Performance Evaluation of the New High-Sensitivity Cardiac Troponin I Immunoassay on CL-2600i Mindray Analyzer
Abstract
1. Introduction
2. Materials and Methods
2.1. Study Design
2.2. Chemiluminescence Immunoassays
2.3. Precision Evaluation
2.4. Linearity Assessment
2.5. Repeatability
2.6. Methodological Comparison
2.7. hs-cTnI 99th Percentile Imprecision
2.8. hs-cTnI Detection Rate in the Healthy Population
2.9. Statistical Analysis
3. Results
3.1. Precision Study
3.2. Linearity Analysis
3.3. Repeatability
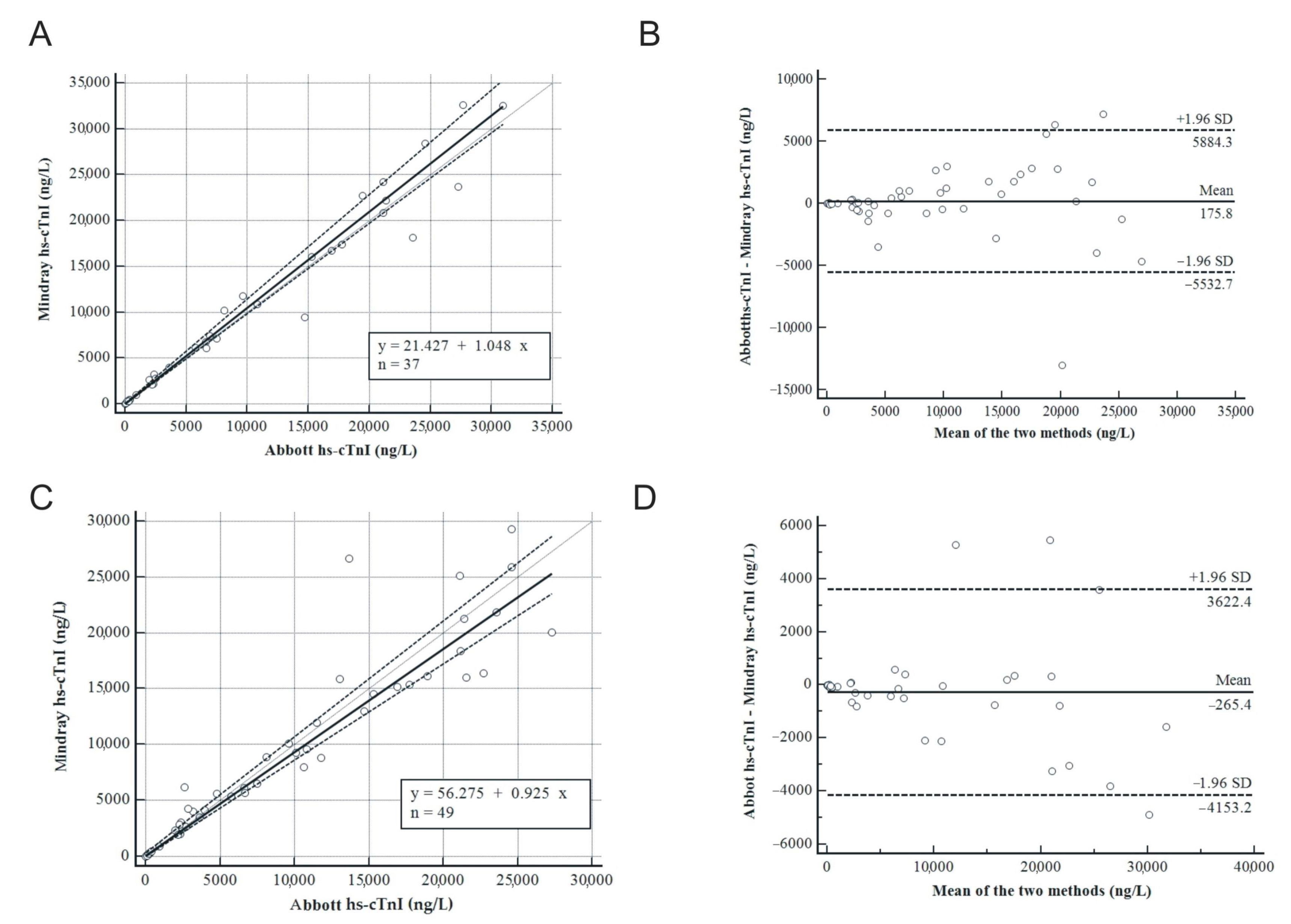
3.4. Methodological Comparison
3.5. hs-cTnI 99th Percentile Imprecision
3.6. hs-cTnI Detection Rate in Healthy Population
4. Discussion
5. Conclusions
Author Contributions
Funding
Institutional Review Board Statement
Informed Consent Statement
Data Availability Statement
Acknowledgments
Conflicts of Interest
References
- Lazar, D.R.; Lazar, F.-L.; Homorodean, C.; Cainap, C.; Focsan, M.; Cainap, S.; Olinic, D.M. High-Sensitivity Troponin: A Review on Characteristics, Assessment, and Clinical Implications. Dis. Markers 2022, 2022, 9713326. [Google Scholar] [CrossRef] [PubMed]
- Thygesen, K.; Alpert, J.S.; Jaffe, A.S.; Chaitman, B.R.; Bax, J.J.; Morrow, D.A.; White, H.D.; Executive Group on behalf of the Joint European Society of Cardiology (ESC)/American College of Cardiology (ACC)/American Heart Association (AHA)/World Heart Federation (WHF) Task Force for the Universal Definition of Myocardial Infarction. Fourth Universal Definition of Myocardial Infarction (2018). Circulation 2018, 138, e618–e651. [Google Scholar] [CrossRef] [PubMed]
- Apple, F.S.; Collinson, P.O.; Kavsak, P.A.; Body, R.; Ordóñez-Llanos, J.; Saenger, A.K.; Omland, T.; Hammarsten, O.; Jaffe, A.S. Getting Cardiac Troponin Right: Appraisal of the 2020 European Society of Cardiology Guidelines for the Management of Acute Coronary Syndromes in Patients Presenting without Persistent ST-Segment Elevation by the International Federation of Clinical Chemistry and Laboratory Medicine Committee on Clinical Applications of Cardiac Bio-Markers. Clin. Chem. 2021, 67, 730–735. [Google Scholar] [CrossRef] [PubMed]
- Armillotta, M.; Bergamaschi, L.; Paolisso, P.; Belmonte, M.; Angeli, F.; Sansonetti, A.; Stefanizzi, A.; Bertolini, D.; Bodega, F.; Amicone, S.; et al. Prognostic Relevance of Type 4a Myocardial Infarction and Periprocedural Myocardial Injury in Patients With Non–ST-Segment–Elevation Myocardial Infarction. Circulation 2025, 151, 760–772. [Google Scholar] [CrossRef]
