Infant Cry Signal Diagnostic System Using Deep Learning and Fused Features
Abstract
1. Introduction
2. Literature Review
3. Methodology
3.1. Data Acquisition
3.2. CAS Preprocessing
3.3. CAS Feature Extraction and Fusion
3.4. CAS Classification Model
3.4.1. Support Vector Machine (SVM)
3.4.2. Random Forest (RF)
3.4.3. Deep Learning Approach
4. Experiments and Results
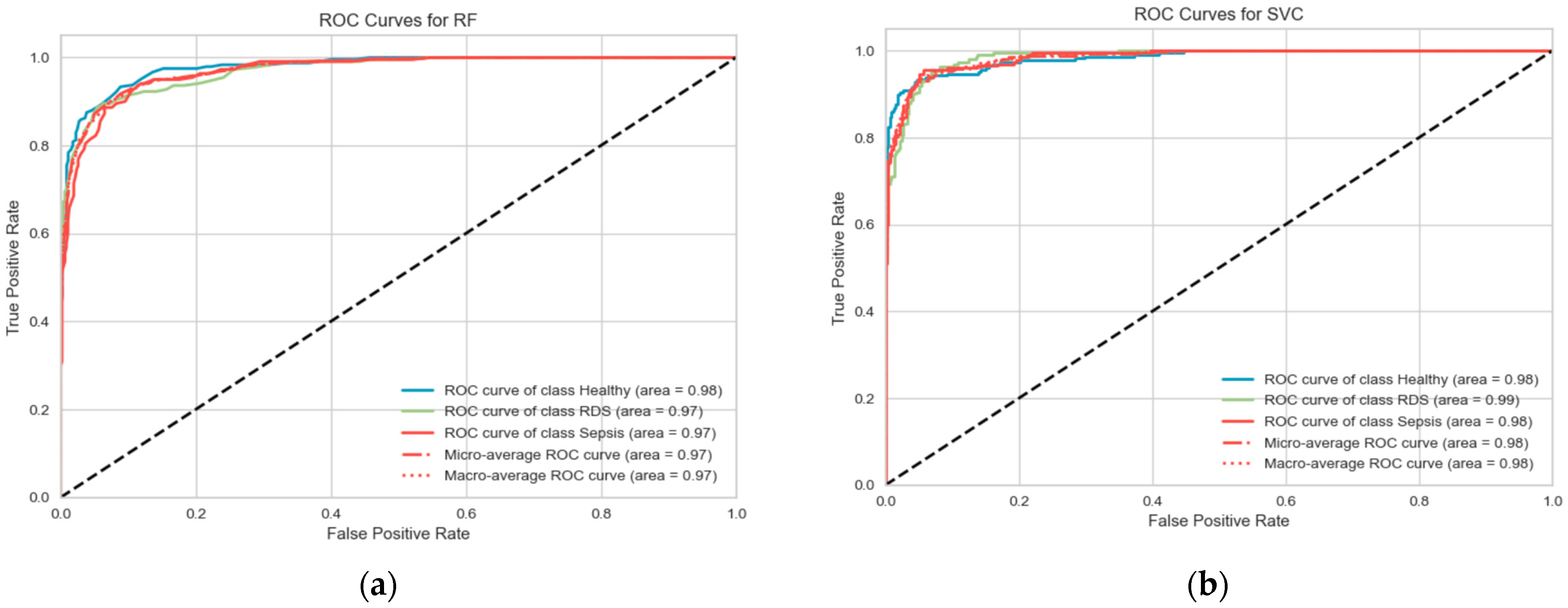
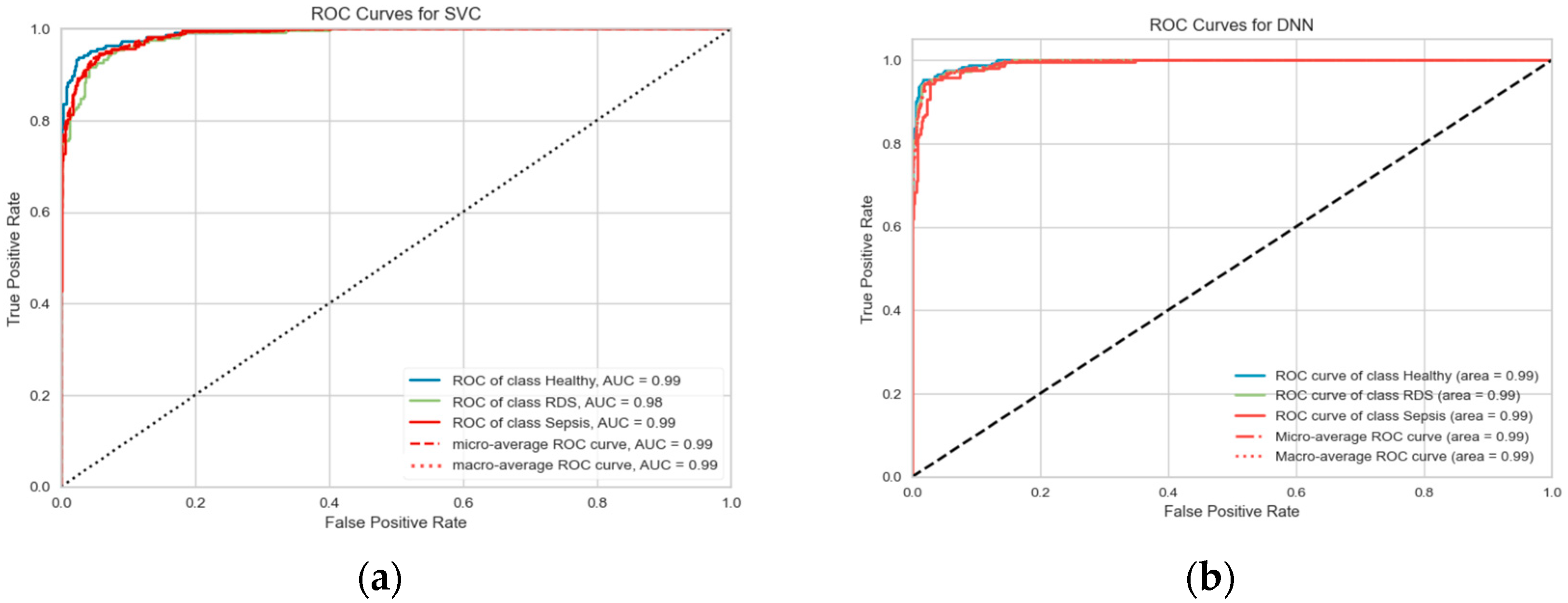
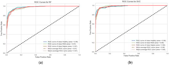
4.1. GFCC and HR Features Simple Concatenation
4.2. Spectrogram, HR, and GFCC Fusion (Through Input and through the Learning Process)
5. Discussion
6. Conclusions
Author Contributions
Funding
Institutional Review Board Statement
Informed Consent Statement
Data Availability Statement
Conflicts of Interest
References
- World Health Organization. Newborn Mortality. Available online: https://www.who.int/news-room/fact-sheets/detail/levels-and-trends-in-child-mortality-report-2021 (accessed on 17 February 2023).
- World Health Organization. Newborns: Improving Survival and Well-Being. 2020. Available online: https://www.who.int/news-room/fact-sheets/detail/newborns-reducing-mortality (accessed on 12 November 2022).
- Sood, B.G.; Thomas, R.; Delaney-Black, V.; Xin, Y.; Sharma, A.; Chen, X. Aerosolized Beractant in neonatal respiratory distress syndrome: A randomized fixed-dose parallel-arm phase II trial. In Pulmonary Pharmacology and Therapeutics; Academic Press: Cambridge, MA, USA, 2021. [Google Scholar] [CrossRef]
- Alfarwati, T.W.; Alamri, A.A.; Alshahrani, M.A.; Al-Wassia, H. Incidence, Risk factors and Outcome of Respiratory Distress Syndrome in Term Infants at Academic Centre, Jeddah, Saudi Arabia. Med. Arch. 2019, 73, 183–186. [Google Scholar] [CrossRef]
- Mortality in the United States, 2020. December 2021. Available online: https://doi.org/10.15620/CDC:112079 (accessed on 23 December 2022).
