Comparative Analysis of Classification Criteria in IgG4-Related Disease and Evaluating Diagnostic Accuracy from a Retrospective Cohort in Clinical Practice
Abstract
1. Introduction
2. Materials and Methods
2.1. Study Design and Setting
2.2. Patients
2.3. Procedures
2.4. Statistical Analysis
3. Results
3.1. General IgG4-RD Characteristics
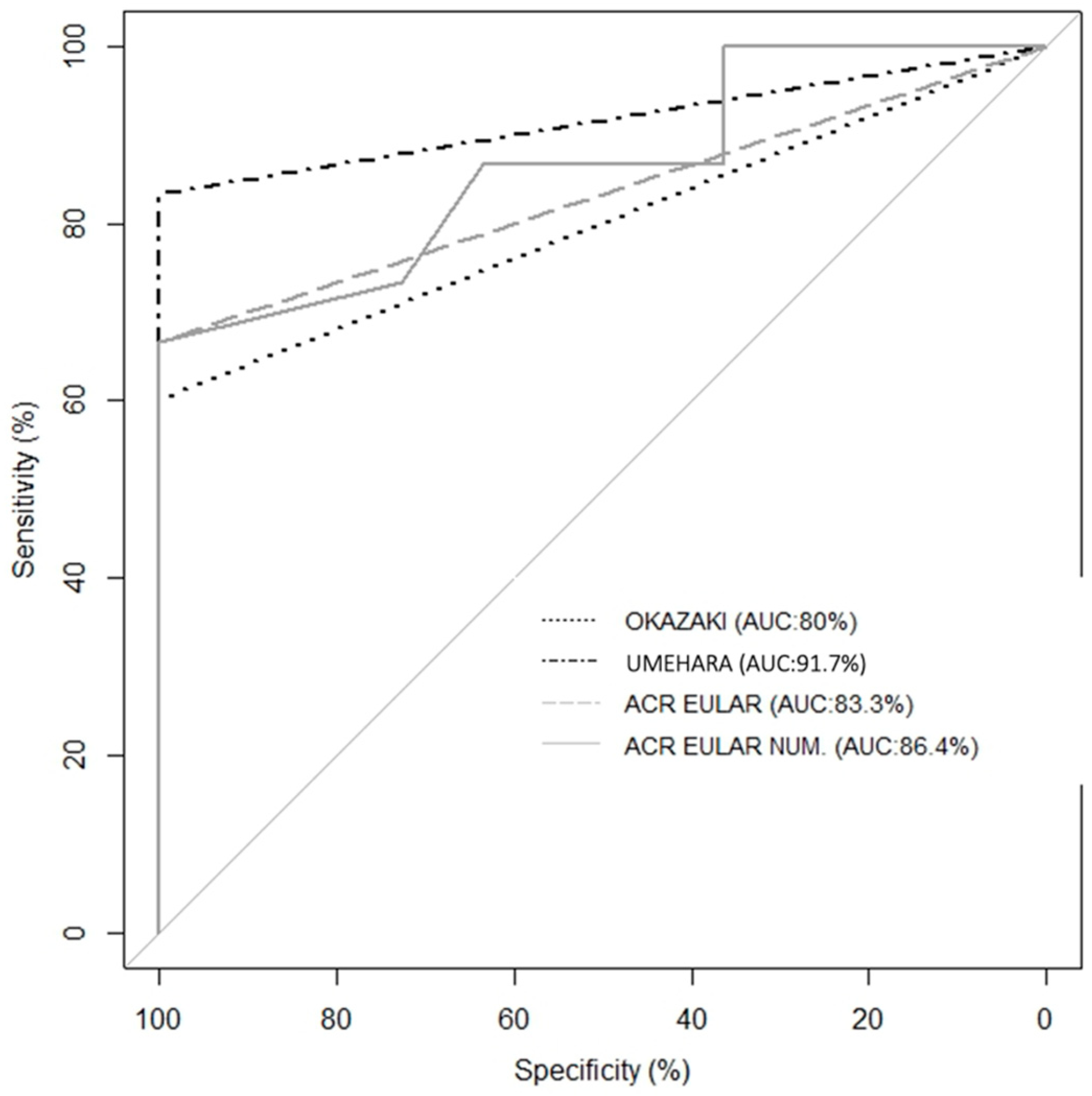
3.2. Okazaki, Umehara, and ACR/EULAR 2019 Criteria
3.3. Description of IgG4-RD Subtypes
4. Discussion
5. Conclusions
Author Contributions
Funding
Institutional Review Board Statement
Informed Consent Statement
Data Availability Statement
Conflicts of Interest
Appendix A
Okazaki Criteria (Proposed by the Japanese Research Committee for IgG4-Related Systemic Sclerosing Disease) 2009
- Focal or diffuse enlargement or lesions in one or more organs.
