Metasurface-Enhanced Antennas for Microwave Brain Imaging
Abstract
1. Introduction
2. Materials and Methods
2.1. MTS-Enhanced Antennas Immersed in a Coupling Medium
2.2. MTS-Enhanced Antennas: Experimental Validation in a Coupling Medium
2.3. MTS-Enhanced Printed Square Monopole Antenna Operating in Air
2.4. PSMA and MTS-Enhanced PSMA: Comparison between Different MWT Scanners
3. Results
3.1. Experimental Results for the MTS-Enhanced Antennas Operating in a Coupling Medium
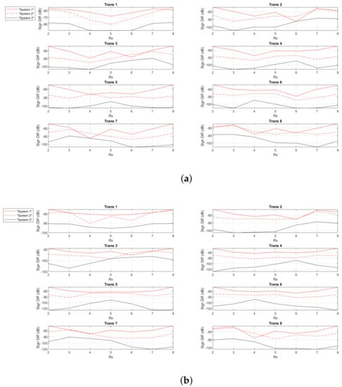
3.1.1. 8-MTS-Enhanced Triangular Patch Antenna Array
3.1.2. 8-MTS-Enhanced Spear Patch Antenna Array
3.2. PSMA and MTS-Enhanced PSMA: Simulation Results with Different Brain Scanners
3.3. Near-Field Analysis of the MTS-Enhanced Antennas
4. Discussion
Author Contributions
Funding
Conflicts of Interest
Abbreviations
| MWI | Microwave Imaging |
| MTS | Metasurface |
| PSMA | Printed Square Monopole Antenna |
| CT | Computed Tomography |
| MRI | Magnetic Resonance Imaging |
| MWT | Microwave Tomography |
| EM | Electromagnetic |
| SRR | Split-Ring Resonator |
| VNA | Vector Network Analyzer |
| DS-SRR | Double-Square-Split-Ring Resonator |
| PEC | Perfect Electric Conductor |
| PMC | Perfect Magnetic Conductor |
| SAM | Specific Anthropomorphic Mannequin |
Appendix A. The DBIM-TwIST Algorithm
References
- Sacco, R.L.; Kasner, S.E.; Broderick, J.P.; Caplan, L.R.; Connors, J.J.; Culebras, A.; Elkind, M.S.; George, M.G.; Hamdan, A.D.; Higashida, R.T.; et al. An updated definition of stroke for the 21st century: A statement for healthcare professionals from the American heart association/American stroke association. Stroke 2013, 44, 2064–2089. [Google Scholar] [CrossRef] [PubMed]
- Stroke Association. Available online: https://www.stroke.org.uk/what-is-stroke/stroke-statistics (accessed on 18 December 2020).
- Powers, W.J.; Rabinstein, A.A.; Ackerson, T.; Adeoye, O.M.; Bambakidis, N.C.; Becker, K.; Biller, J.; Brown, M.; Demaerschalk, B.M.; Hoh, B.; et al. Guidelines for the Early Management of Patients With Acute Ischemic Stroke: A Guideline for Healthcare Professionals From the American Heart Association/American Stroke Association. Stroke 2018, 49, 46–99. [Google Scholar] [CrossRef] [PubMed]
- Mobashsher, A.T.; Nguyen, P.T.; Abbosh, A. Detection and localization of brain strokes in realistic 3-D human head phantom. In Proceedings of the 2013 IEEE MTT-S International Microwave Workshop Series on RF and Wireless Technologies for Biomedical and Healthcare Applications, IMWS-BIO, Singapore, 9–11 December 2013. [Google Scholar]
- Vymazal, J.; Rulseh, A.M.; Keller, J.; Janouskova, L. Comparison of CT and MR imaging in ischemic stroke. Insights Imaging 2012, 3, 619–627. [Google Scholar] [CrossRef]
- Hopfer, M.; Planas, R.; Hamidipour, A.; Henriksson, T.; Semenov, S. Electromagnetic tomography for detection, differentiation, and monitoring of brain stroke: A virtual data and human head phantom study. IEEE Trans. Antennas Propag. 2017, 59, 86–97. [Google Scholar] [CrossRef]
- De Azevedo-Marques Mazzoncini, P.; Mencattini, A.; Salmeri, M.; Rangayyan, R.M. Medical Image Analysis and Informatics: Computer-Aided Diagnosis and Therapy; CRC Press: Boca Raton, FL, USA, 2017; pp. 451–466. [Google Scholar]
