Prevalence of Cardiovascular Risk Factors and Coronary Angiographic Findings in High-Risk Immigrant Communities in Italy
Abstract
1. Introduction
2. Materials and Methods
2.1. Patient Populations
2.2. Statistical Analysis
3. Results
3.1. Study Population
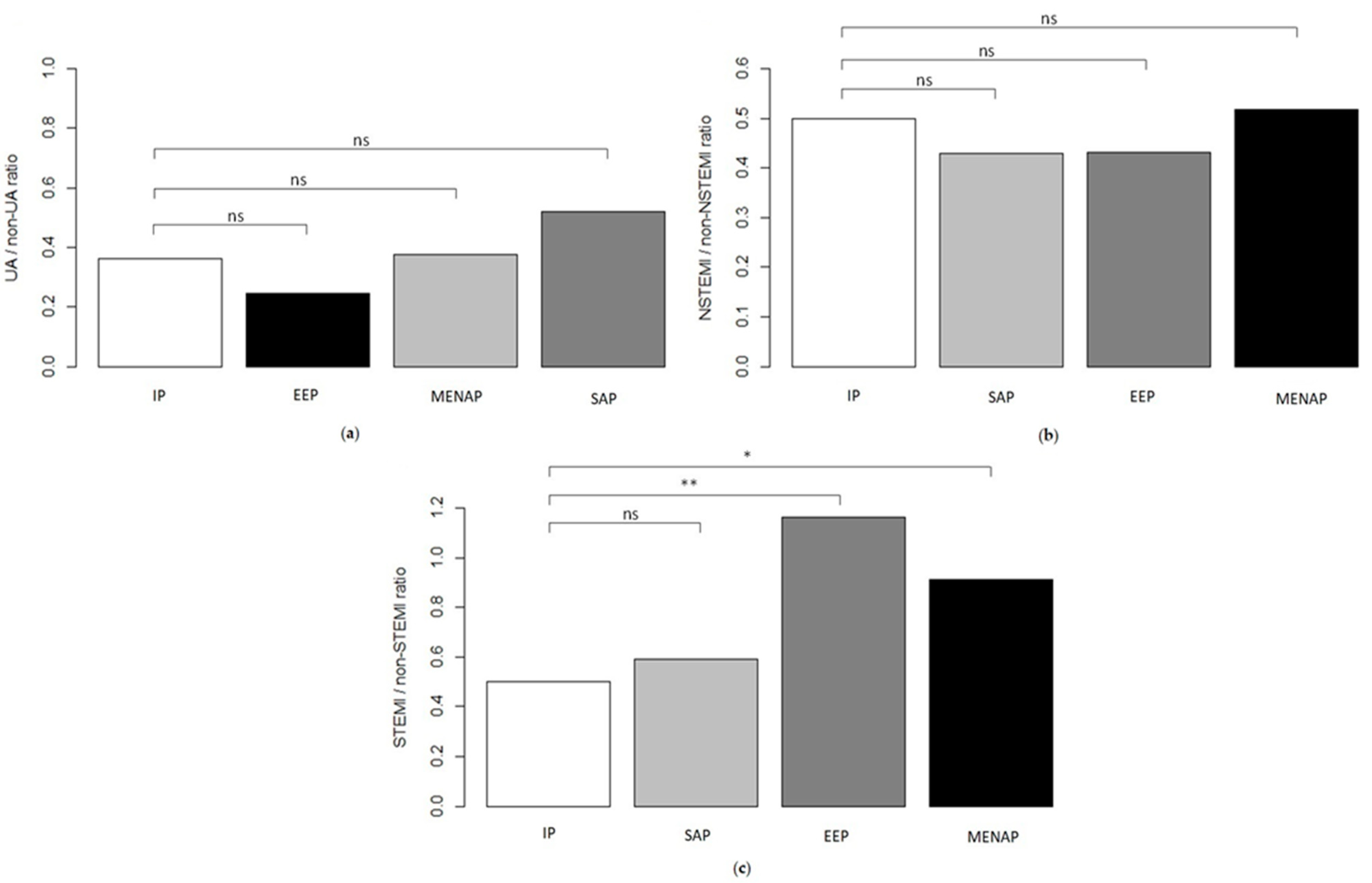
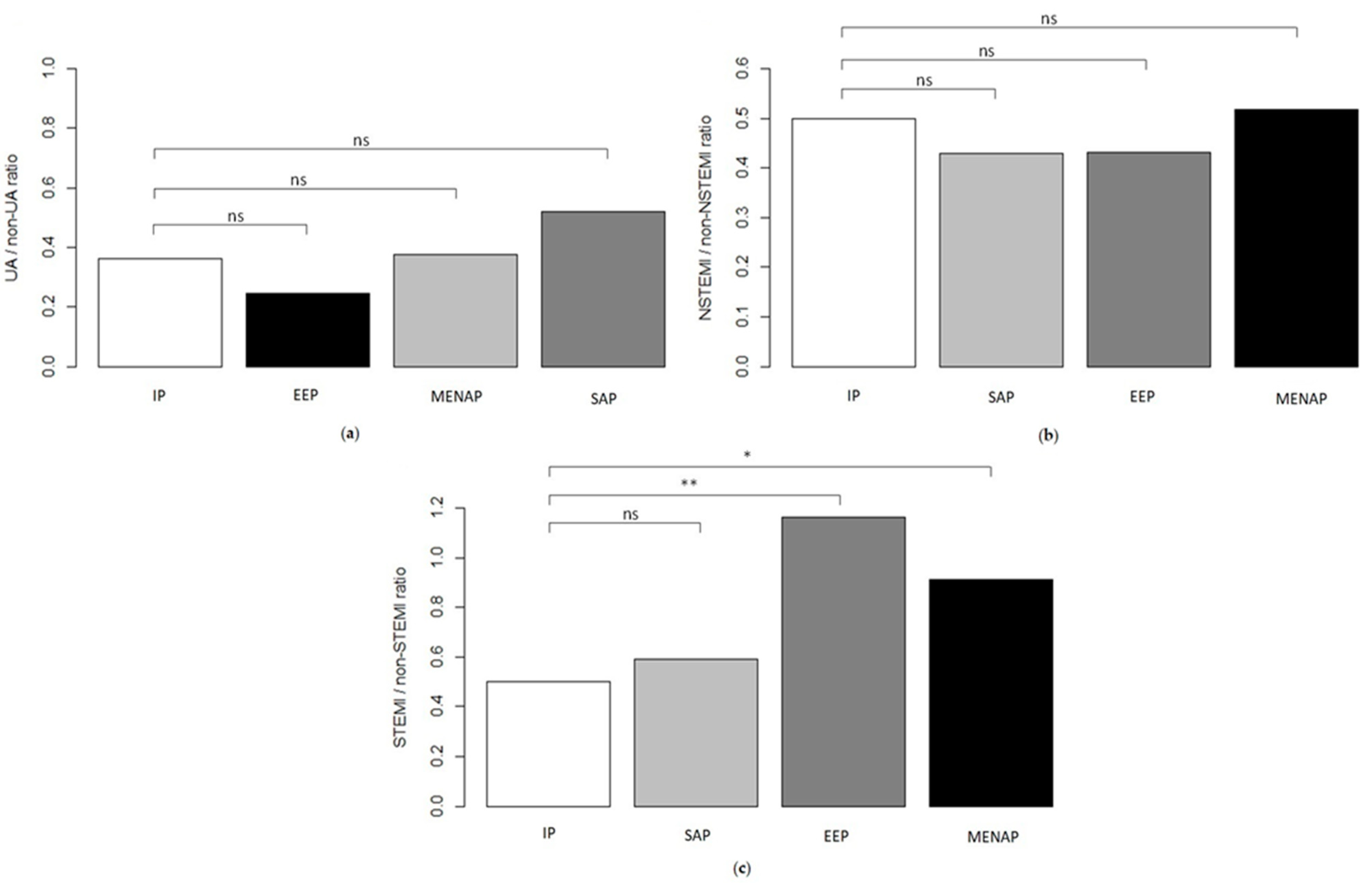
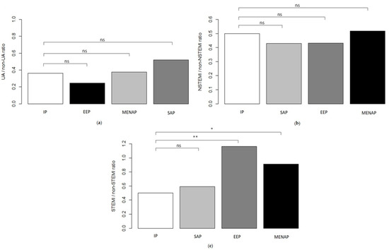
3.2. ACS Characteristics
4. Discussion
5. Conclusions
Author Contributions
Funding
Institutional Review Board Statement
Informed Consent Statement
Data Availability Statement
Conflicts of Interest
References
- WHO. The Top 10 Causes of Death. Available online: https://Www.Who.Int/News-Room/Fact-Sheets/Detail/the-Top-10-Causes-of-Death (accessed on 10 May 2023).
