Baseline 18F-FDG PET/CT Radiomics in Classical Hodgkin’s Lymphoma: The Predictive Role of the Largest and the Hottest Lesions
Abstract
1. Introduction
2. Materials and Methods
2.1. Study Design, Patients, and Data Collection
2.2. Image Acquisition Protocol
2.3. Image Segmentation and Radiomic Features’ Extraction
2.4. Statistical Analysis and Radiomic Models
3. Results
3.1. Patients’ Characteristics
3.2. Radiomic Features
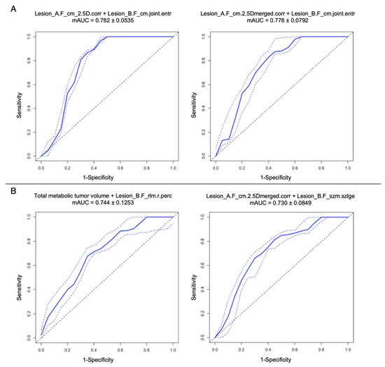
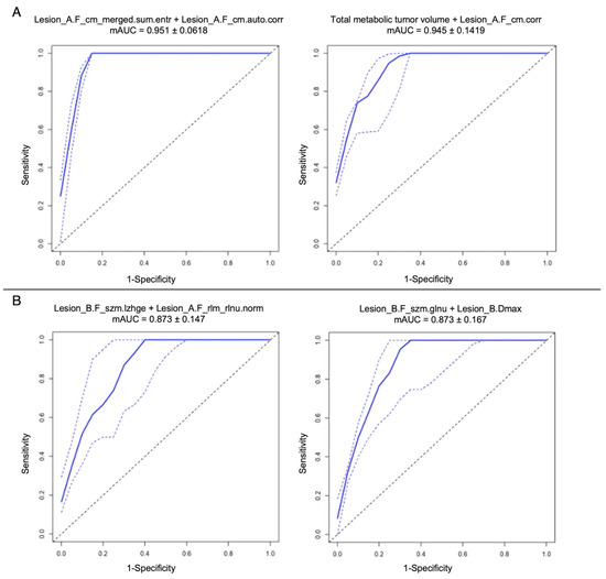
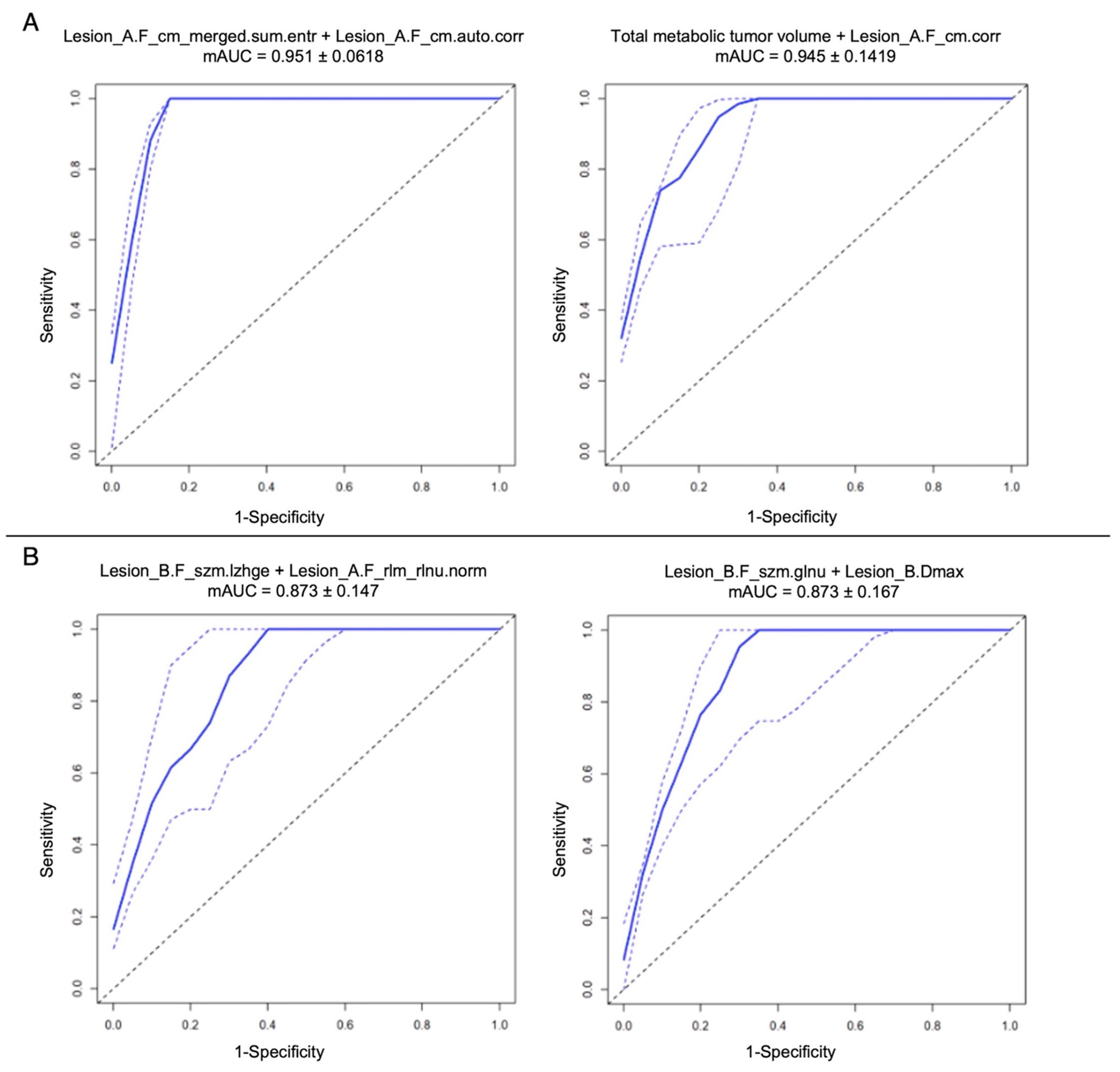
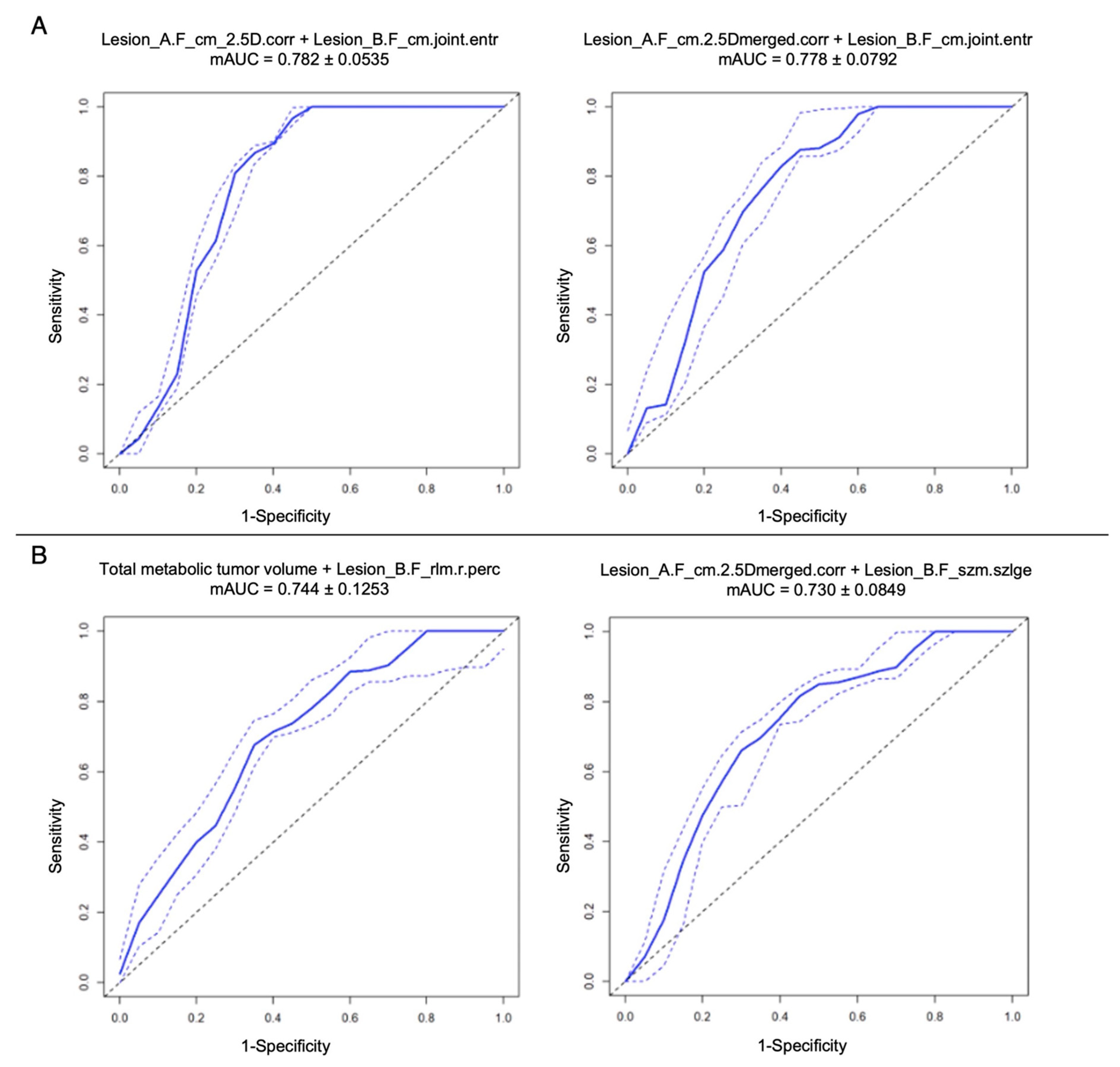
3.3. Radiomic Models
3.4. Scanner-Based Radiomic Models
4. Discussion
5. Conclusions
Supplementary Materials
Author Contributions
Funding
Institutional Review Board Statement
Informed Consent Statement
Data Availability Statement
Conflicts of Interest
References
- Eichenauer, D.A.; Aleman, B.M.P.; André, M.; Federico, M.; Hutchings, M.; Illidge, T.; Engert, A.; Ladetto, M. Hodgkin Lymphoma: ESMO Clinical Practice Guidelines for Diagnosis, Treatment and Follow-Up. Ann. Oncol. 2018, 29, iv19–iv29. [Google Scholar] [CrossRef] [PubMed]
- SEER*Explorer: An Interactive Website for SEER Cancer Statistics. Surveillance Research Program, National Cancer Institute. Available online: https://Seer.Cancer.Gov/Explorer/ (accessed on 24 October 2022).
- Ansell, S.M. Hodgkin Lymphoma: A 2020 Update on Diagnosis, Risk-stratification, and Management. Am. J. Hematol. 2020, 95, 978–989. [Google Scholar] [CrossRef] [PubMed]
- Barrington, S.F.; Mikhaeel, N.G.; Kostakoglu, L.; Meignan, M.; Hutchings, M.; Müeller, S.P.; Schwartz, L.H.; Zucca, E.; Fisher, R.I.; Trotman, J.; et al. Role of Imaging in the Staging and Response Assessment of Lymphoma: Consensus of the International Conference on Malignant Lymphomas Imaging Working Group. J. Clin. Oncol. 2014, 32, 3048–3058. [Google Scholar] [CrossRef] [PubMed]
- Cheson, B.D.; Fisher, R.I.; Barrington, S.F.; Cavalli, F.; Schwartz, L.H.; Zucca, E.; Lister, T.A. Recommendations for Initial Evaluation, Staging, and Response Assessment of Hodgkin and Non-Hodgkin Lymphoma: The Lugano Classification. J. Clin. Oncol. 2014, 32, 3059–3067. [Google Scholar] [CrossRef] [PubMed]
