Analytical Validation of the Cxbladder® Triage Plus Assay for Risk Stratification of Hematuria Patients for Urothelial Carcinoma
Abstract
1. Introduction
2. Materials and Methods
2.1. Samples and Study Design
2.2. Algorithm Development
2.3. Analytical Validation
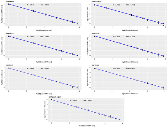
2.3.1. Linearity
2.3.2. Analytical Sensitivity
2.3.3. Analytical Specificity
2.3.4. Analytical Accuracy
2.3.5. Analytical Precision
2.3.6. Extraction Efficiency
2.3.7. Inter-Laboratory Evaluation
2.4. Statistical Analysis
3. Results
3.1. Algorithm Development Samples
3.2. Predicted Performance
3.3. Analytical Validation
3.3.1. Linearity
3.3.2. Analytical Sensitivity
3.3.3. Analytical Specificity
3.3.4. Analytical Accuracy
3.3.5. Analytical Precision
3.3.6. Extraction Efficiency
3.3.7. Inter-Laboratory Evaluation
4. Discussion
5. Conclusions
Supplementary Materials
Author Contributions
Funding
Institutional Review Board Statement
Informed Consent Statement
Data Availability Statement
Acknowledgments
Conflicts of Interest
Abbreviations
| AUA | American Urological Association |
| BART | Bayesian additive regression tree |
| CDK1 | Cyclin-dependent kinase 1 |
| CXCR2 | C-X-C motif chemokine receptor 2 |
| CV% | Coefficient of variation |
| ddPCR | Droplet-digital PCR |
| FGFR3 | Fibroblast growth factor receptor 3 |
| HEC | High-extraction control |
| HOXA13 | Homeobox A13 |
| IGFBP5 | Insulin-like growth factor binding protein 5 |
| LEC | Low-extraction control |
| LOD | Limit of detection |
| MDK | Midkine |
| MSE | Mean squared error |
| NPV | Negative predictive value |
| PPV | Positive predictive value |
| R2 | Regression coefficient |
| RBC | Red blood cell |
| SNV | Single-nucleotide variant |
| TERT | Telomerase reverse transcriptase |
| TNR | Test-negative rate |
| UC | Urothelial carcinoma |
| WT | Wild type |
References
- Barocas, D.A.; Lotan, Y.; Matulewicz, R.S.; Raman, J.D.; Westerman, M.E.; Kirkby, E.; Pak, L.J.; Souter, L.H. Updates to Microhematuria: AUA/SUFU guideline (2025). J. Urol. 2025, 213, 547–557. [Google Scholar] [PubMed]
- Mowatt, G.; Zhu, S.; Kilonzo, M.; Boachie, C.; Fraser, C.; Griffiths, T.R.; N’Dow, J.; Nabi, G.; Cook, J.; Vale, L. Systematic review of the clinical effectiveness and cost-effectiveness of photodynamic diagnosis and urine biomarkers (FISH, ImmunoCyt, NMP22) and cytology for the detection and follow-up of bladder cancer. Health Technol. Assess. 2010, 14, iii–iv. [Google Scholar]
- Freifeld, Y.; Lotan, Y. Effect of blue-light cystoscopy on contemporary performance of urine cytology. BJU Int. 2019, 124, 251–257. [Google Scholar] [PubMed]
- Soria, F.; Droller, M.J.; Lotan, Y.; Gontero, P.; D’Andrea, D.; Gust, K.M.; Roupret, M.; Babjuk, M.; Palou, J.; Shariat, S.F. An up-to-date catalog of available urinary biomarkers for the surveillance of non-muscle invasive bladder cancer. World J. Urol. 2018, 36, 1981–1995. [Google Scholar] [PubMed]
- Yafi, F.A.; Brimo, F.; Steinberg, J.; Aprikian, A.G.; Tanguay, S.; Kassouf, W. Prospective analysis of sensitivity and specificity of urinary cytology and other urinary biomarkers for bladder cancer. Urol. Oncol. 2015, 33, 66.e25–66.e31. [Google Scholar] [PubMed]