- Serum IgG4 concentrations > 135 mg/dL
- Histopathology
- (a)
- Lymphocytic and plasmocytic infiltrate with fibrosis, without neutrophilic infiltrate.
- (b)
- IgG4 positive plasmocytic infiltrate greater than 10/cap or IgG4/IgG > 40% ratio of IgG4/IgG cells.
- (c)
- Storiform fibrosis
- (d)
- Obliterative phlebitis
- 1 + 2
- 1 + 3 (a + b)
- 2 + 3 (a + b)
- 3 (a + b + c + d)
Appendix B
Umehara Criteria 2011
- Clinical examination showing characteristic diffuse/localized swelling or masses in one or more organs.
- Hematologic examination showing elevated serum IgG4 concentrations (≥135 mg/dL).
- Histopathologic examination showing:
- -
- Marked lymphocyte and plasmacyte infiltration and fibrosis.
- -
- IgG4-positive plasma cell infiltration: IgG4/IgG-positive cell ratio > 40% and >10 IgG4-positive plasma cells/high potency field (HPF).
Appendix C
ACR/EULAR 2019 Criteria
Exclusion Criteria
- -
- fever: recurrent temperature > 38 °C without clinical signs of infection
- -
- lack of response to glucocorticoids at doses of at least 40 mg/day of prednisone (approx. 0.6 mg/kg/day) for 4 weeks
- -
- leukopenia or thrombocytopenia without alternative explanation
- -
- peripheral eosinophilia > 3000 mm3
- -
- presence of ANCA antibodies
- -
- presence of antinuclear antibodies anti-Ro, anti-La, anti-double-stranded DNA, anti-RNP, anti-Sm, anti-synthetase (e.g., anti-Jo1), antitopoisomerase III (Scl-70). This does not include antibodies of low specificity, such as rheumatoid factor, antinuclear antibodies (in screening), antimitochondrial antibodies, antimuscle smooth muscle antibodies, and antiphospholipid antibodies
- -
- cryoglobulinemia.
- -
- radiological changes characteristic of neoplastic diseases or infections not sufficiently screened for
- -
- rapid radiological progression
- -
- anomalies in long bones compatible with Erdheim-Chester disease: multifocal osteosclerotic lesions in long bones
- -
- splenomegaly: >14 cm without other explanations
- -
- cellular infiltrates that raise suspicion of a malignant neoplasm and have not been sufficiently analyzed
- -
- markers related to an inflammatory myofibroblastic tumor
- -
- evident neutrophilic inflammation
- -
- necrotizing vasculitis
- -
- evident necrosis (especially zonal necrosis)
- -
- primary granulomatous inflammation
- -
- characteristic signs of diseases related to macrophage/histiocyte disorders.
- -
- cellular infiltrates that raise suspicion of a malignant neoplasm and have not been sufficiently analyzed
- -
- markers related to an inflammatory myofibroblastic tumor
- -
- evident neutrophilic inflammation
- -
- necrotizing vasculitis
- -
- evident necrosis (especially zonal necrosis)
- -
- primary granulomatous inflammation
- -
- characteristic signs of diseases related to macrophage/histiocyte disorders.