- Wei, H.Y.; Soleimani, M. Electromagnetic tomography for medical and industrial applications: Challenges and opportunities. Proc. IEEE 2013, 101, 559–565. [Google Scholar] [CrossRef]
- Scapaticci, R.; Bucci, O.M.; Catapano, I.; Crocco, L. Differential microwave imaging for brain stroke followup. Int. J. Antennas Propag. 2014, 2014, 1–11. [Google Scholar] [CrossRef]
- Aldhaeebi, M.A.; Alzoubi, K.; Almoneef, T.S.; Bamatra, S.M.; Attia, H.; Ramahi, O.M. Review of microwaves techniques for breast cancer detection. Sensors 2020, 20, 2390. [Google Scholar] [CrossRef] [PubMed]
- Alqadami, A.S.M.; Nguyen-Trong, N.; Stancombe, A.E.; Bialkowski, K.; Abbosh, A. Compact Flexible Wideband Antenna for On-Body Electromagnetic Medical Diagnostic Systems. IEEE Trans. Antennas Propag. 2020, 68, 8180–8185. [Google Scholar] [CrossRef]
- Abbosh, A.M.; Kan, H.K.; Bialkowski, M.E. Compact ultra-wideband planar tapered slot antenna for use in a microwave imaging system. Microw. Opt. Technol. Lett. 2013, 55, 2562–2568. [Google Scholar] [CrossRef]
- Sohani, B.; Khalesi, B.; Ghavami, N.; Ghavami, M.; Dudley, S.; Rahmani, A.; Tiberi, G. Detection of haemorrhagic stroke in simulation and realistic 3-D human head phantom using microwave imaging. Biomed. Signal Proces. 2020, 61, 3–10. [Google Scholar] [CrossRef]
- Scapaticci, R.; Di Donato, L.; Catapano, I.; Crocco, L. A Feasibility Study on Microwave Imaging for Brain Stroke Monitoring. Prog. Electromagn. Res. 2014, 40, 305–324. [Google Scholar] [CrossRef]
- Rodriguez-Duarte, D.O.; Vasquez, J.A.T.; Scapaticci, R.; Crocco, L.; Vipiana, F. Brick-Shaped Antenna Module for Microwave Brain Imaging Systems. IEEE Antennas Wirel. Propag. Lett. 2020, 19, 2057–2061. [Google Scholar] [CrossRef]
- Zhurbenko, V. Challenges in the design of microwave imaging systems for breast cancer detection. Adv. Electr. Comp. 2011, 11, 91–96. [Google Scholar] [CrossRef]
- Wei, G.; Ahsan, S.; Kosmas, P. Portable Microwave Imaging Head Scanners for Intracranial Haemorrhagic Detection. In Proceedings of the Asia-Pacific Microwave Conference (APMC), Singapore, 10–13 December 2019. [Google Scholar]
- Razzicchia, E.; Sotiriou, I.; Cano-Garcia, H.; Kallos, E.; Palikaras, G.; Kosmas, P. Feasibility study of enhancing microwave brain imaging using metamaterials. Sensors 2019, 19, 5472. [Google Scholar] [CrossRef]
- Karadima, O.; Razzicchia, E.; Kosmas, P. Image Improvement Through Metamaterial Technology for Brain Stroke Detection. In Proceedings of the 14th European Conference on Antennas and Propagation (EuCAP 2020), Copenaghen, Denrmark, 15–20 March 2020. [Google Scholar]
- Holloway, C.L.; Kuester, E.F.; Gordon, J.A.; O’Hara, J.; Booth, J.; Smith, D.R. An overview of the theory and applications of metasurfaces: The two-dimensional equivalents of metamaterials. IEEE Trans. Antennas Propag. 2012, 54, 10–35. [Google Scholar] [CrossRef]
- Ziolkowski, R.W. Metamaterial-based antennas: Research and developments. IEICE Trans. Electron. 2006, E89-C, 1267–1275. [Google Scholar] [CrossRef]
- Ziolkowski, R.W.; Erentok, A. Metamaterial-based efficient electrically small antennas. IEEE Trans. Antennas Propag. 2006, 54, 2113–2130. [Google Scholar] [CrossRef]
