Assessment of Human Gingival Fibroblast Proliferation after Laser Stimulation In Vitro Using Different Laser Types and Wavelengths (1064, 980, 635, 450, and 405 nm)—Preliminary Report
Abstract
1. Introduction
2. Materials and Methods
2.1. Cell Culture
2.2. Laser Irradiation
- 3 diodes emitting at 405 nm (maximum output power of 0.70 W),
- 2 diodes emitting at 450 nm (maximum output power of 1.0 W),
- 3 diodes emitting at 635 nm (maximum output power of 1.0 W).
2.3. Cell Proliferation MTT Test
2.4. Statistical Analysis
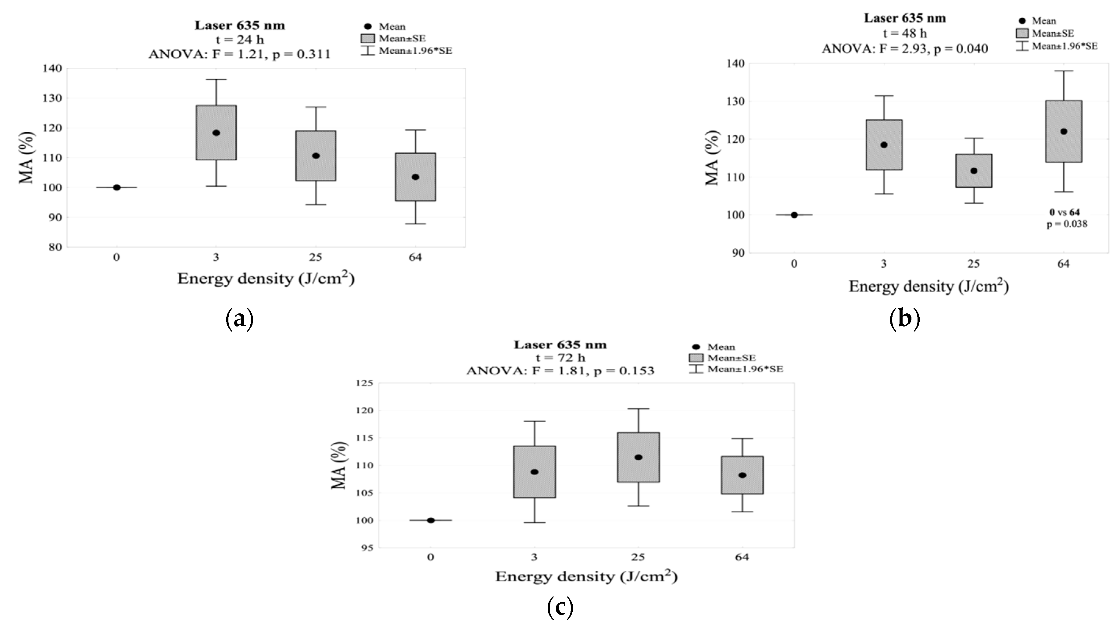
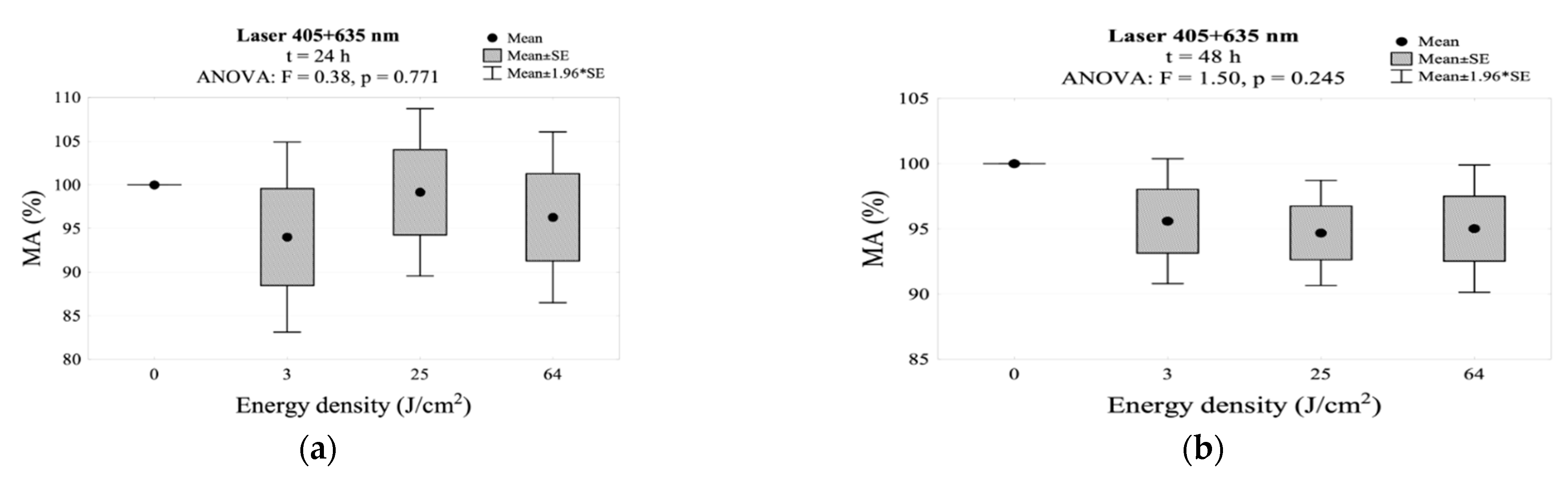
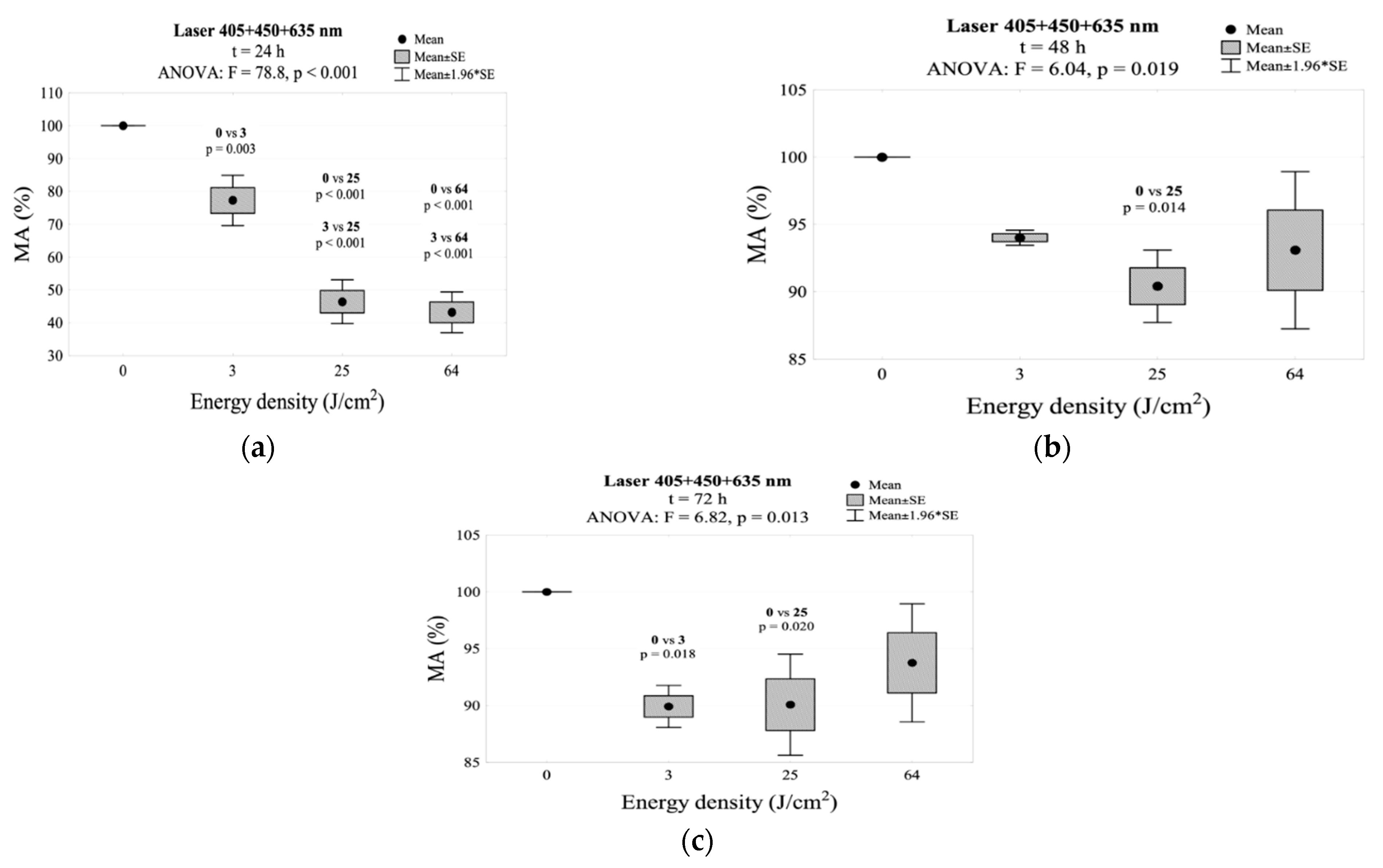
3. Results
4. Discussion
5. Conclusions
Author Contributions
Funding
Institutional Review Board Statement
Informed Consent Statement
Data Availability Statement
Conflicts of Interest
References
- Luke, A.; Mathew, S.; Altawash, M.M.; Madan, B.M. Lasers: A Review with Their Applications in Oral Medicine. J. Lasers Med. Sci. 2019, 10, 324–329. [Google Scholar] [CrossRef]
- Marques, E.C.P.; Lopes, F.P.; Nascimento, I.C.; Morelli, J.; Pereira, M.V.; Meiken, V.M.M.; Pinheiro, S.L. Photobiomodulation and photodynamic therapy for the treatment of oral mucositis in patients with cancer. Photodiagnosis Photodyn. Ther. 2020, 29, 101621. [Google Scholar] [CrossRef]
- Jahanbin, A.; Eslami, N.; Layegh, P.; Saeidi, M.; Kazemi, M.; Shahabi, M.; Raisolsadat, S.M.A. Fractional CO(2) laser treat-ment for post-surgical lip scars in cleft lip and palate patients. Lasers Med. Sci. 2019, 34, 1699–1703. [Google Scholar] [CrossRef]
- Chen, Y.; Chen, X.L.; Zou, X.L.; Chen, S.Z.; Zou, J.; Wang, Y. Efficacy of low-level laser therapy in pain management after root canal treatment or retreatment: A systematic review. Lasers Med. Sci. 2019, 34, 1305–1316. [Google Scholar] [CrossRef]
- Escudero, J.S.B.; Perez, M.G.B.; de Oliveira Rosso, M.P.; Buchaim, D.V.; Pomini, K.T.; Campos, L.M.G.; Audi, M.; Buchaim, R.L. Photobiomodulation therapy (PBMT) in bone repair: A systematic review. Injury 2019, 50, 1853–1867. [Google Scholar] [CrossRef]
- Ivonyak, Y.; Piechal, B.; Mrozowicz, M.; Bercha, A.; Trzeciakowski, W. Note: Coupling of multiple laser diodes into a multi-mode fiber. Rev. Sci. Instrum. 2014, 85, 36106. [Google Scholar] [CrossRef] [PubMed]
- Lione, R.; Pavoni, C.; Noviello, A.; Clementini, M.; Danesi, C.; Cozza, P. Conventional versus laser gingivectomy in the management of gingival enlargement during orthodontic treatment: A randomized controlled trial. Eur. J. Orthod. 2019, 27, 78–85. [Google Scholar] [CrossRef] [PubMed]
- Magri, L.V.; Bataglion, C.; Leite-Panissi, C.R. Follow-up results of a randomized clinical trial for low-level laser therapy in painful TMD of muscular origins. CRANIO 2019, 4, 1–8. [Google Scholar] [CrossRef]