- -
- multicentric Castleman’s disease
- -
- Crohn’s disease
- -
- ulcerative colitis
- -
- Hashimoto’s thyroiditis
| Histopathology | |
| -biopsy that does not provide relevant information | 0 |
| -dense lymphocytic infiltrate | 4 |
| -dense lymphocytic infiltrate and obliterative phlebitis | 6 |
| -dense lymphocytic infiltrate and glandular fibrosis with or without obliterating phlebitis | 13 |
| Immunostaining | 0–16 |
| Serum IgG4 concentration | |
| -normal or undetermined | 0 |
| -above normal, but <2× upper limit of normal (ULN) | 4 |
| -from 2× to 5× LSN | 6 |
| ≥5× LSN | 11 |
| Bilateral involvement of lacrimal glands, parotid, sublingual and submaxillary salivary glands | |
| -unaffected | 0 |
| -affectation of 1 pair | 6 |
| -involvement of ≥2 pairs | 14 |
| Chest | |
| -undetermined or none of the aforementioned elements are present | 0 |
| -peri-bronchovascular and septal thickening | 4 |
| -paravertebral band-like soft tissue in the thorax | 10 |
| Pancreas and biliary tract | |
| -undetermined or none of the aforementioned elements are present | 0 |
| -diffuse enlargement of the pancreas (loss of lobulation) | 8 |
| -diffuse enlargement of the pancreas and low-density capsule rim | 11 |
| -involvement of the pancreas (one of the above) and bile ducts | 19 |
| Kidney | |
| -undetermined or none of the aforementioned elements are present | 0 |
| -hypocomplementemia | 6 |
| -thickening of the renal pelvis/soft tissue | 8 |
| – bilateral areas of low density in the renal cortex | 10 |
| Retroperitoneum | |
| -undetermined or none of the aforementioned elements are present | 0 |
| -diffuse thickening of the wall of the abdominal aorta | 4 |
| -peripheral or anterolateral soft tissue around the infrarenal aorta or iliac arteries | 8 |
References
- Wallace, Z.S.; Zhang, Y.; Perugino, C.A.; Naden, R.; Choi, H.K.; Stone, J.H.; ACR/EULAR IgG4-RD Classification Criteria Committee. Clinical phenotypes of IgG4-related disease: An analysis of two international cross-sectional cohorts. Ann. Rheum. Dis. 2019, 78, 406–412. [Google Scholar] [CrossRef] [PubMed]
- Tsoboi, H.; Honda, F.; Takahashi, H.; Ono, Y.; Abe, S.; Kondo, Y.; Matsumoto, I.; Sumida, T. Pathogenesis of IgG4-related disease. Comparison with Sjögren’s syndrome. Mod. Rheumatol. 2020, 30, 7–16. [Google Scholar] [CrossRef] [PubMed]
- Liu, Z.; Nie, Y.; Yu, P.; Lu, H.; Zhang, P.; Li, J.; Sun, R.; Li, J.; Sun, B.; He, X.; et al. The external validation of the 2019 ACR/EULAR classification criteria for IgG4-related disease in a large cohort from China. Semin. Arthritis Rheum. 2023, 61, 152202. [Google Scholar] [CrossRef] [PubMed]
- Lanzillotta, M.; Mancuso, G.; Della-Torre, E. Advances in the diagnosis and management of IgG4 related disease. BMJ 2020, 16, 369. [Google Scholar] [CrossRef] [PubMed]
