Pharmacological Advancements of PRC2 in Cancer Therapy: A Narrative Review
Abstract
1. Introduction
2. Methods
2.1. EPZ6438—Tazemetostat
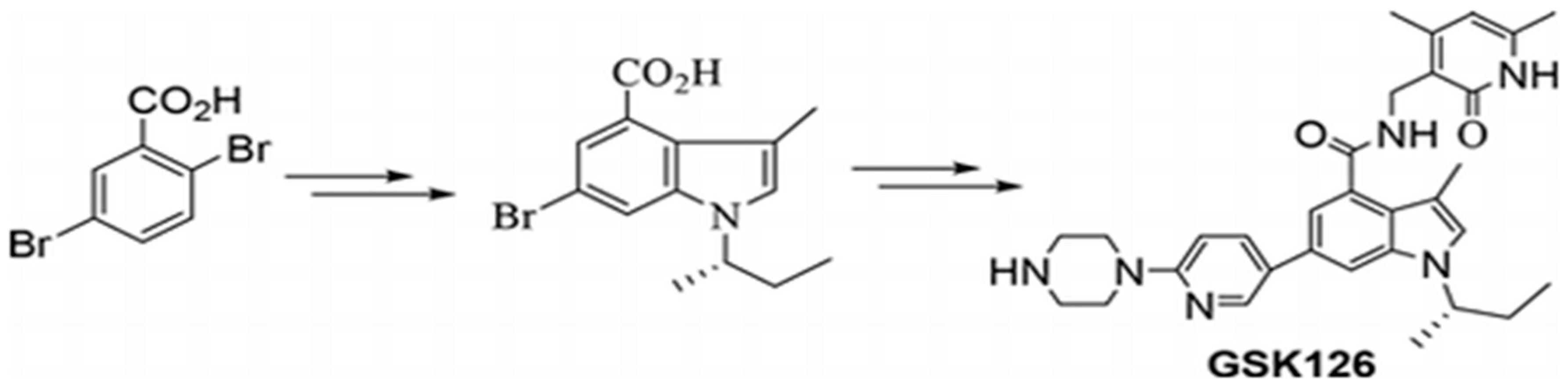
2.2. GSK126
2.3. Valemetostat
2.4. UNC1999
3. Discussion and Future Directions
| Clinical Trial | Drug(s) Tested | Disease(s) Tested | Patients | Biomarker(s) | Results |
|---|---|---|---|---|---|
| NCT02889523 (Phase Ib/II) | Tazemetostat and R-CHOP | DLBCL and FL patients treated by R-CHOP | 214 | EZH2 mutated in approximately 25% of germinal center B cell lymphomas which can be targeted and inhibited by Tazemetostat | In the phase Ib trial, 17 patients were enrolled in a dose-escalation study to evaluate the recommended phase II dose (RP2D). The RP2D of Tazemetostat when combined with R-CHOP was 800 mg twice a day. Within the phase II trial, the combination of R-CHOP and Tazemetostat was viable, although further investigation is needed to optimize the treatment of this vulnerable population, particularly including correlative studies with molecular subclassifications [59,96,97]. |
| NCT01897571 (Phase II) | Tazemetostat | Relapsed or refractory follicular lymphoma | 99 | EZH2 mutations in 20% of FL patients which can be inhibited by Tazemetostat | Tazemetostat had a clinically meaningful durable response as a monotherapy. Within the EZH2mut cohort, there was an objective response rate of 69%, a median duration of response of 10.9 months, and a median progression-free survival rate of 13.8 months [61]. |
| NCT02601937 (Phase I) | Tazemetostat | Rhabdoid tumors (RTs) and epithelioid sarcoma (ES) | 47 | Absence of integrase interactor 1 (INI1) expression inducing dependence upon EZH2 | Tazemetostat is generally well tolerated in children, with an adverse event profile similar to adults. Tazemetostat shows promising anti-tumor activity in a subset of pediatric tumors, including atypical teratoid rhabdoid tumor (ATRT), chordoma, and Ewing sarcoma [62]. |
| NCT02860286 (Phase II) | Tazemetostat | Pleural mesothelioma | 74 | BAP1 inactivation via EZH2 inhibition with Tazemetostat | Tazemetostat showed a 54% disease control rate at week 12 for patients with BAP1-inactivated malignant pleural mesothelioma, with some partial responses observed but no confirmed complete responses [63]. |
| NCT03213665 (Phase II) | Tazemetostat | R/R brain tumors, solid tumors, non-Hodgkin lymphoma, or histiocytic disorders | 20 | Tazemetostat may stop the growth of tumor cells by blocking EZH2 in patients with EZH2 or SWI/SNF complex alterations | In this cohort of children with relapsed tumors harboring EZH2 mutations or the loss of SMARCB1 or SMARCA4, Tazemetostat did not produce significant objective responses. Tazemetostat may have had a potential effect on disease stabilization. As such, future studies may be combined into chemotherapy treatments for patients with aggressive or difficult-to-treat tumors [65,98]. |