- SCORE2-OP Working Group; ESC Cardiovascular Risk Collaboration; de Vries, T.I.; Cooney, M.T.; Selmer, R.M.; Hageman, S.H.J.; Pennells, L.A.; Wood, A.; Kaptoge, S.; Xu, Z.; et al. SCORE2-OP risk prediction algorithms: Estimating incident cardiovascular event risk in older persons in four geographical risk regions. Eur. Heart J. 2021, 42, 2455–2467. [Google Scholar] [CrossRef]
- Visseren, F.L.J.; Mach, F.; Smulders, Y.M.; Carballo, D.; Koskinas, K.C.; Bäck, M.; Benetos, A.; Biffi, A.; Boavida, J.-M.; Capodanno, D.; et al. ESC Guidelines on cardiovascular disease prevention in clinical practice. Eur. Heart J. 2021, 42, 3227–3337. [Google Scholar] [CrossRef]
- Bild, D.E.; Bluemke, D.A.; Burke, G.L.; Detrano, R.; Diez Roux, A.V.; Folsom, A.R.; Greenland, P.; Jacobs, D.R., Jr.; Kronmal, R.; Liu, K.; et al. Multi-Ethnic Study of Atherosclerosis: Objectives and Design. Am. J. Epidemiol. 2002, 156, 871–881. [Google Scholar] [CrossRef] [PubMed]
- Hippisley-Cox, J.; Coupland, C.; Vinogradova, Y.; Robson, J.; May, M.; Brindle, P. Derivation and validation of QRISK, a new cardiovascular disease risk score for the United Kingdom: Prospective open cohort study. BMJ 2007, 335, 136. [Google Scholar] [CrossRef]
- Hippisley-Cox, J.; Coupland, C.; Brindle, P. Development and validation of QRISK3 risk prediction algorithms to estimate future risk of cardiovascular disease: Prospective cohort study. BMJ 2017, 357, j2099. [Google Scholar] [CrossRef]
- Silbiger, J.J.; Ashtiani, R.; Attari, M.; Spruill, T.M.; Kamran, M.; Reynolds, D.; Stein, R.; Rubinstein, D. Atheroscerlotic heart disease in Bangladeshi immigrants: Risk factors and angiographic findings. Int. J. Cardiol. 2011, 146, e38–e40. [Google Scholar] [CrossRef]
- Islam, A.M.; Majumder, A. Coronary artery disease in Bangladesh: A review. Indian Heart J. 2013, 65, 424–435. [Google Scholar] [CrossRef] [PubMed]
- Vasudev, R.; Shah, P.; Patel, J.; Naranjo, M.; Hosein, K.; Rampal, U.; Patel, H.; Bu, J.; Roy, J.; Guragai, N.; et al. Should Bangladeshi Race Be Considered as an Independent Risk Factor for Multi Vessel Coronary Artery Disease? Vasc. Health Risk Manag. 2020, 16, 143–147. [Google Scholar] [CrossRef]
- Rahman, M.M.; Haque, S.S.; Rahman, F.; Ahmed, K.; Ahsan, M.R.; Parvin, T.; Baker, M.E.; Osmany, M.F.; Bari, N.; Islam, M.S.; et al. Coronary angiographic profile in bangladeshi patients with metabolic syndrome and ischemic heart disease. Mymensingh Med. J. 2012, 21, 702–708. [Google Scholar]
- Vedanthan, R.; Seligman, B.; Fuster, V. Global Perspective on Acute Coronary Syndrome. Circ. Res. 2014, 114, 1959–1975. [Google Scholar] [CrossRef] [PubMed]
- Nowbar, A.N.; Howard, J.P.; Finegold, J.A.; Asaria, P.; Francis, D.P. 2014 Global geographic analysis of mortality from ischaemic heart disease by country, age and income: Statistics from World Health Organisation and United Nations. Int. J. Cardiol. 2014, 174, 293–298. [Google Scholar] [CrossRef]
- Movsisyan, N.K.; Vinciguerra, M.; Medina-Inojosa, J.R.; Lopez-Jimenez, F. Cardiovascular Diseases in Central and Eastern Europe: A Call for More Surveillance and Evidence-Based Health Promotion. Ann. Glob. Health 2020, 86, 21. [Google Scholar] [CrossRef]
- Hartley, A.; Marshall, D.C.; Salciccioli, J.D.; Sikkel, M.B.; Maruthappu, M.; Shalhoub, J. Trends in Mortality from Ischemic Heart Disease and Cerebrovascular Disease in Europe. Circulation 2016, 133, 1916–1926. [Google Scholar] [CrossRef]
- Traina, M.I.; Almahmeed, W.; Edris, A.; Tuzcu, E.M. Coronary Heart Disease in the Middle East and North Africa: Current Status and Future Goals. Curr. Atheroscler. Rep. 2017, 19, 24. [Google Scholar] [CrossRef]
- Alhabib, K.F.; Gamra, H.; Almahmeed, W.; Hammoudeh, A.; Benkheddah, S.; Al Jarallah, M.; Al-Motarreb, A.; AlQuraishi, M.; Sobhy, M.; Yousif, M.G.; et al. Acute myocardial infarction and acute heart failure in the Middle East and North Africa: Study design and pilot phase study results from the PEACE MENA registry. PLoS ONE 2020, 15, e0236292. [Google Scholar] [CrossRef] [PubMed]
- Available online: https://Www.Tuttitalia.It/Statistiche/Cittadini-Stranieri-2022/ (accessed on 10 May 2023).