- Kavalieris, L.; O’Sullivan, P.J.; Suttie, J.M.; Pownall, B.K.; Gilling, P.J.; Chemasle, C.; Darling, D.G. A segregation index combining phenotypic (clinical characteristics) and genotypic (gene expression) biomarkers from a urine sample to triage out patients presenting with hematuria who have a low probability of urothelial carcinoma. BMC Urol. 2015, 15, 23. [Google Scholar]
- O’Sullivan, P.; Sharples, K.; Dalphin, M.; Davidson, P.; Gilling, P.; Cambridge, L.; Harvey, J.; Toro, T.; Giles, N.; Luxmanan, C.; et al. A multigene urine test for the detection and stratification of bladder cancer in patients presenting with hematuria. J. Urol. 2012, 188, 741–747. [Google Scholar] [PubMed]
- Holyoake, A.; O’Sullivan, P.; Pollock, R.; Best, T.; Watanabe, J.; Kajita, Y.; Matsui, Y.; Ito, M.; Nishiyama, H.; Kerr, N.; et al. Development of a multiplex RNA urine test for the detection and stratification of transitional cell carcinoma of the bladder. Clin. Cancer Res. 2008, 14, 742–749. [Google Scholar] [PubMed]
- Davidson, P.J.; McGeoch, G.; Shand, B. Assessment of a clinical pathway for investigation of haematuria that reduces the need for cystoscopy. N. Z. Med. J. 2020, 133, 71–82. [Google Scholar] [PubMed]
- Hayashi, Y.; Fujita, K.; Matsuzaki, K.; Matsushita, M.; Kawamura, N.; Koh, Y.; Nakano, K.; Wang, C.; Ishizuya, Y.; Yamamoto, Y.; et al. Diagnostic potential of TERT promoter and FGFR3 mutations in urinary cell-free DNA in upper tract urothelial carcinoma. Cancer Sci. 2019, 110, 1771–1779. [Google Scholar] [PubMed]
- Pietzak, E.J.; Bagrodia, A.; Cha, E.K.; Drill, E.N.; Iyer, G.; Isharwal, S.; Ostrovnaya, I.; Baez, P.; Li, Q.; Berger, M.F.; et al. Next-generation Sequencing of Nonmuscle Invasive Bladder Cancer Reveals Potential Biomarkers and Rational Therapeutic Targets. Eur. Urol. 2017, 72, 952–959. [Google Scholar] [PubMed]
- Hayashi, Y.; Fujita, K.; Matsuzaki, K.; Eich, M.L.; Tomiyama, E.; Matsushita, M.; Koh, Y.; Nakano, K.; Wang, C.; Ishizuya, Y.; et al. Clinical significance of hotspot mutation analysis of urinary cell-free DNA in urothelial bladder cancer. Front. Oncol. 2020, 10, 755. [Google Scholar]
- Knowles, M.A. FGFR3—A central player in bladder cancer pathogenesis? Bladder Cancer 2020, 6, 403–423. [Google Scholar]
- Lotan, Y.; Raman, J.D.; Konety, B.; Daneshmand, S.; Schroeck, F.; Shariat, S.F.; Black, P.; de Lange, M.; Asroff, S.; Goldfischer, E.; et al. Urinary analysis of FGFR3 and TERT gene mutations enhances performance of Cxbladder tests and improves patient risk stratification. J. Urol. 2023, 209, 762–772. [Google Scholar] [PubMed]
- Teutsch, S.M.; Bradley, L.A.; Palomaki, G.E.; Haddow, J.E.; Piper, M.; Calonge, N.; Dotson, W.D.; Douglas, M.P.; Berg, A.O.; EGAPP Working Group. The Evaluation of Genomic Applications in Practice and Prevention (EGAPP) Initiative: Methods of the EGAPP Working Group. Genet. Med. 2009, 11, 3–14. [Google Scholar] [PubMed]