- Wu, A.H.B.; Christenson, R.H.; Greene, D.N.; Jaffe, A.S.; Kavsak, P.A.; Ordonez-Llanos, J.; Apple, F.S. Clinical Laboratory Practice Recommendations for the Use of Cardiac Troponin in Acute Coronary Syndrome: Expert Opinion from the Academy of the American Association for Clinical Chemistry and the Task Force on Clinical Applications of Cardiac Bio-Markers of the International Federation of Clinical Chemistry and Laboratory Medicine. Clin. Chem. 2018, 64, 645–655. [Google Scholar] [CrossRef]
- Apple, F.S.; Sandoval, Y.; Jaffe, A.S.; Ordonez-Llanos, J.; IFCC Task Force on Clinical Applications of Cardiac Bio-Markers. Cardiac Troponin Assays: Guide to Understanding Analytical Characteristics and Their Impact on Clinical Care. Clin. Chem. 2017, 63, 73–81. [Google Scholar] [CrossRef]
- Clerico, A.; Zaninotto, M.; Padoan, A.; Masotti, S.; Musetti, V.; Prontera, C.; Ndreu, R.; Zucchelli, G.; Passino, C.; Migliardi, M.; et al. Evaluation of Analytical Performance of Immunoassay Methods for CTnI and CTnT: From Theory to Practice. Adv. Clin. Chem. 2019, 93, 239–262. [Google Scholar] [CrossRef]
- Clerico, A.; Zaninotto, M.; Ripoli, A.; Masotti, S.; Prontera, C.; Passino, C.; Plebani, M. The 99th Percentile of Reference Population for CTnI and CTnT Assay: Methodology, Pathophysiology and Clinical Implications. Clin. Chem. Lab. Med. 2017, 55, 1634–1651. [Google Scholar] [CrossRef]
- Farmakis, D.; Mueller, C.; Apple, F.S. High-Sensitivity Cardiac Troponin Assays for Cardiovascular Risk Stratification in the General Population. Eur. Heart J. 2020, 41, 4050–4056. [Google Scholar] [CrossRef]
- Aimo, A.; Georgiopoulos, G.; Panichella, G.; Vergaro, G.; Passino, C.; Emdin, M.; Clerico, A. High-Sensitivity Troponins for Outcome Prediction in the General Population: A Systematic Review and Meta-Analysis. Eur. J. Intern. Med. 2022, 98, 61–68. [Google Scholar] [CrossRef]
- Clerico, A.; Zaninotto, M.; Passino, C.; Aspromonte, N.; Piepoli, M.F.; Migliardi, M.; Perrone, M.; Fortunato, A.; Padoan, A.; Testa, A.; et al. Evidence on Clinical Relevance of Cardiovascular Risk Evaluation in the General Population Using Cardio-Specific Biomarkers. Clin. Chem. Lab. Med. 2020, 59, 79–90. [Google Scholar] [CrossRef] [PubMed]
- Clerico, A.; Zaninotto, M.; Aimo, A.; Cardinale, D.M.; Dittadi, R.; Sandri, M.T.; Perrone, M.A.; Belloni, L.; Fortunato, A.; Trenti, T.; et al. Variability of Cardiac Troponin Levels in Normal Subjects and in Patients with Cardiovascular Diseases: Analytical Considerations and Clinical Relevance. Clin. Chem. Lab. Med. 2023, 61, 1209–1229. [Google Scholar] [CrossRef] [PubMed]