- Adam, Z.; Zeman, D.; Cermak, A.; Dastych, M.; Doubková, M.; Horváth, T.; Skorkovská, Š.; Adamová, Z.; Řehák, Z.; Koukalová, R.; et al. IgG4-related disease. Clinical manifestation, differential diagnosis and recent International Diagnostic Criteria for IgG4-related disease. Vnitr. Lek. 2022, 68, 4–19. [Google Scholar] [CrossRef] [PubMed]
- Akiyama, M.; Takeuchi, T. IgG4-Related Disease: Beyond Glucocorticoids. Drugs Aging 2018, 35, 275–287. [Google Scholar] [CrossRef] [PubMed]
- Fernandez-Codina, A.; Martínez-Valle, F.; Pinilla, B.; López, C.; DeTorres, I.; Solans-Laqué, R.; Fraile-Rodríguez, G.; Casanovas-Martínez, A.; López-Dupla, M.; Robles-Marhuenda, Á.; et al. IgG4-Related Disease: Results From a Multicenter Spanish Registry. Medicine 2015, 94, e1275. [Google Scholar] [CrossRef] [PubMed]
- Terao, C.; Ota, M.; Iwasaki, T.; Shiokawa, M.; Kawaguchi, S.; Kuriyama, K.; Kawaguchi, T.; Kodama, Y.; Yamaguchi, I.; Uchida, K.; et al. IgG4-related disease in the Japanese population: A genome-wide association study. Lancet Rheumatol. 2019, 1, e14–e22. [Google Scholar] [CrossRef] [PubMed]
- Yamamoto, M.; Tanaka, T.; Aochi, S.; Uehara, M. HLA-DRB1 is associated with therapeutic responsiveness in IgG4-related disease. Intern. Med. 2024, 63, 207–211. [Google Scholar] [CrossRef] [PubMed]
- Floreani, A.; Okazaki, K.; Uchida, K.; Gershwin, M.E. IgG4-related disease: Changing epidemiology and new thoughts on a multisystem disease. J. Transl. Autoimmun. 2020, 4, 100074. [Google Scholar] [CrossRef] [PubMed]
- Pinheiro, F.A.G.; Pereira, I.A.; Souza, A.W.S.; Giardini, H.A.M.; Cordeiro, R.A. IgG4-related disease—Rare but you should not forget it. Adv. Rheumatol. 2024, 64, 35. [Google Scholar] [CrossRef] [PubMed]
- Carruthers, M.; Khosroshahi, A.; Augustin, T.; Deshpande, V.; Stone, J.H. The diagnostic utility of serum IgG4 concentrations in IgG4-related disease. Ann. Rheum. Dis. 2015, 74, 14–18. [Google Scholar] [CrossRef] [PubMed]
- Zhang, J.; Chen, H.; Ma, Y.; Xiao, Y.; Niu, N.; Lin, W.; Wang, X.; Liang, Z.; Zhang, F.; Li, F.; et al. Characterizing IgG4-related disease with 18F-FDG PET/CT: A prospective cohort study. Eur. J. Nucl. Med. Mol. Imaging 2014, 41, 1624–1634. [Google Scholar] [CrossRef] [PubMed]
- Okazaki, K.; Uchida, K.; Koyabu, M.; Miyoshi, H.; Takaoka, M. Recent advances in the concept and diagnosis of autoimmune pancreatitis and IgG4-related disease. J. Gastroenterol. 2011, 46, 277–288. [Google Scholar] [CrossRef] [PubMed]
- Umehara, H.; Okazaki, K.; Masaki, Y.; Kowano, M.; Yamamoto, M.; Saeki, T.; Matsui, S.; Yoshino, T.; Nakamura, S.; Kawa, S.; et al. Comprehensive diagnostic criteria for IgG4-related disease (IgG4-RD). Mod. Rheumatol. 2012, 22, 21–30. [Google Scholar] [CrossRef] [PubMed]
- Wallace, Z.; Naden, R.; Chari, S.; Choi, H.; Della-Torre, E.; Dicaire, J.-F.; A Hart, P.; Inoue, D.; Kawano, M.; Khosroshahi, A.; et al. The 2019 American College of Rheumatology/European League Against Rheumatism Classification Criteria for IgG4-Related Disease. Arthritis Rheumatol. 2020, 72, 7–19. [Google Scholar] [CrossRef] [PubMed]
