Prediction of Heart Disease Based on Machine Learning Using Jellyfish Optimization Algorithm
Abstract
1. Introduction
2. Material and Method
2.1. Dataset
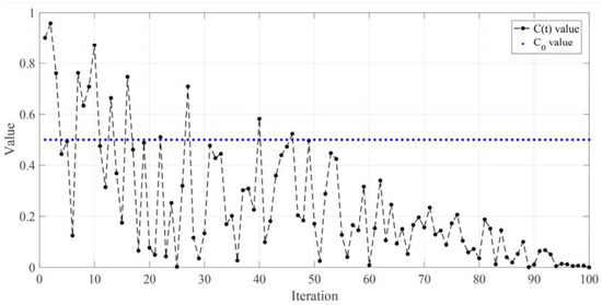
2.2. Feature Selection and Dimension Reduce
- A walker or jellyfish either follows the ocean current or moves within the group and can switch between the two modes intermittently;
- The jellyfish move in the ocean in search of food. They are more attracted to places where there is a lot of food;
- The amount of food found is determined by the location and function of the target.
2.3. Machine Learning Algorithms
2.4. Methodology
3. Experimental Test Results
3.1. Performance Metrics
3.2. Test Results
4. Conclusions
Author Contributions
Funding
Institutional Review Board Statement
Informed Consent Statement
Data Availability Statement
Conflicts of Interest
References
- World Health Organization. World Health Statistics 2021; World Health Organization: Geneva, Switzerland, 2021. [Google Scholar]
- Iswisi, A.F.A.; Karan, O.; Rahebi, J. Diagnosis of Multiple Sclerosis Disease in Brain Magnetic Resonance Imaging Based on the Harris Hawks Optimization Algorithm. BioMed Res. Int. 2021, 2021, 3248834. [Google Scholar] [CrossRef] [PubMed]
- Al-Safi, H.; Munilla, J.; Rahebi, J. Harris Hawks Optimization (HHO) Algorithm based on Artificial Neural Network for Heart Disease Diagnosis. In Proceedings of the 2021 IEEE International Conference on Mobile Networks and Wireless Communications (ICMNWC), Tumkur, India, 3–4 December 2021; pp. 1–5. [Google Scholar]
- Ternacle, J.; Côté, N.; Krapf, L.; Nguyen, A.; Clavel, M.-A.; Pibarot, P. Chronic kidney disease and the pathophysiology of valvular heart disease. Can. J. Cardiol. 2019, 35, 1195–1207. [Google Scholar] [CrossRef] [PubMed]
- House, A.A.; Wanner, C.; Sarnak, M.J.; Piña, I.L.; McIntyre, C.W.; Komenda, P.; Kasiske, B.L.; Deswal, A.; DeFilippi, C.R.; Cleland, J.G.F. Heart failure in chronic kidney disease: Conclusions from a Kidney Disease: Improving Global Outcomes (KDIGO) Controversies Conference. Kidney Int. 2019, 95, 1304–1317. [Google Scholar] [CrossRef] [PubMed]
- Nguyen, T.; Wang, Z.A. Cardiovascular screening and early detection of heart disease in adults with chronic kidney disease. J. Nurse Pract. 2019, 15, 34–40. [Google Scholar] [CrossRef]
- Liu, R.; Ren, C.; Fu, M.; Chu, Z.; Guo, J. Platelet Detection Based on Improved YOLO_v3. Cyborg Bionic Syst. 2022, 2022, 9780569. [Google Scholar] [CrossRef] [PubMed]
- Mohamed, A.A.A.; Hançerlioğullari, A.; Rahebi, J.; Ray, M.K.; Roy, S. Colon Disease Diagnosis with Convolutional Neural Network and Grasshopper Optimization Algorithm. Diagnostics 2023, 13, 1728. [Google Scholar] [CrossRef] [PubMed]
- Rahebi, J. Fishier mantis optimiser: A swarm intelligence algorithm for clustering images of COVID-19 pandemic. Int. J. Nanotechnol. 2023, 20, 25–49. [Google Scholar] [CrossRef]
- Al Shalchi, N.F.A.; Rahebi, J. Human retinal optic disc detection with grasshopper optimization algorithm. Multimed. Tools Appl. 2022, 81, 24937–24955. [Google Scholar] [CrossRef]
- Sameni, R.; Clifford, G.D. A review of fetal ECG signal processing; issues and promising directions. Open Pacing Electrophysiol. Ther. J. 2010, 3, 4–20. [Google Scholar] [CrossRef] [PubMed]
- Al-Safi, H.; Munilla, J.; Rahebi, J. Patient privacy in smart cities by blockchain technology and feature selection with Harris Hawks Optimization (HHO) algorithm and machine learning. Multimed. Tools Appl. 2022, 81, 8719–8743. [Google Scholar] [CrossRef] [PubMed]
