Diagnostic Models for Screening of Periodontitis with Inflammatory Mediators and Microbial Profiles in Saliva
Abstract
1. Introduction
2. Materials and Methods
2.1. Subjects
2.2. Clinical and Radiographic Examination
2.3. Preparation of Solution for Saliva Storage
2.4. Whole Saliva with Draining Method
2.5. Saliva Collection for Oral Microbial Identification
2.6. Protein Biomarker Assays
2.7. Detection of Microbial Profiles
2.8. Sample Size Calculation
2.9. Statistical Analysis
3. Results
3.1. Demographic and Clinical Characteristics of Subjects
3.2. Inflammatory Mediators and Microbial Profiles in Saliva
3.3. Construction of Diagnostic Models Based on Inflammatory Mediators in Saliva
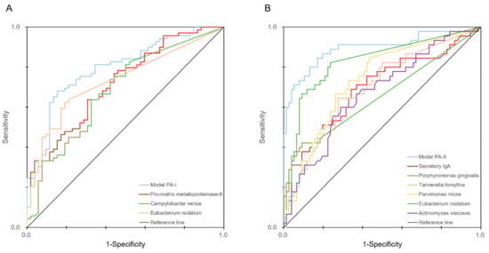
3.4. Validation of Multianalyte Models
4. Discussion
5. Conclusions
Author Contributions
Funding
Conflicts of Interest
References
- Kinane, D.F.; Stathopoulou, P.G.; Papapanou, P.N. Periodontal diseases. Nat. Rev. Dis. Primers 2017, 3, 17038. [Google Scholar] [CrossRef] [PubMed]
- Zhou, J.; Yao, Y.; Jiao, K.; Zhang, J.; Zheng, X.; Wu, F.; Hu, X.; Li, J.; Yu, Z.; Zhang, G.; et al. Relationship between Gingival Crevicular Fluid Microbiota and Cytokine Profile in Periodontal Host Homeostasis. Front. Microbiol. 2017, 8, 2144. [Google Scholar] [CrossRef] [PubMed]
- Lourenço, T.G.; Heller, D.; Silva-Boghossian, C.M.; Cotton, S.L.; Paster, B.J.; Colombo, A.P. Microbial signature profiles of periodontally healthy and diseased patients. J. Clin. Periodontol. 2014, 41, 1027–1036. [Google Scholar] [CrossRef] [PubMed]
- Holguin, A.; Gutierrez, M.; Portocarrero, N.; Rivas, P.; Baquero, M. Performance of OraQuick Advance Rapid HIV-1/2 Antibody Test for detection of antibodies in oral fluid and serum/plasma in HIV-1+ subjects carrying different HIV-1 subtypes and recombinant variants. J. Clin. Virol. 2009, 45, 150–152. [Google Scholar] [CrossRef] [PubMed]
- Louis, J.F.; Huang, J.Y.; Nebie, Y.K.; Koivogui, L.; Jayaraman, G.; Abiola, N.; Vansteelandt, A.; Worrel, M.C.; Shang, J.; Murphy, L.B.; et al. Implementation of broad screening with Ebola rapid diagnostic tests in Forecariah, Guinea. Afr. J. Lab. Med. 2017, 6, 484. [Google Scholar] [CrossRef]
- Lee, S.R.; Kardos, K.W.; Schiff, E.; Berne, C.A.; Mounzer, K.; Banks, A.T.; Tatum, H.A.; Friel, T.J.; Demicco, M.P.; Lee, W.M.; et al. Evaluation of a new, rapid test for detecting HCV infection, suitable for use with blood or oral fluid. J. Virol. Methods 2011, 172, 27–31. [Google Scholar] [CrossRef]
- Zimmermann, B.G.; Wong, D.T. Salivary mRNA targets for cancer diagnostics. Oral Oncol. 2008, 44, 425–429. [Google Scholar] [CrossRef]