- Hoppe, R.T.; Advani, R.H.; Ai, W.Z.; Ambinder, R.F.; Armand, P.; Bello, C.M.; Benitez, C.M.; Bierman, P.J.; Boughan, K.M.; Dabaja, B.; et al. Hodgkin Lymphoma, Version 2.2022, NCCN Clinical Practice Guidelines in Oncology. J. Natl. Compr. Cancer Netw. 2022, 18, 755–781. Available online: https://www.nccn.org/professionals/physician_gls/pdf/hodgkins.pdf (accessed on 10 December 2022). [CrossRef]
- Spinner, M.A.; Advani, R.H. Risk-Adapted Therapy for Advanced-Stage Hodgkin Lymphoma. Hematology 2018, 2018, 200–206. [Google Scholar] [CrossRef]
- Meignan, M.; Gallamini, A.; Meignan, M.; Gallamini, A.; Haioun, C. Report on the First International Workshop on Interim-PET Scan in Lymphoma. Leuk. Lymphoma 2009, 50, 1257–1260. [Google Scholar] [CrossRef]
- Barrington, S.F.; Qian, W.; Somer, E.J.; Franceschetto, A.; Bagni, B.; Brun, E.; Almquist, H.; Loft, A.; Højgaard, L.; Federico, M.; et al. Concordance between Four European Centres of PET Reporting Criteria Designed for Use in Multicentre Trials in Hodgkin Lymphoma. Eur. J. Nucl. Med. Mol. Imaging 2010, 37, 1824–1833. [Google Scholar] [CrossRef]
- Annunziata, S.; Cuccaro, A.; Calcagni, M.L.; Hohaus, S.; Giordano, A.; Rufini, V. Interim FDG-PET/CT in Hodgkin Lymphoma: The Prognostic Role of the Ratio between Target Lesion and Liver SUVmax (RPET). Ann. Nucl. Med. 2016, 30, 588–592. [Google Scholar] [CrossRef]
- Engert, A.; Diehl, V.; Franklin, J.; Lohri, A.; Dörken, B.; Ludwig, W.-D.; Koch, P.; Hänel, M.; Pfreundschuh, M.; Wilhelm, M.; et al. Escalated-Dose BEACOPP in the Treatment of Patients With Advanced-Stage Hodgkin’s Lymphoma: 10 Years of Follow-Up of the GHSG HD9 Study. J. Clin. Oncol. 2009, 27, 4548–4554. [Google Scholar] [CrossRef]
- Wang, H.; Zhou, Y.; Li, L.; Hou, W.; Ma, X.; Tian, R. Current Status and Quality of Radiomics Studies in Lymphoma: A Systematic Review. Eur. Radiol. 2020, 30, 6228–6240. [Google Scholar] [CrossRef]