- Zou, J.; Li, Q.; Yang, S.; Zheng, J.; Peng, Z.; Pei, T. A dynamic multiobjective evolutionary algorithm based on a dynamic evolutionary environment model. Swarm Evol. Comput. 2019, 44, 247–259. [Google Scholar] [CrossRef]
- Chong, E.K.P.; Zak, S.H. An Introduction to Optimization; John Wiley & Sons: Hoboken, NJ, USA, 2004; ISBN 0471654000. [Google Scholar]
- Rashid, T. Make Your Own Neural Network; CreateSpace Independent Publishing Platform: Scotts Valley, CA, USA, 2016; ISBN 1530826608. [Google Scholar]
- Anderson, J.; Rainie, L.; Luchsinger, A. Artificial intelligence and the future of humans. Pew Res. Cent. 2018, 10, 12. [Google Scholar]
- Dubey, A.K.; Choudhary, K.; Sharma, R. Predicting Heart Disease Based on Influential Features with Machine Learning. Intell. Autom. Soft Comput. 2021, 30, 929–943. [Google Scholar] [CrossRef]
- Karthick, K.; Aruna, S.K.; Samikannu, R.; Kuppusamy, R.; Teekaraman, Y.; Thelkar, A.R. Implementation of a heart disease risk prediction model using machine learning. Comput. Math. Methods Med. 2022, 2022, 6517716. [Google Scholar] [CrossRef] [PubMed]
- Veisi, H.; Ghaedsharaf, H.R.; Ebrahimi, M. Improving the Performance of Machine Learning Algorithms for Heart Disease Diagnosis by Optimizing Data and Features. Soft Comput. J. 2021, 8, 70–85. [Google Scholar]
- Sarra, R.R.; Dinar, A.M.; Mohammed, M.A.; Abdulkareem, K.H. Enhanced heart disease prediction based on machine learning and χ2 statistical optimal feature selection model. Designs 2022, 6, 87. [Google Scholar] [CrossRef]
- Singh, A.; Kumar, R. Heart disease prediction using machine learning algorithms. In Proceedings of the 2020 International Conference on Electrical and Electronics Engineering (ICE3), Gorakhpur, India, 14–15 February 2020; pp. 452–457. [Google Scholar]
- Sahoo, G.K.; Kanike, K.; Das, S.K.; Singh, P. Machine Learning-Based Heart Disease Prediction: A Study for Home Personalized Care. In Proceedings of the 2022 IEEE 32nd International Workshop on Machine Learning for Signal Processing (MLSP), Xi’an, China, 22–25 August 2022; pp. 1–6. [Google Scholar]
- Khdair, H. Exploring Machine Learning Techniques for Coronary Heart Disease Prediction. 2021. Available online: https://thesai.org/Publications/ViewPaper?Volume=12&Issue=5&Code=IJACSA&SerialNo=5 (accessed on 12 April 2023).
- Ahmad, G.N.; Fatima, H.; Abbas, M.; Rahman, O.; Alqahtani, M.S. Mixed machine learning approach for efficient prediction of human heart disease by identifying the numerical and categorical features. Appl. Sci. 2022, 12, 7449. [Google Scholar] [CrossRef]
- Chou, J.-S.; Truong, D.-N. A novel metaheuristic optimizer inspired by behavior of jellyfish in ocean. Appl. Math. Comput. 2021, 389, 125535. [Google Scholar] [CrossRef]
- Acharya, U.R.; Fujita, H.; Oh, S.L.; Raghavendra, U.; Tan, J.H.; Adam, M.; Gertych, A.; Hagiwara, Y. Automated identification of shockable and non-shockable life-threatening ventricular arrhythmias using convolutional neural network. Futur. Gener. Comput. Syst. 2018, 79, 952–959. [Google Scholar] [CrossRef]
- Yao, Q.; Wang, R.; Fan, X.; Liu, J.; Li, Y. Multi-class arrhythmia detection from 12-lead varied-length ECG using attention-based time-incremental convolutional neural network. Inf. Fusion 2020, 53, 174–182. [Google Scholar] [CrossRef]










| Order | Feature | Description | Feature Value Range |
|---|---|---|---|
| 1 | Age | Age in years | 29 to 77 |
| 2 | Sex | Gender | Value 1 = male Value 0 = female |
| 3 | Cp | Chest pain type | Value 0: typical angina Value 1: atypical angina Value 2: non-anginal pain Value 3: asymptomatic |