- Leppilahti, J.M.; Harjunmaa, U.; Järnstedt, J.; Mangani, C.; Hernández, M.; Tervahartiala, T.; Lopez, R.; Ashorn, U.; Ashorn, P.; Gieselmann, D.R.; et al. Diagnosis of Newly Delivered Mothers for Periodontitis with a Novel Oral-Rinse aMMP-8 Point-of-Care Test in a Rural Malawian Population. Diagnostics 2018, 8, 67. [Google Scholar] [CrossRef]
- Socransky, S.S.; Haffajee, A.D. Periodontal microbial ecology. Periodontology 2000 2005, 38, 135–187. [Google Scholar] [CrossRef]
- Ulloa, P.C.; van der Veen, M.H.; Krom, B.P. Review: Modulation of the oral microbiome by the host to promote ecological balance. Odontology 2019, 107, 437–448. [Google Scholar] [CrossRef]
- Kinane, D.F.; Attström, R. Advances in the pathogenesis of periodontitis. Group B consensus report of the fifth European Workshop in Periodontology. J. Clin. Periodontol. 2005, 32 (Suppl. 6), 130–131. [Google Scholar] [CrossRef] [PubMed]
- De Morais, E.F.; Pinheiro, J.C.; Leite, R.B.; Santos, P.P.A.; Barboza, C.A.G.; Freitas, R.A. Matrix metalloproteinase-8 levels in periodontal disease patients: A systematic review. J. Periodontal Res. 2018, 53, 156–163. [Google Scholar] [CrossRef]
- Rangbulla, V.; Nirola, A.; Gupta, M.; Batra, P. Salivary IgA, Interleukin-1β and MMP-8 as Salivary Biomarkers in Chronic Periodontitis Patients. Chin. J. Dent. Res. 2017, 20, 43–51. [Google Scholar] [CrossRef] [PubMed]
- Shojaee, M.; Golpasha, M.F.; Maliji, G.; Bijani, A.; Mir, S.M.A.; Kani, S.N.M. C-reactive protein levels in patients with periodontal disease and normal subjects. Int. J. Mol. Cell. Med. 2013, 2, 151–155. [Google Scholar]
- Rathnayake, N.; Gustafsson, A.; Norhammar, A.; Kjellstrom, B.; Klinge, B.; Ryden, L.; Tervahartiala, T.; Sorsa, T.; Group, P.S. Salivary Matrix Metalloproteinase-8 and -9 and Myeloperoxidase in Relation to Coronary Heart and Periodontal Diseases: A Subgroup Report from the PAROKRANK Study (Periodontitis and Its Relation to Coronary Artery Disease). PLoS ONE 2015, 10, e0126370. [Google Scholar] [CrossRef] [PubMed]
- Gupta, N.; Gupta, N.D.; Gupta, A.; Khan, S.; Bansal, N. Role of salivary matrix metalloproteinase-8 (MMP-8) in chronic periodontitis diagnosis. Front. Med. 2015, 9, 72–76. [Google Scholar] [CrossRef]
- Hanemaaijer, R.; Sorsa, T.; Konttinen, Y.T.; Ding, Y.; Sutinen, M.; Visser, H.; van Hinsbergh, V.W.; Helaakoski, T.; Kainulainen, T.; Ronka, H.; et al. Matrix metalloproteinase-8 is expressed in rheumatoid synovial fibroblasts and endothelial cells. Regulation by tumor necrosis factor-alpha and doxycycline. J. Biol. Chem. 1997, 272, 31504–31509. [Google Scholar] [CrossRef]
- Franco, C.; Patricia, H.R.; Timo, S.; Claudia, B.; Marcela, H. Matrix Metalloproteinases as Regulators of Periodontal Inflammation. Int. J. Mol. Sci. 2017, 18, 440. [Google Scholar] [CrossRef]