- Rizzo, A.; Triumbari, E.K.A.; Gatta, R.; Boldrini, L.; Racca, M.; Mayerhoefer, M.; Annunziata, S. The Role of 18F-FDG PET/CT Radiomics in Lymphoma. Clin. Transl. Imaging 2021, 9, 589–598. [Google Scholar] [CrossRef]
- Frood, R.; Burton, C.; Tsoumpas, C.; Frangi, A.F.; Gleeson, F.; Patel, C.; Scarsbrook, A. Baseline PET/CT Imaging Parameters for Prediction of Treatment Outcome in Hodgkin and Diffuse Large B Cell Lymphoma: A Systematic Review. Eur. J. Nucl. Med. Mol. Imaging 2021, 48, 3198–3220. [Google Scholar] [CrossRef]
- Morland, D.; Triumbari, E.K.A.; Boldrini, L.; Gatta, R.; Pizzuto, D.; Annunziata, S. Radiomics in Oncological PET Imaging: A Systematic Review—Part 2, Infradiaphragmatic Cancers, Blood Malignancies, Melanoma and Musculoskeletal Cancers. Diagnostics 2022, 12, 1330. [Google Scholar] [CrossRef] [PubMed]
- Lippi, M.; Gianotti, S.; Fama, A.; Casali, M.; Barbolini, E.; Ferrari, A.; Fioroni, F.; Iori, M.; Luminari, S.; Menga, M.; et al. Texture Analysis and Multiple-Instance Learning for the Classification of Malignant Lymphomas. Comput. Methods Programs Biomed. 2020, 185, 105153. [Google Scholar] [CrossRef] [PubMed]
- Lartizien, C.; Rogez, M.; Niaf, E.; Ricard, F. Computer-Aided Staging of Lymphoma Patients With FDG PET/CT Imaging Based on Textural Information. IEEE J. Biomed. Health Inform. 2014, 18, 946–955. [Google Scholar] [CrossRef] [PubMed]
- Kenawy, M.A.; Khalil, M.M.; Abdelgawad, M.H.; El-Bahnasawy, H.H. Correlation of Texture Feature Analysis with Bone Marrow Infiltration in Initial Staging of Patients with Lymphoma Using 18F-Fluorodeoxyglucose Positron Emission Tomography Combined with Computed Tomography. Pol. J. Radiol. 2020, 85, 586–594. [Google Scholar] [CrossRef]
- Ben Bouallègue, F.; Tabaa, Y.A.; Kafrouni, M.; Cartron, G.; Vauchot, F.; Mariano-Goulart, D. Association between Textural and Morphological Tumor Indices on Baseline PET-CT and Early Metabolic Response on Interim PET-CT in Bulky Malignant Lymphomas. Med. Phys. 2017, 44, 4608–4619. [Google Scholar] [CrossRef]
