.W.; Park, H.; Kim, I.H.; Kim, N.; Kwon, S.M.; Lee, J.Y. Surgery-First Orthognathic Approach to Correct Facial Asymmetry: Artificial Intelligence-Based Cephalometric Analysis. Plast. Reconstr. Surg. 2022, 149, 496e–499e. [Google Scholar] [CrossRef] [PubMed]
- Foo, Y.Z.; Simmons, L.W.; Rhodes, G. Predictors of facial attractiveness and health in humans. Sci. Rep. 2017, 7, 39731. [Google Scholar] [CrossRef] [PubMed]
- Dimitrov, D.; Kroumpouzos, G. Beauty perception: A historical and contemporary review. Clin. Dermatol. 2023, 41, 33–40. [Google Scholar] [CrossRef] [PubMed]
- Maheshwari, B. Discrimination Based on Physical Attractiveness: Causes and Consequences A Critical Perspective. Psychol. Rep. 2024, 127, 2855–2872. [Google Scholar] [CrossRef]
- Zbasnik, N.; Dolan, K.; Buczkowski, S.A.; Green, R.M.; Hallgrímsson, B.; Marcucio, R.S.; Moon, A.M.; Fish, J.L. Fgf8 dosage regulates jaw shape and symmetry through pharyngeal-cardiac tissue relationships. Dev. Dyn. 2022, 251, 1711–1727. [Google Scholar] [CrossRef]
- Silinevica, S.; Lokmane, K.; Vuollo, V.; Jakobsone, G.; Pirttiniemi, P. The association between dental and facial symmetry in adolescents. Am. J. Orthod. Dentofac. Orthop. 2023, 164, 340–350. [Google Scholar] [CrossRef]
- Jung, M.-H. Treatment of facial asymmetry and severe midline deviation with orthodontic mini-implants. Am. J. Orthod. Dentofac. Orthop. 2021, 160, 312–324. [Google Scholar] [CrossRef]
- Launonen, A.M.; Vuollo, V.; Aarnivala, H.; Heikkinen, T.; Pirttiniemi, P.; Valkama, A.M.; Harila, V. A longitudinal study of facial asymmetry in a normal birth cohort up to 6 years of age and the predisposing factors. Eur. J. Orthod. 2023, 45, 396–407. [Google Scholar] [CrossRef]
- Verhoeven, T.J.; Vinayahalingam, S.; Claeys, G.; Xi, T.; Berge, S.J.; Maal, T. Does facial asymmetry vary between subjects of different age groups? A 3D stereophotogrammetry analysis. J. Cranio-Maxillofac. Surg. 2024, 52, 829–834. [Google Scholar] [CrossRef]
- Runte, C.; Dirksen, D. Symmetry and aesthetics in dentistry. Symmetry 2021, 13, 1741. [Google Scholar] [CrossRef]
- Perrett, D.I.; Burt, D.; Penton-Voak, I.S.; Lee, K.J.; Rowland, D.A.; Edwards, R. Symmetry and human facial attractiveness. Evol. Hum. Behav. 1999, 20, 295–307. [Google Scholar] [CrossRef]
- Wang, T.T.; Wessels, L.; Hussain, G.; Merten, S. Discriminative thresholds in facial asymmetry: A review of the literature. Aesthet. Surg. J. 2017, 37, 375–385. [Google Scholar] [CrossRef] [PubMed]
- Meyer-Marcotty, P.; Stellzig-Eisenhauer, A.; Bareis, U.; Hartmann, J.; Kochel, J. Three-dimensional perception of facial asymmetry. Eur. J. Orthod. 2011, 33, 647–653. [Google Scholar] [CrossRef] [PubMed]
- Dong, T.; Ye, N.; Yuan, L.; Wu, S.; Xia, L.; Fang, B. Assessing the influence of chin asymmetry on perceived facial esthetics with 3-dimensional images. J. Oral Maxillofac. Surg. 2020, 78, 1389–1396. [Google Scholar] [CrossRef] [PubMed]
- Alhammadi, M.S. Perception of facial esthetics by laypersons, dental assistants, general dental practitioners and dental specialists. J. Contemp. Dent. Pract. 2019, 20, 304–310. [Google Scholar]