- Alassiri, S.; Parnanen, P.; Rathnayake, N.; Johannsen, G.; Heikkinen, A.M.; Lazzara, R.; van der Schoor, P.; van der Schoor, J.G.; Tervahartiala, T.; Gieselmann, D.; et al. The Ability of Quantitative, Specific, and Sensitive Point-of-Care/Chair-Side Oral Fluid Immunotests for aMMP-8 to Detect Periodontal and Peri-Implant Diseases. Dis. Markers 2018, 2018, 1306396. [Google Scholar] [CrossRef]
- Schmalz, G.; Kummer, M.K.; Kottmann, T.; Rinke, S.; Haak, R.; Krause, F.; Schmidt, J.; Ziebolz, D. Association of chairside salivary aMMP-8 findings with periodontal risk assessment parameters in patients receiving supportive periodontal therapy. J. Periodontal Implant Sci. 2018, 48, 251–260. [Google Scholar] [CrossRef]
- Sorsa, T.; Tjaderhane, L.; Konttinen, Y.T.; Lauhio, A.; Salo, T.; Lee, H.M.; Golub, L.M.; Brown, D.L.; Mantyla, P. Matrix metalloproteinases: Contribution to pathogenesis, diagnosis and treatment of periodontal inflammation. Ann. Med. 2006, 38, 306–321. [Google Scholar] [CrossRef] [PubMed]
- Liu, X.; Yu, H.; Qiao, Y.; Yang, J.; Shu, J.; Zhang, J.; Zhang, Z.; He, J.; Li, Z. Salivary Glycopatterns as Potential Biomarkers for Screening of Early-Stage Breast Cancer. EBioMedicine 2018, 28, 70–79. [Google Scholar] [CrossRef]
- Tonetti, M.S.; Greenwell, H.; Kornman, K.S. Staging and grading of periodontitis: Framework and proposal of a new classification and case definition. J. Clin. Periodontol. 2018, 45 (Suppl. 20), S149–S161. [Google Scholar] [CrossRef] [PubMed]
- Loe, H.; Silness, J. Periodontal disease in pregnancy. I. prevalence and severity. Acta Odontol. Scand. 1963, 21, 533–551. [Google Scholar] [CrossRef] [PubMed]
- Silness, J.; Loe, H. Periodontal disease in pregnancy. II. correlation between oral hygiene and periodontal condtion. Acta Odontol. Scand. 1964, 22, 121–135. [Google Scholar] [CrossRef] [PubMed]
- Mauramo, M.; Ramseier, A.M.; Mauramo, E.; Buser, A.; Tervahartiala, T.; Sorsa, T.; Waltimo, T. Associations of oral fluid MMP-8 with periodontitis in Swiss adult subjects. Oral Dis. 2018, 24, 449–455. [Google Scholar] [CrossRef] [PubMed]
- Fischer, J.E.; Bachmann, L.M.; Jaeschke, R. A readers’ guide to the interpretation of diagnostic test properties: Clinical example of sepsis. Intensive Care Med. 2003, 29, 1043–1051. [Google Scholar] [CrossRef]
- Tonetti, M.S.; Greenwell, H.; Kornman, K.S. Staging and grading of periodontitis: Framework and proposal of a new classification and case definition. J. Periodontol. 2018, 89 (Suppl. 1), S159–S172. [Google Scholar] [CrossRef]
