Abstract
Background: The derivatives-reactive oxygen metabolites (d-ROMs) and plasma antioxidant capacity (PAT) tests are oxidative indexes. Severe asthma has been related to oxidative stress. We aimed to investigate d-ROMs and PAT values in severely controlled asthmatics and the correlation of these values with lung function. Methods: Blood samples were collected from severely controlled asthmatics and centrifuged at 3000 rpm for 10 min. The supernatant was collected. The assays were performed within three hours of collection. The fraction of exhaled nitric oxide (FeNO), impulse oscillometry (IOS), and spirometry were determined. Symptom control was recorded using the asthma control test (ACT). Results: Approximately 40 patients with severe controlled asthma (75%: women), mean age of 62 ± 12 years, were recruited. Approximately 5% had obstructive spirometry. The IOS revealed airway abnormalities even though the spirometric results were within the normal range, with it being more sensitive than spirometry. The D-ROMs and PAT test values were higher than normal, indicating oxidative stress in severe asthmatics with controlled asthma. D-ROMs were positively correlated with R20 values, indicating central airway resistance. Conclusions: The IOS technique revealed an otherwise hidden airway obstruction with spirometry. The D-ROMs and PAT tests revealed a high level of oxidative stress in severe controlled asthmatics. D-ROMs correlate with R20, indicating central airway resistance.
1. Introduction
The role of the imbalance between oxidants and antioxidants in favor of oxidants, termed oxidative stress in the pathogenesis of asthma, arises as the chicken or the egg causality dilemma. Although airway inflammation in asthma tends to increase the production of reactive oxygen species (ROS) and reactive nitrogen species (RNS), contributed to mainly by eosinophils and neutrophils [1], accumulating evidence suggests the involvement of ROS and RNS and oxidative stress in the genesis and modulation of asthma [2,3,4,5].
In the pathogenesis of asthma, eosinophilic and neutrophilic airway inflammation induces symptoms and oxidative stress [6]. Since eosinophils contain nicotinamide adenine dinucleotide phosphate (NADPH) oxidase, eosinophilic peroxidase (ΕPO), and nitric oxide (NO) synthesis, ROS can be generated in the asthmatic airway [6]. Moreover, ciliary dysfunction is increased in neutrophilic asthma associated with increased NADPH Oxidase 4 (NOX4) expression and is attenuated by NADPH oxidase inhibition.
The oxidative stress generated in the airway of patients with asthma causes epithelial cell injury [7]. Furthermore, ROS induce transforming growth factor-β1 (TGF-β1) secretion from epithelial cells, which may induce airway remodeling in asthma associated with severe forms of the disease [6,7,8,9].
The derivatives of reactive oxidative metabolites (d-ROMs) test analyzing the total amount of hydroperoxides in serum via the Fenton’s reaction [8] is used as an oxidative stress index, and the values correlate with the prognosis and mortality from cardiovascular events [10,11]. With the innovative plasma antioxidant capacity (PAT) test, we determine the total antioxidant capacity of the plasma through chromatography [12]. Both tests have been scarcely evaluated in severe asthma patients [2,9]. The normal values of the d-ROMs and PAT tests are: 250–320 U. Carr and 2200–2800 U. Carr, respectively [10,11,12,13].
Severe asthma has been associated with the mechanisms of oxidative biology. The utility of these tests in assessing the overall oxidative status of patients with asthma and the correlation of the oxidative stress values with lung function needs to be better evaluated. This study aimed to investigate the d-ROMs and PAT test levels in severely controlled asthmatics and the correlation of the oxidative stress values with lung function.
2. Materials and Methods
In this pilot study, blood samples were collected from patients with severely controlled asthma monitored at the Asthma Outpatient Clinic of the University of Thessaly from 1 November 2022 to 1 December 2022.
2.1. Study Population
Our sample consisted of patients between 18 and 80 years of age with severe well-controlled asthma requiring high-dose ICS/LABA combination therapy to prevent it from becoming uncontrolled. Asthmatic patients currently smoking or with a smoking pack history greater than 10 were excluded. We also excluded patients receiving systemic corticosteroids or suffering from COPD (i.e., chronic bronchitis or emphysema) and/or other relevant lung diseases causing alternating impairment in lung function or respiratory infection during the last month.
2.2. Ethics
Verbal and written informed consent were obtained from all subjects before the study, according to the Helsinki Declaration. The protocol was approved by the Larissa University Hospital Ethics Committee (approval number: 48841/25/10/2019).
2.3. Measurements
Symptom control was determined using the asthma control test (ACT). Moreover, detailed lung function tests were performed in the following order: the fraction of exhaled nitric oxide (FeNO), impulse oscillometry (IOS) performance, and then spirometry.
2.4. Asthma Control Test (ACT)
The ACT provided us with information on how well asthma had been controlled over the last four weeks, giving a score out of 25. A score of less than 20 means that asthma has not been controlled during the past four weeks [13].
2.5. Lung Function Tests
2.5.1. Fraction of Exhaled Nitric Oxide (FeNO)
The fraction of exhaled nitric oxide (FeNO) (MEDISOFT, MEDICAL GRAPHICS Corp., Saint Paul, MN, USA) was performed according to American Thoracic Society/European Respiratory Society (ATS/ERS) guidelines [14]. The cut-off values for normal FeNO levels were below 25 parts per billion (ppb) and elevated FeNO above 50 ppb [15,16].