- ARDS—Diagnosis and Treatment—Mayo Clinic. Available online: https://www.mayoclinic.org/diseases-conditions/ards/diagnosis-treatment/drc-20355581 (accessed on 18 November 2022).
- Turhan, E.E.; Gürsoy, T.; Ovalı, F. Factors which affect mortality in neonatal sepsis. Turk. Arch. Pediatr. 2015, 50, 170–175. [Google Scholar] [CrossRef] [PubMed]
- Khalilzad, Z.; Hasasneh, A.; Tadj, C. Newborn Cry-Based Diagnostic System to Distinguish between Sepsis and Respiratory Distress Syndrome Using Combined Acoustic Features. Diagnostics 2022, 12, 2802. [Google Scholar] [CrossRef]
- Kheddache, Y.; Tadj, C. Identification of diseases in newborns using advanced acoustic features of cry signals. Biomed. Signal Process. Control 2019, 50, 35–44. [Google Scholar] [CrossRef]
- Liu, L.; Li, W.; Wu, X.; Zhou, B.X. Infant cry language analysis and recognition: An experimental approach. IEEE/CAA J. Autom. Sin. 2019, 6, 778–788. [Google Scholar] [CrossRef]
- Ji, C. Infant Cry Signal Processing, Analysis, and Classification with Artificial Neural Networks. Ph.D. Thesis, Georgia State University, Atlanta, GA, USA, 2021. [Google Scholar] [CrossRef]
- Mampe, B.; Friederici, A.D.; Christophe, A.; Wermke, K. Newborns’ Cry Melody Is Shaped by Their Native Language. Curr. Biol. 2009, 19, 1994–1997. [Google Scholar] [CrossRef] [PubMed]
- Mukhopadhyay, J.; Saha, B.; Majumdar, B.; Majumdar, A.K.; Gorain, S.; Arya, B.K.; Das Bhattacharya, S.; Singh, A. An Evaluation of Human Perception For Neonatal Cry Using a Database of Cry and Underlying Cause. In Proceedings of the 2013 Indian Conference on Medical Informatics and Telemedicine (ICMIT), Kharagpur, India, 28–30 March 2013; pp. 64–67. [Google Scholar] [CrossRef]
- Ji, C.; Mudiyanselage, T.B.; Gao, Y.; Pan, Y. A review of infant cry analysis and classification. Eurasip J. Audio Speech Music. Process. 2021, 2021, 8. [Google Scholar] [CrossRef]
- Barr, R.; Hopkins, B.; Londen, G. Book Reviews: Crying as a Sign, Symptom & a Signal; Cambridge University Press: Cambridge, UK, 2006. [Google Scholar]
- Ferretti, D.; Severini, M.; Principi, E.; Cenci, A.; Squartini, S. Infant Cry Detection in Adverse Acoustic Environments by Using Deep Neural Networks. In Proceedings of the 2018 26th European Signal Processing Conference (EUSIPCO), Rome, Italy, 3–7 September 2018; pp. 992–996. [Google Scholar] [CrossRef]
- Yao, X.; Micheletti, M.; Johnson, M.; Thomaz, E.; de Barbaro, K. Infant Crying Detection in Real-World Environments. arXiv 2020, arXiv:2005.07036. [Google Scholar]
- Micheletti, M.; Yao, X.; Johnson, M.; de Barbaro, K. Validating a model to detect infant crying from naturalistic audio. Behav. Res. Methods 2022. [Google Scholar] [CrossRef] [PubMed]
- IJzerman, H.; Cohen, R.; Ruinskiy, D.; Zickfeld, J.; Lavner, Y. Baby Cry Detection: Deep Learning and Classical Approaches. In Development and Analysis of Deep Learning Architectures. Studies in Computational Intelligence; Springer: Cham, Switzerland, 2020; Volume 867. [Google Scholar] [CrossRef]
- Alaie, H.F.; Abou-Abbas, L.; Tadj, C. Cry-based infant pathology classification using GMMs. Speech Commun. 2016, 77, 28–52. [Google Scholar] [CrossRef]
- Hariharan, M.; Sindhu, R.; Yaacob, S. Normal and hypoacoustic infant cry signal classification using time-frequency analysis and general regression neural network. Methods Programs Biomed. 2012, 108, 559–569. [Google Scholar] [CrossRef]