- Harvey, J.C.; Cambridge, L.M.; Ellen, C.W.; Colonval, M.; Hazlett, J.A.; Newell, J.; Zhou, X.; Guilford, P.J. Analytical validation of Cxbladder® Detect, Triage, and Monitor: Assays for detection and management of urothelial carcinoma. Diagnostics 2024, 14, 2061. [Google Scholar] [CrossRef] [PubMed]
- Lotan, Y.; Daneshmand, S.; Shore, N.; Black, P.; Scarpato, K.R.; Patel, A.; Lough, T.; Shoskes, D.A.; Raman, J.D. A multicenter prospective randomized controlled trial comparing Cxbladder Triage to cystoscopy in patients with microhematuria: The Safe Testing of Risk for Asymptomatic Microhematuria trial. J. Urol. 2024, 212, 41–51. [Google Scholar] [PubMed]
- Hill, J.; Linero, A.; Murray, J. Bayesian additive regression trees: A review and look forward. Ann. Rev. Stat. Appl. 2020, 7, 251–278. [Google Scholar]
- Savage, S.J.; Ercole, C.E.; Hemstreet, C.E.; Leone, A.; Masterson, T.; McWilliams, G.; Risk, M.; Schroeck, F.; Stratton, K.; Lough, T.; et al. The prognostic performance of Cxbladder Triage Plus for the identification and priority evaluation of veterans at risk for urothelial carcinoma: The DRIVE study [podium presentation #8]. In Proceedings of the Urological Society for American Veterans, Las Vegas, NV, USA, 28 April 2025. [Google Scholar]
- Liu, Y.; Han, C.; Li, J.; Xu, S.; Xiao, Z.; Guo, Z.; Rao, S.; Yao, Y. Laboratory-developed droplet digital PCR assay for quantification of the JAK2 (V617F) mutation. Glob. Med. Genet. 2024, 11, 132–141. [Google Scholar] [PubMed]

| SNV | Estimated LOD (95% CI) | |
|---|---|---|
| Logistic Regression | Three Concentrations | |
| FGFR3, mutant-to-WT DNA ratio | ||
| R248C | 1:840 (1:600, 1:980) | 1:632 (1:468, 1:978) |
| S249F/C | 1:1200 (1:860, 1:1370) | 1:1220 (1:806, 1:2779) |
| G372C | 1:1250 a | 1:946 (1:630, 1:2263) |
| Y375C | 1:970 (NE b, 1:1220) | 1:439 (1:286, 1:2128) |
| TERT, mutant-to-WT DNA ratio | ||
| C228T | 1:440 (1:250, 1:520) | 1:319 (1:217, 1:1494) |
| C250T | 1:740 (1:560, 1:810) | 1:418 (1:300, 1:651) |
| Substance | FGFR3 Mutant Count per Well | TERT Mutant Count per Well | ||||
|---|---|---|---|---|---|---|
| Mean | Difference a | p-Value b | Mean | Difference a | p-Value b | |
| RBCs, cells/mL | ||||||
| HECs | 767.60 | – | – | 692.14 | – | – |
| 8 × 105 | 763.13 | −4.48 | 0.894 | 729.00 | +36.86 | 0.120 |
| 4 × 106 | 781.38 | +13.78 | 0.694 | 733.63 | +41.48 | 0.120 |
| 2 × 107 | 847.00 | +79.40 | 0.049 | 811.25 | +119.11 | 0.000 |
| 1 × 108 | 535.63 | −231.98 | 0.000 | 468.50 | −223.64 | 0.000 |
| LECs | 33.00 | – | – | 31.71 | – | – |
| 8 × 105 | 31.43 | −1.57 | 0.730 | 30.50 | −1.21 | 0.808 |
| 4 × 106 | 24.33 | −8.67 | 0.074 | 26.00 | −5.71 | 0.043 |
| 2 × 107 | 23.86 | −9.14 | 0.053 | 20.50 | −11.21 | 0.003 |
| 1 × 108 | 6.13 | −26.88 | 0.000 | 3.17 | −28.55 | 0.000 |
| Bacteria (E. coli), cells/mL | ||||||
| HECs | 662.20 | – | – | 691.38 | – | – |
| 1 × 106 | 716.63 | +54.43 | 0.063 | 694.43 | +3.05 | 0.834 |
| LECs | 14.25 | – | – | 12.71 | – | – |
| 1 × 106 | 14.25 | 0.00 | 1.000 | 10.63 | −2.09 | 0.205 |
| Yeast, CFU/mL | ||||||
| HECs | 662.20 | – | – | 691.38 | – | – |
| 1 × 104 | 696.63 | +34.43 | 0.064 | 667.00 | −24.38 | 0.157 |