2.5.2. Impulse Oscillometry (IOS)
IOS measurements were performed in triplicate according to standard guidelines with a Jaeger MasterScreen IOS system (Carefusion, Wurmlingen, Germany, JLAB software version 5.22.1.50) [17,18,19]. Volume calibration was performed daily using a 3-L volume syringe, and the accuracy of resistance measurements was confirmed daily using a standard 0.2 Kpa.s.L−1 resistance mesh. Each patient was seated upright, wore a nose clip, and pressed on their cheeks with their hands to prevent an upper airway shunt [20,21,22]. Mean values for resistance at 5 Hz (R5: indicates total airway resistance); resistance at 20 Hz (R20: approximates central airway resistance); reactance at 5 Hz (X5: relates to compliance); resonant frequency (Fres); and integrated area of low-frequency X (AX) values were derived as previously reported [22,23,24,25]. Fres and AX are values that detect expiratory flow limitations. R5–R20 and AX are thought to reflect changes in the quiet zone of the lungs [26]. Cut-off pathological values for R5 higher than 0.5 kPa/L/s and AX higher than 1.0 kPa/L were suggested for use [26]. The normal value of Fres in adults is 7–12 Hz [26].
2.5.3. Spirometry
Spirometry (Spirolab, MIR, Rome, Italy) was performed according to ATS/ERS guidelines [27]. The predicted values were derived from the Global Lung Initiative [28]. To avoid any negative effects of forced expiration on the airway, spirometry was never performed before the IOS measurements. The percent predicted forced vital capacity (%FVC), the percent predicted forced expiratory volume in 1 s (%FEV1), and the FEV1/FVC ratio were obtained. The best of at least three technically acceptable results was selected.
2.5.4. Blood Sampling
Blood samples were collected. The samples were centrifuged at 3000 rpm for 10 min at 4 °C, and the supernatant was collected. Assays were performed within three hours of blood collection.
2.5.5. Measurement of D-ROMs
d-ROMs FAST tests were performed on fresh serum within three hours of blood collection. No previously frozen and then defrosted samples were used for the test. In this test, hydroperoxides released from proteins in the acidic medium are converted to alkoxy and peroxyl radicals in the presence of transition metals, which are able to oxidize alkylsubstituted aromatic amines (N,N-diethylparaphenylendiamine), showing increased absorbance at 505 nm. The method detects the density of the colored complex photometrically, which is directly proportional to the concentration of hydroperoxides, as previously described [29,30]. D-ROMs values from 401 up to 500 U.Carr and above 500 U.Carr indicate a high and a very high level of oxidative stress, respectively [29,30].
2.5.6. Measurements of the PAT Test
The PAT test (OB manager, FRAS5, H&D, Parma, Italy) is an automated test designed to assess the antioxidant capacity of plasma by measuring its ferric-reducing ability. Ferric to ferrous ion reduction causes a color change that can be photometrically assessed, as previously described [12]. PAT test values above 2800 μmol/L indicate a very high level of oxidative stress [12].
2.5.7. Statistical Analyses
The chi-square test was used to make comparisons between frequencies. An unpaired t-test was used for comparing parametric data between two groups, while non-parametric data were analyzed with the Mann–Whitney U test. Spearman’s correlation was used for correlation analysis between oxidative markers, pulmonary function variables, and demographic, clinical, and laboratory parameters. Statistical analyses were performed with IBM SPSS Statistics for Windows, version 23.0, IBM Corp., Armonk, NY, USA.
3. Results
Forty asthmatics with severely controlled asthma were recruited for the study with an average age of 62 ± 12 years, 55% of whom were women. The mean asthma history, maintenance therapy, lung function parameters, d-ROMs and PAT tests values, and ACT score of the study population and according to gender are presented in Table 1.
Table 1.
The main characteristics of the study population (N = 40) and according to gender.
All patients received high doses of ICS/LABA and LAMA. Approximately 5% of the study population had obstructive spirometry. The mean R5 values were higher than 0.5 kPa/L/s in the studied population. The mean AX values were abnormal as they were higher than 1.0 kPa/L; Fres levels were also elevated in the population. The males had significantly higher R5 values which indicated higher total airway resistance, higher R20 values which indicated approximate central airway resistance, and Fres and AX values which revealed higher expiratory flow limitations than females. The males were significantly taller (1.75 m vs. 1.50 m, p = 0.030) than the females. There was no significant difference in weight between the genders (85 vs. 75 kg, p = 0.125). Interestingly, the IOS results revealed airway abnormalities even though the spirometry results were within range, thus being more sensitive than spirometry. A significant negative correlation was found between FEV1 and R5 (r = −0.547, p = 0.001), di5-20 (r = −0.645, p = 0.001), and Fres (r = −0.613, p < 0.001).
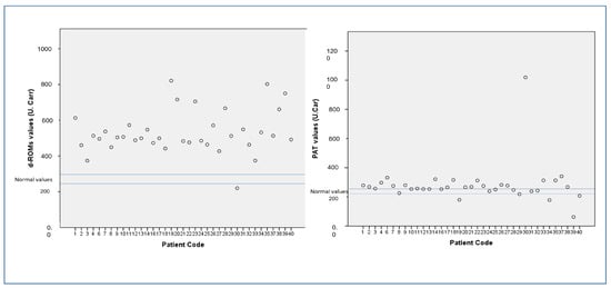
The D-ROMs and PAT test values indicated very high levels of oxidative stress given the reference values (Figure 1). We found that d-ROMs were positively correlated with R20 values that indicate central airway resistance (r = 0.423, p = 0.016). No correlation was found between d-ROMs, FeNO, the ACT test, asthma history, and maintenance therapy. No correlation was found between the PAT test values and the several lung function parameters, neither between FeNO nor the ACT test. No correlation was found between the PAT test values, asthma history, and maintenance therapy.
