Radiomic Characterization and Automated Classification of Drusen Substructure Phenotype Associated with High-Risk Dry Age-Related Macular Degeneration
Abstract
1. Introduction
2. Materials and Methods
2.1. Drusen Training Dataset
2.2. Radiomics Extraction from Drusen
2.3. Selection of Radiomic Features Best Discriminating ODS Phenotype
2.4. Analysis of Best-Discriminating Features
2.5. Radiomics Extraction from the RPE-BM Compartment
2.6. Prediction of GA Conversion and Fast Growth with ODS-Related Radiomic Features
2.7. Software
3. Results
3.1. Radiomic Features Classifying ODS Phenotypes
3.2. Variation in Discriminating Radiomic Features Across ODS Type
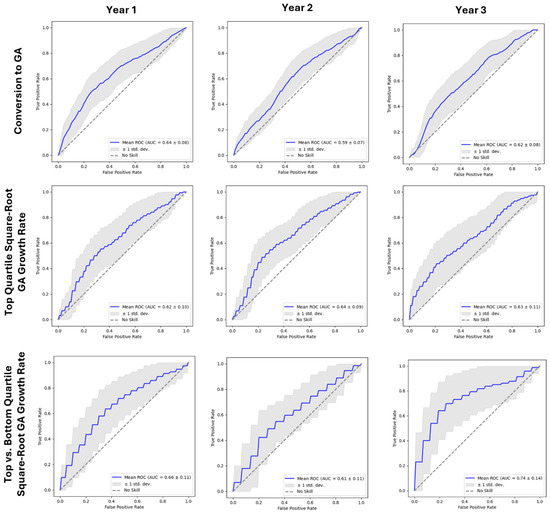
3.3. Prediction of Geographic Atrophy Conversion and Growth with ODS Radiomics
4. Discussion
Author Contributions
Funding
Institutional Review Board Statement
Informed Consent Statement
Data Availability Statement
Conflicts of Interest
Abbreviations
| ODS | Optical coherence tomography-reflective drusen substructure |
| OCT | Optical coherence tomography |
| GA | Geographic atrophy |
| AMD | Age-related macular degeneration |
| AUC | Area under the receiver operating characteristic curve |
| SD-OCT | Spectral domain optical coherence tomography |
| FDA | United States Food and Drug Administration |
| EZ | Ellipsoid zone |
| RPE | Retinal pigment epithelium |
| BM | Bruch’s membrane |
| IRB | Institutional Review Board |
| ANOVA | Analysis of variance |
| GLDM | Gray level dependence matrix |
| GLRLM | Gray level run length matrix |
| GLSZM | Gray level size zone matrix |
| GLCM | Gray level co-occurrence matrix |
| NGTDM | Neighboring gray tone difference matrix |
References
- Girgis, S.; Lee, L.R. Treatment of Dry Age-Related Macular Degeneration: A Review. Clin. Exp. Ophthalmol. 2023, 51, 835–852. [Google Scholar] [CrossRef] [PubMed]
- Papadopoulos, Z. Recent Developments in the Treatment of Wet Age-Related Macular Degeneration. Curr. Med. Sci. 2020, 40, 851–857. [Google Scholar] [CrossRef] [PubMed]
- Lad, E.M.; Finger, R.P.; Guymer, R. Biomarkers for the Progression of Intermediate Age-Related Macular Degeneration. Ophthalmol. Ther. 2023, 12, 2917–2941. [Google Scholar] [CrossRef] [PubMed]
- Ehlers, J.P.; Hu, A.; Boyer, D.; Cousins, S.W.; Waheed, N.K.; Rosenfeld, P.J.; Brown, D.; Kaiser, P.K.; Abbruscato, A.; Gao, G.; et al. ReCLAIM-2: A Randomized Phase II Clinical Trial Evaluating Elamipretide in Age-Related Macular Degeneration, Geographic Atrophy Growth, Visual Function, and Ellipsoid Zone Preservation. Ophthalmol. Sci. 2025, 5, 100628. [Google Scholar] [CrossRef] [PubMed]
- Trinh, M.; Cheung, R.; Duong, A.; Nivison-Smith, L.; Ly, A. OCT Prognostic Biomarkers for Progression to Late Age-Related Macular Degeneration: A Systematic Review and Meta-Analysis. Ophthalmol. Retin. 2024, 8, 553–565. [Google Scholar] [CrossRef] [PubMed]
- Yaqoob, Z.; Wu, J.; Yang, C. Spectral Domain Optical Coherence Tomography: A Better OCT Imaging Strategy. BioTechniques 2005, 39, S6–S13. [Google Scholar] [CrossRef] [PubMed]