- Ziolkowski, R.W. Propagation in and scattering from a matched metamaterial having a zero index of refraction. Phys. Rev. E 2004, 70, 1–15. [Google Scholar] [CrossRef] [PubMed]
- Li, L.W.; Li, Y.N.; Yeo, T.S.; Mosig, J.R.; Martin, O.J. A broadband and high-gain metamaterial microstrip antenna. Appl. Phys. Lett. 2010, 96, 5–8. [Google Scholar] [CrossRef]
- Mahmud, Z.; Islam, M.T. A Negative Index Metamaterial to Enhance the Performance of Miniaturized UWB Antenna for Microwave Imaging Applications. Appl. Sci. 2017, 7, 1149. [Google Scholar] [CrossRef]
- Bulu, I.; Caglayan, H.; Aydin, K.; Ozbay, E. Compact size highly directive antennas based on the SRR metamaterial medium. New J. Phys. 2005, 7, 1–4. [Google Scholar] [CrossRef]
- Jakšić, Z.; Vuković, S.; Matovic, J.; Tanasković, D. Negative refractive index metasurfaces for enhanced biosensing. Materials 2010, 4, 1–36. [Google Scholar] [CrossRef] [PubMed]
- Puentes, M.; Maasch, M.; Schubler, M.; Jakoby, R. Frequency multiplexed 2-dimensional sensor array based on split-ring resonators for organic tissue analysis. IEEE Trans. Microw. Theory Tech. 2012, 60, 1720–1727. [Google Scholar] [CrossRef]
- Wang, G.; Fang, J.; Dong, X. Resolution of near-field microwave target detection and imaging by using flat LHM lens. IEEE Trans. Antennas Propag. 2007, 55, 3534–3541. [Google Scholar] [CrossRef]
- Slobozhanyuk, A.P.; Poddubny, A.N.; Raaijmakers, A.J.; Van Den Berg, C.A.; Kozachenko, A.V.; Dubrovina, I.A.; Melchakova, I.V.; Kivshar, Y.S.; Belov, P.A. Enhancement of Magnetic Resonance Imaging with Metasurfaces. Adv. Mater. 2016, 28, 1832–1838. [Google Scholar] [CrossRef]
- Karadima, O.; Ghavami, N.; Sotiriou, I.; Kosmas, P. Performance assessment of microwave tomography and radar imaging using an anthropomorphic brain phantom. In Proceedings of the 2020 XXXIIIrd General Assembly and Scientific Symposium of the International Union of Radio Science, Rome, Italy, 29 August–5 September 2020. [Google Scholar]
- Ahsan, S.; Guo, Z.; Miao, Z.; Sotiriou, I.; Koutsoupidou, M.; Kallos, E.; Palikaras, G.; Kosmas, P. Multiple-Frequency Microwave Tomography System. Sensors 2018, 18, 3491. [Google Scholar] [CrossRef] [PubMed]
- Ahsan, S.; Koutsoupidou, M.; Razzicchia, E.; Sotiriou, I.; Kosmas, P. Advances towards the Development of a Brain Microwave Imaging Scanner. In Proceedings of the 13th European Conference on Antennas and Propagation (EuCAP 2019), Krakow, Poland, 31 March–5 April 2019. [Google Scholar]
- Razzicchia, E.; Koutsoupidou, M.; Cano-garcia, H.; Sotiriou, I.; Kallos, E.; Palikaras, G. Metamaterial Designs to Enhance Microwave Imaging Applications. In Proceedings of the ICEAA 2019 International Conference on Electromagnetics in Advanced Applications, Granada, Spain, 9–13 September 2019. [Google Scholar]
- Lazebnik, M.; Madsen, E.L.; Frank, G.R.; Hagness, S.C. Tissue-mimicking phantom materials for narrowband and ultrawideband microwave applications. Phys. Med. Biol. 2005, 50, 4245–4258. [Google Scholar] [CrossRef]
- Miao, Z.; Kosmas, P. Multiple-Frequency DBIM-TwIST Algorithm for Microwave Breast Imaging. IEEE Trans. Antennas Propag. 2017, 65, 2507–2516. [Google Scholar] [CrossRef]
- Gaikovich, K.P.; Maksimovitch, Y.S.; Sumin, M.I. Inverse scattering problems of near-field subsurface pulse diagnostics. Inverse Probll. Sci. Eng. 2018, 26, 1590–1611. [Google Scholar] [CrossRef]