Figure 1.
d-ROMs and PAT values in the study population.
4. Discussion
In this study, we investigated d-ROMs and PAT test values in severely controlled asthmatics and the correlation between oxidative stress values and lung function. The D-ROMs and PAT test values indicated a very high level of oxidative stress in severe asthmatics with controlled asthma. Interestingly, d-ROMs were positively correlated with R20 values that indicate central airway resistance. No correlation was found between the tests and the spirometric parameters. Moreover, we found that the IOS results revealed airway abnormalities even though the spirometric results were within range, thus being more sensitive than spirometry. Moreover, a significant inverse correlation was found between FEV1 and R5, di5-20, and Fres.
ROS are constitutively present in cells and tissues in small but measurable concentrations [11,31]. They act as guidance cues during embryonic development [11,31] and as signaling molecules activating relevant biological and physiological pathways [10,32]. However, an increase in ROS production, such as during an altered metabolic state or as a consequence of chronic exposure to external/environmental factors, may have harmful effects [11]. The oxidant “burst” in asthma is probably a nonspecific process due to the concomitant action of several inflammatory pathways. The endogenous sources of ROS are the endoplasmic reticulum of immune cells such as phagocytes, activated eosinophils and neutrophils, monocytes, macrophages, and structural cells (epithelial cells, smooth muscle cells, and endothelial cells) or enzymes and enzymatic complexes (e.g., NO synthase, NADPH oxidases, and xanthine oxidase), mitochondria, and peroxisomes [33,34]. At the same time, ROS can be generated by exogenous sources, such as pollutants, allergens, ozone, cigarette smoke, organic solvents, metals, ultraviolet light, ionizing radiation, and some drugs [33,34]. Both endogenous and exogenous promoters or stimuli of ROS are involved in initiating and activating intracellular signaling, promoting inflammatory and immunological mechanisms in the airways.
The most prominent ROS are the superoxide anion (O2), hydrogen peroxide (H2O2), and all peroxides (ROOR) [35]. The key enzymes that produce ROS/RNS in the lungs include NADPH oxidase, MPO, xanthine oxidase, and NO synthase (NOS) [33,34]. Both eosinophils and neutrophils have increased ROS-scavenging enzyme expression.
The amount of biologically active ROS might indicate individual health status, and their quantification holds potential for clinically relevant applications. Organic peroxides and lipoperoxides (d-ROMs) are intermediate metabolites generated early in the oxidative cascade [36], with them being a better indicator of early stages of oxidative-stress damage that might provide an opportunity for timely intervention [10].
Notably, several studies support that in cardiovascular patients, d-ROM values above 395–482 U.Carr are associated with an increase in all cardiovascular events, major adverse cardiovascular events, heart failure, atrial fibrillation, and cardiovascular death [11,37,38,39,40,41,42]. This study found that severe asthmatics had a remarkably higher mean value of d-ROMs at 531 ± 120 U.Carr than previous studies on patients with cardiovascular diseases, indicating a very high level of oxidative stress. It is required to investigate further the d-ROMs value cut-offs associated with higher morbidity and mortality risks in asthmatics and establish reference ranges. Although the relevance of d-ROMS to known cardiovascular risk factors is increasingly being recognized, there are scarce data regarding the d-ROMs value cut-offs in severe asthmatics. There is a previous report by Suzuki et al., who reported that acute exacerbations of asthma are associated with increased oxidative stress., as indicated by the serum ROM levels that would partly reflect eosinophilic and neutrophilic inflammation [2].
In this study, the mean PAT values in the group of asthmatics were 2807 ± 1344 U.Cor, indicating very high values of oxidative stress. The study of Petrushevska et al. found that the PAT test values were significantly higher in patients with severe COVID-19 than non-infected individuals (3048 ± 100.1 vs. 2406 ± 71.55 U.Cor, p < 0.001) [43].
For the first time, our study showed that d-ROMs were positively correlated with R20hz values, an indicator of approximate central airway resistance, demonstrating that oxidative stress is associated with altered pulmonary mechanics. A previous study by Sunil et al. found that World Trade Center dust exposure, at 21 days, increased lung resistance, central airway resistance, tissue damping, and tissue elastance along with inflammation and oxidative stress in a murine model [44]. No correlation was found between PAT test values and lung function parameters. The relatively small sample size may not have the statistical power to expose a significant effect.
Furthermore, no correlation was detected between d-ROMs or PAT values and FeNO. Similarly, the study by Sone et al. found that there was no significant association between the levels of salivary NO and oxidative stress markers such as d-ROMs and biological antioxidant potential (BAP) in a sample of 250 elite university athletes in Japan [45]. The FeNO levels were low enough among the studied subjects; thus, the relationship between the levels of oxidative stress markers and FeNO may be difficult to confirm owing to the small individual differences in this cross-sectional study.