| 4 | Trestbps | Resting blood pressure (in mm Hg on admission to the hospital) | 94 to 200 |
| 5 | Chol | Serum cholesterol in mg/dL | 126 to 564 |
| 6 | Fbs | Fasting blood sugar > 120 mg/dL | Value 1 = true Value 0 = false |
| 7 | Restecg | Resting electrocardiographic results | Value 0: Normal Value 1: having ST-T wave abnormality (T wave inversions and/or ST elevation or depression of >0.05 mV) Value 2: showing probable or definite left ventricular hypertrophy by Estes’ criteria |
| 8 | Thalach | Maximum heart rate achieved | 71 to 202 |
| 9 | Exang | Exercise-induced angina | Value 1 = yes Value 0 = no |
| 10 | Oldpeak | Stress test depression induced by exercise relative to rest | 0 to 6.2 |
| 11 | Slope | The slope of the peak exercise ST segment | Value 0: upsloping Value 1: flat Value 2: downsloping |
| 12 | Ca | Number of major vessels | Number of major vessels (0–3) colored by fluoroscopy |
| 13 | Thal | Thallium heart rate | Value 0 = normal; Value 1 = fixed defect; Value 2 = reversible defect |
| 14 | Target | Diagnosis of heart disease | Value 0 = no disease Value 1 = disease |
| Model | Sensitivity (%) | Specificity (%) | Accuracy (%) | AUC (%) |
|---|---|---|---|---|
| ANN | 97.53 | 98.63 | 98.08 | 69.03 |
| Decision Tree | 97.69 | 97.17 | 97.43 | 75.83 |
| AdaBoost | 97.22 | 98.47 | 97.84 | 78.82 |
| SVM | 98.21 | 97.96 | 98.09 | 90.21 |
| Model with JF | Sensitivity (%) | Specificity (%) | Accuracy (%) | AUC (%) |
|---|---|---|---|---|
| ANN with JF | 98.22 | 98.89 | 97.99 | 79.33 |
| DT with JF | 98.07 | 98.34 | 97.55 | 81.98 |
| AdaBoost with JF | 98.12 | 98.07 | 98.24 | 84.92 |
| SVM with JF | 98.56 | 98.37 | 98.47 | 94.48 |
| Reference | Dataset | Accuracy (%) |
|---|---|---|
| [17] | Cleveland and Statlog heart dataset | 89 |
| [18] | Cleveland heart dataset | 88.5 |
| [19] | Cleveland heart dataset | 94.6 |
| [20] | Cleveland and Statlog heart dataset | 85.29 |
| [21] | Cleveland heart dataset | 91.8 |
| [22] | Cleveland heart dataset | 90.16 |
| [23] | South African heart dataset | 78.1 |
| Proposed method | Cleveland heart disease dataset | 98.47 |
Disclaimer/Publisher’s Note: The statements, opinions and data contained in all publications are solely those of the individual author(s) and contributor(s) and not of MDPI and/or the editor(s). MDPI and/or the editor(s) disclaim responsibility for any injury to people or property resulting from any ideas, methods, instructions or products referred to in the content. |
© 2023 by the authors. Licensee MDPI, Basel, Switzerland. This article is an open access article distributed under the terms and conditions of the Creative Commons Attribution (CC BY) license (https://creativecommons.org/licenses/by/4.0/).
Share and Cite
Ahmad, A.A.; Polat, H. Prediction of Heart Disease Based on Machine Learning Using Jellyfish Optimization Algorithm. Diagnostics 2023, 13, 2392. https://doi.org/10.3390/diagnostics13142392
Ahmad AA, Polat H. Prediction of Heart Disease Based on Machine Learning Using Jellyfish Optimization Algorithm. Diagnostics. 2023; 13(14):2392. https://doi.org/10.3390/diagnostics13142392
Chicago/Turabian StyleAhmad, Ahmad Ayid, and Huseyin Polat. 2023. "Prediction of Heart Disease Based on Machine Learning Using Jellyfish Optimization Algorithm" Diagnostics 13, no. 14: 2392. https://doi.org/10.3390/diagnostics13142392
APA StyleAhmad, A. A., & Polat, H. (2023). Prediction of Heart Disease Based on Machine Learning Using Jellyfish Optimization Algorithm. Diagnostics, 13(14), 2392. https://doi.org/10.3390/diagnostics13142392