- Ji, C.; Xiao, X.; Basodi, S.; Pan, Y. Deep Learning for Asphyxiated Infant Cry Classification Based on Acoustic Features and Weighted Prosodic Features. In Proceedings of the 2019 International Conference on Internet of Things (iThings) and IEEE Green Computing and Communications (GreenCom) and IEEE Cyber, Physical and Social Computing (CPSCom) and IEEE Smart Data (SmartData), Atlanta, GA, USA, 14–17 July 2019; pp. 1233–1240. [Google Scholar] [CrossRef]
- Badreldine, O.M.; Elbeheiry, N.A.; Nashaat, A.; Haroon, M.; Elshehaby, S.; Marzook, E.M. Automatic Diagnosis of Asphyxia Infant Cry Signals Using Wavelet Based Mel Frequency Cepstrum Features. In Proceedings of the 2018 14th International Computer Engineering Conference (ICENCO), Cairo, Egypt, 29–30 December 2018; pp. 96–100. [Google Scholar] [CrossRef]
- Zabidi, A.; Yassin, I.; Hassan, H.; Ismail, N.; Hamzah, M.; Rizman, Z.; Abidin, H. Detection of asphyxia in infants using deep learning Convolutional Neural Network (CNN) trained on Mel Frequency Cepstrum Coefficient (MFCC) features extracted from cry sounds. J. Fundam. Appl. Sci. 2018, 9, 768. [Google Scholar] [CrossRef]
- Zabidi, A.; Khuan, L.Y.; Mansor, W.; Yassin, I.M.; Sahak, R. Detection of Infant Hypothyroidism with Mel Frequency Cepstrum Analysis and Multi-Layer Perceptron Classification. In Proceedings of the 2010 6th International Colloquium on Signal Processing & its Applications, Malacca, Malaysia, 21–23 May 2010; pp. 1–5. [Google Scholar] [CrossRef]
- Matikolaie, F.S.; Tadj, C. On the use of long-term features in a newborn cry diagnostic system. Biomed. Signal Process. Control. 2020, 59, 101889. [Google Scholar] [CrossRef]
- Wu, K.; Zhang, C.; Wu, X.; Wu, D.; Niu, X. Research on Acoustic Feature Extraction of Crying for Early Screening of Children with Autism. In Proceedings of the 2019 34rd Youth Academic Annual Conference of Chinese Association of Automation (YAC), Jinzhou, China, 6–8 June 2019; pp. 290–295. [Google Scholar] [CrossRef]
- Liang, Y.C.; Wijaya, I.; Yang, M.T.; Juarez, J.R.C.; Chang, H.T. Deep Learning for Infant Cry Recognition. Int. J. Environ. Res. Public Health 2022, 19, 6311. [Google Scholar] [CrossRef]
- Chang, C.-Y.; Li, J.-J. Application of Deep Learning for Recognizing Infant Cries. In Proceedings of the International Conference on Consumer Electronics-Taiwan, Nantou, Taiwan, 27–29 May 2016. [Google Scholar]
- Sachin, M.U.; Nagaraj, R.; Samiksha, M.; Rao, S.; Moharir, M. GPU based Deep Learning to Detect Asphyxia in Neonates. Indian Indian J. Sci. Technol. 2017, 10, 1–5. [Google Scholar] [CrossRef]
- Lahmiri, S.; Tadj, C.; Gargour, C.; Bekiros, S. Deep learning systems for automatic diagnosis of infant cry signals. Chaos Solitons Fractals 2022, 154, 111700. [Google Scholar] [CrossRef]
- Ashwini, K.; Vincent, P.M.D.R.; Srinivasan, K.; Chang, C.Y. Deep Learning Assisted Neonatal Cry Classification via Support Vector Machine Models. Front. Public Health 2021, 9, 670352. [Google Scholar] [CrossRef]
- Rani, P.; Kumar, P.; Immanuel, V. Baby Cry Classification Using Machine Learning. Int. J. Innov. Sci. Res. Technol. 2022, 7. Available online: www.ijisrt.com (accessed on 22 February 2023).