- Dobbie, A.M.; Ward, R.C.; Oyer, S.L.; Overton, L.J.; Hill, E.G.; Patel, K.G. Conscious perception of facial asymmetry in a unilateral cleft lip model. Cleft Palate Craniofac. J. 2018, 55, 213–219. [Google Scholar] [CrossRef]
- Chu, E.A.; Farrag, T.Y.; Ishii, L.E.; Byrne, P.J. Threshold of visual perception of facial asymmetry in a facial paralysis model. Arch. Facial Plast. Surg. 2011, 13, 14–19. [Google Scholar] [CrossRef]
- Gordon, M.J.; Christenbury, J.G.; Bokman, C.L.; Rootman, D.B.; Goldberg, R.A. Ptosis sensitivity threshold for the lay observer. Ann. Plast. Surg. 2018, 81, 364–366. [Google Scholar] [CrossRef]
- Hohman, M.H.; Kim, S.W.; Heller, E.S.; Frigerio, A.; Heaton, J.T.; Hadlock, T.A. Determining the threshold for asymmetry detection in facial expressions. Laryngoscope 2014, 124, 860–865. [Google Scholar] [CrossRef]
- Silva, B.P.; Jiménez-Castellanos, E.; Martinez-de-Fuentes, R.; Greenberg, J.R.; Chu, S. Laypersons’ perception of facial and dental asymmetries. Int. J. Periodontics Restor. Dent. 2013, 33, e162–e171. [Google Scholar] [CrossRef]
- Jarosz, K.F.; Bosio, J.A.; Bloomstein, R.; Jiang, S.S.; Vakharia, N.S.; Cangialosi, T.J. Perceptions of chin asymmetries among dental professionals and laypersons. Am. J. Orthod. Dentofac. Orthop. 2018, 154, 201–212. [Google Scholar] [CrossRef] [PubMed]
- Bischoff, G.; Böröcz, Z.; Proll, C.; Kleinheinz, J.; von Bally, G.; Dirksen, D. Modular optical topometric sensor for 3D acquisition of human body surfaces and long-term monitoring of variations. Biomed. Tech. 2007, 52, 284–289. [Google Scholar] [CrossRef] [PubMed]
- Berssenbrügge, P.; Lingemann-Koch, M.; Abeler, A.; Runte, C.; Jung, S.; Kleinheinz, J.; Denz, C.; Dirksen, D. Measuring facial symmetry: A perception-based approach using 3D shape and color. Biomed. Tech. 2015, 60, 39–47. [Google Scholar] [CrossRef] [PubMed]
- Benz, M.; Laboureux, X.; Maier, T.; Nkenke, E.; Seeger, S.; Neukam, F.; Häusler, G. The symmetry of faces. In Proceedings of the Vision, Modeling and Visualization, Erlangen, Germany, 20–22 November 2002. [Google Scholar]
- R Core Team. R: A Language and Environment for Statistical Computing; R Foundation for Statistical Computing: Vienna, Austria, 2019. [Google Scholar]
- Naini, F.B.; Donaldson, A.N.A.; McDonald, F.; Cobourne, M.T. Assessing the influence of asymmeftry affecting the mandible and chin point on perceived attractiveness in the orthognathic patient, clinician, and layperson. J. Oral Maxillofac. Surg. 2012, 70, 192–206. [Google Scholar] [CrossRef] [PubMed]
- Yarbus, A.L. Eye Movements and Vision; Springer: New York, NY, USA, 2013; ISBN 9781489953797. [Google Scholar]
- Kaipainen, A.E.; Sieber, K.R.; Nada, R.M.; Maal, T.J.; Katsaros, C.; Fudalej, P.S. Regional facial asymmetries and attractiveness of the face. Eur. J. Orthod. 2016, 38, 602–608. [Google Scholar] [CrossRef]