- Matys, J.; Swider, K.; Grzech-Lesniak, K.; Dominiak, M.; Romeo, U. Photobiomodulation by a 635 nm Diode Laser on Peri-Implant Bone: Primary and Secondary Stability and Bone Density Analysis. A Randomized Clinical Trial. Biomed. Res. Int. 2019, 2019, 2785302. [Google Scholar]
- Neruntarat, C.; Khuancharee, K.; Shoowit, P. Er:YAG laser for snoring: A systemic review and meta-analysis. Lasers Med. Sci. 2020, 35, 1231–1238. [Google Scholar] [CrossRef]
- Deeb, J.G.; Smith, J.; Belvin, B.R.; Lewis, J.P.; Grzech-Leśniak, K. Er:YAG Laser Irradiation Reduces Microbial Viability When Used in Combination with Irrigation with Sodium Hypochlorite, Chlorhexidine, and Hydrogen Peroxide. Microorganisms 2019, 7, 612. [Google Scholar] [CrossRef]
- Grzech-Leśniak, K.; Gaspirc, B.; Sculean, A. Clinical and microbiological effects of multiple applications of antibacterial photodynamic therapy in periodontal maintenance patients. A randomized controlled clinical study. Photodiagnosis Photodyn. Ther. 2019, 27, 44–50. [Google Scholar] [CrossRef]
- Grzech-Leśniak, K.; Matys, J.; Dominiak, M. Comparison of the clinical and microbiological effects ofantibiotic therapy in periodontal pockets following laser treatment: An in vivo study. Adv. Clin. Exp. Med. 2018, 27, 1263–1270. [Google Scholar] [CrossRef]
- Grzech-Leśniak, K.; Nowicka, J.; Pajączkowska, M.; Matys, J.; Szymonowicz, M.K.; Kuropka, P.; Rybak, Z.; Dobrzyński, M.; Dominiak, M. Effects of Nd:YAG laser irradiation on the growth of Candida albicans and Streptococcus mutans: In vitro study. Lasers Med. Sci. 2018, 34, 129–137. [Google Scholar] [CrossRef] [PubMed]
- Grzech-Leśniak, K.; Matys, J.; Jurczyszyn, K.; Ziółkowski, P.; Dominiak, M.; Junior, A.B.; Romeo, U. Histological and Thermometric Examination of Soft Tissue De-Epithelialization Using Digitally Controlled Er:YAG Laser Handpiece: An Ex Vivo Study. Photomed. Laser Surg. 2018, 36, 313–319. [Google Scholar] [CrossRef] [PubMed]
- Świder, K.; Dominiak, M.; Grzech-Leśniak, K.; Matys, J. Efect of Different Laser Wavelengths on Periodontopathogens in Peri-Implantitis: A Review of In Vivo Studies. Microorganisms 2019, 7, 189. [Google Scholar] [CrossRef]
- Kubasiewicz-Ross, P.; Hadzik, J.; Gedrange, T.; Dominiak, M.; Jurczyszyn, K.; Pitułaj, A.; Nawrot-Hadzik, I.; Bortkiewicz, O.; Fleischer, M. Antimicrobial Efficacy of Different Decontamination Methods as Tested on Dental Implants with Various Types of Surfaces. Med. Sci. Monit. 2020, 26. [Google Scholar] [CrossRef]