For many years, IOS was promoted as an alternative measurement technique for airway resistance and obstruction in patients where maneuvers involved in plethysmography and spirometry prove difficult to perform, such as in the elderly, children, and obese patients [46,47,48]. IOS parameters are obtained more easily and effortlessly in comparison to FEV1. There are also data supporting that IOS resistance parameters have good long-term repeatability in asthmatics [49]. In this study, we highlight the superiority of IOS to reveal airway abnormalities in controlled severe asthmatics compared to spirometry, as the mean R5, AX, and Fres levels were elevated in the population of this study. Accordingly, there are several studies supporting higher sensitivity with IOS than spirometry for peripheral airway restriction [50]. Cottini et al. supported that IOS-defined small airway disease which is overwhelmingly present across asthma severities may be overlooked by standard spirometry, especially in milder asthma [51]. Moreover, a higher sensitivity, negative predictive value, and earlier response of methacholine with IOS have been documented, compared to methacholine with spirometry [52,53].
We also found an inverse correlation between IOS parameters and FEV1. In support of our findings, there are many previous studies that have supported a moderate inverse correlation between IOS parameters such as R5Hz, Fres, and AX and FEV1 variables [54,55,56,57]. More specifically, Nair et al. demonstrated that 1 unit change in %FEV1 corresponds to a 2.5% change in %R5 [57].
In this study, we found a significant difference in the impedance values between the genders. However, the differences were in the AX and Fres results which were not corrected for anthropometric parameters, and further studies are needed before safe conclusions can be drawn. According to Robinson et al., asthma is associated with abnormalities in IOS measures of peripheral airway dysfunction, which is stronger in men and in those with asthma persisting since childhood [58]. Porojan-Suppini N et al. also supported that prediction equations were influenced by the height of the subjects and also by gender [59]. Moreover, with increasing BMI, resistance and reactance increased compatible with lung and airway compression from mass loading [60]. In this study, the men were significantly taller (1.75 m vs. 1.50 m, p = 0.030) than the females, thus potentially confounding the detected difference in the impedance values between the genders.
This study has some limitations. Firstly, the small sample size and the high mean age of the subjects reduced the power of the study and the degree to which we can apply the results of this study to a broader context. Secondly, a major limitation was that the sample size consisted only of patients with severe controlled asthma and lacked a control group of healthy individuals. Moreover, only 5% of the study population had obstructive spirometry. Moreover, in this study, we did not report Z-scores, which are believed to be more reliable indicators for interpreting the oscillometry results [61]. However, S. Salvi and co-workers argued that Z-scores are not appropriate to be used in interpreting respiratory oscillometry results given that oscillometric indices are not normally distributed; thus, Z-score may not accurately reflect the probability of being within the healthy distribution, and secondly, the anthropometric factors (such as height and gender) have a small impact on impulse oscillometry indices (the highest determination coefficient of the predictive equation is ∼0.20), and they supported that using fixed cut-offs for diagnosis may be a simple and feasible alternative [62]. Furthermore, the correlation between R20 and d-ROMs might be influenced by height, weight, or sex. Some studies have reported a potential association of d-ROMS with gender (higher values than females) and obesity, probably due to lifestyle-related parameters reflecting mainly an unbalanced diet. However, in our population, there were no statistical differences in the female: male ratio and weight differences between gender; there was only a height difference between the genders [63,64]. Finally, the correlation of d-ROMs was with R20 and not R20%, which is corrected for anthropometric parameters, and therefore, it is not a clear indication of alteration of the airways. However, this pilot study is one of the essential stages in a research project before a large-scale study, which allows us to refine the study design, thus increasing the validity. It would be very interesting to investigate oxidative levels and correlations with lung function parameters in patients with different stages of asthma severity and uncontrolled disease in a future study by including a larger group of patients with airway obstruction.
5. Conclusions
The IOS technique is increasingly employed in routine lung function testing, revealing an otherwise hidden airway obstruction with spirometry. A significant inverse correlation was confirmed between FEV1 and IOS parameters of airway obstruction such as R5, di5-20, and Fres. For the first time, the D-ROMs and PAT tests indicated a high level of oxidative stress in severe asthmatics with controlled asthma. The D-ROMs values were correlated with central airway resistance. Future studies are required to validate the scope and potential significance of oxidative status measurements and their correlations with airway mechanics in larger cohorts to establish multi-ethnic reference ranges and standardize the commercially available oxidative status tests prior to their routine incorporation into clinical practice.
Author Contributions
Conceptualization, O.S.K., K.I.G., Z.D., S.G.Z., K.T. and L.K.; investigation, K.T., L.K., P.K. and G.M.; writing—original draft preparation, O.S.K., K.T. and L.K.; writing—review and editing, O.S.K.; supervision, O.S.K., Z.D., S.G.Z., I.P. and K.I.G. All authors have read and agreed to the published version of the manuscript.
Funding
This research received no external funding.
Institutional Review Board Statement
The study was conducted in accordance with the Declaration of Helsinki and approved by the Ethics Committee of the University of Thessaly (No. 2800-01/11/2020).
Informed Consent Statement
Informed consent was obtained from all subjects involved in the study.
Data Availability Statement
The data that support the findings of this study are available from the corresponding author, O.S.K., upon request.
Conflicts of Interest
The authors declare no conflict of interest.