- Itoh, Y.; Vasanji, A.; Ehlers, J.P. Volumetric Ellipsoid Zone Mapping for Enhanced Visualisation of Outer Retinal Integrity with Optical Coherence Tomography. Br. J. Ophthalmol. 2016, 100, 295–299. [Google Scholar] [CrossRef] [PubMed]
- Spaide, R.F.; Curcio, C.A.; Zweifel, S.A. Drusen, an Old but New Frontier. Retina 2010, 30, 1163. [Google Scholar] [CrossRef] [PubMed][Green Version]
- Wang, L.; Clark, M.E.; Crossman, D.K.; Kojima, K.; Messinger, J.D.; Mobley, J.A.; Curcio, C.A. Abundant Lipid and Protein Components of Drusen. PLoS ONE 2010, 5, e10329. [Google Scholar] [CrossRef] [PubMed]
- Veerappan, M.; El-Hage-Sleiman, A.-K.M.; Tai, V.; Chiu, S.J.; Winter, K.P.; Stinnett, S.S.; Hwang, T.S.; Hubbard, G.B.; Michelson, M.; Gunther, R.; et al. Optical Coherence Tomography Reflective Drusen Substructures Predict Progression to Geographic Atrophy in Age-Related Macular Degeneration. Ophthalmology 2016, 123, 2554–2570. [Google Scholar] [CrossRef] [PubMed]
- Scapicchio, C.; Gabelloni, M.; Barucci, A.; Cioni, D.; Saba, L.; Neri, E. A Deep Look into Radiomics. Radiol. Med. 2021, 126, 1296–1311. [Google Scholar] [CrossRef] [PubMed]
- Bera, K.; Braman, N.; Gupta, A.; Velcheti, V.; Madabhushi, A. Predicting Cancer Outcomes with Radiomics and Artificial Intelligence in Radiology. Nat. Rev. Clin. Oncol. 2022, 19, 132–146. [Google Scholar] [CrossRef] [PubMed]
- Corredor, G.; Bharadwaj, S.; Pathak, T.; Viswanathan, V.S.; Toro, P.; Madabhushi, A. A Review of AI-Based Radiomics and Computational Pathology Approaches in Triple-Negative Breast Cancer: Current Applications and Perspectives. Clin. Breast Cancer 2023, 23, 800–812. [Google Scholar] [CrossRef] [PubMed]
- Kar, S.S.; Cetin, H.; Abraham, J.; Srivastava, S.K.; Whitney, J.; Madabhushi, A.; Ehlers, J.P. Novel Fractal-Based Sub-RPE Compartment OCT Radiomics Biomarkers Are Associated with Subfoveal Geographic Atrophy in Dry AMD. IEEE Trans. Biomed. Eng. 2023, 70, 2914–2921. [Google Scholar] [CrossRef] [PubMed]
- Kar, S.S.; Cetin, H.; Lunasco, L.; Le, T.K.; Zahid, R.; Meng, X.; Srivastava, S.K.; Madabhushi, A.; Ehlers, J.P. OCT-Derived Radiomic Features Predict Anti–VEGF Response and Durability in Neovascular Age-Related Macular Degeneration. Ophthalmol. Sci. 2022, 2, 100171. [Google Scholar] [CrossRef] [PubMed]
- Sil Kar, S.; Sevgi, D.D.; Dong, V.; Srivastava, S.K.; Madabhushi, A.; Ehlers, J.P. Multi-Compartment Spatially-Derived Radiomics From Optical Coherence Tomography Predict Anti-VEGF Treatment Durability in Macular Edema Secondary to Retinal Vascular Disease: Preliminary Findings. IEEE J. Transl. Eng. Health Med. 2021, 9, 1000113. [Google Scholar] [CrossRef]
- Kar, S.S.; Cetin, H.; Abraham, J.; Srivastava, S.K.; Madabhushi, A.; Ehlers, J.P. Combination of Optical Coherence Tomography-Derived Shape and Texture Features Are Associated with Development of Sub-Foveal Geographic Atrophy in Dry AMD. Sci. Rep. 2024, 14, 17602. [Google Scholar] [CrossRef]