- Aakre, K.M.; Saenger, A.K.; Body, R.; Collinson, P.; Hammarsten, O.; Jaffe, A.S.; Kavsak, P.; Omland, T.; Ordonez-Lianos, J.; Apple, F.S. Analytical Considerations in Deriving 99th Percentile Upper Reference Limits for High-Sensitivity Cardiac Troponin Assays: Educational Recommendations from the IFCC Committee on Clinical Application of Cardiac Bio-Markers. Clin. Chem. 2022, 68, 1022–1030. [Google Scholar] [CrossRef]
- Tate, J.R.; Bunk, D.M.; Christenson, R.H.; Barth, J.H.; Katrukha, A.; Noble, J.E.; Schimmel, H.; Wang, L.; Panteghini, M.; IFCC Working Group on Standardization of Cardiac Troponin I. Evaluation of Standardization Capability of Current Cardiac Troponin I Assays by a Correlation Study: Results of an IFCC Pilot Project. Clin. Chem. Lab. Med. 2015, 53, 677–690. [Google Scholar] [CrossRef]
- Espinosa, A.S.; Hussain, S.; Al-Awar, A.; Jha, S.; Elmahdy, A.; Kalani, M.; Kakei, Y.; Zulfaj, E.; Aune, E.; Poller, A.; et al. Differences between Cardiac Troponin I vs. T According to the Duration of Myocardial Ischaemia. Eur. Heart J. Acute Cardiovasc. Care 2023, 12, 355–363. [Google Scholar] [CrossRef]
- Lafrenière, M.A.; Tandon, V.; Ainsworth, C.; Nouri, K.; Mondoux, S.E.; Worster, A.; Kavsak, P.A. Storage Conditions, Sample Integrity, Interferences, and a Decision Tool for Investigating Unusual High-Sensitivity Cardiac Troponin Results. Clin. Biochem. 2023, 115, 67–76. [Google Scholar] [CrossRef]
- Li, L.; Liu, Y.; Katrukha, I.A.; Zhang, L.; Shu, X.; Xu, A.; Yang, J.; Wu, Y.; Jing, Y.; Wang, H.; et al. Characterization of Cardiac Troponin Fragment Composition Reveals Potential for Differentiating Etiologies of Myocardial Injury. Clin. Chem. 2024, 71, 396–405. [Google Scholar] [CrossRef]
- Denessen, E.J.S.; Vroemen, W.H.M.; Litjens, E.J.R.; Henskens, Y.M.C.; van der Sande, F.M.; Bekers, O.; de Boer, D.; Mingels, A.M.A. Cardiac Troponin T Degradation in End-Stage Renal Disease Patients Appears to Occur in Vivo. J. Appl. Lab. Med. 2023, 8, 1000–1002. [Google Scholar] [CrossRef]
- Salonen, S.M.; Tuominen, T.J.K.; Raiko, K.I.S.; Vasankari, T.; Aalto, R.; Hellman, T.A.; Lahtinen, S.E.; Soukka, T.; Airaksinen, K.E.J.; Wittfooth, S.T. Highly Sensitive Immunoassay for Long Forms of Cardiac Troponin T Using Upconversion Luminescence. Clin. Chem. 2024, 70, 1037–1045. [Google Scholar] [CrossRef]