- Matikolaie, F.S.; Kheddache, Y.; Tadj, C. Automated newborn cry diagnostic system using machine learning approach. Biomed. Signal Process. Control. 2022, 73, 103434. [Google Scholar] [CrossRef]
- Lakshmi, C.C.; Deeksha, A.B.; Deeksha, S. Predicting the Reason for the Baby Cry Using Machine Learning. J. Artif. Intell. Mach. Learn. Soft Comput. 2019, 4, 11–25. [Google Scholar] [CrossRef]
- Joshi, V.R.; Srinivasan, K.; Vincent, P.M.D.R.; Rajinikanth, V.; Chang, C.Y. A Multistage Heterogeneous Stacking Ensemble Model for Augmented Infant Cry Classification. Front. Public Health 2022, 10, 819865. [Google Scholar] [CrossRef]
- Patil, A.T.; Kachhi, A.; Patil, H.A. Subband Teager Energy Representations for Infant Cry Analysis and Classification. In Proceedings of the 2022 30th European Signal Processing Conference (EUSIPCO), Belgrade, Serbia, 29 August–2 September 2022; pp. 313–1317. [Google Scholar] [CrossRef]
- Liu, L.; Li, Y.; Kuo, K. Infant cry signal detection, pattern extraction and recognition. In Proceedings of the 2018 International Conference on Information and Computer Technologies (ICICT), DeKalb, IL, USA, 23–25 March 2018; pp. 159–163. [Google Scholar] [CrossRef]
- Orlandi, S.; Garcia, C.A.R.; Bandini, A.; Donzelli, G.; Manfredi, C. Application of Pattern Recognition Techniques to the Classification of Full-Term and Preterm Infant Cry. J. Voice 2016, 30, 656–663. [Google Scholar] [CrossRef] [PubMed]
- Chaiwachiragompol, A.; Suwannata, N. The Study of Learning System for Infant Cry Classification Using Discrete Wavelet Transform and Extreme Machine Learning. Ing. Syst. D’inf. 2022, 27, 433–440. [Google Scholar] [CrossRef]
- Felipe, G.Z.; Aguiar, R.L.; Costa, Y.M.G.; Silla, C.N.; Brahnam, S.; Nanni, L.; McMurtrey, S. Identification of Infants Cry Motivation Using Spectrograms. In Proceedings of the 2019 International Conference on Systems, Signals and Image Processing (IWSSIP), Osijek, Croatia, 5–7 June 2019; pp. 181–186. [Google Scholar] [CrossRef]
- Satar, M.; Cengizler, C.; Hamitoglu, S.; Ozdemir, M. Audio Analysis Based Diagnosis of Hypoxic Ischemic Encephalopathy in Newborns. 2022. Available online: www.ijabe.online (accessed on 1 March 2023).