References
- Kinnula, V.L. Production and degradation of oxygen metabolites during inflammatory states in the human lung. Curr. Drug Targets Inflamm. Allergy 2005, 4, 465–470. [Google Scholar] [CrossRef] [PubMed]
- Suzuki, S.; Matsukura, S.; Takeuchi, H.; Kawaguchi, M.; Ieki, K.; Odaka, M.; Watanabe, S.; Homma, T.; Dohi, K.; Aruga, T.; et al. Increase in reactive oxygen metabolite level in acute exacerbations of asthma. Int. Arch. Allergy Immunol. 2008, 146 (Suppl. S1), 67–72. [Google Scholar] [CrossRef] [PubMed]
- Al-Harbi, N.O.; Nadeem, A.; Al-Harbi, M.M.; Imam, F.; Al-Shabanah, O.A.; Ahmad, S.F.; Sayed-Ahmed, M.M.; Bahashwan, S.A. Oxidative airway inflammation leads to systemic and vascular oxidative stress in a murine model of allergic asthma. Int. Immunopharmacol. 2015, 26, 237–245. [Google Scholar] [CrossRef] [PubMed]
- Uchida, M.; Anderson, E.L.; Squillace, D.L.; Patil, N.; Maniak, P.; Iijima, K.; Kita, H.; O’Grady, S. Oxidative stress serves as a key checkpoint for IL-33 release by airway epithelium. Allergy 2017, 72, 1521–1531. [Google Scholar] [CrossRef]
- Mishra, V.; Banga, J.; Silveyra, P. Oxidative stress and cellular pathways of asthma and inflammation: Therapeutic strategies and pharmacological targets. Pharm. Ther. 2018, 181, 169–182. [Google Scholar] [CrossRef]
- Hoshino, T.; Okamoto, M.; Takei, S.; Sakazaki, Y.; Iwanaga, T.; Aizawa, H. Redox-regulated mechanisms in asthma. Antioxid. Redox. Signal. 2008, 10, 769–783. [Google Scholar] [CrossRef]
- Wan, W.Y.; Hollins, F.; Haste, L.; Woodman, L.; Hirst, R.A.; Bolton, S.; Gomez, E.; Sutcliffe, A.; Desai, D.; Chachi, L.; et al. NADPH Oxidase-4 Overexpression Is Associated with Epithelial Ciliary Dysfunction in Neutrophilic Asthma. Chest 2016, 149, 1445–1459. [Google Scholar] [CrossRef]
- Kilk, K.; Meitern, R.; Härmson, O.; Soomets, U.; Hõrak, P. Assessment of oxidative stress in serum by d-ROMs test. Free Radic. Res. 2014, 48, 883–889. [Google Scholar] [CrossRef]
- Mak, J.C.; Chan-Yeung, M.M. Reactive oxidant species in asthma. Curr. Opin. Pulm. Med. 2006, 12, 7–11. [Google Scholar] [CrossRef]
- Hitomi, Y.; Masaki, N.; Ishinoda, Y.; Ido, Y.; Iwashita, M.; Yumita, Y.; Kagami, K.; Yasuda, R.; Ikegami, Y.; Toya, T.; et al. Effectiveness of the d-ROMs oxidative stress test to predict long-term cardiovascular mortality. Int. J. Cardiol. 2022, 354, 43–47. [Google Scholar] [CrossRef]
- Pigazzani, F.; Gorni, D.; Dyar, K.A.; Pedrelli, M.; Kennedy, G.; Costantino, G.; Bruno, A.; Mackenzie, I.; MacDonald, T.M.; Tietge, U.J.F.; et al. The Prognostic Value of Derivatives-Reactive Oxygen Metabolites (d-ROMs) for Cardiovascular Disease Events and Mortality: A Review. Antioxidants 2022, 11, 1541. [Google Scholar] [CrossRef] [PubMed]
- Serena, B.; Primiterra, M.; Catalani, S.; Finco, A.; Canestrari, F.; Cornelli, U. Performance evaluation of the innovative PAT test, comparison with the common BAP test and influence of interferences on the evaluation of the plasma antioxidant capacity. Clin. Lab. 2013, 59, 1091–1097. [Google Scholar]
- Cajigal, S.; Wells, K.E.; Peterson, E.L.; Ahmedani, B.K.; Yang, J.J.; Kumar, R.; Burchard, E.G.; Williams, L.K. Predictive properties of the Asthma Control Test and its component questions for severe asthma exacerbations. J. Allergy Clin. Immunol. Pract. 2017, 5, 121–127.e2. [Google Scholar] [CrossRef]
- McDowell, K.M. Recent Diagnosis Techniques in Pediatric Asthma: Impulse Oscillometry in Preschool Asthma and Use of Exhaled Nitric Oxide. Immunol. Allergy Clin. N. Am. 2019, 39, 205–219. [Google Scholar] [CrossRef] [PubMed]
- Exhaled, N.O.; American Thoracic Society; European Respiratory Society. ATS/ERS recommendations for standardized procedures for the online and offline measurement of exhaled lower respiratory nitric oxide and nasal nitric oxide, 2005. Am. J. Respir. Crit. Care Med. 2005, 171, 912–930. [Google Scholar]