- Gursoy, U.K.; Könönen, E.; Pradhan-Palikhe, P.; Tervahartiala, T.; Pussinen, P.J.; Suominen-Taipale, L.; Sorsa, T. Salivary MMP-8, TIMP-1, and ICTP as markers of advanced periodontitis. J. Clin. Periodontol. 2010, 37, 487–493. [Google Scholar] [CrossRef]
- Sorsa, T.; Alassiri, S.; Grigoriadis, A.; Räisänen, I.T.; Pärnänen, P.; Nwhator, S.O.; Gieselmann, D.R.; Sakellari, D. Active MMP-8 (aMMP-8) as a Grading and Staging Biomarker in the Periodontitis Classification. Diagnostics 2020, 10, 61. [Google Scholar] [CrossRef]
- Yucel, Z.P.K.; Afacan, B.; Emingil, G.; Tervahartiala, T.; Kose, T.; Sorsa, T. Local and systemic levels of aMMP-8 in gingivitis and stage 3 grade C periodontitis. J. Periodontal Res. 2020. [Google Scholar] [CrossRef] [PubMed]
- Sorsa, T.; Bacigalupo, J.; Könönen, M.; Pärnänen, P.; Räisänen, I.T. Host-Modulation Therapy and Chair-Side Diagnostics in the Treatment of Peri-Implantitis. Biosensors 2020, 10, 44. [Google Scholar] [CrossRef] [PubMed]
- Lähteenmäki, H.; Umeizudike, K.A.; Heikkinen, A.M.; Räisänen, I.T.; Rathnayake, N.; Johannsen, G.; Tervahartiala, T.; Nwhator, S.O.; Sorsa, T. aMMP-8 Point-of-Care/Chairside Oral Fluid Technology as a Rapid, Non-Invasive Tool for Periodontitis and Peri-Implantitis Screening in a Medical Care Setting. Diagnostics 2020, 10, 562. [Google Scholar] [CrossRef] [PubMed]
- Al-Majid, A.; Alassiri, S.; Rathnayake, N.; Tervahartiala, T.; Gieselmann, D.R.; Sorsa, T. Matrix Metalloproteinase-8 as an Inflammatory and Prevention Biomarker in Periodontal and Peri-Implant Diseases. Int. J. Dent. 2018, 2018, 7891323. [Google Scholar] [CrossRef]
- Podzimek, S.; Vondrackova, L.; Duskova, J.; Janatova, T.; Broukal, Z. Salivary Markers for Periodontal and General Diseases. Dis. Markers 2016, 2016, 9179632. [Google Scholar] [CrossRef]
- Shimada, Y.; Komatsu, Y.; Ikezawa-Suzuki, I.; Tai, H.; Sugita, N.; Yoshie, H. The effect of periodontal treatment on serum leptin, interleukin-6, and C-reactive protein. J. Periodontol. 2010, 81, 1118–1123. [Google Scholar] [CrossRef]
- Christodoulides, N.; Floriano, P.N.; Miller, C.S.; Ebersole, J.L.; Mohanty, S.; Dharshan, P.; Griffin, M.; Lennart, A.; Ballard, K.L.; King, C.P., Jr.; et al. Lab-on-a-chip methods for point-of-care measurements of salivary biomarkers of periodontitis. Ann. N. Y. Acad. Sci. 2007, 1098, 411–428. [Google Scholar] [CrossRef]
- Wu, Y.C.; Ning, L.; Tu, Y.K.; Huang, C.P.; Huang, N.T.; Chen, Y.F.; Chang, P.C. Salivary biomarker combination prediction model for the diagnosis of periodontitis in a Taiwanese population. J. Formos. Med. Assoc. 2018, 117, 841–848. [Google Scholar] [CrossRef]