- Fedeli, U.; Avossa, F.; Ferroni, E.; Schievano, E.; Bilato, C.; Modesti, P.A.; Corti, M.C. Diverging patterns of cardiovascular diseases across immigrant groups in Northern Italy. Int. J. Cardiol. 2018, 254, 362–367. [Google Scholar] [CrossRef]
- Fedeli, U.; Cestari, L.; Ferroni, E.; Avossa, F.; Saugo, M.; Modesti, P.A. Ethnic inequalities in acute myocardial infarction hospitalization rates among young and middle-aged adults in Northern Italy: High risk for South Asians. Intern. Emerg. Med. 2017, 13, 177–182. [Google Scholar] [CrossRef] [PubMed]
- Dąbrowski, E.J.; Kożuch, M.; Dobrzycki, S. Left Main Coronary Artery Disease—Current Management and Future Perspectives. J. Clin. Med. 2022, 11, 5745. [Google Scholar] [CrossRef]
- Maron, B.J.; Doerer, J.J.; Haas, T.S.; Tierney, D.; Mueller, F.O. Sudden Deaths in Young Competitive Athletes. Circulation 2009, 119, 1085–1092. [Google Scholar] [CrossRef]
- Vallapuri, S.; Gupta, D.; Talwar, K.; Billie, M.; Mehta, M.C.; Morise, A.P.; Jain, A.C. Comparison of atherosclerotic risk factors in Asian Indian and American Caucasian patients with angiographic coronary artery disease. Am. J. Cardiol. 2002, 90, 1147–1150. [Google Scholar] [CrossRef] [PubMed]
- Anand, S.S.; Yusuf, S.; Vuksan, V.; Devanesen, S.; Teo, K.K.; Montague, P.A.; Kelemen, L.; Yi, C.; Lonn, E.; Gerstein, H.; et al. Differences in risk factors, atherosclerosis, and cardiovascular disease between ethnic groups in Canada: The Study of Health Assessment and Risk in Ethnic groups (SHARE). Lancet 2000, 356, 279–284. [Google Scholar] [CrossRef]
- Yusuf, S.; Reddy, S.; Ounpuu, S.; Anand, S. Global Burden of Cardiovascular Diseases. Circulation 2001, 104, 2855–2864. [Google Scholar] [CrossRef]
- Available online: https://Ec.Europa.Eu/Eurostat/Statistics-Explained/Index.Php?Title=Cardiovascular_diseases_statistics&oldid=579248 (accessed on 10 May 2023).