- Vylegzhanina, A.V.; Kogan, A.E.; Katrukha, I.A.; Koshkina, E.V.; Bereznikova, A.V.; Filatov, V.L.; Bloshchitsyna, M.N.; Bogomolova, A.P.; Katrukha, A.G. Full-Size and Partially Truncated Cardiac Troponin Complexes in the Blood of Patients with Acute Myocardial Infarction. Clin. Chem. 2019, 65, 882–892. [Google Scholar] [CrossRef]
- Li, L.; Liu, Y.; Katrukha, I.A.; Zhang, L.; Shu, X.; Xu, A.; Yang, J.; Wu, Y.; Jing, Y.; Wang, H.; et al. Design and Analytical Evaluation of Novel Cardiac Troponin Assays Targeting Multiple Forms of the Cardiac Troponin I-Cardiac Troponin T-Troponin C Complex and Fragmentation Forms. Clin. Chem. 2024, 71, 387–395. [Google Scholar] [CrossRef] [PubMed]
- Li, L.; Shu, X.; Zhang, L.; Xu, A.; Yang, J.; Jing, Y.; Wang, H.; Zhang, Z. Evaluation of the Analytical and Clinical Performance of a New High-Sensitivity Cardiac Troponin I Assay: Hs-CTnI (CLIA) Assay. Clin. Chem. Lab. Med. 2024, 62, 353–360. [Google Scholar] [CrossRef] [PubMed]
- Lippi, G.; Pighi, L.; Paviati, E.; Demonte, D.; De Nitto, S.; Gelati, M.; Montagnana, M.; Gandini, G.; Henry, B.M.; Salvagno, G.L. Analytical Evaluation of the Novel Mindray High Sensitivity Cardiac Troponin I Immunoassay on CL-1200i. Clin. Chem. Lab. Med. 2024, 62, 1433–1437. [Google Scholar] [CrossRef] [PubMed]
- Clinical and Laboratory Standards Institute. CLSI EP15-A3—User Verification of Precision and Estimation of Bias, Approved Guideline—3rd ed.; CLSI: Wayne, PA, USA, 2014. [Google Scholar]
- Wright, C.X.; Wright, D.S.; Hu, J.-R.; Gallegos, C. High-Sensitivity Troponin: Finding a Meaningful Delta. J. Cardiovasc. Dev. Dis. 2024, 11, 318. [Google Scholar] [CrossRef]
- Herman, D.S.; Kavsak, P.A.; Greene, D.N. Variability and Error in Cardiac Troponin Testing. Am. J. Clin. Pathol. 2017, 148, 281–295. [Google Scholar] [CrossRef]
- Ma, H.; Cassedy, A.; O’Kennedy, R. The Role of Antibody-Based Troponin Detection in Cardiovascular Disease: A Critical Assessment. J. Immunol. Methods 2021, 497, 113108. [Google Scholar] [CrossRef]
- Perrone, M.A.; Macrini, M.; Maregnani, A.; Ammirabile, M.; Clerico, A.; Bernardini, S.; Romeo, F. The Effects of a 50 Km Ultramarathon Race on High Sensitivity Cardiac Troponin I and NT-ProBNP in Highly Trained Athletes. Minerva Cardioangiol. 2020, 68, 305–312. [Google Scholar] [CrossRef]
- Perrone, M.A.; Pieri, M.; Minnucci, M.; Salimei, C.; Ciminelli, E.; Bernardini, S.; Iellamo, F. Increase of High Sensitivity Cardiac Troponin I and NT-ProBNP in Competitive Athletes after a 50-Km Ultramarathon Race: Physiological Adaptation or Myocardial Injury? Med. Sport. 2023, 76, 333–342. [Google Scholar] [CrossRef]