- Reyes, M.; Meier, R.; Pereira, S.; Silva, C.A.; Dahlweid, F.-M.; von Tengg-Kobligk, H.; Summers, R.M.; Wiest, R. On the Interpretability of Artificial Intelligence in Radiology: Challenges and Opportunities. Radiol. Artif. Intell. 2020, 2, e190043. [Google Scholar] [CrossRef]
- Van Griethuysen, J.J.M.; Fedorov, A.; Parmar, C.; Hosny, A.; Aucoin, N.; Narayan, V.; Beets-Tan, R.G.H.; Fillion-Robin, J.-C.; Pieper, S.; Aerts, H.J.W.L. Computational Radiomics System to Decode the Radiographic Phenotype. Cancer Res. 2017, 77, e104–e107. [Google Scholar] [CrossRef]
- Ding, C.; Peng, H. Minimum Redundancy Feature Selection from Microarray Gene Expression Data. In Proceedings of the Computational Systems Bioinformatics. CSB2003. Proceedings of the 2003 IEEE Bioinformatics Conference. CSB2003, Stanford, CA, USA, 11–14 August 2003; IEEE Comput. Soc: Stanford, CA, USA, 2003; pp. 523–528. [Google Scholar]
- Litts, K.M.; Zhang, Y.; Freund, K.B.; Curcio, C.A. Optical Coherence Tomography and Histology of Age-Related Macular Degeneration Support Mitochondria as Reflectivity Sources. Retina 2018, 38, 445. [Google Scholar] [CrossRef]







| ODS Type | Best Discriminating Features | Median Value Relative to Other ODS Types | Feature Interpretation | AUC |
|---|---|---|---|---|
| L-type: Low-reflective cores | NGTDM Contrast | High | High local pixel intensity variation | 0.90 +/− 0.03 |
| First-Order 90th Percentile | Low | Brightest pixels within the druse have low pixel intensity | ||
| GLSZM Gray Level Variance | High | High variation in local pixel intensity | ||
| First-Order Kurtosis | Low | Less narrow distribution of pixel intensity values | ||
| First-Order Uniformity | Low | Low pixel intensity uniformity | ||
| First-Order Energy | Low | Low overall pixel intensity |
| ODS Type | Best Discriminating Features | Median Value Relative to Other ODS Types | Feature Interpretation | AUC |
|---|---|---|---|---|
| H-type: High-reflective cores | GLCM Sum Entropy | High | Large local differences in pixel intensity | 0.87 +/− 0.05 |
| Elongation (Radiomic elongation is inverse of true elongation for computational reasons) | Low | Low elongation | ||
| First-Order Energy | High | High overall pixel intensity | ||
| GLCM Sum Squares | High | High local variation in pixel intensity | ||
| First-Order Maximum | High | High maximum pixel intensity | ||
| GLCM Autocorrelation | High | Coarser texture | ||
| GLCM Joint Entropy | High | High variability in local pixel intensity | ||
| GLSZM Size Zone Non-Uniformity Normalized | Low | Low variability in the size of regions with similar intensity | ||
| First Order Total Energy | High | High overall pixel intensity | ||
| GLCM Cluster Tendency | High | Pixels with similar intensity tend to cluster together | ||
| First Order Entropy | High | High variation in pixel intensity | ||
| GLDM Dependence Entropy | High | High variation in local pixel intensity | ||
| GLDM High Gray Level Emphasis | High | Many areas of high pixel intensity | ||
| GLCM Correlation | High | Pixels with similar intensity tend to cluster together | ||