| LECs | 14.25 | – | – | 12.71 | – | – |
| 1 × 104 | 14.14 | −0.11 | 0.935 | 9.38 | −3.34 | 0.020 |
| Urea, mg/mL | ||||||
| HECs | 662.20 | – | – | 691.38 | – | – |
| 60 | 736.75 | +74.55 | 0.010 | 701.43 | +10.05 | 0.470 |
| LECs | 14.25 | – | – | 12.71 | – | – |
| 60 | 14.63 | +0.38 | 0.813 | 13.50 | +0.79 | 0.638 |
| Glucose, mg/mL | ||||||
| HECs | 662.20 | – | – | 691.38 | – | – |
| 0.5 | 756.57 | +94.37 | 0.000 | 706.71 | +15.34 | 0.365 |
| LECs | 14.25 | – | – | 12.71 | – | – |
| 0.5 | 17.38 | +3.13 | 0.169 | 14.71 | +2.00 | 0.217 |
| Protein (serum albumin), mg/mL | ||||||
| HECs | 683.50 | – | – | 754.88 | – | – |
| 1.25 | 594.25 | −89.25 | 0.000 | 630.13 | −124.75 | 0.000 |
| 2.50 | 8.88 | −674.63 | 0.000 | 7.63 | −747.25 | 0.000 |
| 5.00 | 6.29 | −677.21 | 0.000 | 3.88 | −751.00 | 0.000 |
| 10.00 | 4.29 | −679.21 | 0.000 | 4.63 | −750.25 | 0.000 |
| LECs | 15.00 | – | – | 10.83 | – | – |
| 1.25 | 11.75 | −3.25 | 0.256 | 13.13 | +2.29 | 0.174 |
| 2.50 | 0.00 | −15.00 | 0.002 | 0.00 | −10.83 | 0.000 |
| 5.00 | 0.00 | −15.00 | 0.002 | 0.00 | −10.83 | 0.000 |
| 10.00 | 0.00 | −15.00 | 0.002 | 0.00 | −10.83 | 0.000 |
| SNV | DNA Concentration, Copies/μL | Difference | Inaccuracy (95% CI), % | |
|---|---|---|---|---|
| Mutant DNA | Mutant + WT DNA | |||
| FGFR3 | ||||
| R248C | ||||
| HEC a | 237.69 | 239.08 | 1.38 | 0.6 (−11.8, 13.0) |
| LEC b | 11.16 | 14.38 | 3.22 | 28.9 (14.5, 43.3) |
| S249F/C | ||||
| HEC a | 193.48 | 201.64 | 8.17 | 4.2 (−6.7, 15.2) |
| LEC b | 10.18 | 10.50 | 0.32 | 3.1 (−11.0, 17.3) |
| G372C | ||||
| HEC a | 197.82 | 225.15 | 27.34 | 13.8 (3.6, 24.0) |
| LEC b | 11.25 | 10.09 | −1.16 | −10.3 (−22.4, 1.8) |
| Y375C | ||||
| HEC a | 232.29 | 247.06 | 14.77 | 6.4 (1.3, 11.5) |
| LEC b | 8.76 | 12.46 | 3.70 | 42.2 (18.2, 66.3) |
| TERT | ||||
| C228T | ||||
| HEC a | 229.43 | 237.82 | 8.39 | 3.7 (−2.5, 9.9) |
| LEC b | 10.41 | 13.43 | 3.02 | 29.0 (14.5, 43.4) |
| C250T | ||||
| HEC a | 187.32 | 216.35 | 29.03 | 15.5 (9.5, 21.5) |
| LEC b | 9.08 | 11.81 | 2.74 | 30.2 (19.9, 40.4) |
| C228T + C250T | ||||
| HEC a | 226.62 | 240.62 | 14.0 | 6.2 (−12.8, 25.1) |
| LEC b | 9.41 | 15.16 | 5.75 | 61.1 (28.7, 93.5) |
| SNV | Mutant Fraction Variance | |||||
|---|---|---|---|---|---|---|
| Inter-Assay Variance | Intra-Assay Variance | Total Assay Variance | ||||
| Mean (SD) | CV% | Mean (SD) | CV% | Mean (SD) | CV% | |
| FGFR3 | ||||||
| R248C | ||||||
| HEC a | 0.1047 (0.0014) | 1.35 | 0.1100 (0.0025) | 2.39 | 0.1047 (0.0029) | 2.74 |
| LEC b | 0.0063 (0.0003) | 4.64 | 0.0063 (0.0008) | 13.22 | 0.0063 (0.0009) | 14.01 |
| S249F/C | ||||||
| HEC a | 0.0808 (0.0035) | 4.33 | 0.0808 (0.0029) | 3.54 | 0.0808 (0.0045) | 5.59 |
| LEC b | 0.0043 (0.0002) | 4.62 | 0.0043 (0.0005) | 11.56 | 0.0043 (0.0005) | 12.45 |
| G372C | ||||||
| HEC a | 0.0909 (0.0014) | 1.50 | 0.0909 (0.0029) | 3.15 | 0.0909 (0.0032) | 3.49 |
| LEC b | 0.0053 (0.0004) | 6.68 | 0.0053 (0.0008) | 15.90 | 0.0053 (0.0009) | 17.24 |
| Y375C | ||||||
| HEC a | 0.0965 (0.0028) | 2.89 | 0.0964 (0.0028) | 2.90 | 0.0964 (0.0040) | 4.10 |
| LEC b | 0.0058 (0.0004) | 6.97 | 0.0057 (0.0009) | 15.02 | 0.0057 (0.0009) | 16.56 |