- Merigo, E.; Rocca, J.-P.; Pinheiro, A.L.B.; Fornaini, C. Photobiomodulation Therapy in Oral Medicine: A Guide for the Prac-titioner with Focus on New Possible Protocols. Photobiomodul. Photomed. Laser Surg. 2019, 37, 669–680. [Google Scholar] [CrossRef] [PubMed]
- Grzech-Lesniak, K. Making Use of Lasers in Periodontal Treatment: A New Gold Standard? Photomed. Laser Surg. 2017, 35, 513–514. [Google Scholar] [CrossRef] [PubMed]
- Dompe, C.; Moncrieff, L.; Matys, J.; Grzech-Leśniak, K.; Kocherova, I.; Bryja, A.; Bruska, M.; Dominiak, M.; Mozdziak, P.; Skiba, T.H.I.; et al. Photobiomodulation—Underlying Mechanism and Clinical Applications. J. Clin. Med. 2020, 9, 1724. [Google Scholar] [CrossRef] [PubMed]
- Riegel, R.; Sepion, L. Laser Therapy for the Equine Athlete; LiteCure LLC.: Newark, NJ, USA, 2007; pp. 7–71. [Google Scholar]
- Hamblin, M.R.; Demidova, T.N. Mechanisms of low level light therapy. Mech. Low-Light Ther. 2006, 6140, 614001. [Google Scholar] [CrossRef]
- Lee, S.Y.; Park, K.-H.; Choi, J.-W.; Kwon, J.-K.; Lee, D.R.; Shin, M.S.; Lee, J.S.; You, C.E.; Park, M.Y. A prospective, randomized, placebo-controlled, double-blinded, and split-face clinical study on LED phototherapy for skin rejuvenation: Clinical, profilometric, histologic, ultrastructural, and biochemical evaluations and comparison of three different treatment settings. J. Photochem. Photobiol. B Biol. 2007, 88, 51–67. [Google Scholar] [CrossRef]
- Ravera, S.; Ferrando, S.; Agas, D.; De Angelis, N.; Raffetto, M.; Sabbieti, M.G.; Signore, A.; Benedicenti, S.; Amaroli, A. 1064 nm Nd:YAG laser light affects transmembrane mitochondria respiratory chain complexes. J. Biophotonics 2019, 12, e201900101. [Google Scholar] [CrossRef]
- Lee, J.; Stavropoulos, A.; Susin, C.; Wikesjö, U.M. Periodontal Regeneration: Focus on Growth and Differentiation Factors. Dent. Clin. N. Am. 2010, 54, 93–111. [Google Scholar] [CrossRef]
- Pugliese, L.S.; Medrado, A.P.; Reis, S.R.; Andrade, Z.D.A. The influence of low-level laser therapy on biomodulation of collagen and elastic fibers. Pesqui. Odontol. Bras. 2003, 17, 307–313. [Google Scholar] [CrossRef] [PubMed][Green Version]
- Saygun, I.; Karacay, S.; Serdar, M.; Ural, A.U.; Sencimen, M.; Kurtis, B. Effects of laser irradiation on the release of basic fibroblast growth factor (bFGF), insulin like growth factor-1 (IGF-1), and receptor of IGF-1 (IGFBP3) from gingival fibroblasts. Lasers Med. Sci. 2008, 23, 211–215. [Google Scholar] [CrossRef] [PubMed]
- Janis, J.E.; Kwon, R.K.; LaLonde, D.H. A Practical Guide to Wound Healing. Plast. Reconstr. Surg. 2010, 125, 230e–244e. [Google Scholar] [CrossRef] [PubMed]
- Holmes, D.I.R.; Zachary, I.C. Vascular endothelial growth factor regulates stanniocalcin-1 expression via neuro-pilin-1-dependent regulation of KDR and synergism with fibroblast growth factor-2. Cell. Signal. 2008, 20, 569–579. [Google Scholar] [CrossRef] [PubMed]