- Mesa, F.; Magán-Fernández, A.; Muñoz, R.; Papay-Ramírez, L.; Poyatos, R.; Sánchez-Fernández, E.; Galindo-Moreno, P.; Rodríguez-Barranco, M. Catecholamine metabolites in urine, as chronic stress biomarkers, are associated with higher risk of chronic periodontitis in adults. J. Periodontol. 2014, 85, 1755–1762. [Google Scholar] [CrossRef]
- Hucklebridge, F.; Clow, A.; Evans, P. The relationship between salivary secretory immunoglobulin A and cortisol: Neuroendocrine response to awakening and the diurnal cycle. Int. J. Psychophysiol. 1998, 31, 69–76. [Google Scholar] [CrossRef]
- Giannobile, W.V. Salivary diagnostics for periodontal diseases. J. Am. Dent. Assoc. 2012, 143, 6s–11s. [Google Scholar] [CrossRef] [PubMed]
- Korte, D.L.; Kinney, J. Personalized medicine: An update of salivary biomarkers for periodontal diseases. Periodontology 2000 2016, 70, 26–37. [Google Scholar] [CrossRef] [PubMed]
- Verhulst, M.J.L.; Teeuw, W.J.; Bizzarro, S.; Muris, J.; Su, N.; Nicu, E.A.; Nazmi, K.; Bikker, F.J.; Loos, B.G. A rapid, non-invasive tool for periodontitis screening in a medical care setting. BMC Oral Health 2019, 19, 87. [Google Scholar] [CrossRef]
- Kim, J.J.; Kim, C.J.; Camargo, P.M. Salivary biomarkers in the diagnosis of periodontal diseases. J. Calif. Dent. Assoc. 2013, 41, 119–124. [Google Scholar] [PubMed]
- Syndergaard, B.; Al-Sabbagh, M.; Kryscio, R.J.; Xi, J.; Ding, X.; Ebersole, J.L.; Miller, C.S. Salivary biomarkers associated with gingivitis and response to therapy. J. Periodontol. 2014, 85, e295–e303. [Google Scholar] [CrossRef] [PubMed]
- Lahdentausta, L.S.J.; Paju, S.; Mäntylä, P.; Buhlin, K.; Tervahartiala, T.; Pietiäinen, M.; Alfthan, H.; Nieminen, M.S.; Sinisalo, J.; Sorsa, T.; et al. Saliva and serum biomarkers in periodontitis and coronary artery disease. J. Clin. Periodontol. 2018, 45, 1045–1055. [Google Scholar] [CrossRef]
- Mirrielees, J.; Crofford, L.J.; Lin, Y.; Kryscio, R.J.; Dawson, D.R., 3rd; Ebersole, J.L.; Miller, C.S. Rheumatoid arthritis and salivary biomarkers of periodontal disease. J. Clin. Periodontol. 2010, 37, 1068–1074. [Google Scholar] [CrossRef] [PubMed]
Publisher’s Note: MDPI stays neutral with regard to jurisdictional claims in published maps and institutional affiliations. |



| Target Gene | Accession No. | Primer and Probe | Sequence (5′–>3′) | Length | Size (bp) | |
|---|---|---|---|---|---|---|
| Aggregatibacter actinomycetemcomitans | 16S ribosomal RNA | M75039.1 | Forward primer | CAAGTGTGATTAGGTAGTTGGTGGG | 25 | 220 |
| Reverse primer | CCTTCCTCATCACCGAAAGAA | 21 | ||||
| Probe | ATCGCTAGCTGGTCTGAGAGGATGGCC | 27 | ||||
| Porphyromonas gingivalis | FimA type II (fimA) | KF770042.1 | Forward primer | GGAGTCTAATCTATTCGGTGCTTC | 24 | 132 |
| Reverse primer | GTGTAGTCTCTTCCCAACCAG | 21 | ||||
| Probe | ATTTCAACGGTGCTTATTCCCCTGC | 25 | ||||