- Lahmiri, S.; Tadj, C.; Gargour, C. Biomedical Diagnosis of Infant Cry Signal Based on Analysis of Cepstrum by Deep Feedforward Artificial Neural Networks. IEEE Instrum. Meas. Mag. 2021, 24, 24–29. [Google Scholar] [CrossRef]
- Ji, C.; Basodi, S.; Xiao, X.; Pan, Y. Infant Sound Classification on Multi-stage CNNs with Hybrid Features and Prior Knowledge. In Artificial Intelligence and Mobile Services—AIMS 2020; Xu, R., De, W., Zhong, W., Tian, L., Bai, Y., Zhang, L.-J., Eds.; Springer International Publishing: Cham, Switzerland, 2020; pp. 3–16. [Google Scholar]
- Ting, H.-N.; Choo, Y.-M.; Kamar, A.A. Classification of asphyxia infant cry using hybrid speech features and deep learning models. Expert Syst. Appl. 2022, 208, 118064. [Google Scholar] [CrossRef]
- Kheddache, Y.; Tadj, C. Resonance frequencies behavior in pathologic cries of newborns. J. Voice 2015, 29, 1–12. [Google Scholar] [CrossRef]
- Chang, C.Y.; Bhattacharya, S.; Vincent, P.M.D.R.; Lakshmanna, K.; Srinivasan, K. An Efficient Classification of Neonates Cry Using Extreme Gradient Boosting-Assisted Grouped-Support-Vector Network. J. Healthc. Eng. 2021, 2021, 7517313. [Google Scholar] [CrossRef]
- Bala, J.; Raja, C.; Sivaraman, S. Infant cry classification using random forest algorithm. J. Med. Syst. 2020. [Google Scholar]
- Zayed, Y.; Salman, Y.; Hasasneh, A. A Recommendation System for Selecting the Appropriate Undergraduate Program at Higher Education Institutions Using Graduate Student Data. Appl. Sci. 2022, 12, 12525. [Google Scholar] [CrossRef]
- Hong, W.C. Electric load forecasting by support vector model. Appl. Math. Model. 2009, 33, 2444–2454. [Google Scholar] [CrossRef]
- Thongkam, J.; Xu, G.; Zhang, Y.; Huang, F. Support Vector Machine for Outlier Detection in Breast Cancer Survivability Prediction. In Advanced Web and Network Technologies, and Applications. APWeb 2008. Lecture Notes in Computer Science; Springer: Berlin/Heidelberg, Germany, 2008; Volume 4977, pp. 99–109. [Google Scholar]
- Deris, A.M.; Zain, A.M.; Sallehuddin, R. Overview of support vector machine in modeling machining performances. Procedia Eng. 2011, 24, 308–312. [Google Scholar] [CrossRef]
- Sklearn.Ensemble.RandomForestClassifier—Scikit-Learn 1.2.0 Documentation. Available online: https://scikit-learn.org/stable/modules/generated/sklearn.ensemble.RandomForestClassifier.html (accessed on 15 December 2022).
- Hasasneh, A.; Frenoux, E.; Tarroux, P. Semantic place recognition based on deep belief networks and tiny images. In Proceedings of the ICINCO 2012—9th International Conference on Informatics in Control, Automation and Robotics, Rome, Italy, 28–31 July 2012; pp. 236–241. [Google Scholar] [CrossRef]
- Hommel, B.E.; Wollang, F.J.M.; Kotova, V.; Zacher, H.; Schmukle, S.C. Transformer-Based Deep Neural Language Modeling for Construct-Specific Automatic Item Generation. Psychometrika 2022, 87, 749–772. [Google Scholar] [CrossRef]
- Lewis, M.; Liu, Y.; Goyal, N.; Ghazvininejad, M.; Mohamed, A.; Levy, O.; Stoyanov, V.; Zettlemoyer, L. BART: Denoising Sequence-to-Sequence Pre-training for Natural Language Generation, Translation, and Comprehension. arXiv 2019, arXiv:1910.13461. [Google Scholar]
- Adytia, D.; Saepudin, D.; Pudjaprasetya, S.R.; Husrin, S.; Sopaheluwakan, A. A Deep Learning Approach for Wave Forecasting Based on a Spatially Correlated Wind Feature, with a Case Study in the Java Sea, Indonesia. Fluids 2022, 7, 39. [Google Scholar] [CrossRef]
- Simonyan, K.; Zisserman, A. Very Deep Convolutional Networks for Large-Scale Image Recognition. arXiv 2014, arXiv:1409.1556. [Google Scholar]
- Abu, T.N.; Samy, J.; Abu-Naser, S. Classification of Sign-language Using VGG16. Int. J. Acad. Eng. Res. 2022, 6, 36–46. Available online: www.ijeais.org/ijaer (accessed on 22 May 2023).