- Lue, K.-H.; Wu, Y.-F.; Liu, S.-H.; Hsieh, T.-C.; Chuang, K.-S.; Lin, H.-H.; Chen, Y.-H. Intratumor Heterogeneity Assessed by 18F-FDG PET/CT Predicts Treatment Response and Survival Outcomes in Patients with Hodgkin Lymphoma. Acad. Radiol. 2020, 27, e183–e192. [Google Scholar] [CrossRef]
- Rodríguez Taroco, M.G.; Cuña, E.G.; Pages, C.; Schelotto, M.; González-Sprinberg, G.A.; Castillo, L.A.; Alonso, O. Prognostic Value of Imaging Markers from 18FDG-PET/CT in Paediatric Patients with Hodgkin Lymphoma. Nucl. Med. Commun. 2021, 42, 306–314. [Google Scholar] [CrossRef]
- Lue, K.-H.; Wu, Y.-F.; Liu, S.-H.; Hsieh, T.-C.; Chuang, K.-S.; Lin, H.-H.; Chen, Y.-H. Prognostic Value of Pretreatment Radiomic Features of 18F-FDG PET in Patients With Hodgkin Lymphoma. Clin. Nucl. Med. 2019, 44, e559–e565. [Google Scholar] [CrossRef] [PubMed]
- Milgrom, S.A.; Elhalawani, H.; Lee, J.; Wang, Q.; Mohamed, A.S.R.; Dabaja, B.S.; Pinnix, C.C.; Gunther, J.R.; Court, L.; Rao, A.; et al. A PET Radiomics Model to Predict Refractory Mediastinal Hodgkin Lymphoma. Sci. Rep. 2019, 9, 1322. [Google Scholar] [CrossRef] [PubMed]
- Sollini, M.; Kirienko, M.; Cavinato, L.; Ricci, F.; Biroli, M.; Ieva, F.; Calderoni, L.; Tabacchi, E.; Nanni, C.; Zinzani, P.L.; et al. Methodological Framework for Radiomics Applications in Hodgkin’s Lymphoma. Eur. J. Hybrid Imaging 2020, 4, 9. [Google Scholar] [CrossRef] [PubMed]
- Zwanenburg, A. Radiomics in Nuclear Medicine: Robustness, Reproducibility, Standardization, and How to Avoid Data Analysis Traps and Replication Crisis. Eur. J. Nucl. Med. Mol. Imaging 2019, 46, 2638–2655. [Google Scholar] [CrossRef] [PubMed]
- Driessen, J.; Zwezerijnen, G.J.; Schöder, H.; Drees, E.E.; Kersten, M.J.; Moskowitz, A.J.; Moskowitz, C.H.; Eertink, J.J.; De Vet, H.C.; Hoekstra, O.S.; et al. The Impact of Semi-Automatic Segmentation Methods on Metabolic Tumor Volume, Intensity and Dissemination Radiomics in 18F-FDG PET Scans of Patients with Classical Hodgkin Lymphoma. J. Nucl. Med. 2022, 63, 1424–1430. [Google Scholar] [CrossRef] [PubMed]