- Zamanian, N.; Jafari-Naeimi, A. The Perception of the Severity of Facial Asymmetry among Laypersons, General Practitioners, Orthodontists, and Maxillofacial Surgeons. J. Dent. 2021, 22, 102–108. [Google Scholar] [CrossRef]
- Ostwald, J.; Berssenbrügge, P.; Dirksen, D.; Runte, C.; Wermker, K.; Kleinheinz, J.; Jung, S. Measured symmetry of facial 3D shape and perceived facial symmetry and attractiveness before and after orthognathic surgery. J. Craniomaxillofac. Surg. 2015, 43, 521–527. [Google Scholar] [CrossRef]
- Zheng, R.; Ren, D.; Xie, C.; Pan, J.; Zhou, G. Normality mediates the effect of symmetry on facial attractiveness. Acta Psychol. 2021, 217, 103311. [Google Scholar] [CrossRef]
- Jones, A.; Jaeger, B. Biological Bases of Beauty Revisited: The Effect of Symmetry, Averageness, and Sexual Dimorphism on Female Facial Attractiveness. Symmetry 2019, 11, 279. [Google Scholar] [CrossRef]
- Swaddle, J.P.; Cuthill, I.C. Asymmetry and human facial attractiveness: Symmetry may not always be beautiful. Proc. Biol. Sci. 1995, 261, 111–116. [Google Scholar] [CrossRef]
- Langlois, J.H.; Roggman, L.A.; Musselman, L. What is average and what is not average about attractive faces? Psychol. Sci. 1994, 5, 214–220. [Google Scholar] [CrossRef]
- Samuels, C.A.; Butterworth, G.; Roberts, T.; Graupner, L.; Hole, G. Facial aesthetics: Babies prefer attractiveness to symmetry. Perception 2013, 42, 1244–1252. [Google Scholar] [CrossRef] [PubMed]
- Harun, N.A.; Adam, K.B.C.; Abdullah, N.A.; Rusli, N. Is a symmetrical face really attractive? Int. J. Oral Maxillofac. Surg. 2023, 52, 703–709. [Google Scholar] [CrossRef] [PubMed]




Disclaimer/Publisher’s Note: The statements, opinions and data contained in all publications are solely those of the individual author(s) and contributor(s) and not of MDPI and/or the editor(s). MDPI and/or the editor(s) disclaim responsibility for any injury to people or property resulting from any ideas, methods, instructions or products referred to in the content. |
© 2024 by the authors. Licensee MDPI, Basel, Switzerland. This article is an open access article distributed under the terms and conditions of the Creative Commons Attribution (CC BY) license (https://creativecommons.org/licenses/by/4.0/).
Share and Cite
Eißing, F.L.; Dirksen, D.; Runte, C.; Jung, S. Limits in the Perception of Facial Symmetry—A Prospective Study. J. Pers. Med. 2024, 14, 1109. https://doi.org/10.3390/jpm14111109
Eißing FL, Dirksen D, Runte C, Jung S. Limits in the Perception of Facial Symmetry—A Prospective Study. Journal of Personalized Medicine. 2024; 14(11):1109. https://doi.org/10.3390/jpm14111109
Chicago/Turabian StyleEißing, Friederike Lisa, Dieter Dirksen, Christoph Runte, and Susanne Jung. 2024. "Limits in the Perception of Facial Symmetry—A Prospective Study" Journal of Personalized Medicine 14, no. 11: 1109. https://doi.org/10.3390/jpm14111109
APA StyleEißing, F. L., Dirksen, D., Runte, C., & Jung, S. (2024). Limits in the Perception of Facial Symmetry—A Prospective Study. Journal of Personalized Medicine, 14(11), 1109. https://doi.org/10.3390/jpm14111109