- VGG-16|CNN Model—GeeksforGeeks. Available online: https://www.geeksforgeeks.org/vgg-16-cnn-model/ (accessed on 17 February 2023).
- Yang, L.; Shami, A. On hyperparameter optimization of machine learning algorithms: Theory and practice. Neurocomputing 2020, 415, 295–316. [Google Scholar] [CrossRef]
- Liashchynskyi, P.; Liashchynskyi, P. Grid Search, Random Search, Genetic Algorithm: A Big Comparison for NAS. arXiv 2019, arXiv:1912.06059. [Google Scholar]
- ROCAUC—Yellowbrick v1.5 Documentation. Available online: https://www.scikit-yb.org/en/latest/api/classifier/rocauc.html#multi-class-rocauc-curves (accessed on 15 December 2022).
- Hasasneh, A.; Kampel, N.; Sripad, P.; Shah, N.J.; Dammers, J. Deep learning approach for automatic classification of ocular and cardiac artifacts in meg data. J. Eng. 2018, 2018, 1350692. [Google Scholar] [CrossRef]













| Demographic Factors | Details |
|---|---|
| Gender | Female and Male |
| Babies‘ Ages | 1 to 53 days old |
| Weight | 0.98 to 5.2 kg |
| Origin | Canada, Haiti, Portugal, Syria, Lebanon, Algeria, Palestine, Bangladesh, and Turkey. |
| Race | Caucasian, Arabic, Asian, Latino, African, Native Hawaiian, Quebec. |
| Samples Category | Sepsis | RDS | Healthy |
|---|---|---|---|
| Number of samples after the preprocessing | 2554 | 4369 | 9000 |
| Number of samples selected randomly | (1132 each, in total 3396) | ||
| Evaluation Measure | Formula |
|---|---|
| Accuracy | (TP + TN)/(TP + TN + FP + FN) |
| Precision | TP/(TP + FP) |
| Recall | TP/(TP + FN) |
| F1-score | 2 × (precision × recall)/(precision + recall) |
| ML Algorithm | GFCC | HR | HR and GFCC | |||
|---|---|---|---|---|---|---|
| Without Tuning | With Tuning | Without Tuning | With Tuning | Without Tuning | With Tuning | |
| SVM | 89.26% | 94.47% | 59.70% | 63.24% | 90.14% | 94.79% |
| RF | 89.85% | 90.00% | 60.73% | 61.32% | 90.14% | 91.18% |
| Hyperparameter Name | Hyperparameter Values | Hyperparameter Optimal Value |
|---|---|---|
| C | [0.5, 1, 2, 4, 5] | 2 |
| gamma | [0.1, 0.25, 0.26, 0.3, 0.5] | 0.5 |
| Hyperparameter Name | Hyperparameter Values | Hyperparameter Optimal Value |
|---|---|---|
| n_estimators | [50, 60, 80, 90] | 90 |
| max_depth | [70, 80, 90, 100, 120] | 100 |
| min_samples_split | [2, 5] | 2 |
| min_samples_leaf | [1, 2] | 1 |
| Class | RF Combined | SVM Combined | |
|---|---|---|---|
| Precision | Healthy | 93.00% | 95.00% |
| RDS | 90.00% | 93.00% | |
| Sepsis | 91.00% | 94.00% | |
| Recall | Healthy | 92.00% | 97.00% |
| RDS | 93.00% | 92.00% | |
| Sepsis | 89.00% | 92.00% | |
| F1-score | Healthy | 92.46% | 96.48% |
| RDS | 91.44% | 92.68% | |
| Sepsis | 90.46% | 93.97% |
| Hyperparameter Name | Hyperparameter Values | Hyperparameter Optimal Value |
|---|---|---|
| C | [2.0, 5.0, 10.0] | 2.0 |
| gamma | [‘linear’, ‘sigmoid’, ‘poly’, ‘RBF’] | linear |
| Hyperparameter Name | Hyperparameter Values | Hyperparameter Optimal Value |