| First-Order Range | High | High variability of pixel intensity |
| ODS Type | Best Discriminating Features | Median Value Relative to Other ODS Types | Feature Interpretation | AUC |
|---|---|---|---|---|
| C-type: Conical | GLCM Correlation | Low | High randomness in local pixel intensity values | 0.95 +/− 0.03 |
| Minor Axis Length | Low | Narrow shape | ||
| Sphericity | Low | Less spherical shape | ||
| GLCM Sum Entropy | Low | Small local differences in pixel intensity |
| ODS Type | Best Discriminating Features | Median Value Relative to Other ODS Types | Feature Interpretation | AUC |
|---|---|---|---|---|
| N-type: no substructure—homogeneous reflectivity | GLSZM Large Area Emphasis | High | More homogenous texture | 0.90 +/− 0.03 |
| Sphericity | High | More spherical shape | ||
| First-Order Entropy | Low | Low randomness of intensity values | ||
| NGTDM Contrast | Low | Low local pixel intensity variation | ||
| GLSZM Zone Variance | High | Some very large areas of similar pixel intensity, as well as some very small regions of similar pixel intensity |
Disclaimer/Publisher’s Note: The statements, opinions and data contained in all publications are solely those of the individual author(s) and contributor(s) and not of MDPI and/or the editor(s). MDPI and/or the editor(s) disclaim responsibility for any injury to people or property resulting from any ideas, methods, instructions or products referred to in the content. |
© 2025 by the authors. Licensee MDPI, Basel, Switzerland. This article is an open access article distributed under the terms and conditions of the Creative Commons Attribution (CC BY) license (https://creativecommons.org/licenses/by/4.0/).
Share and Cite
Perkins, S.W.; Shah, N.; Whitney, J.; Matar, K.; Yu, H.J.; Wykoff, C.C.; Ehlers, J.P. Radiomic Characterization and Automated Classification of Drusen Substructure Phenotype Associated with High-Risk Dry Age-Related Macular Degeneration. Diagnostics 2025, 15, 2594. https://doi.org/10.3390/diagnostics15202594
Perkins SW, Shah N, Whitney J, Matar K, Yu HJ, Wykoff CC, Ehlers JP. Radiomic Characterization and Automated Classification of Drusen Substructure Phenotype Associated with High-Risk Dry Age-Related Macular Degeneration. Diagnostics. 2025; 15(20):2594. https://doi.org/10.3390/diagnostics15202594
Chicago/Turabian StylePerkins, Scott W., Neal Shah, Jon Whitney, Karen Matar, Hannah J. Yu, Charles C. Wykoff, and Justis P. Ehlers. 2025. "Radiomic Characterization and Automated Classification of Drusen Substructure Phenotype Associated with High-Risk Dry Age-Related Macular Degeneration" Diagnostics 15, no. 20: 2594. https://doi.org/10.3390/diagnostics15202594
APA StylePerkins, S. W., Shah, N., Whitney, J., Matar, K., Yu, H. J., Wykoff, C. C., & Ehlers, J. P. (2025). Radiomic Characterization and Automated Classification of Drusen Substructure Phenotype Associated with High-Risk Dry Age-Related Macular Degeneration. Diagnostics, 15(20), 2594. https://doi.org/10.3390/diagnostics15202594