- Boellaard, R.; Delgado-Bolton, R.; Oyen, W.J.G.; Giammarile, F.; Tatsch, K.; Eschner, W.; Verzijlbergen, F.J.; Barrington, S.F.; Pike, L.C.; Weber, W.A.; et al. FDG PET/CT: EANM Procedure Guidelines for Tumour Imaging: Version 2.0. Eur. J. Nucl. Med. Mol. Imaging 2015, 42, 328–354. [Google Scholar] [CrossRef]
- Werner-Wasik, M.; Nelson, A.D.; Choi, W.; Arai, Y.; Faulhaber, P.F.; Kang, P.; Almeida, F.D.; Xiao, Y.; Ohri, N.; Brockway, K.D.; et al. What Is the Best Way to Contour Lung Tumors on PET Scans? Multiobserver Validation of a Gradient-Based Method Using a NSCLC Digital PET Phantom. Int. J. Radiat. Oncol. Biol. Phys. 2012, 82, 1164–1171. [Google Scholar] [CrossRef]
- Dibble, E.H.; Lara Alvarez, A.C.; Truong, M.-T.; Mercier, G.; Cook, E.F.; Subramaniam, R.M. 18F-FDG Metabolic Tumor Volume and Total Glycolytic Activity of Oral Cavity and Oropharyngeal Squamous Cell Cancer: Adding Value to Clinical Staging. J. Nucl. Med. 2012, 53, 709–715. [Google Scholar] [CrossRef]
- Dean, E.A.; Mhaskar, R.S.; Lu, H.; Mousa, M.S.; Krivenko, G.S.; Lazaryan, A.; Bachmeier, C.A.; Chavez, J.C.; Nishihori, T.; Davila, M.L.; et al. High Metabolic Tumor Volume Is Associated with Decreased Efficacy of Axicabtagene Ciloleucel in Large B-Cell Lymphoma. Blood Adv. 2020, 4, 3268–3276. [Google Scholar] [CrossRef]
- Triumbari, E.K.A.; Morland, D.; Cuccaro, A.; Maiolo, E.; Hohaus, S.; Annunziata, S. Classical Hodgkin Lymphoma: A Joint Clinical and PET Model to Predict Poor Responders at Interim Assessment. Diagnostics 2022, 12, 2325. [Google Scholar] [CrossRef]
- Dinapoli, N.; Alitto, A.R.; Vallati, M.; Gatta, R.; Autorino, R.; Boldrini, L.; Damiani, A.; Valentini, V. Moddicom: A Complete and Easily Accessible Library for Prognostic Evaluations Relying on Image Features. In Proceedings of the 2015 37th Annual International Conference of the IEEE Engineering in Medicine and Biology Society (EMBC), Milan, Italy, 25–29 August 2015; IEEE: Milan, Italy, 2015; pp. 771–774. [Google Scholar]
- R Core Team. R: A Language and Environment for Statistical Computing; R Foundation for Statistical Computing: Vienna, Austria, 2020; Available online: https://www.r-project.org/ (accessed on 12 December 2022).