| Tannerella forsythia | karilysin protease gene | GQ856797 | Forward primer | TGGAGAATCAGTAACGGTTGG | 21 | 149 |
| Reverse primer | CCCCAACCACATTCACTACG | 20 | ||||
| Probe | TCCATTAAGCCCATTGCCCGGAA | 23 | ||||
| Treponema denticola | OpdB gene | AF355459 | Forward primer | TCCGAGTGTTTACAGCCTTG | 20 | 94 |
| Reverse primer | GTCCTCATACCACTTTTCTCCC | 22 | ||||
| Probe | CTTCCGCCCCTGATTTGAGCAAC | 23 | ||||
| Fusobacterium nucleatum | 16S ribosomal RNA gene | FJ471640 | Forward primer | CGATAAGTAATCCGCCTGGG | 20 | 137 |
| Reverse primer | TCCTAAGATGTCAAACGCTGG | 21 | ||||
| Probe | CGTCGAATTAAACCACATGCTCCACC | 26 | ||||
| Prevotella intermedia | hemagglutinin (phg) gene | AF017417 | Forward primer | ACATTGGAACTGAGACACGG | 20 | 145 |
| Reverse primer | GCCTCACTTTACTCCCCAAC | 20 | ||||
| Probe | TCAATCCTGCACGCTACTTGGCT | 25 | ||||
| Prevotella nigrescens | gyrase subunit B (gyrB) gene | KF186729 | Forward primer | AGAATACGAACAGGGAAAGCC | 21 | 136 |
| Reverse primer | ACGTGCAACTATATCCCACTG | 21 | ||||
| Probe | TTGGTGAAACCGATAAGACTGGTACGC | 29 | ||||
| Parvimonas micra | 16S ribosomal RNA gene | AF542231 | Forward primer | ATGAATGCTAGGTGTTGGGAG | 21 | 141 |
| Reverse primer | GAATTAAACCACATGCTCCGC | 23 | ||||
| Probe | AGTTTCAGTGTTGCCACCGTACTCC | 25 | ||||
| Campylobacter rectus | groEL gene | AB071388 | Forward primer | GCTACGGAGACTGAGATGAAAG | 22 | 136 |
| Reverse primer | TTAGATCCACTTTCGCACCG | 20 | ||||
| Probe | ATGCCTTCTTCTACAGCCGCCTT | 23 | ||||
| Eubacterium nodatum | 16S ribosomal RNA gene | U13041.1 | Forward primer | TCGTAAACTTCTGTCCAAAGGG | 22 | 138 |
| Reverse primer | CACCTACATACTCTTTACGCCC | 22 | ||||
| Probe | TAATTCCGGATAACGCTCGCCCC | 23 | ||||
| Eikenella corrodens | proline iminopeptidase (pip) | AY198131 | Forward primer | CCTAACGATATGCCTGGAACC | 21 | 149 |
| Reverse primer | TCGATACTCCGTTTGCCATC | 20 | ||||
| Probe | AGTTTGCCGCCTAGTTTCATCCCT | 24 | ||||
| Streptococcus mutans | PTS EII (mtlA) | AF210133 | Forward primer | CCTTCCTAGTCGCTTCCATTATC | 23 | 112 |
| Reverse primer | ACTGCTTGACCTTTAGACTCG | 23 | ||||
| Probe | TTTTGCTGCTTGTGTCACTGCTTGT | 27 | ||||
| Staphylococcus aureus | translation elongation factor Tu (tuf) gene | AF298796.1 | Forward primer | CTTCCCAGGTGACGATGTAC | 22 | 132 |
| Reverse primer | TCACGTTCTGGAGTTGGAATG | 23 | ||||
| Probe | AGCTTTAGAAGGCGATGCTCAATACGAA | 28 | ||||
| Enterococcus faecalis | 16S ribosomal RNA gene | EU887827.1 | Forward primer | AACTGTTCATCCCTTGACGG | 22 | 137 |
| Reverse primer | TCAGACTTAAGAAACCGCCTG | 21 | ||||
| Probe | ACGCTTGCCACCTACGTATTACCG | 24 | ||||
| Actinomyces viscosus | 16S rRNA gene | X82453.1 | Forward primer | GGGAGCGAACAGGATTAGATAC | 24 | 148 |