- Dweik, R.A.; Boggs, P.B.; Erzurum, S.C.; Irvin, C.G.; Leigh, M.W.; Lundberg, J.O.; Olin, A.C.; Plummer, A.L.; Taylor, D.R.; American Thoracic Society Committee on Interpretation of Exhaled Nitric Oxide Levels for Clinical A. An official ATS clinical practice guideline: Interpretation of exhaled nitric oxide levels (FENO) for clinical applications. Am. J. Respir. Crit. Care Med. 2011, 184, 602–615. [Google Scholar] [CrossRef] [PubMed]
- Oostveen, E.; MacLeod, D.; Lorino, H.; Farré, R.; Hantos, Z.; Desager, K.; Marchal, F.; ERS Task Force on Respiratory Impedance Measurements. The forced oscillation technique in clinical practice: Methodology, recommendations and future developments. Eur. Respir. J. 2003, 22, 1026–1041. [Google Scholar] [CrossRef] [PubMed]
- Bonifazi, M.; Sverzellati, N.; Negri, E.; Pomponio, G.; Seletti, V.; Bonini, M.; Fraticelli, P.; Paolini, L.; Mattioli, M.; Franchi, M.; et al. Increased prevalence of small airways dysfunction in patients with systemic sclerosis as determined by impulse oscillometry. Rheumatology 2020, 59, 641–649. [Google Scholar] [CrossRef]
- Díaz Palacios, M.Á.; Hervás Marín, D.; Giner Valero, A.; Colomer Hernández, N.; Torán Barona, C.; Hernández Fernández de Rojas, D. Correlation between impulse oscillometry parameters and asthma control in an adult population. J. Asthma Allergy 2019, 12, 195–203. [Google Scholar] [CrossRef]
- Chiu, H.Y.; Hsiao, Y.H.; Su, K.C.; Lee, Y.C.; Ko, H.K.; Perng, D.W. Small Airway Dysfunction by Impulse Oscillometry in Symptomatic Patients with Preserved Pulmonary Function. J. Allergy Clin. Immunol. Pract. 2020, 8, 229–235.e3. [Google Scholar] [CrossRef]
- Beydon, N.; Davis, S.D.; Lombardi, E.; Allen, J.L.; Arets, H.G.; Aurora, P.; Bisgaard, H.; Davis, G.M.; Ducharme, F.M.; Eigen, H.; et al. An official American Thoracic Society/European Respiratory Society statement: Pulmonary function testing in preschool children. Am. J. Respir. Crit. Care Med. 2007, 175, 1304–1345. [Google Scholar] [CrossRef] [PubMed]
- Smith, H.J.R.P.; Goldman, M.D. Forced oscillation technique and impulse oscillometry. Eur. Respir. Monogr. 2005, 31, 72–105. [Google Scholar]
- Goldman, M.D. Clinical application of forced oscillation. Pulm. Pharmacol. Ther. 2001, 14, 341–350. [Google Scholar] [CrossRef] [PubMed]
- Nieto, A.; Pamies, R.; Oliver, F.; Medina, A.; Caballero, L.; Mazon, A. Montelukast improves pulmonary function measured by impulse oscillometry in children with asthma (Mio study). Respir. Med. 2006, 100, 1180–1185. [Google Scholar] [CrossRef] [PubMed]
- Gonem, S.; Natarajan, S.; Desai, D.; Corkill, S.; Singapuri, A.; Bradding, P.; Gustafsson, P.; Costanza, R.; Kajekar, R.; Parmar, H.; et al. Clinical significance of small airway obstruction markers in patients with asthma. Clin. Exp. Allergy 2014, 44, 499–507. [Google Scholar] [CrossRef] [PubMed]
- Lipworth, B.; Manoharan, A.; Anderson, W. Unlocking the quiet zone: The small airway asthma phenotype. Lancet Respir. Med. 2014, 2, 497–506. [Google Scholar] [CrossRef] [PubMed]
- Miller, M.R.; Hankinson, J.; Brusasco, V.; Burgos, F.; Casaburi, R.; Coates, A.; Crapo, R.; Enright, P.; van der Grinten, C.P.; Gustafsson, P.; et al. Standardisation of spirometry. Eur. Respir. J. 2005, 26, 319–338. [Google Scholar] [CrossRef]
- Quanjer, P.H.; Stanojevic, S.; Cole, T.J.; Baur, X.; Hall, G.L.; Culver, B.H.; Enright, P.L.; Hankinson, J.L.; Ip, M.S.; Zheng, J.; et al. Multi-ethnic reference values for spirometry for the 3–95-yr age range: The global lung function 2012 equations. Eur. Respir. J. 2012, 40, 1324–1343. [Google Scholar] [CrossRef]
- Alberti, A.; Bolognini, L.; Macciantelli, D.; Caratelli, M. The radical cation of N,N-diethylpara-phenylendiamine: A possible indicator of oxidative stress in biological samples. Res. Chem. Intermed. 2000, 26, 253–267. [Google Scholar] [CrossRef]
- Cesarone, M.R.; Belcaro, G.; Carratelli, M.; Cornelli, U. A simple test to monitor oxidative stress. Int. Angiol. 1999, 18, 127–130. [Google Scholar]
- d-ROMs FAST Test. Available online: https://hedsrl.it/en/d-roms-fast-test (accessed on 5 January 2023).