- Artaud-Wild, S.M.; Connor, S.L.; Sexton, G.; Connor, W.E. Differences in coronary mortality can be explained by differences in cholesterol and saturated fat intakes in 40 countries but not in France and Finland. A paradox. Circulation 1993, 88, 2771–2779. [Google Scholar] [CrossRef] [PubMed]
- Lubrano, S.B.V. Enzymatic antioxidant system in vascular inflammation and coronary artery disease. World J. Exp. Med. 2015, 5, 218–224. [Google Scholar] [CrossRef]
- Jacobs, D.R., Jr.; Gross, M.D.; Tapsell, L.C. Food synergy: An operational concept for understanding nutrition. Am. J. Clin. Nutr. 2009, 89, 1543S–1548S. [Google Scholar] [CrossRef] [PubMed]
- Widmer, R.J.; Flammer, A.J.; Lerman, L.O.; Lerman, A. The Mediterranean Diet, its Components, and Cardiovascular Disease. Am. J. Med. 2015, 128, 229–238. [Google Scholar] [CrossRef]
- Maqoud, F.; Vacca, E.; Tommaseo-Ponzetta, M. From Morocco to Italy: How Women’s Bodies Reflect their Change of Residence. Coll. Antropol. 2016, 40, 9–15. [Google Scholar]
- Popovic-Lipovac, A.; Strasser, B. A Review on Changes in Food Habits Among Immigrant Women and Implications for Health. J. Immigr. Minor. Health 2013, 17, 582–590. [Google Scholar] [CrossRef]
- Lanza, G.A.; Scalone, G.; Barone, L.; Infusino, F.; Coviello, I.; Di Monaco, A.; Delogu, A.; Battipaglia, I.; De Nisco, A.; Sestito, A.; et al. Platelet reactivity and endothelial function in children of patients with early acute myocardial infarction. Eur. Heart J. 2011, 32, 2042–2049. [Google Scholar] [CrossRef] [PubMed]
- Marchetti, G.; Scarso, S.; Declich, S.; Tosti, M. Centro Nazionale per la Salute Globale—ISS. Available online: https://Www.Epicentro.Iss.It/Migranti/Numeri-Italia#:~:Text=Caratteristiche%20della%20popolazione%20straniera%20residente,Il%20dato%20provvisorio%20del%202021 (accessed on 10 May 2023).




| Ethnicities | IP (n = 90) | SAP (n = 70) | EEP (n = 106) | MENAP (n = 44) | p-Value | |
|---|---|---|---|---|---|---|
| Male | 67 (74,4%) | 55 (78,6%) | 84 (79.2) | 37 (84.1) | < 0.0001 | |
| Mean age at the first event (ReR) | 65.4 ± 10.2 | 49.8 ± 8.5 | 51.9 ± 10.2 | 56.7 ± 11.4 | < 0.0001 | |
| Dyslipidemia | 81 (90.9%) | 61 (87.1%) | 97 (91.5%) | 38 (86.4%) | 0.72 | |
| Hypertension | 81 (89.9%) | 45 (64.3%) | 77 (72.6%) | 32 (72.7%) | 0.003 | |
| Diabetes | 55 (61.6%) | 43 (61.4%) | 22 (20.8%) | 19 (43.2%) | < 0.0001 | |
| Current or former smokers | 72 (80%) | 40 (44%) | 61 (26%) | 21 (23%) | 0.0005 | |
| Familiarity (IQR) | 35 (38.9%) | 10 (14.3%) | 32 (30.2%) | 12 (27.3%) | 0.004 | |
| Multiple risk factors | 4 risk factors | 16 (18.2%) | 10 (14.3%) | 7 (6.6%) | 8 (18.2%) | 0.032 |
| 3 risk factors | 44 (48.5%) | 28 (40.0%) | 35 (33.0%) | 13 (29.5%) | ||
| 2 risk factors | 23 (25.3%) | 24 (34.3%) | 46 (43.4%) | 18 (40.9%) | ||
| 1 risk factor | 7 (8.1%) | 8 (11.4%) | 18 (17.0%) | 5 (11.4%) | ||
| Ethnicities | SAP (n = 70) | EEP (n = 106) | MENAP (n = 44) | |
|---|---|---|---|---|
| Dislipidemia | [OR 0.68; CI: 0.2–2.0] p-value: 0.60 | [OR 1.1; CI: 0.4–3.2] p-value: 1 | [OR 0.64; CI: 0.2–2.3] p-value: 0.39 | |
| Hypertension | [OR 0.28; CI: 0.1–0.5] p-value: 0.001 | [OR 0.3; CI: 0.1–0.7] p-value: 0.003 | [OR 0.3; CI: 0.1–0.8] p-value: 0.018 | |
| Diabetes | [OR 1; CI: 0.5–2.0] p-value: 1 | [OR 0.16; CI: 0.1–0.3] p-value < 0.0001 | [OR 0.48; CI: 0.2–0.9] p-value: 0.04 | |