- Okazaki, K.; Umehara, H. Are Classification Criteria for IgG4-RD Now Possible? The Concept of IgG4-Related Disease and Proposal of Comprehensive Diagnostic Criteria in Japan. Int. J. Rheumatol. 2012, 2012, 357071. [Google Scholar] [CrossRef] [PubMed]
- Martinez Calabuig, P.; Gil, J.J.F.; Rueda, A.; Maicas, L.S.; Mazarío, R.G.; Barbera, L.A.; Abad, M.C.S.; Rivera, A.S.; Miralles, I.C.; Lerma, J.J.; et al. IgG4-related disease: 2010-2022 case revision and performance of diagnostic criteria. Ann. Rheum. Dis. 2023, 82 (Suppl. S1), 1957. [Google Scholar]
- Brito-Zerón, P.; Ramos-Casals, M.; Bosch, X.; Stone, J. The clinical spectrum of IgG4-related disease. Autoimmun. Rev. 2014, 13, 1203–1210. [Google Scholar] [CrossRef] [PubMed]
- Wallace, Z.S.; Katz, G.; Hernandez-Barco, Y.G.; Baker, M.C. Current and future advances in practice: IgG4-related disease. Rheumatol. Adv. Pract. 2024, 8, rkae020. [Google Scholar] [CrossRef] [PubMed]

| IgG4-RD (n = 30) | Non-IgG4-RD (n = 11) | p Value | |
|---|---|---|---|
| Sex (male) | 25 (83.3%) | 4 (36.3%) | 0.007 |
| Race | 0.47 | ||
| 28 (96.6%) | 10 (90.9%) | |
| 1 (3.4%) | 1 (9.1%) | |
| Weight (kg), median (IQR) | 83 (70.5–100.8) | 84 (73.7–89.5) | 0.665 |
| Arterial hypertension | 14 (46.7%) | 4 (36.4%) | 0.726 |
| Dyslipidemia | 14 (46.7%) | 4 (36.4%) | 0.726 |
| Ischemic heart disease | 6 (20%) | 2 (18.2%) | 1 |
| Non-hematological neoplasia | 1 (3.3%) | 0 (0%) | 1 |
| Glandular involvement | 4 (13.3%) | 0 (0%) | 1 |
| 2 (6.7%) | ||
| 2 (6.7%) | ||
| Pulmonary involvement | 1 | ||
| 5 (16.7%) | 1 (9.1%) | |
| 0 (0%) | 0 (0%) | |
| 0 (0%) | 0 (0%) | |
| Pancreatic involvement | 10 (33.3%) | 3 (27.27%) | 0.557 |
| 1 (3.3%) | 0 (0%) | |
| 2 (6.7%) | 2 (18.2%) | |
| 7 (23.3%) | 1 (9.1%) | |
| Renal involvement | 14 (46.7%) | 1 (9.1%) | 0.267 |
| 3 (10%) | 0 (0%) | |
| 3 (10%) | 1 (9.1%) | |
| 8 (%) | 0 (0%) | |
| Retroperitoneal involvement | 17 (56.7%) | 4 (36.4%) | 0.593 |
| 7 (23.3%) | 2 (18.2%) | |
| 10 (33.3%) | 2 (18.2%) | |
| Fever | 3 (10%) | 0 (0%) | 0.551 |
| Constitutional syndrome | 3 (10%) | 0 (0%) | 0.551 |
| Lower back pain | 6 (20%) | 0 (0%) | 0.167 |
| Hydronephrosis | 3 (10%) | 0 (0%) | 0.551 |
| Aneurysm | 10 (33.3%) | 3 (27.3%) | 1 |
| Hypophysitis | 1 (3.3%) | 1 (9.1%) | 0.47 |
| Pachymeningitis | 1 (3.3%) | 0 (0%) | 0.268 |
| Orbital pseudotumor | 0 (0%) | 0 (0%) | 1 |
| Uveal involvement | 0 (0%) | 0 (0%) | 1 |
| Sclera involvement | 1 (9.1%) | 0 (0%) | 0.268 |
| IgG, median (IQR) | 1196 (979.2–1536.2) | 1137 (1006.5–1250) | 0.233 |
| IgG4, median (IQR) | 90.5 (40.8–154.5) | 47.0 (33.5–86) | 0.05 |
| Plasmablasts, median (IQR) | 993.0 (255.5–1628.2) | 24 (0–101) | 0.004 |
| IgG4-RD (n = 30) | Non-IgG4-RD (n = 11) | p-Value | |
|---|---|---|---|
| Histology | 9 (34.6%) | 1 (9.09%) | 1.000 |
Histological location
| 1 (11.1%) 1 (11.1%) 2 (22.2%) 2 (22.2%) 1 (11.1%) 2 (22.2%) | 1 (100.0%) | |
| Plasma cells | 8 (88.9%) | 1 (100.0%) | 0.200 |
| Phlebitis | 2 (22.2%) | 0 (0.0%) | 1.000 |
| Fibrosis | 2 (22.2%) | 0 (0.0%) | 1.000 |