- Pieri, M.; Perrone, M.A.; Imbrogno, A.; Tomassetti, F.; Colombo, R.; Leone, L.; Aguzzetti, S.; Tecce, S.; Merra, G.; Bernardini, A.; et al. Influence of Laboratory Index on Match Performance. A Comparison Study to Evaluate Physical Performance in Professional Soccer Players of an Italian Elite Team. Eur. Rev. Med. Pharmacol. Sci. 2021, 25, 3444–3452. [Google Scholar] [CrossRef]
- Segraves, J.M.; Frishman, W.H. Highly Sensitive Cardiac Troponin Assays: A Comprehensive Review of Their Clinical Utility. Cardiol. Rev. 2015, 23, 282–289. [Google Scholar] [CrossRef]
- Leite, L.; Matos, P.; Leon-Justel, A.; Espírito-Santo, C.; Rodríguez-Padial, L.; Rodrigues, F.; Orozco, D.; Redon, J. High Sensitivity Troponins: A Potential Biomarkers of Cardiovascular Risk for Primary Prevention. Front. Cardiovasc. Med. 2022, 9, 1054959. [Google Scholar] [CrossRef] [PubMed]
- Lee, D.J.W.; Aw, T.-C. Population Differences and High-Sensitivity Troponin Values: A Narrative Review. J. Lab. Precis. Med. 2023, 8, 14. [Google Scholar] [CrossRef]
- Tiwari, D.; Aw, T.C. Optimizing the Clinical Use of High-Sensitivity Troponin Assays: A Review. Diagnostics 2023, 14, 87. [Google Scholar] [CrossRef]
- Aakre, K.M.; Apple, F.S.; Mills, N.L.; Meex, S.J.R.; Collinson, P.O.; Aakre, K.M.; Apple, F.S.; Collinson, P.O.; Hammarsten, O.; Jaffe, A.S.; et al. Lower Limits for Reporting High-Sensitivity Cardiac Troponin Assays and Impact of Analytical Performance on Patient Misclassification. Clin. Chem. 2024, 70, 497–505. [Google Scholar] [CrossRef]
- Perrone, M.A.; Passino, C.; Vassalle, C.; Masotti, S.; Romeo, F.; Guccione, P.; Bernardini, S.; Clerico, A. Early Evaluation of Myocardial Injury by Means of High-Sensitivity Methods for Cardiac Troponins after Strenuous and Prolonged Exercise. J. Sports Med. Phys. Fit. 2020, 60, 1297–1305. [Google Scholar] [CrossRef]



| Sample ID | Low-Value Sample | High-Value Sample | Mean ± SD (ng/L) |
|---|---|---|---|
| 1 | 0 | 7/7 | 21,842.7 ± 66.03 |
| 2 | 1/7 | 6/7 | 19,539.3 ± 111.86 |
| 3 | 2/7 | 5/7 | 16,018.4 ± 255.53 |
| 4 | 3/7 | 4/7 | 12,898.2 ± 78.27 |
| 5 | 4/7 | 3/7 | 9665.2 ± 43.95 |
| 6 | 5/7 | 2/7 | 6209.5 ± 73.18 |
| 7 | 6/7 | 1/7 | 2986.9 ± 24.05 |
| 8 | 7/7 | 0 | 2.67 ± 0.23 |
| - | - | - | Within Run | Between Run | ||
|---|---|---|---|---|---|---|
| TEST | Sample Pools | Mean Value (ng/L) | %CV Declared | %CV Lab | %CV Declared | %CV Lab |
| hs-cTnI | 1 | 10.3 | 2.01 | 2.05 | 2.97 | 3.17 |
| hs-cTnI | 2 | 34.9 | 1.84 | 1.27 | 2.49 | 2.37 |
| hs-cTnI | 3 | 10,137.37 | 1.14 | 1.91 | 1.97 | 2.02 |