|---|---|---|
| Learning_rate | [0.0001, 0.001, 0.002] | 0.001 |
| weight_decay | [0.0, 0.0001, 0.001] | 0.0 |
| ML Algorithm | Spectrogram | Spectrogram and GFCC | Spectrogram, GFCC, and HR | |||
|---|---|---|---|---|---|---|
| without Tuning | with Tuning | without Tuning | with Tuning | without Tuning | with Tuning | |
| SVM | 92.05% | 92.94% | 93.30% | 93.97% | 93.38% | 93.38% |
| DNN (fusion through input concatenation) | 93.00% | 94.26% | 93.97% | 94.80% | 93.82% | 94.93% |
| DNN (fusion through learning) | 93.00% | 94.26% | 95.44% | 96.47% | 96.17% | 97.50% |
| Class | DNN with Spectrogram HR and GFCC | |
|---|---|---|
| Precision | Healthy | 98.00% |
| RDS | 97.00% | |
| Sepsis | 97.00% | |
| Recall | Healthy | 99.00% |
| RDS | 97.00% | |
| Sepsis | 96.00% | |
| F1-score | Healthy | 98.49% |
| RDS | 97.00% | |
| Sepsis | 96.48% |
| Comparison | Model [8] | Proposed Model in This Study | |||
|---|---|---|---|---|---|
| Classes | RDS, sepsis | RDS, sepsis, normal | |||
| Audio features | GFCC, HR | GFCC, HR, spectrogram | |||
| Feature fusion Techniques | Simple concatenation | Simple concatenation and fusion through the learning process | |||
| ML algorithm | MLP | SVM | RF | SVM | DL |
| Best accuracy details | GFCC, HR using simple concatenation | GFCC, HR using simple concatenation | GFCC, HR using simple concatenation | GFCC, HR using simple concatenation | GFCC, HR, spectrogram using fusion through the learning process |
| Accuracy | 95.92% | 92.94% | 94% | 91.18% | 97.50% |
Disclaimer/Publisher’s Note: The statements, opinions and data contained in all publications are solely those of the individual author(s) and contributor(s) and not of MDPI and/or the editor(s). MDPI and/or the editor(s) disclaim responsibility for any injury to people or property resulting from any ideas, methods, instructions or products referred to in the content. |
© 2023 by the authors. Licensee MDPI, Basel, Switzerland. This article is an open access article distributed under the terms and conditions of the Creative Commons Attribution (CC BY) license (https://creativecommons.org/licenses/by/4.0/).
Share and Cite
Zayed, Y.; Hasasneh, A.; Tadj, C. Infant Cry Signal Diagnostic System Using Deep Learning and Fused Features. Diagnostics 2023, 13, 2107. https://doi.org/10.3390/diagnostics13122107
Zayed Y, Hasasneh A, Tadj C. Infant Cry Signal Diagnostic System Using Deep Learning and Fused Features. Diagnostics. 2023; 13(12):2107. https://doi.org/10.3390/diagnostics13122107
Chicago/Turabian StyleZayed, Yara, Ahmad Hasasneh, and Chakib Tadj. 2023. "Infant Cry Signal Diagnostic System Using Deep Learning and Fused Features" Diagnostics 13, no. 12: 2107. https://doi.org/10.3390/diagnostics13122107
APA StyleZayed, Y., Hasasneh, A., & Tadj, C. (2023). Infant Cry Signal Diagnostic System Using Deep Learning and Fused Features. Diagnostics, 13(12), 2107. https://doi.org/10.3390/diagnostics13122107