| TERT | ||||||
| C228T | ||||||
| HEC a | 0.1033 (0.0014) | 1.38 | 0.1033 (0.0025) | 2.45 | 0.1033 (0.0029) | 2.82 |
| LEC b | 0.0063 (0.0004) | 6.18 | 0.0063 (0.0008) | 12.42 | 0.0063 (0.0009) | 13.87 |
| C250T | ||||||
| HEC a | 0.0913 (0.0019) | 2.11 | 0.0913 (0.0023) | 2.54 | 0.0913 (0.0030) | 3.30 |
| LEC b | 0.0055 (0.0002) | 3.42 | 0.0055 (0.0007) | 11.79 | 0.0055 (0.0007) | 12.27 |
| C228T + C250T | ||||||
| HEC a | 0.0933 (0.0009) | 1.01 | 0.0933 (0.0027) | 2.95 | 0.0933 (0.0029) | 3.11 |
| LEC b | 0.0054 (0.0004) | 6.86 | 0.0054 (0.0011) | 20.27 | 0.0054 (0.0012) | 21.40 |
| SNV | Extraction Efficiency (95% CI), % |
|---|---|
| FGFR3 | |
| R248C | |
| HEC a | 72.7 (69.3, 76.0) |
| LEC b | 82.4 (51.4, 100.0) |
| S249F/C | |
| HEC a | 62.9 (53.3, 72.5) |
| LEC b | 84.2 (59.6, 100.0) |
| G372C | |
| HEC a | 77.6 (69.5, 85.7) |
| LEC b | 100.0 (100.0, 100.0) |
| Y375C | |
| HEC a | 78.6 (70.1, 87.2) |
| LEC b | 85.6 (60.7, 100.0) |
| TERT | |
| C228T | |
| HEC a | 86.4 (76.1, 96.6) |
| LEC b | 97.5 (71.1, 100.0) |
| C250T | |
| HEC a | 83.4 (76.7, 90.1) |
| LEC b | 95.2 (69.8, 100.0) |
| C228T + C250T | |
| HEC a | 80.7 (70.5, 90.9) |
| LEC b | 93.8 (52.6, 100.0) |
Disclaimer/Publisher’s Note: The statements, opinions and data contained in all publications are solely those of the individual author(s) and contributor(s) and not of MDPI and/or the editor(s). MDPI and/or the editor(s) disclaim responsibility for any injury to people or property resulting from any ideas, methods, instructions or products referred to in the content. |
© 2025 by the authors. Licensee MDPI, Basel, Switzerland. This article is an open access article distributed under the terms and conditions of the Creative Commons Attribution (CC BY) license (https://creativecommons.org/licenses/by/4.0/).
Share and Cite
Harvey, J.C.; Fletcher, D.; Ellen, C.W.; Colonval, M.; Hazlett, J.A.; Zhou, X.; Newell, J.M. Analytical Validation of the Cxbladder® Triage Plus Assay for Risk Stratification of Hematuria Patients for Urothelial Carcinoma. Diagnostics 2025, 15, 1739. https://doi.org/10.3390/diagnostics15141739
Harvey JC, Fletcher D, Ellen CW, Colonval M, Hazlett JA, Zhou X, Newell JM. Analytical Validation of the Cxbladder® Triage Plus Assay for Risk Stratification of Hematuria Patients for Urothelial Carcinoma. Diagnostics. 2025; 15(14):1739. https://doi.org/10.3390/diagnostics15141739
Chicago/Turabian StyleHarvey, Justin C., David Fletcher, Charles W. Ellen, Megan Colonval, Jody A. Hazlett, Xin Zhou, and Jordan M. Newell. 2025. "Analytical Validation of the Cxbladder® Triage Plus Assay for Risk Stratification of Hematuria Patients for Urothelial Carcinoma" Diagnostics 15, no. 14: 1739. https://doi.org/10.3390/diagnostics15141739
APA StyleHarvey, J. C., Fletcher, D., Ellen, C. W., Colonval, M., Hazlett, J. A., Zhou, X., & Newell, J. M. (2025). Analytical Validation of the Cxbladder® Triage Plus Assay for Risk Stratification of Hematuria Patients for Urothelial Carcinoma. Diagnostics, 15(14), 1739. https://doi.org/10.3390/diagnostics15141739