- Zwanenburg, A.; Vallières, M.; Abdalah, M.A.; Aerts, H.J.W.L.; Andrearczyk, V.; Apte, A.; Ashrafinia, S.; Bakas, S.; Beukinga, R.J.; Boellaard, R.; et al. The Image Biomarker Standardization Initiative: Standardized Quantitative Radiomics for High-Throughput Image-Based Phenotyping. Radiology 2020, 295, 328–338. [Google Scholar] [CrossRef] [PubMed]
- Feres, C.C.P.; Nunes, R.F.; Teixeira, L.L.C.; Arcuri, L.J.; Perini, G.F. Baseline Total Metabolic Tumor Volume (TMTV) Application in Hodgkin Lymphoma: A Review Article. Clin. Transl. Imaging 2022, 10, 273–284. [Google Scholar] [CrossRef]
- Zaucha, J.M.; Chauvie, S.; Zaucha, R.; Biggii, A.; Gallamini, A. The Role of PET/CT in the Modern Treatment of Hodgkin Lymphoma. Cancer Treat. Rev. 2019, 77, 44–56. [Google Scholar] [CrossRef] [PubMed]
- Im, H.-J.; Bradshaw, T.; Solaiyappan, M.; Cho, S.Y. Current Methods to Define Metabolic Tumor Volume in Positron Emission Tomography: Which One Is Better? Nucl. Med. Mol. Imaging 2018, 52, 5–15. [Google Scholar] [CrossRef]
- Camacho, M.R.; Etchebehere, E.; Tardelli, N.; Delamain, M.T.; Vercosa, A.F.A.; Takahashi, M.E.S.; Brunetto, S.Q.; Metze, I.G.H.L.; Souza, C.A.; Cerci, J.J.; et al. Validation of a Multifocal Segmentation Method for Measuring Metabolic Tumor Volume in Hodgkin Lymphoma. J. Nucl. Med. Technol. 2020, 48, 30–35. [Google Scholar] [CrossRef]
- Wanet, M.; Lee, J.A.; Weynand, B.; De Bast, M.; Poncelet, A.; Lacroix, V.; Coche, E.; Grégoire, V.; Geets, X. Gradient-Based Delineation of the Primary GTV on FDG-PET in Non-Small Cell Lung Cancer: A Comparison with Threshold-Based Approaches, CT and Surgical Specimens. Radiother. Oncol. 2011, 98, 117–125. [Google Scholar] [CrossRef]
- Niman, R.; Buteau, J.P.; Kruzer, A.; Turcotte, Ã.; Nelson, A. Evaluation of a Semi-Automated Whole Body PET Segmentation Method Applied to Diffuse Large B Cell Lymphoma. J. Nucl. Med. 2018, 59, 592. [Google Scholar]
- Damsky, W.; Wang, A.; Young, B.D.; Ayasun, R.; Ryu, C.; McGeary, M.K.; Fazzone-Chettiar, R.; Pucar, D.; Gulati, M.; Miller, E.J.; et al. Treatment of Sarcoidosis with Cutaneous Involvement with Tofacitinib. medRixv 2021. [Google Scholar] [CrossRef]
- Kirienko, M.; Cozzi, L.; Antunovic, L.; Lozza, L.; Fogliata, A.; Voulaz, E.; Rossi, A.; Chiti, A.; Sollini, M. Prediction of Disease-Free Survival by the PET/CT Radiomic Signature in Non-Small Cell Lung Cancer Patients Undergoing Surgery. Eur. J. Nucl. Med. Mol. Imaging 2018, 45, 207–217. [Google Scholar] [CrossRef]
- Eertink, J.J.; Pfaehler, E.A.G.; Wiegers, S.E.; van de Brug, T.; Lugtenburg, P.J.; Hoekstra, O.S.; Zijlstra, J.M.; de Vet, H.C.W.; Boellaard, R. Quantitative Radiomics Features in Diffuse Large B-Cell Lymphoma: Does Segmentation Method Matter? J. Nucl. Med. 2022, 63, 389–395. [Google Scholar] [CrossRef]