- Tsunoda, S.; Kimura, N.; Fujii, J. Oxidative Stress and Redox Regulation of Gametogenesis, Fertilization, and Embryonic Development. Reprod. Med. Biol. 2014, 13, 71–79. [Google Scholar] [CrossRef] [PubMed]
- Cho, Y.S.; Moon, H.B. The role of oxidative stress in the pathogenesis of asthma. Allergy Asthma Immunol. Res. 2010, 2, 183–187. [Google Scholar] [CrossRef] [PubMed]
- Albano, G.D.; Gagliardo, R.P.; Montalbano, A.M.; Profita, M. Overview of the Mechanisms of Oxidative Stress: Impact in Inflammation of the Airway Diseases. Antioxidants 2022, 11, 2237. [Google Scholar] [CrossRef]
- Sies, H.; Jones, D.P. Reactive Oxygen Species (ROS) as Pleiotropic Physiological Signalling Agents. Nat. Rev. Mol. Cell Biol. 2020, 21, 363–383. [Google Scholar] [CrossRef]
- Valko, M.; Leibfritz, D.; Moncol, J.; Cronin, M.T.D.; Mazur, M.; Telser, J. Free Radicals and Antioxidants in Normal Physiological Functions and Human Disease. Int. J. Biochem. Cell Biol. 2007, 39, 44–84. [Google Scholar] [CrossRef]
- Hirata, Y.; Yamamoto, E.; Tokitsu, T.; Kusaka, H.; Fujisue, K.; Kurokawa, H.; Sugamura, K.; Maeda, H.; Tsujita, K.; Kaikita, K.; et al. Reactive Oxygen Metabolites Are Closely Associated with the Diagnosis and Prognosis of Coronary Artery Disease. J. Am. Heart Assoc. 2015, 4, e001451. [Google Scholar] [CrossRef]
- Vassalle, C.; Bianchi, S.; Bianchi, F.; Landi, P.; Battaglia, D.; Carpeggiani, C. Oxidative Stress as a Predictor of Cardiovascular Events in Coronary Artery Disease Patients. Clin. Chem. Lab. Med. 2012, 50, 1463–1468. [Google Scholar] [CrossRef]
- Vassalle, C.; Boni, C.; Di Cecco, P.; Landi, P. Elevated Hydroperoxide Levels as a Prognostic Predictor of Mortality in a Cohort of Patients with Cardiovascular Disease. Int. J. Cardiol. 2006, 110, 415–416. [Google Scholar] [CrossRef] [PubMed]
- Hirata, Y.; Yamamoto, E.; Tokitsu, T.; Kusaka, H.; Fujisue, K.; Kurokawa, H.; Sugamura, K.; Maeda, H.; Tsujita, K.; Yamamuro, M.; et al. Reactive Oxidative Metabolites Are Associated with the Severity of Heart Failure and Predict Future Cardiovascular Events in Heart Failure with Preserved Left Ventricular Ejection Fraction. Int. J. Cardiol. 2015, 179, 305–308. [Google Scholar] [CrossRef] [PubMed]
- Hitsumoto, T. Efficacy of the Reactive Oxygen Metabolite Test as a Predictor of Initial Heart Failure Hospitalization in Elderly Patients with Chronic Heart Failure. Cardiol. Res. 2018, 9, 153–160. [Google Scholar] [CrossRef]
- Nishihara, T.; Tokitsu, T.; Sueta, D.; Oike, F.; Takae, M.; Fujisue, K.; Usuku, H.; Ito, M.; Kanazawa, H.; Araki, S.; et al. Clinical Significance of Reactive Oxidative Metabolites in Patients with Heart Failure with Reduced Left Ventricular Ejection Fraction. J. Card. Fail. 2021, 27, 57–66. [Google Scholar] [CrossRef] [PubMed]
- Shimano, M.; Shibata, R.; Inden, Y.; Yoshida, N.; Uchikawa, T.; Tsuji, Y.; Murohara, T. Reactive Oxidative Metabolites Are Associated with Atrial Conduction Disturbance in Patients with Atrial Fibrillation. Heart Rhythm. 2009, 6, 935–940. [Google Scholar] [CrossRef] [PubMed]
- Petrushevska, M.; Zendelovska, D.; Atanasovska, E.; Eftimov, A.; Spasovska, K. Presentation of cytokine profile in relation to oxidative stress parameters in patients with severe COVID-19: A case-control pilot study. F1000Research 2021, 10, 719. [Google Scholar] [CrossRef]
- Sunil, V.R.; Vayas, K.N.; Fang, M.; Zarbl, H.; Massa, C.; Gow, A.J.; Cervelli, J.A.; Kipen, H.; Laumbach, R.J.; Lioy, P.J.; et al. World Trade Center (WTC) dust exposure in mice is associated with inflammation, oxidative stress and epigenetic changes in the lung. Exp. Mol. Pathol. 2017, 102, 50–58. [Google Scholar] [CrossRef]
- Sone, R.; Matsuba, K.; Tahara, R.; Eda, N.; Kosaki, K.; Jesmin, S.; Miyakawa, S.; Watanabe, K. Assessment of Salivary Nitric Oxide Levels in Elite University Athletes in Japan: Findings from a Cross Sectional Study Design. J. Clin. Med. Res. 2019, 11, 114–120. [Google Scholar] [CrossRef]
- Naji, N.; Keung, E.; Kane, J.; Watson, R.M.; Killian, K.J.; Gauvreau, G.M. Comparison of changes in lung function measured by plethymography and IOS after bronchoprovocation. Respir. Med. 2013, 107, 503–510. [Google Scholar] [CrossRef]
- Jordon, L.H.; Gore, R.B.; Rusk, R.A.; Knox-Brown, B.; Marciniak, S.J. The role of impulse oscillometry in the management of asthma when forced expiratory maneuvers are contraindicated: Case series and literature review. J. Asthma 2022, 59, 1577–1583. [Google Scholar] [CrossRef]
- Tomalak, W.; Czajkowska-Malinowska, M.; Radliński, J. Application of impulse oscillometry in respiratory system evaluation in elderly patients. Pneumonol. Alergol. Pol. 2014, 82, 330–335. [Google Scholar] [CrossRef]