| NCT02082977 (Phase I) | GSK126 | Non-Hodgkin lymphoma (NHL), metastatic solid tumors, and multiple myeloma with relapsed or refractory disease | 41 | Marked growth inhibitory effects of mutant (Y641N, A667G, and A687V) EZH2 | GSK126 showed some efficacy, with 34% of patients achieving stable disease and one patient with lymphoma achieving a partial response. However, a majority of patients (51%) had progressive disease. The treatment was generally well tolerated, though all patients experienced at least one adverse event, with fatigue and nausea being the most common. The maximum tolerated dose was established at 2400 mg due to dose-limiting elevated liver transaminases observed at 3000 mg [95]. |
| NCT04102150 (Phase II) | Valemetostat | R/R adult T cell leukemia or lymphoma (ATL) | 25 | EZH1/2 dual inhibition | A multicenter phase 2 trial enrolled patients who were given 200 mg/day orally for continuous 28-day cycles. Out of 25 patients, there were four complete and seven partial remissions. There were manageable treatment-emergent adverse events. Of note, 24 subjects had previously received mogamulizumab as treatment [84]. |
| NCT04703192 (Phase II) | Valemetostat | R/R peripheral T cell lymphoma | 155 | R/R peripheral T cell lymphoma may benefit from Valemetostat dual inhibition of EZH1/2 | Of the 155 participants, 133 patients had R/R peripheral T cell lymphoma, while 22 had adult T cell leukemia/lymphoma. Treatment with Valemetostat as a monotherapy led to durable responses for patients with R/R peripheral T cell lymphoma and had manageable safety profiles [99]. |
| Clinical Trial | Drug(s) Tested | Disease(s) Tested | Patients | Biomarker(s) | Preliminary Results |
|---|---|---|---|---|---|
| NCT04846478 (Phase Ia/Ib) | Talazoparib and Tazemetostat | mCRPC | 35 | EZH2 inhibition to regulate DNA damage repair (DDR) gene expression | Phase Ia will be a dose escalation/de-escalation of both Tazemetostat (600 mg) and Talazoparib (0.75). Phase 1b will enroll 20 additional patients and determine the overall response rate of the treatment. No preliminary data have been released at the time of writing [100,101]. |
| NCT03854474 (Phase I/II) | Tazemetostat and Pembrolizumab (MK-3475) | Metastatic urothelial carcinoma (mUC) | 30 | Mutations in COMPASS-related proteins KMT2D, KMT2C, and KDM6A are found in 66% of UC patients, which may be regulated by EZH2 inhibition | The RP2D will be determined with Pembrolizumab in a pilot study testing the efficacy of Tazemetostat 800 mg BID + Pembrolizumab 200 mg every 3 weeks. This combination was determined as feasible, well tolerated, and resulted in durable responses in poor-risk chemo-refractory UC patients. As such, the phase II portion of this clinical trial is currently ongoing, with no data released at the time of writing [102,103]. |
| NCT03348631 (Phase II) | Tazemetostat | Recurrent ovarian or endometrial cancer | 62 | Tazemetostat to regulated ARID1A mutation and BAF250a expression | Within this trial, the overall response rate and response frequency against recurrent or persistent endometrioid or clear-cell ovarian carcinoma, as well as in patients with recurrent or persistent endometrioid endometrial adenocarcinoma, will be determined. There are no preliminary data released at the time of writing [104]. |