- Lopez-Alonso, R.; Qi, S.; Mashiach, T.; Weiler-Sagie, M.; Yahalom, J.; Dann, E.J. The Presence of a Bulky Mediastinal Mass of 7 Cm or Greater in Diameter Confers an Adverse Prognosis to Patients with Advanced Hodgkin Lymphoma in Case of Negative Interim PET/CT. Leuk. Lymphoma 2021, 62, 1313–1324. [Google Scholar] [CrossRef] [PubMed]
- Xie, M.; Wu, K.; Liu, Y.; Jiang, Q.; Xie, Y. Predictive Value of F-18 FDG PET/CT Quantization Parameters in Diffuse Large B Cell Lymphoma: A Meta-Analysis with 702 Participants. Med. Oncol. 2015, 32, 446. [Google Scholar] [CrossRef] [PubMed]
- Tatsumi, M.; Isohashi, K.; Matsunaga, K.; Watabe, T.; Kato, H.; Kanakura, Y.; Hatazawa, J. Volumetric and Texture Analysis on FDG PET in Evaluating and Predicting Treatment Response and Recurrence after Chemotherapy in Follicular Lymphoma. Int J. Clin. Oncol. 2019, 24, 1292–1300. [Google Scholar] [CrossRef] [PubMed]
- Xia, X.; Wang, Y.; Yuan, J.; Sun, W.; Jiang, J.; Liu, C.; Zhang, Q.; Ma, X. Baseline SUVmax of 18F-FDG PET-CT Indicates Prognosis of Extranodal Natural Killer/T-Cell Lymphoma. Medicine 2020, 99, e22143. [Google Scholar] [CrossRef]
- Ganeshan, B.; Miles, K.A.; Babikir, S.; Shortman, R.; Afaq, A.; Ardeshna, K.M.; Groves, A.M.; Kayani, I. CT-Based Texture Analysis Potentially Provides Prognostic Information Complementary to Interim Fdg-Pet for Patients with Hodgkin’s and Aggressive Non-Hodgkin’s Lymphomas. Eur. Radiol. 2017, 27, 1012–1020. [Google Scholar] [CrossRef]
- Mayerhoefer, M.E.; Materka, A.; Langs, G.; Häggström, I.; Szczypiński, P.; Gibbs, P.; Cook, G. Introduction to Radiomics. J. Nucl. Med. 2020, 61, 488–495. [Google Scholar] [CrossRef]






| Acquisition Protocol | Scanner_1 Philips Gemini GXL | Scanner_2 Siemens Biograph mCT | |
|---|---|---|---|
| kV | 120 | ||
| mAs | 40–50 | ||
| CT | Image matrix size | 512 × 512 | |
| Voxel size (mm) | 3.5 × 3.5 × 5 | 0.97 × 0.97 × 3 | |
| Field of view | From skull base to mid-thighs | ||
| Reconstruction method | 3D-LOR-RAMLA No PSF No TOF | 3D-OSEM PSF TOF | |
| Iterations | 3 | 2 | |
| Subsets | 33 | 21 | |
| PET | Voxel size (mm) | 4 × 4 × 4 | 3.2 × 3.2 × 5 |
| Filters applied | Gaussian filter 5 mm | Gaussian filter 2 mm | |
| Axial matrix size | 128 × 128 | 400 × 400 | |
| Minutes per bed position | 3 | 2.5 | |
| Field-of-view | From skull base to mid-thighs | ||
| Sex: n (%) | |
| Male | 110 (48.5%) |
| Female | 117 (51.5%) |
| Age at diagnosis: years | |
| Mean (Range) | 40 (16–83) |
| Ann Arbor Stage: n (%) | |
| I | 3 (1.3%) |
| II | 114 (50.2%) |
| III | 38 (16.8%) |
| IV | 72 (31.7%) |
| Bulk: n (%) | |
| Yes | 45 (19.8%) |
| No | 182 (80.2%) |
| Disease sites: n (%) | |
| Only nodal | 117 (51.5%) |
| Nodal and extranodal | 110 (48.5%) |
| Histological subtype: n (%) | |
| Nodular sclerosing | 174 (76.6%) |
| Mixed cellularity | 12 (5.3%) |
| Lymphocyte-rich | 6 (2.7%) |
| Lymphocyte-depleted | 5 (2.2%) |
| cHL-NOS | 30 (13.2%) |
| PCT: n (%) | |
| ABVD/MBVD | 208 (91.6%) |
| BEACOPP | 13 (5.7%) |
| Other | 6 (2.7%) |
| Post-PCT radiotherapy on involved field | 185 (81.5%) |
| Therapy escalation during PCT | 22 (9.7%) |