- Xu, J.; Sun, X.; Zhu, H.; Cao, Y.; Pudasaini, B.; Yang, W.; Liu, J.; Guo, J. Long-term variability of impulse oscillometry and spirometry in stable COPD and asthma. Respir. Res. 2022, 23, 262. [Google Scholar] [CrossRef]
- Kattan, M.; Bacharier, L.B.; O’Connor, G.T.; Cohen, R.; Sorkness, R.L.; Morgan, W.; Gergen, P.J.; Jaffee, K.F.; Visness, C.M.; Wood, R.A.; et al. Spirometry and Impulse Oscillometry in Preschool Children: Acceptability and Relationship to Maternal Smoking in Pregnancy. J. Allergy Clin. Immunol. Pract. 2018, 6, 1596–1603.e6. [Google Scholar] [CrossRef]
- Cottini, M.; Licini, A.; Lombardi, C.; Berti, A. Prevalence and features of IOS-defined small airway disease across asthma severities. Respir. Med. 2021, 176, 106243. [Google Scholar] [CrossRef] [PubMed]
- Nazemiyah, M.; Ansarin, K.; Nouri-Vaskeh, M.; Sadegi, T.; Sharifi, A. Comparison of spirometry and impulse oscillometry in methacholine challenge test for the detection of airway hyperresponsiveness in adults. Tuberk. Toraks 2021, 69, 1–8. [Google Scholar] [CrossRef] [PubMed]
- Eidani, E.; Hashemi, S.J.; Raji, H.; Hosaini Askarabadi, M. A comparison of impulse oscillometry and spirometry values in patients with gastroesophageal reflux disease. Middle East J. Dig. Dis. 2013, 5, 22–28. [Google Scholar] [PubMed]
- Correia Junior, M.A.V.; Filho, E.A.R.; Tenório, R.C.E.; Albuquerque, C.G.; Barbosa, L.C.; Quirino, P.G.C.; Sarinho, E.; Medeiros, D.; Rizzo, J.Â. Comparison between impulse oscillometry parameters and spirometry for the diagnosis of exercise-induced bronchoconstriction in asthmatic children and adolescents. Pediatr. Pulmonol. 2022, 57, 2398–2404. [Google Scholar] [CrossRef]
- Batmaz, S.B.; Kuyucu, S.; Arıkoglu, T.; Tezol, O.; Aydogdu, A. Impulse oscillometry in acute and stable asthmatic children: A comparison with spirometry. J. Asthma 2016, 53, 179–186. [Google Scholar] [CrossRef]
- Jara-Gutierrez, P.; Aguado, E.; Del Potro, M.G.; Fernandez-Nieto, M.; Mahillo, I.; Sastre, J. Comparison of impulse oscillometry and spirometry for detection of airway hyperresponsiveness to methacholine, mannitol, and eucapnic voluntary hyperventilation in children. Pediatr. Pulmonol. 2019, 54, 1162–1172. [Google Scholar] [CrossRef]
- Nair, A.; Ward, J.; Lipworth, B.J. Comparison of bronchodilator response in patients with asthma and healthy subjects using spirometry and oscillometry. Ann. Allergy Asthma Immunol. 2011, 107, 317–322. [Google Scholar] [CrossRef]
- Robinson, P.D.; King, G.G.; Sears, M.R.; Hong, C.Y.; Hancox, R.J. Determinants of peripheral airway function in adults with and without asthma. Respirology 2017, 22, 1110–1117. [Google Scholar] [CrossRef]
- Porojan-Suppini, N.; Fira-Mladinescu, O.; Marc, M.; Tudorache, E.; Oancea, C. Lung Function Assessment by Impulse Oscillometry in Adults. Clin. Risk Manag. 2020, 16, 1139–1150. [Google Scholar] [CrossRef]
- Berger, K.I.; Wohlleber, M.; Goldring, R.M.; Reibman, J.; Farfel, M.R.; Friedman, S.M.; Oppenheimer, B.W.; Stellman, S.D.; Cone, J.E.; Shao, Y. Respiratory impedance measured using impulse oscillometry in a healthy urban population. ERJ Open Res. 2021, 7, 00560–02020. [Google Scholar] [CrossRef]
- King, G.G.; Bates, J.; Berger, K.I.; Calverley, P.; de Melo, P.L.; Dellacà, R.L.; Farré, R.; Hall, G.L.; Ioan, I.; Irvin, C.G.; et al. Technical standards for respiratory oscillometry. Eur. Respir. J. 2020, 55, 1900753. [Google Scholar] [CrossRef] [PubMed]
- Liang, X.; Zheng, J.; Gao, Y.; Zhang, Z.; Han, W.; Du, J.; Lu, Y.; Chen, L.; Wang, T.; Liu, J.; et al. Clinical application of oscillometry in respiratory diseases: An impulse oscillometry registry. ERJ Open Res. 2022, 8, 00080-2022. [Google Scholar] [CrossRef] [PubMed]
- Fukui, T.; Yamauchi, K.; Maruyama, M.; Yasuda, T.; Kohno, M.; Abe, Y. Significance of measuring oxidative stress in lifestyle-related diseases from the viewpoint of correlation between d-ROMs and BAP in Japanese subjects. Hypertens Res. 2011, 34, 1041–1045. [Google Scholar] [CrossRef] [PubMed]
Disclaimer/Publisher’s Note: The statements, opinions and data contained in all publications are solely those of the individual author(s) and contributor(s) and not of MDPI and/or the editor(s). MDPI and/or the editor(s) disclaim responsibility for any injury to people or property resulting from any ideas, methods, instructions or products referred to in the content. |
© 2023 by the authors. Licensee MDPI, Basel, Switzerland. This article is an open access article distributed under the terms and conditions of the Creative Commons Attribution (CC BY) license (https://creativecommons.org/licenses/by/4.0/).