- Carroll, J.D.; Milward, M.R.; Cooper, P.R.; Hadis, M.; Palin, W. Developments in low level light therapy (LLLT) for dentistry. Dent. Mater. 2014, 30, 465–475. [Google Scholar] [CrossRef]
- Pini Prato, G.P.; Rotundo, R.; Magnani, C.; Soranzo, C. Tissue engineering technology for gingival augmentation procedures: A case report. Int. J. Periodontics Restor. Dent. 2000, 20, 552–559. [Google Scholar]
- Żurek, J.; Dominiak, M.; Botzenhart, U.; Bednarz, W. The use of biostatic fascia lata high allograft as a scaffold for autologous culture of fibroblast—An in vitro study. Ann. Anat. 2015, 199, 104–108. [Google Scholar] [CrossRef]
- Puzio, M.; Hadzik, J.; Błaszczyszyn, A.; Gedrange, T.; Dominiak, M. Soft tissue augmentation around dental implants with connective tissue graft (CTG) and xenogenic collagen matrix (XCM). 1-year randomized control trail. Ann. Anat. Anat. Anz. 2020, 230, 151484. [Google Scholar] [CrossRef]
- Saczko, J.; Dominiak, M.; Kulbacka, J.; Chwiłkowska, A.; Krawczykowska, H. A simple and established method of tissue culture of human gingival fibroblasts for gingival augmentation. Folia Histochem. Cytobiol. 2008, 46, 117–119. [Google Scholar] [CrossRef]
- Dominiak, M.; Saczko, J.; Gerber, H.; Rybak, Z.; Gredes, T. Use of primary culture of human fibroblasts in gingiva augmentation procedure. Biomed. Tech. 2010, 55, 331–334. [Google Scholar] [CrossRef]
- Martin, P.; Nunan, R. Cellular and molecular mechanisms of repair in acute and chronic wound healing. Br. J. Dermatol. 2015, 173, 370–378. [Google Scholar] [CrossRef]
- Yu, H.C.; Huang, F.-M.; Lee, S.-S.; Yu, C.-C.; Chang, Y.-C. Effects of fibroblast growth factor-2 on cell proliferation of cementoblasts. J. Dent. Sci. 2016, 11, 463–467. [Google Scholar] [CrossRef]
- Posten, W.; Wrone, D.A.; Dover, J.S.; Arndt, K.A.; Silapunt, S.; Alam, M. Low-level laser therapy for wound healing: Mecha-nism and efficacy. Dermatol. Surg. 2005, 31, 334–339. [Google Scholar] [CrossRef]
- Sajan, G.; Michael, R.H.; Heidi, A. Effect of red light and near infrared laser on the generation of reactive oxygen species in primary dermal fibroblasts. J. Photochem. Photobiol. B 2018, 188, 60–68. [Google Scholar]
- Kim, H.P. Lightening up Light Therapy: Activation of Retrograde Signaling Pathway by Photobiomodulation. Biomol. Ther. 2014, 22, 491–496. [Google Scholar] [CrossRef] [PubMed]
- Sommer, A.P.; Caron, A.; Fecht, H.-J. Tuning Nanoscopic Water Layers on Hydrophobic and Hydrophilic Surfaces with Laser Light. Langmuir 2008, 24, 635–636. [Google Scholar] [CrossRef] [PubMed]