- Semenov, S.; Planas, R.; Hopfer, M.; Hamidipour, A.; Vasilenko, A.; Stoegmann, E.; Auff, E. Electromagnetic tomography for brain imaging: Initial assessment for stroke detection. In Proceedings of the IEEE Biomedical Circuits and Systems Conference: Engineering for Healthy Minds and Able Bodies, BioCAS, Atlanta, GA, USA, 22–24 October 2015. [Google Scholar]
- Semenov, S. Microwave tomography: Review of the progress towards clinical applications. Philos. Transact. A Math. Phys. Eng. Sci. 2009, 367, 3021–3042. [Google Scholar] [CrossRef]
- Lu, P.; Ahsan, S.; Kosmas, P. Preliminary Study on the Feasibility of Reconstructing Anatomically Complex Numerical Brain Phantoms with Limited Prior Information. In Proceedings of the 2020 33rd General Assembly and Scientific Symposium of the International Union of Radio Science, URSI GASS 2020, Rome, Italy, 29 August–5 September 2020. [Google Scholar]
- Shea, J.D.; Kosmas, P.; Hagness, S.C.; Van Veen, B.D. Three-dimensional microwave imaging of realistic numerical breast phantoms via a multiple-frequency inverse scattering technique. Med. Phys. 2010, 37, 4210–4226. [Google Scholar] [CrossRef]
- Bioucas-Dias, J.M.; Figueiredo, M.A. A new TwIST: Two-step iterative shrinkage/thresholding algorithms for image restoration. IEEE Trans. Image Process. 2007, 16, 2992–3004. [Google Scholar] [CrossRef]
- Miao, Z.; Kosmas, P. Microwave breast imaging based on an optimized two-step iterative shrinkage/thresholding method. In Proceedings of the 9th European Conference on Antennas and Propagation (EuCAP 2015), Lisbon, Portugal, 13–17 April 2015. [Google Scholar]
















| Type of Material | Permittivity at 1 GHz |
|---|---|
| 90% Glycerol-water Mixture | 15 |
| Average Brain Phantom | 38 |
| Blood Phantom | 65 |
| Ischaemia Phantom | 22 |
Publisher’s Note: MDPI stays neutral with regard to jurisdictional claims in published maps and institutional affiliations. |
© 2021 by the authors. Licensee MDPI, Basel, Switzerland. This article is an open access article distributed under the terms and conditions of the Creative Commons Attribution (CC BY) license (http://creativecommons.org/licenses/by/4.0/).
Share and Cite
Razzicchia, E.; Lu, P.; Guo, W.; Karadima, O.; Sotiriou, I.; Ghavami, N.; Kallos, E.; Palikaras, G.; Kosmas, P. Metasurface-Enhanced Antennas for Microwave Brain Imaging. Diagnostics 2021, 11, 424. https://doi.org/10.3390/diagnostics11030424
Razzicchia E, Lu P, Guo W, Karadima O, Sotiriou I, Ghavami N, Kallos E, Palikaras G, Kosmas P. Metasurface-Enhanced Antennas for Microwave Brain Imaging. Diagnostics. 2021; 11(3):424. https://doi.org/10.3390/diagnostics11030424
Chicago/Turabian StyleRazzicchia, Eleonora, Pan Lu, Wei Guo, Olympia Karadima, Ioannis Sotiriou, Navid Ghavami, Efthymios Kallos, George Palikaras, and Panagiotis Kosmas. 2021. "Metasurface-Enhanced Antennas for Microwave Brain Imaging" Diagnostics 11, no. 3: 424. https://doi.org/10.3390/diagnostics11030424
APA StyleRazzicchia, E., Lu, P., Guo, W., Karadima, O., Sotiriou, I., Ghavami, N., Kallos, E., Palikaras, G., & Kosmas, P. (2021). Metasurface-Enhanced Antennas for Microwave Brain Imaging. Diagnostics, 11(3), 424. https://doi.org/10.3390/diagnostics11030424