| Reverse primer | CCTTTGAGTTTTAGCCTTGCG | 23 | ||||
| Probe | ACACCTAGTGCCCAACGTTTACGG | 24 | ||||
| GAPDH | Human ORF | LT737735.1 | Forward primer | GAAGGTGAAGGTCGGAGTC | 19 | 220 |
| Reverse primer | GAAGATGGTGATGGGATTTC | 20 | ||||
| Probe | CAAGCTTCCCGTTCTCAGCC | 20 | ||||
| beta-actin | Homo sapiens actin beta (ACTB), mRNA | NM_001101.4 | Forward primer | AGTCCCTTGCCATCCTAAAAG | 22 | 92 |
| Reverse primer | CAATGCTATCACCTCCCCTG | 21 | ||||
| Probe | CCAGTCCTCTCCCAAGTCCACAC | 24 |
| Healthy Controls (HC) | Periodontitis (PD) | Significance | ||||
|---|---|---|---|---|---|---|
| PS-I | PS-II | PS-III | PS-IV | |||
| (n = 28) | (n = 28) | (n = 28) | (n = 28) | (n = 28) | ||
| Age | 30.04 ± 8.79 | 35.00 ± 15.10 | 49.21 ± 16.92 | 58.17 ± 14.40 | 61.41 ± 11.35 | <0.001 |
| Sex | ||||||
| Male | 4 (14.3%) | 3 (12.5%) | 11 (45.8%) | 9 (39.1%) | 10 (45.5%) | 0.010 |
| Female | 24 (85.7%) | 21 (87.5%) | 13 (54.2%) | 14 (60.9%) | 12 (54.5%) | |
| Hypertension | 0 | 1 (4.2%) | 1 (4.2%) | 4 (17.4%) | 6 (27.3%) | 0.005 |
| Diabetes | 0 (0.0%) | 1 (4.2%) | 0 (0.0%) | 2 (8.7%) | 4 (18.2%) | 0.023 |
| Osteoporosis | 0 (0.0%) | 1 (4.2%) | 0 (0.0%) | 0 (0.0%) | 0 (0.0%) | 0.769 |
| Hepatitis | 0 (0.0%) | 0 (0.0%) | 1 (4.2%) | 0 (0.0%) | 0 (0.0%) | 0.769 |
| Smoking | 0 (0.0%) | 0 (0.0%) | 2 (8.3%) | 4 (17.4%) | 1 (4.5%) | 0.032 |
| # of teeth | 27.68 ± 1.467 | 27.44 ± 1.227 | 27.46 ± 1.560 | 27.56 ± 1.635 | 26.59 ± 1.681 | 0.12 |
| BOP, % | 30 ± 18 | 37 ± 19 | 28 ± 20 | 35 ± 23 | 32 ± 24 | 0.595 |
| Mean GI | 0.58 ± 0.57 | 0.66 ± 0.45 | 0.50 ± 0.39 | 0.66 ± 0.69 | 0.75 ± 0.55 | 0.592 |
| Mean PI | 0.48 ± 0.41 | 0.51 ± 0.45 | 0.42 ± 0.45 | 0.73 ± 0.58 | 0.61 ± 0.51 | 0.184 |
| Mean PPD | 2.36 ± 0.26 | 2.54 ± 0.30 | 2.54 ± 0.33 | 2.70 ± 0.56 | 2.83 ± 0.62 | 0.003 |
| Mean GR | 0.11 ± 0.33 | 0.053 ± 0.056 | 0.12 ± 0.15 | 0.26 ± 0.27 | 0.65 ± 0.97 | <0.001 |
| Mean CAL | 0.24 ± 0.58 | 0.12 ± 0.12 | 0.27 ± 0.29 | 0.57 ± 0.59 | 1.25 ± 1.43 | <0.001 |
| Mean ABL | 0.077 ± 0.32 | 0.22 ± 0.16 | 0.50 ± 0.27 | 1.18 ± 0.71 | 2.34 ± 2.07 | <0.001 |
| # of FI | 0 | 0 | 0 | 0.36 ± 0.78 | 0.73 ± 1.32 | <0.001 |
| TM0 | 27.25 ± 2.45 | 27.20 ± 1.35 | 27.29 ± 1.33 | 26.36 ± 1.98 | 24.09 ± 3.31 | <0.001 |
| TM1 | 0 | 0 | 0 | 0.80 ± 1.38 | 1.64 ± 2.08 | <0.001 |
| TM2 | 0 | 0 | 0 | 0 | 0.27 ± 0.63 | 0.001 |
| TM3 | 0 | 0 | 0 | 0.04 ± 0.20 | 0.23 ± 0.61 | 0.022 |
| Sal. Ez. | ||||||
| Active MMP-8 (ng/mL) | 119.10 ± 93.73 | 172.82 ± 166.54 | 190.57 ± 125.68 | 281.87 ± 206.93 | 288.35 ± 145.54 | <0.001 |
| Pro-MMP-8 (ng/mL) | 115.90 ± 90.62 | 127.38 ± 82.44 | 155.02 ± 93.70 | 217.72 ± 104.60 | 256.90 ± 139.43 | <0.001 |