- Niemz, M.H.; Markolf, H. Laser-Tissue Interactions—Fundamentals and Applications; Springer Science & Business Media: Berlin, Germany, 2007; pp. 77–78. [Google Scholar]
- Chung, H.; Dai, T.; Sharma, S.K.; Huang, Y.-Y.; Carroll, J.D.; Hamblin, M.R. The Nuts and Bolts of Low-level Laser (Light) Therapy. Ann. Biomed. Eng. 2011, 40, 516–533. [Google Scholar] [CrossRef] [PubMed]
- Ghazizadeh, M.; Tosa, M.; Shimizu, H.; Hyakusoku, H.; Kawanami, O. Functional Implications of the IL-6 Signaling Pathway in Keloid Pathogenesis. J. Investig. Dermatol. 2007, 127, 98–105. [Google Scholar] [CrossRef]
- Uitto, J. IL-6 Signaling Pathway in Keloids: A Target for Pharmacologic Intervention? J. Investig. Dermatol. 2007, 127, 6–8. [Google Scholar] [CrossRef]
- Huang, P.J.; Huang, Y.C.; Su, M.F.; Yang, T.Y.; Huang, J.R.; Jiang, C.P. In vitro observations on the influence of copper peptide aids for the LED photoirradiation of fibroblast collagen synthesis. Photomed. Laser Surg. 2007, 25, 183–190. [Google Scholar] [CrossRef] [PubMed]
- Cannarozzo, G.; Silvestri, M.; Tamburi, F.; Sicilia, C.; Del Duca, E.; Scali, E.; Bennardo, L.; Nisticò, S.P. A new 675-nm laser device in the treatment of acne scars: An observational study. Lasers Med. Sci. 2021, 36, 227–231. [Google Scholar] [CrossRef] [PubMed]
- Khan, I.; Tang, E.; Arany, P. Molecular pathway of near-infrared laser phototoxicity involves ATF-4 orchestrated ER stress. Sci. Rep. 2015, 5, 10581. [Google Scholar] [CrossRef]
- Cobb, C.M. Lasers in Periodontics: A Review of the Literature. J. Periodontol. 2006, 77, 545–564. [Google Scholar] [CrossRef] [PubMed]
- Desmoulière, A.; Darby, I.A.; Laverdet, B.; Bonté, F. Fibroblasts and myofibroblasts in wound healing. Clin. Cosmet. Investig. Dermatol. 2014, 7, 301–311. [Google Scholar] [CrossRef]
- Illescas-Montes, R.; Melguizo-Rodríguez, L.J.; Manzano-Moreno, F.J.; García-Martínez, O.; Concepción, R.; Ramos-Torrecillas, J. Cultured Human Fibroblast Biostimulation Using a 940 nm Diode. Laser Mater. 2017, 10, 793. [Google Scholar] [CrossRef] [PubMed]
- Kreisler, M.; Christoffers, A.B.; Willershausenm, B.; d’Hoedt, B. Low Level 809-nm Diode Laser-Induced In Vitro Stimulation of the Proliferation of Human Gingival Fibroblasts. Lasers Med. Sci. 2003, 18, 100–103. [Google Scholar] [CrossRef]
- Illescas-Montes, R.; Melguizo-Rodríguez, L.; García-Martínez, O.; De Luna-Bertos, E.; Manzano-Moreno, F.J.; Ruiz, C.; Ramos-Torrecillas, J. Human Fibroblast Gene Expression Modulation Using 940 NM Diode Laser. Sci. Rep. 2019, 9, 1–7. [Google Scholar] [CrossRef]
- Engel, K.W.; Khan, I.; Arany, P. Cell lineage responses to photobiomodulation therapy. J. Biophotonics 2016, 9, 1148–1156. [Google Scholar] [CrossRef]