| Current or former smokers | [OR 1.22; CI: 0.6–2.5] p-value: 0.67 | [OR 0.4; CI: 0.2–1.0] p-value: 0.008 | [OR 0.37; CI: 0.1–0.9] p-value: 0.03 | |
| Familiarity (IQR) | [OR 0.24; CI: 0.1–0.5] p-value: 0.0003 | [OR 0.61; CI: 0.3–1.1] p-value: 0.13 | [OR 0.53; CI: 0.2–1.2] p-value: 0.15 | |
| Multiple risk factors | 4 risk factors | [OR 0.75; CI: 0.3–1.9] p-value: 0.54 | [OR 0.3; CI: 0.1–0.9] p-value: 0.2 | [OR 1; CI: 0.3–2.7] p-value: 1 |
| 3 risk factors | [OR 0.71; CI: 0.4–1.4] p-value: 0.35 | [OR 0.52; CI: 0.29 0.96] p-value: 0.03 | [OR 0.45; CI: 0.2–1.0] p-value: 0.034 | |
| 2 risk factors | [OR 1.54; CI: 0.7–3.2] p-value: 0.23 | [OR 2.26; CI: 1.2–4.3] p-value: 0.01 | [OR 2; CI: 0.9–4.6] p-value: 0.06 | |
| 1 risk factor | [OR 1.32; CI: 0.4–4.2] p-value: 0.80 | [OR 2.3; CI: 0.9–6.5] p-value: 0.06 | [OR 1.45; CI: 0.4–5.4] p-value: 0.53 | |
| LAD | Cx | RCA | LM | 3VD | 2VD | |||||||
|---|---|---|---|---|---|---|---|---|---|---|---|---|
| R.F. (%) | p-Value | R.F. (%) | p-Value | R.F. (%) | p-Value | R.F. (%) | p-Value | R.F. (%) | p-Value | R.F. (%) | p-Value | |
| IP | 66.7 | - * | 55.6 | - * | 47.8 | - * | 5.6 | - * | 27.8 | - * | 24.4 | - * |
| SAP | 82.9 | 0.033 | 52.9 | 0.86 | 58.6 | 0.23 | 15.7 | 0.026 | 30.0 | 0.90 | 35.7 | 0.17 |
| EEP | 75.5 | 0.300 | 38.7 | 0.026 | 45.3 | 0.84 | 4.7 | 1.00 | 22.9 | 0.53 | 23.6 | 1.00 |
| MENAP | 68.2 | 1.00 | 50.0 | 0.67 | 50.0 | 0.95 | 7.0 | 0.70 | 22.7 | 0.68 | 31.8 | 0.37 |
Disclaimer/Publisher’s Note: The statements, opinions and data contained in all publications are solely those of the individual author(s) and contributor(s) and not of MDPI and/or the editor(s). MDPI and/or the editor(s) disclaim responsibility for any injury to people or property resulting from any ideas, methods, instructions or products referred to in the content. |
© 2023 by the authors. Licensee MDPI, Basel, Switzerland. This article is an open access article distributed under the terms and conditions of the Creative Commons Attribution (CC BY) license (https://creativecommons.org/licenses/by/4.0/).
Share and Cite
Muscoli, S.; Andreadi, A.; Tamburro, C.; Russo, M.; Rosenfeld, R.; Oro, P.; Ifrim, M.; Porzio, F.; Barone, L.; Barillà, F.; et al. Prevalence of Cardiovascular Risk Factors and Coronary Angiographic Findings in High-Risk Immigrant Communities in Italy. J. Pers. Med. 2023, 13, 882. https://doi.org/10.3390/jpm13060882
Muscoli S, Andreadi A, Tamburro C, Russo M, Rosenfeld R, Oro P, Ifrim M, Porzio F, Barone L, Barillà F, et al. Prevalence of Cardiovascular Risk Factors and Coronary Angiographic Findings in High-Risk Immigrant Communities in Italy. Journal of Personalized Medicine. 2023; 13(6):882. https://doi.org/10.3390/jpm13060882
Chicago/Turabian StyleMuscoli, Saverio, Aikaterini Andreadi, Claudia Tamburro, Massimo Russo, Roberto Rosenfeld, Pietro Oro, Mihaela Ifrim, Federica Porzio, Lucy Barone, Francesco Barillà, and et al. 2023. "Prevalence of Cardiovascular Risk Factors and Coronary Angiographic Findings in High-Risk Immigrant Communities in Italy" Journal of Personalized Medicine 13, no. 6: 882. https://doi.org/10.3390/jpm13060882
APA StyleMuscoli, S., Andreadi, A., Tamburro, C., Russo, M., Rosenfeld, R., Oro, P., Ifrim, M., Porzio, F., Barone, L., Barillà, F., & Lauro, D. (2023). Prevalence of Cardiovascular Risk Factors and Coronary Angiographic Findings in High-Risk Immigrant Communities in Italy. Journal of Personalized Medicine, 13(6), 882. https://doi.org/10.3390/jpm13060882