| NCT04179864 (Phase Ib/II) | Tazemetostat with Enzalutamide or Abiraterone | Advanced prostate cancer (CELLO-1) | 102 | Inhibiting EZH2 may re-sensitize tumors to overcome resistance to androgen-signaling inhibitors (ASIs), such as Enzalutamide or Abiraterone | Within the phase Ib portion, patients were treated with either Tazemetostat (800 mg) twice daily plus Abiraterone (1000 mg) once daily and prednisone (5 mg) twice daily, or Tazemetostat escalated to 1600 mg twice daily plus Enzalutamide at 160 mg daily. The RP2D of Tazemetostat was determined to be 1200 mg twice daily plus Enzalutamide. Phase 2 of the study will focus on the efficacy of utilizing Enzalutamide as a monotherapy versus in conjunction with Tazemetostat. No preliminary data regarding Phase 2 of the study have been released at the time of writing [105,106]. |
| NCT04842877 {Phase II) | Valemetostat | R/R B cell lymphoma | 141 | R/R lymphoma patients with EZH2 function mutations may benefit from Valemetostat dual inhibition of EZH1/2 | Up to 141 patients will be split into six cohorts, namely 40 patients with aggressive B cell lymphoma, 41 with FL, 20 with mantle cell lymphoma (MCL) and 20 with other indolent lymphomas, and 20 patients with Hodgkin lymphoma (HL). The overall response rate will be the primary endpoint of this investigation. No data regarding the ORR have been released at the time of writing [107]. |
4. Conclusions
Author Contributions
Funding
Institutional Review Board Statement
Informed Consent Statement
Data Availability Statement
Conflicts of Interest
References
- Margueron, R.; Reinberg, D. The Polycomb complex PRC2 and its mark in life. Nature 2011, 469, 343–349. [Google Scholar] [CrossRef] [PubMed]
- Comet, I.; Riising, E.M.; Leblanc, B.; Helin, K. Maintaining cell identity: PRC2-mediated regulation of transcription and cancer. Nat. Rev. Cancer 2016, 16, 803–810. [Google Scholar] [CrossRef] [PubMed]
- Yu, J.-R.; Lee, C.-H.; Oksuz, O.; Stafford, J.M.; Reinberg, D. PRC2 is high maintenance. Genes Dev. 2019, 33, 903–935. [Google Scholar] [CrossRef] [PubMed]
- Zhao, Y.; Guan, Y.-Y.; Zhao, F.; Yu, T.; Zhang, S.-J.; Zhang, Y.-Z.; Duan, Y.-C.; Zhou, X.-L. Recent strategies targeting Embryonic Ectoderm Development (EED) for cancer therapy: Allosteric inhibitors, PPI inhibitors, and PROTACs. Eur. J. Med. Chem. 2022, 231, 114144. [Google Scholar] [CrossRef]
- Farley, S.J.; Grishok, A.; Zeldich, E. Shaking up the silence: Consequences of HMGN1 antagonizing PRC2 in the Down syndrome brain. Epigenet. Chromatin 2022, 15, 39. [Google Scholar] [CrossRef]
- Grau, D.; Zhang, Y.; Lee, C.-H.; Valencia-Sánchez, M.; Zhang, J.; Wang, M.; Holder, M.; Svetlov, V.; Tan, D.; Nudler, E.; et al. Structures of monomeric and dimeric PRC2:EZH1 reveal flexible modules involved in chromatin compaction. Nat. Commun. 2021, 12, 714. [Google Scholar] [CrossRef]