- Gkogkos, A.S.; Karoussis, I.K.; Prevezanos, I.D.; Marcopoulou, K.E.; Kyriakidou, K.; Vrotsos, I.A. Effect of Nd:YAG Low Level Laser Therapy on Human Gingival Fibroblasts. Int. J. Dent. 2015, 2015, 1–7. [Google Scholar] [CrossRef]
- Gutknecht, N.; Kanehl, S.; Moritz, A.; Mittermayer, C.; Lampert, F. Effects of Nd:YAG-laser irradiation on monolayer cell cultures. Lasers Surg. Med. 1998, 22, 30–36. [Google Scholar] [CrossRef]
- Almeida-Lopes, L.; Rigau, J.; Zangaro, R.A.; Guidugli-Neto, J.; Jaeger, M.M. Comparison of the low level laser therapy ef-fects on cultured human gingival fibroblasts proliferation using different irradiance and same fluence. Lasers Surg. Med. 2001, 29, 179–184. [Google Scholar] [CrossRef]
- Sağlam, M.; Köseoğlu, S.; Pekbağrıyanık, T.; Savran, L.; Enhoş, S. Effects of high power-pulsed Nd:YAG laser irradiation on the release of transforming growth factor-beta (TGF-β) and vascular endothelial growth factor (VEGF) from human gingival fibroblasts. J. Cosmet. Laser Ther. 2017, 19, 469–474. [Google Scholar] [CrossRef] [PubMed]
- Chen, Y.J.; Jeng, J.H.; Lee, B.S.; Chang, H.F.; Chen, K.C.; Lan, W.H. Effects of Nd:YAG laser irradiation on cultured human gingival fibroblasts. Lasers Surg. Med. 2000, 27, 471–478. [Google Scholar] [CrossRef]
- Day, R.M.; Suzuki, Y.J. Cell Proliferation, Reactive Oxygen and Cellular Glutathione. Dose-Response 2005, 3, 425–442. [Google Scholar] [CrossRef] [PubMed]
- Rastogi, R.P.; Kumar, A.; Tyagi, M.B.; Sinha, R.P. Molecular mechanisms of ultraviolet radiation-induced DNA damage and repair. J. Nucleic Acids 2010, 2010, 592980. [Google Scholar] [CrossRef]
- Sage, E.; Girard, P.-M.; Francesconi, S. Unravelling UVA-induced mutagenesis. Photochem. Photobiol. Sci. 2012, 11, 74–80. [Google Scholar] [CrossRef] [PubMed]
- Alba, M.N.; Gerenutti, M.; Yoshida, V.M.H.; Grotto, D. Clinical comparison of salicylic acid peel and LED-Laser photo-therapy for the treatment of Acne vulgaris in teenagers. J. Cosmet. Laser Ther. 2017, 19, 49–53. [Google Scholar] [CrossRef] [PubMed]
- Masson-Meyers, D.S.; Bumah, V.V.; Enwemeka, C.S. Blue light does not impair wound healing in vitro. J. Photochem. Photobiol. B Biol. 2016, 160, 53–60. [Google Scholar] [CrossRef] [PubMed]
- De Sousa, N.T.A.; Santos, M.F.; Gomes, R.C.; Brandino, H.E.; Martinez, R.; Guirro, R.R.J. Blue Laser Inhibits Bacterial Growth of Staphylococcus aureus, Escherichia coli, and Pseudomonas aeruginosa. Photomed. Laser Surg. 2015, 33, 278–282. [Google Scholar] [CrossRef]
- Trelles, M.A.; Allones, I.; Mayo, E. Combined visible light and infrared light-emitting diode (LED) therapy enhances wound healing after laser ablative resurfacing of photodamaged facial skin Medical. Laser Appl. 2006, 21, 165–175. [Google Scholar] [CrossRef]