| Total MMP-8 (ng/mL) | 235.01 ± 178.71 | 300.21 ± 233.94 | 345.59 ± 209.98 | 499.57 ± 286.48 | 545.24 ± 270.87 | <0.001 |
| CRP (ng/mL) | 0.93 ± 3.01 | 0.82 ± 1.68 | 0.47 ± 1.18 | 0.70 ± 1.10 | 0.37 ± 0.80 | 0.564 |
| sIgA (μg/mL) | 225.16 ± 135.68 | 221.45 ± 133.02 | 221.25 ± 115.93 | 321.20 ± 163.72 | 336.21 ± 184.33 | 0.012 |
| Total | Clinical Final Diagnosis | Prediction Model | FP | FN | Sensitivity | Specificity | Accuracy | |||||
|---|---|---|---|---|---|---|---|---|---|---|---|---|
| 121 | HC | 28 | ||||||||||
| Periodontitis | 93 | PD | 117 | 24 | 0 | 1.000 | (93/93) | 0.143 | (4/28) | 0.802 | (97/121) | |
| PS-I | 24 | PD-I | 4 | 3 | 23 | 0.042 | (1/24) | 0.969 | (94/97) | 0.785 | (95/121) | |
| PS-II | 24 | PD-II | 5 | 5 | 24 | 0.000 | (0/24) | 0.948 | (92/97) | 0.760 | (92/121) | |
| PS-III | 23 | PD-III | 11 | 4 | 16 | 0.304 | (7/23) | 0.959 | (94/98) | 0.835 | (101/121) | |
| PS-IV | 22 | PD-IV | 9 | 2 | 15 | 0.318 | (7/22) | 0.980 | (97/99) | 0.860 | (104/121) | |
| PS-II, -III, and -IV | 69 | PA-I | 67 | 15 | 17 | 0.754 | (52/69) | 0.712 | (37/52) | 0.736 | (89/121) | |
| PS-III and -IV | 45 | PA-II | 44 | 10 | 11 | 0.756 | (34/45) | 0.868 | (66/76) | 0.826 | (100/121) | |
© 2020 by the authors. Licensee MDPI, Basel, Switzerland. This article is an open access article distributed under the terms and conditions of the Creative Commons Attribution (CC BY) license (http://creativecommons.org/licenses/by/4.0/).
Share and Cite
Lee, J.; Lee, J.-B.; Song, H.-Y.; Son, M.J.; Li, L.; Rhyu, I.-C.; Lee, Y.-M.; Koo, K.-T.; An, J.-S.; Kim, J.S.; et al. Diagnostic Models for Screening of Periodontitis with Inflammatory Mediators and Microbial Profiles in Saliva. Diagnostics 2020, 10, 820. https://doi.org/10.3390/diagnostics10100820
Lee J, Lee J-B, Song H-Y, Son MJ, Li L, Rhyu I-C, Lee Y-M, Koo K-T, An J-S, Kim JS, et al. Diagnostic Models for Screening of Periodontitis with Inflammatory Mediators and Microbial Profiles in Saliva. Diagnostics. 2020; 10(10):820. https://doi.org/10.3390/diagnostics10100820
Chicago/Turabian StyleLee, Jungwon, Jun-Beom Lee, Hyun-Young Song, Min Jung Son, Ling Li, In-Chul Rhyu, Yong-Moo Lee, Ki-Tae Koo, Jung-Sub An, Jin Sup Kim, and et al. 2020. "Diagnostic Models for Screening of Periodontitis with Inflammatory Mediators and Microbial Profiles in Saliva" Diagnostics 10, no. 10: 820. https://doi.org/10.3390/diagnostics10100820
APA StyleLee, J., Lee, J.-B., Song, H.-Y., Son, M. J., Li, L., Rhyu, I.-C., Lee, Y.-M., Koo, K.-T., An, J.-S., Kim, J. S., & Kim, E. (2020). Diagnostic Models for Screening of Periodontitis with Inflammatory Mediators and Microbial Profiles in Saliva. Diagnostics, 10(10), 820. https://doi.org/10.3390/diagnostics10100820