| METRIC | OKAZAKI | UMEHARA | ACR/EULAR 2019 |
|---|---|---|---|
| Confirmed IgG4-RD patients (n = 30) | 18 (60%) | 25 (83.33%) | 20 (66.67%) |
| Sensitivity [95% CI] | 60% [40.6–77.34%] | 83.33% [65.28–94.36%] | 66.67% [47.19–82.71%] |
| Specificity [95% CI] | 100% [71.51–100%] | 100% [71.51–100%] | 100% [71.51–100%] |
| Accuracy [95% CI] | 70.73% [54.46–83.87%] | 87.8% [73.8–95.92%] | 75.61% [59.7–87.64%] |
| Positive predictive value [95% CI] | 100% [81.47–100%] | 100% [86.28–100%] | 100% [83.16–100%] |
| Negative predictive value [95% CI] | 47.83% [26.82–69.41%] | 68.75% [41.34–88.98%] | 52.38% [29.78–74.29%] |
| Negative likelihood ratio [95% CI] | 40% [25.81–62%] | 16.67% [7.49–37.1%] | 33.33% [20.1–55.29%] |
| SUBTYPE 1 Pancreato-Hepato-Biliary n = 8 (26.7%) | SUBTYPE 2 Retroperitoneal +/− Aortitis n = 19 (63.3%) | SUBTYPE 3 Head/Neck-Limited n = 1 (3.3%) | SUBTYPE 4 Mikulicz-Systemic Involvement n = 2 (6.7%) | p Value | |
|---|---|---|---|---|---|
| Gender (male) | 7 (87.5%) | 16 (84.2%) | 1 (100%) | 1 (50%) | 0.592 |
| Race | 1 | ||||
| 8 (100%) | 18 (94.7%) | 1 (100%) | 2 (100%) | |
| 0 (0%) | 1 (5.3%) | 0 (0%) | 0 (0%) | |
| Arterial hypertension | 2 (25%) | 12 (63.2%) | 0 (0%) | 0 (0%) | 0.066 |
| Dyslipidemia | 3 (37.5%) | 10 (52.6%) | 0 (0%) | 1 (50%) | 0.83 |
| Ischemic heart disease | 0 (0%) | 6 (31.6%) | 0 (0%) | 0 (0%) | 0.321 |
| Non-hematological neoplasia | 0 (0%) | 1 (5.3%) | 0 (0%) | 0 (0%) | 1 |
| Glandular involvement | 1 | ||||
| 0 (0%) | 2 (10.5%) | 0 (0%) | 0 (0%) | |
| 1 (12.5%) | 1 (5.3%) | 0 (0%) | 0 (0%) | |
| Pulmonary involvement | 0.483 | ||||
| 0 (0%) | 5 (26.3%) | 0 (0%) | 0 (0%) | |
| 0 (0%) | 0 (0%) | 0 (0%) | 0 (0%) | |
| Pancreatic involvement | <0.001 | ||||
| 0 (0%) | 1 (5.3%) | 0 (0%) | 0 (0%) | |
| 2 (25%) | 0 (0%) | 0 (0%) | 0 (0%) | |
| 6 (75%) | 1 (5.3%) | 0 (0%) | 0 (0%) | |
| Renal involvement | 0.914 | ||||
| 1 (12.5%) | 2 (10.5%) | 0 (0%) | 0 (0%) | |
| 0 (0%) | 3 (15.8%) | 0 (0%) | 0 (0%) | |
| 1 (12.5%) | 6 (31.57%) | 0 (0%) | 1 (50%) | |
| Retroperitoneal involvement | 0.001 | ||||
| 0 (0%) | 7 (36.8%) | 0 (0%) | 0 (0%) | |
| 0 (0%) | 10 (52.6%) | 0 (0%) | 0 (0%) | |
| Fever | 0 (0%) | 2 (10.5%) | 0 (0%) | 1 (50%) | 0.293 |
| Constitutional syndrome | 0 (0%) | 2 (10.5%) | 0 (0%) | 1 (50%) | 0.293 |
| Lower back pain | 0 (0%) | 6 (31.6%) | 0 (0%) | 0 (0%) | 0.321 |
| Hydronephrosis | 0 (0%) | 3 (15.8%) | 0 (0%) | 0 (0%) | 0.663 |
| Aneurysm | 0 (0%) | 9 (47.4%) | 0 (0%) | 1 (50%) | 0.037 |
| Hypophysitis | 1 (12.5%) | 0 (0%) | 0 (0%) | 0 (0%) | 0.367 |
| Okazaki 2009 criteria | 0.902 | ||||
| 4 (50%) | 7 (36.8%) | 0 (0%) | 1 (50%) | |
| 4 (50%) | 12 (63.2%) | 1 (100%) | 1 (50%) | |
| Umehara 2012 criteria | 0.652 | ||||
| 0 (0%) | 5 (26.3%) | 0 (0%) | 0 (0%) | |
| 4 (50%) | 10 (52.6%) | 1 (100%) | 2 (100%) | |
| 1 (12.5%) | 1 (5.3%) | 0 (0%) | 0 (0%) | |
| 3 (37.5%) | 3 (15.8%) | 0 (0%) | 0 (0%) | |
| ACR/EULAR 2019 criteria | 0.653 | ||||