| Type of Laser | Wavelength | Output Power for Energy Density | Pulse Modulation-Frequency | ||
|---|---|---|---|---|---|
| 3 J/cm2 | 25 J/cm2 | 64 J/cm2 | |||
| Nd-YAG (Light-Walker Fotona, Slovenia) | 1064 nm | 0.25 W | 0.5 W | 1.0 W | 10 Hz |
| Diode laser (Smart M, Lasotronix Poland) | 980 nm | 0.50 W | 1.0 W | 2.0 W | |
| Visible diode laser developed for the project (Poland) | 405 nm | 0.25 W | 0.5 W | 0.7 W | 10 Hz |
| 450 nm | 0.25 W | 0.5 W | 1.0 W | ||
| 635 nm | 0.25 W | 0.5 W | 1.0 W | ||
| 405 + 635 nm | 0.15 W + 0.15 W | 0.25 W + 0.25 W | 0.5 W + 0.5 W | ||
| 450 + 635 nm | 0.15 W + 0.15 W | 0.25 W + 0.25 W | 0.5 W + 0.5 W | ||
| 405 + 450 + 635 nm | 0.10 W + 0.10 W + 0.10 W | 0.15 W + 0.15 W + 0.15 W | 0.35 W + 0.35 W + 0.35 W | ||
| MA ± SE | |||||||||
|---|---|---|---|---|---|---|---|---|---|
| ED (J/cm) | t (h) | 405 nm | 450 nm | 635 nm | 405 + 635 nm | 450 + 635 nm | 405 + 450 + 635 nm | 980 nm | 1064 nm |
| 0 | 0 | 100.0 (ref.) | 100.0 (ref.) | 100.0 (ref.) | 100.0 (ref.) | 100.0 (ref.) | 100.0 (ref.) | 100.0 (ref.) | 100.0 (ref.) |
| 0 | 24 | 100.0 (ref.) | 100.0 (ref.) | 100.0 (ref.) | 100.0 (ref.) | 100.0 (ref.) | 100.0 (ref.) | 100.0 (ref.) | 100.0 (ref.) |
| 0 | 48 | 100.0 (ref.) | 100.0 (ref.) | 100.0 (ref.) | 100.0 (ref.) | 100.0 (ref.) | 100.0 (ref.) | 100.0 (ref.) | 100.0 (ref.) |
| 0 | 72 | 100.0 (ref.) | 100.0 (ref.) | 100.0 (ref.) | 100.0 (ref.) | 100.0 (ref.) | 100.0 (ref.) | 100.0 (ref.) | 100.0 (ref.) |
| 3 | 0 | 100.0 (ref.) | 100.0 (ref.) | 100.0 (ref.) | 100.0 (ref.) | 100.0 (ref.) | 100.0 (ref.) | 100.0 (ref.) | 100.0 (ref.) |
| 3 | 24 | 90.9 ± 5.8 | 85.6 ± 7.4 | 118.4 ± 38.8 | 94.0 ± 13.6 | 91.9 ± 7.5 | 77.2 ± 6.8 | 104.0 ± 38.6 | 75.4 ± 18.5 |
| 3 | 48 | 117.8 ± 12.7 | 109.6 ± 27.5 | 118.5 ± 28.0 | 95.6 ± 6.0 | 93.9 ± 4.2 | 94.0 ± 0.5 | 105.5 ± 36.1 | 98.9 ± 5.6 |
| 3 | 72 | 100.4 ± 3.6 | 108.1 ± 11.0 | 108.8 ± 20.0 | 101.7 ± 10.0 | 97.3 ± 8.2 | 89.9 ± 1.6 | 87.1 ± 21.5 | 95.7 ± 11.2 |
| 25 | 0 | 100.0 (ref.) | 100.0 (ref.) | 100.0 (ref.) | 100.0 (ref.) | 100.0 (ref.) | 100.0 (ref.) | 100.0 (ref.) | 100.0 (ref.) |
| 25 | 24 | 93.6 ± 8.6 | 91.3 ± 10.0 | 110.6 ± 35.4 | 99.1 ± 12.0 | 86.4 ± 7.1 | 46.4 ± 5.9 | 126.6 ± 71.7 | 101.5 ± 4.6 |
| 25 | 48 | 117.9 ± 10.4 | 105.8 ± 18.8 | 111.7 ± 18.5 | 94.7 ± 5.0 | 96.9 ± 4.4 | 90.4 ± 2.4 | 105.5 ± 38.5 | 103.4 ± 6.4 |
| 25 | 72 | 104.9 ± 6.2 | 110.9 ± 10.0 | 111.5 ± 19.2 | 100.4 ± 21.4 | 103.8 ± 0.8 | 90.1 ± 3.9 | 87.6 ± 20.2 | 101.0 ± 11.0 |
| 64 | 0 | 100.0 (ref.) | 100.0 (ref.) | 100.0 (ref.) | 100.0 (ref.) | 100.0 (ref.) | 100.0 (ref.) | 100.0 (ref.) | 100.0 (ref.) |