- Chammas, P.; Mocavini, I.; Di Croce, L. Engaging chromatin: PRC2 structure meets function. Br. J. Cancer 2020, 122, 315–328. [Google Scholar] [CrossRef]
- Fischer, S.; Liefke, R. Polycomb-like Proteins in Gene Regulation and Cancer. Genes 2023, 14, 938. [Google Scholar] [CrossRef]
- Liu, X. A Structural Perspective on Gene Repression by Polycomb Repressive Complex 2. In Macromolecular Protein Complexes III: Structure and Function; Harris, J.R., Marles-Wright, J., Eds.; Springer International Publishing: Cham, Switzerland, 2021; pp. 519–562. [Google Scholar]
- Fischer, S.; Weber, L.M.; Liefke, R. Evolutionary adaptation of the Polycomb repressive complex 2. Epigenet. Chromatin 2022, 15, 7. [Google Scholar] [CrossRef]
- Velichutina, I.; Shaknovich, R.; Geng, H.; Johnson, N.A.; Gascoyne, R.D.; Melnick, A.M.; Elemento, O. EZH2-mediated epigenetic silencing in germinal center B cells contributes to proliferation and lymphomagenesis. Blood 2010, 116, 5247–5255. [Google Scholar] [CrossRef]
- Van Galen, J.C.; Dukers, D.F.; Giroth, C.; Sewalt, R.G.A.B.; Otte, A.P.; Meijer, C.J.L.M.; Raaphorst, F.M. Distinct expression patterns of polycomb oncoproteins and their binding partners during the germinal center reaction. Eur. J. Immunol. 2004, 34, 1870–1881. [Google Scholar] [CrossRef] [PubMed]
- Geng, J.; Li, X.; Zhou, Z.; Wu, C.-L.; Dai, M.; Bai, X. EZH2 promotes tumor progression via regulating VEGF-A/AKT signaling in non-small cell lung cancer. Cancer Lett. 2015, 359, 275–287. [Google Scholar] [CrossRef] [PubMed]
- Sato, T.; Kaneda, A.; Tsuji, S.; Isagawa, T.; Yamamoto, S.; Fujita, T.; Yamanaka, R.; Tanaka, Y.; Nukiwa, T.; Marquez, V.E.; et al. PRC2 overexpression and PRC2-target gene repression relating to poorer prognosis in small cell lung cancer. Sci. Rep. 2013, 3, 1911. [Google Scholar] [CrossRef] [PubMed]
- Maryan, N.; Statkiewicz, M.; Mikula, M.; Goryca, K.; Paziewska, A.; Strzałkowska, A.; Dabrowska, M.; Bujko, M.; Ostrowski, J. Regulation of the expression of claudin 23 by the enhancer of zeste 2 polycomb group protein in colorectal cancer. Mol. Med. Rep. 2015, 12, 728–736. [Google Scholar] [CrossRef]
- Kodach, L.L.; Jacobs, R.J.; Heijmans, J.; van Noesel, C.J.M.; Langers, A.M.J.; Verspaget, H.W.; Hommes, D.W.; Offerhaus, G.J.A.; van den Brink, G.R.; Hardwick, J.C.H. The role of EZH2 and DNA methylation in the silencing of the tumour suppressor RUNX3 in colorectal cancer. Carcinogenesis 2010, 31, 1567–1575. [Google Scholar] [CrossRef]
- Lee, S.T.; Li, Z.; Wu, Z.; Aau, M.; Guan, P.; Karuturi, R.K.M.; Liou, Y.C.; Yu, Q. Context-Specific Regulation of NF-κB Target Gene Expression by EZH2 in Breast Cancers. Mol. Cell 2011, 43, 798–810. [Google Scholar] [CrossRef]
- Kleer, C.G.; Cao, Q.; Varambally, S.; Shen, R.; Ota, I.; Tomlins, S.A.; Ghosh, D.; Sewalt, R.G.A.B.; Otte, A.P.; Hayes, D.F.; et al. EZH2 is a marker of aggressive breast cancer and promotes neoplastic transformation of breast epithelial cells. Proc. Natl. Acad. Sci. USA 2003, 100, 11606–11611. [Google Scholar] [CrossRef]