| PET/CT Parameters | Lesion_A | Lesion_B |
|---|---|---|
| Dmax (cm) | ||
| Mean | 4.45 | 2.09 |
| Median | 9 | 1 |
| Range | 0.58–11.13 | 0.34–6.43 |
| DS-corr (p) | 0.001 * | 0.483 |
| PFS-corr (p) | 0.009 * | 0.019 * |
| SUVmax | ||
| Mean | 14.44 | 13.41 |
| Median | 21 | 11.5 |
| Range | 2.55–66 | 2.19–39.13 |
| DS-corr (p) | 0.032 * | 0.062 |
| PFS-corr (p) | 0.011 * | 0.021 * |
| SUVmean | ||
| Mean | 6.7 | 8 |
| Median | 8 | 14 |
| Range | 1.28–22.14 | 1.5–27.68 |
| DS-corr (p) | 0.299 | 0.235 |
| PFS-corr (p) | 0.012 * | 0.021 * |
| MTV40 (mL) | ||
| Mean | 77.97 | 9.08 |
| Median | 55 | 4 |
| Range | 0.1–721.16 | 0.02–139.19 |
| DS-corr (p) | 0.001 * | 0.485 |
| PFS-corr (p) | 0.017 * | 0.025 * |
| TMTV (mL) | ||
| Mean | 237.77 | |
| Median | 331.5 | |
| Range | 0.73–1145.68 | |
| DS-corr (p) | 0.0005 * | |
| PFS-corr (p) | 0.003 * | |
Disclaimer/Publisher’s Note: The statements, opinions and data contained in all publications are solely those of the individual author(s) and contributor(s) and not of MDPI and/or the editor(s). MDPI and/or the editor(s) disclaim responsibility for any injury to people or property resulting from any ideas, methods, instructions or products referred to in the content. |
© 2023 by the authors. Licensee MDPI, Basel, Switzerland. This article is an open access article distributed under the terms and conditions of the Creative Commons Attribution (CC BY) license (https://creativecommons.org/licenses/by/4.0/).
Share and Cite
Triumbari, E.K.A.; Gatta, R.; Maiolo, E.; De Summa, M.; Boldrini, L.; Mayerhoefer, M.E.; Hohaus, S.; Nardo, L.; Morland, D.; Annunziata, S. Baseline 18F-FDG PET/CT Radiomics in Classical Hodgkin’s Lymphoma: The Predictive Role of the Largest and the Hottest Lesions. Diagnostics 2023, 13, 1391. https://doi.org/10.3390/diagnostics13081391
Triumbari EKA, Gatta R, Maiolo E, De Summa M, Boldrini L, Mayerhoefer ME, Hohaus S, Nardo L, Morland D, Annunziata S. Baseline 18F-FDG PET/CT Radiomics in Classical Hodgkin’s Lymphoma: The Predictive Role of the Largest and the Hottest Lesions. Diagnostics. 2023; 13(8):1391. https://doi.org/10.3390/diagnostics13081391
Chicago/Turabian StyleTriumbari, Elizabeth Katherine Anna, Roberto Gatta, Elena Maiolo, Marco De Summa, Luca Boldrini, Marius E. Mayerhoefer, Stefan Hohaus, Lorenzo Nardo, David Morland, and Salvatore Annunziata. 2023. "Baseline 18F-FDG PET/CT Radiomics in Classical Hodgkin’s Lymphoma: The Predictive Role of the Largest and the Hottest Lesions" Diagnostics 13, no. 8: 1391. https://doi.org/10.3390/diagnostics13081391
APA StyleTriumbari, E. K. A., Gatta, R., Maiolo, E., De Summa, M., Boldrini, L., Mayerhoefer, M. E., Hohaus, S., Nardo, L., Morland, D., & Annunziata, S. (2023). Baseline 18F-FDG PET/CT Radiomics in Classical Hodgkin’s Lymphoma: The Predictive Role of the Largest and the Hottest Lesions. Diagnostics, 13(8), 1391. https://doi.org/10.3390/diagnostics13081391