| 64 | 24 | 90.5 ± 5.6 | 87.3 ± 8.9 | 103.5 ± 34.0 | 96.3 ± 12.2 | 89.6 ± 8.3 | 43.2 ± 5.5 | 124.4 ± 70.5 | 92.3 ± 14.6 |
| 64 | 48 | 117.3 ± 8.7 | 97.6 ± 17.6 | 122.1 ± 34.5 | 95.0 ± 6.1 | 95.7 ± 5.0 | 93.1 ± 5.2 | 99.7 ± 42.9 | 97.4 ± 6.2 |
| 64 | 72 | 105.4 ± 8.2 | 108.3 ± 8.6 | 108.2 ± 14.4 | 102.5 ± 8.0 | 99.0 ± 5.8 | 93.8 ± 4.6 | 84.9 ± 21.7 | 104.0 ± 11.1 |
| MAmax (%) | Laser | |||||||
|---|---|---|---|---|---|---|---|---|
| A | B | C | D | E | F | G | H | |
| λ (nm) | 405 | 450 | 635 | 405 + 635 | 450 + 635 | 405 + 450 + 635 | 980 | 1064 |
| ED (J/cm2) | 25 | 25 | 64 | 64 | 25 | 3 | 25 | 64 |
| t (h) | 48 | 72 | 48 | 72 | 72 | 48 | 24 | 72 |
| Mean ± SD | 117.9 ± 10.4 | 110.9 ± 10.0 | 122.1 ± 34.5 | 102.5 ± 8.0 | 103.8 ± 0.8 | 94.0 ± 0.5 | 126.6 ± 71.7 | 104.0 ± 11.1 |
Publisher’s Note: MDPI stays neutral with regard to jurisdictional claims in published maps and institutional affiliations. |
© 2021 by the authors. Licensee MDPI, Basel, Switzerland. This article is an open access article distributed under the terms and conditions of the Creative Commons Attribution (CC BY) license (http://creativecommons.org/licenses/by/4.0/).
Share and Cite
Sterczała, B.; Grzech-Leśniak, K.; Michel, O.; Trzeciakowski, W.; Dominiak, M.; Jurczyszyn, K. Assessment of Human Gingival Fibroblast Proliferation after Laser Stimulation In Vitro Using Different Laser Types and Wavelengths (1064, 980, 635, 450, and 405 nm)—Preliminary Report. J. Pers. Med. 2021, 11, 98. https://doi.org/10.3390/jpm11020098
Sterczała B, Grzech-Leśniak K, Michel O, Trzeciakowski W, Dominiak M, Jurczyszyn K. Assessment of Human Gingival Fibroblast Proliferation after Laser Stimulation In Vitro Using Different Laser Types and Wavelengths (1064, 980, 635, 450, and 405 nm)—Preliminary Report. Journal of Personalized Medicine. 2021; 11(2):98. https://doi.org/10.3390/jpm11020098
Chicago/Turabian StyleSterczała, Barbara, Kinga Grzech-Leśniak, Olga Michel, Witold Trzeciakowski, Marzena Dominiak, and Kamil Jurczyszyn. 2021. "Assessment of Human Gingival Fibroblast Proliferation after Laser Stimulation In Vitro Using Different Laser Types and Wavelengths (1064, 980, 635, 450, and 405 nm)—Preliminary Report" Journal of Personalized Medicine 11, no. 2: 98. https://doi.org/10.3390/jpm11020098
APA StyleSterczała, B., Grzech-Leśniak, K., Michel, O., Trzeciakowski, W., Dominiak, M., & Jurczyszyn, K. (2021). Assessment of Human Gingival Fibroblast Proliferation after Laser Stimulation In Vitro Using Different Laser Types and Wavelengths (1064, 980, 635, 450, and 405 nm)—Preliminary Report. Journal of Personalized Medicine, 11(2), 98. https://doi.org/10.3390/jpm11020098