| - | iQC 1 | iQC 2 | iQC 3 |
|---|---|---|---|
| Mean (ng/L) | 10.12 | 36.00 | 10,006.01 |
| SD | 0.42 | 0.79 | 348.44 |
| %CV | 4.19 | 2.19 | 3.48 |
| - | Female | Male | Overall |
|---|---|---|---|
| Mean (ng/L) | 1.17 | 2.34 | 1.75 |
| SD (ng/L) | 1.25 | 1.38 | 1.44 |
| 95% Confidence Interval (ng/L) | 0.99–1.34 | 2.14–2.53 | 1.55–1.95 |
| N of samples with cTnI > LoD | 155 out of 200 | 200 out of 200 | 355 out of 400 |
| Detection rate in a healthy population | 78% | 100% | 89% |
Disclaimer/Publisher’s Note: The statements, opinions and data contained in all publications are solely those of the individual author(s) and contributor(s) and not of MDPI and/or the editor(s). MDPI and/or the editor(s) disclaim responsibility for any injury to people or property resulting from any ideas, methods, instructions or products referred to in the content. |
© 2025 by the authors. Licensee MDPI, Basel, Switzerland. This article is an open access article distributed under the terms and conditions of the Creative Commons Attribution (CC BY) license (https://creativecommons.org/licenses/by/4.0/).
Share and Cite
Tomassetti, F.; Fiorelli, D.; Cappa, E.; Giovannelli, A.; Pelagalli, M.; Velocci, S.; Nicolai, E.; Minieri, M.; Perrone, M.A.; Bernardini, S.; et al. Performance Evaluation of the New High-Sensitivity Cardiac Troponin I Immunoassay on CL-2600i Mindray Analyzer. Diagnostics 2025, 15, 1031. https://doi.org/10.3390/diagnostics15081031
Tomassetti F, Fiorelli D, Cappa E, Giovannelli A, Pelagalli M, Velocci S, Nicolai E, Minieri M, Perrone MA, Bernardini S, et al. Performance Evaluation of the New High-Sensitivity Cardiac Troponin I Immunoassay on CL-2600i Mindray Analyzer. Diagnostics. 2025; 15(8):1031. https://doi.org/10.3390/diagnostics15081031
Chicago/Turabian StyleTomassetti, Flaminia, Denise Fiorelli, Edoardo Cappa, Alfredo Giovannelli, Martina Pelagalli, Silvia Velocci, Eleonora Nicolai, Marilena Minieri, Marco Alfonso Perrone, Sergio Bernardini, and et al. 2025. "Performance Evaluation of the New High-Sensitivity Cardiac Troponin I Immunoassay on CL-2600i Mindray Analyzer" Diagnostics 15, no. 8: 1031. https://doi.org/10.3390/diagnostics15081031
APA StyleTomassetti, F., Fiorelli, D., Cappa, E., Giovannelli, A., Pelagalli, M., Velocci, S., Nicolai, E., Minieri, M., Perrone, M. A., Bernardini, S., & Pieri, M. (2025). Performance Evaluation of the New High-Sensitivity Cardiac Troponin I Immunoassay on CL-2600i Mindray Analyzer. Diagnostics, 15(8), 1031. https://doi.org/10.3390/diagnostics15081031