- Mahara, S.; Lee, P.L.; Feng, M.; Tergaonkar, V.; Chng, W.J.; Yu, Q. HIFI-α activation underlies a functional switch in the paradoxical role of Ezh2/PRC2 in breast cancer. Proc. Natl. Acad. Sci. USA 2016, 113, E3735–E3744. [Google Scholar] [CrossRef]
- Mieczkowska, I.K.; Pantelaiou-Prokaki, G.; Prokakis, E.; Schmidt, G.E.; Müller-Kirschbaum, L.C.; Werner, M.; Sen, M.; Velychko, T.; Jannasch, K.; Dullin, C.; et al. Decreased PRC2 activity supports the survival of basal-like breast cancer cells to cytotoxic treatments. Cell Death Dis. 2021, 12, 1118. [Google Scholar] [CrossRef]
- Yoshida, K.; Toden, S.; Ravindranathan, P.; Han, H.; Goey, A. Curcumin sensitizes pancreatic cancer cells to gemcitabine by attenuating PRC2 subunit EZH2, and the lncRNA PVT1 expression | Carcinogenesis | Oxford Academic. Carcinogenesis 2017, 38, 1036–1046. [Google Scholar] [CrossRef]
- Chen, Y.; Xie, D.; Yin Li, W.; Man Cheung, C.; Yao, H.; Chan, C.Y.; Chan, C.; Xu, F.-P.; Liu, Y.-H.; Sung, J.J.Y.; et al. RNAi targeting EZH2 inhibits tumor growth and liver metastasis of pancreatic cancer in vivo. Cancer Lett. 2010, 297, 109–116. [Google Scholar] [CrossRef] [PubMed]
- Kirk, J.S.; Schaarschuch, K.; Dalimov, Z.; Lasorsa, E.; Ku, S.; Ramakrishnan, S.; Hu, Q.; Azabdaftari, G.; Wang, J.; Pili, R.; et al. Top2a identifies and provides epigenetic rationale for novel combination therapeutic strategies for aggressive prostate cancer. Oncotarget 2014, 6, 3136–3146. [Google Scholar] [CrossRef] [PubMed]
- Xu, K.; Wu, Z.J.; Groner, A.C.; He, H.H.; Cai, C.; Lis, R.T.; Wu, X.; Stack, E.C.; Loda, M.; Liu, T.; et al. EZH2 oncogenic activity in castration-resistant prostate cancer cells is Polycomb-independent. Science 2012, 338, 1465–1469. [Google Scholar] [CrossRef] [PubMed]
- DiDonato, J.A.; Mercurio, F.; Karin, M. NF-κB and the link between inflammation and cancer. Immunol. Rev. 2012, 246, 379–400. [Google Scholar] [CrossRef]
- Xu, B.; Konze, K.D.; Jin, J.; Wang, G.G. Targeting EZH2 and PRC2 dependence as novel anticancer therapy. Exp. Hematol. 2015, 43, 698–712. [Google Scholar] [CrossRef]
- Sneeringer, C.J.; Scott, M.P.; Kuntz, K.W.; Knutson, S.K.; Pollock, R.M.; Richon, V.M.; Copeland, R.A. Coordinated activities of wild-type plus mutant EZH2 drive tumor-associated hypertrimethylation of lysine 27 on histone H3 (H3K27) in human B-cell lymphomas. Proc. Natl. Acad. Sci. USA 2010, 107, 20980–20985. [Google Scholar] [CrossRef]
- Wu, F.; Li, N.; Wu, X.; Chen, M.; Huang, W.; Chen, X.; Hong, Y.; Wang, L.; Chen, K.; Lin, L.; et al. EZH2 mutation is associated with the development of visceral metastasis by enhancing proliferation and invasion and inhibiting apoptosis in breast cancer cells. BMC Cancer 2024, 24, 1166. [Google Scholar] [CrossRef]
- Fan, K.; Zhang, B.; Han, D.; Sun, Y. EZH2 as a prognostic-related biomarker in lung adenocarcinoma correlating with cell cycle and immune infiltrates. BMC Bioinform. 2023, 24, 149. [Google Scholar] [CrossRef]
- Peng, D.; Kryczek, I.; Nagarsheth, N.; Zhao, L.; Wei, S.; Wang, W.; Sun, Y.; Zhao, E.; Vatan, L.; Szeliga, W.; et al. Epigenetic silencing of TH1-type chemokines shapes tumour immunity and immunotherapy. Nature 2015, 527, 249–253. [Google Scholar] [CrossRef]