| 2 (25%) | 6 (31.6%) | 1 (100%) | 1 (50%) | |
| 6 (75%) | 13 (68.4%) | 0 (0%) | 1 (50%) | |
| ACR/EULAR numeric | 24.0 | 20.0 | 4.0 | 12.5 | 0.523 |
| value, median (IQR) | (19.8–34.0) | (12.0–23.5) | (4.0–4.0) | (8.2–16.8) | |
| IgG, median (IQR) | 1166.5 | 1180.0 | 1624.0 | 1355.5 | 0.390 |
| (853.2–1306.0) | (985.5–1542.0) | (1624.0–1624.0) | (1261.8–1449.2) | ||
| IgG4, median (IQR) | 72.0 | 84.0 | 153.0 | 297.0 | 0.45 |
| (39.8–132.8) | (43.5–180.0) | (153.0–153.0) | (207.0–387.0) | ||
| Plasmablasts, median (IQR) | 518.0 | 1005.0 | 9680.0 | 1176.5 | 0.179 |
| (0.0–862.2) | (288.0–1657.5) | (9680.0–9680.0) | (1145.8–1207.2) |
Disclaimer/Publisher’s Note: The statements, opinions and data contained in all publications are solely those of the individual author(s) and contributor(s) and not of MDPI and/or the editor(s). MDPI and/or the editor(s) disclaim responsibility for any injury to people or property resulting from any ideas, methods, instructions or products referred to in the content. |
© 2024 by the authors. Licensee MDPI, Basel, Switzerland. This article is an open access article distributed under the terms and conditions of the Creative Commons Attribution (CC BY) license (https://creativecommons.org/licenses/by/4.0/).
Share and Cite
Lopez-Gomez, M.; Moya-Alvarado, P.; Park, H.S.; Martín, M.C.; Calleja, S.; Codes-Mendez, H.; Magallares, B.; Castellví, I.; Barros-Membrilla, A.J.; Laiz, A.; et al. Comparative Analysis of Classification Criteria in IgG4-Related Disease and Evaluating Diagnostic Accuracy from a Retrospective Cohort in Clinical Practice. Diagnostics 2024, 14, 2583. https://doi.org/10.3390/diagnostics14222583
Lopez-Gomez M, Moya-Alvarado P, Park HS, Martín MC, Calleja S, Codes-Mendez H, Magallares B, Castellví I, Barros-Membrilla AJ, Laiz A, et al. Comparative Analysis of Classification Criteria in IgG4-Related Disease and Evaluating Diagnostic Accuracy from a Retrospective Cohort in Clinical Practice. Diagnostics. 2024; 14(22):2583. https://doi.org/10.3390/diagnostics14222583
Chicago/Turabian StyleLopez-Gomez, Marta, Patricia Moya-Alvarado, Hye Sang Park, Mar Concepción Martín, Sara Calleja, Helena Codes-Mendez, Berta Magallares, Iván Castellví, Antonio J. Barros-Membrilla, Ana Laiz, and et al. 2024. "Comparative Analysis of Classification Criteria in IgG4-Related Disease and Evaluating Diagnostic Accuracy from a Retrospective Cohort in Clinical Practice" Diagnostics 14, no. 22: 2583. https://doi.org/10.3390/diagnostics14222583
APA StyleLopez-Gomez, M., Moya-Alvarado, P., Park, H. S., Martín, M. C., Calleja, S., Codes-Mendez, H., Magallares, B., Castellví, I., Barros-Membrilla, A. J., Laiz, A., Diaz-Torné, C., Sainz, L., Bernárdez, J., Martínez-Martinez, L., & Corominas, H. (2024). Comparative Analysis of Classification Criteria in IgG4-Related Disease and Evaluating Diagnostic Accuracy from a Retrospective Cohort in Clinical Practice. Diagnostics, 14(22), 2583. https://doi.org/10.3390/diagnostics14222583