- Nagarsheth, N.; Peng, D.; Kryczek, I.; Wu, K.; Li, W.; Zhao, E.; Zhao, L.; Wei, S.; Frankel, T.; Vatan, L.; et al. PRC2 Epigenetically Silences Th1-Type Chemokines to Suppress Effector T-Cell Trafficking in Colon Cancer. Cancer Res. 2016, 76, 275–282. [Google Scholar] [CrossRef]
- Zingg, D.; Debbache, J.; Schaefer, S.M.; Tuncer, E.; Frommel, S.C.; Cheng, P.; Arenas-Ramirez, N.; Haeusel, J.; Zhang, Y.; Bonalli, M.; et al. The epigenetic modifier EZH2 controls melanoma growth and metastasis through silencing of distinct tumour suppressors. Nat. Commun. 2015, 6, 6051. [Google Scholar] [CrossRef] [PubMed]
- Neff, T.; Sinha, A.U.; Kluk, M.J.; Zhu, N.; Khattab, M.H.; Stein, L.; Huafeng, X.; Orkin, S.H.; Armstrong, S.A. Polycomb repressive complex 2 is required for MLL-AF9 leukemia. Proc. Natl. Acad. Sci. USA 2012, 13, 5028–5033. [Google Scholar] [CrossRef] [PubMed]
- Lee, S.C.W.; Miller, S.; Hyland, C.; Kauppi, M.; Lebois, M.; Di Rago, L.; Metcalf, D.; Kinkel, S.A.; Josefsson, E.C.; Blewitt, M.E.; et al. Polycomb repressive complex 2 component Suz12 is required for hematopoietic stem cell function and lymphopoiesis. Blood 2015, 126, 167–175. [Google Scholar] [CrossRef] [PubMed]
- Pasini, D.; Bracken, A.P.; Jensen, M.R.; Lazzerini Denchi, E.; Helin, K. Suz12 is essential for mouse development and for EZH2 histone methyltransferase activity. EMBO J. 2004, 23, 4061–4071. [Google Scholar] [CrossRef]
- Broux, M.; Prieto, C.; Demeyer, S.; Vanden Bempt, M.; Alberti-Servera, L.; Lodewijckx, I.; Vandepoel, R.; Mentens, N.; Gielen, O.; Jacobs, K.; et al. Suz12 inactivation cooperates with JAK3 mutant signaling in the development of T-cell acute lymphoblastic leukemia. Blood 2019, 134, 1323–1336. [Google Scholar] [CrossRef]
- Cui, Y.; Chen, J.; He, Z.; Xiao, Y. SUZ12 Depletion Suppresses the Proliferation of Gastric Cancer Cells. Cell. Physiol. Biochem. 2013, 31, 778–784. [Google Scholar] [CrossRef]
- Iliopoulos, D.; Lindahl-Allen, M.; Polytarchou, C.; Hirsch, H.A.; Tsichlis, P.N.; Struhl, K. Loss of miR-200 Inhibition of Suz12 Leads to Polycomb-Mediated Repression Required for the Formation and Maintenance of Cancer Stem Cells. Mol. Cell 2010, 39, 761–772. [Google Scholar] [CrossRef]
- He, Y.; Selvaraju, S.; Curtin, M.L.; Jakob, C.G.; Zhu, H.; Comess, K.M.; Shaw, B.; The, J.; Lima-Fernandes, E.; Szewczyk, M.M.; et al. The EED protein–protein interaction inhibitor A-395 inactivates the PRC2 complex. Nat. Chem. Biol. 2017, 13, 389–395. [Google Scholar] [CrossRef]
- Qi, W.; Zhao, K.; Gu, J.; Huang, Y.; Wang, Y.; Zhang, H.; Zhang, M.; Zhang, J.; Yu, Z.; Li, L.; et al. An allosteric PRC2 inhibitor targeting the H3K27me3 binding pocket of EED. Nat. Chem. Biol. 2017, 13, 381–388. [Google Scholar] [CrossRef]
- Cai, L.; Liu, B.; Cao, Y.; Sun, T.; Li, Y. Unveiling the molecular structure and role of RBBP4/7: Implications for epigenetic regulation and cancer research. Front. Mol. Biosci. 2023, 10, 1276612. [Google Scholar] [CrossRef]
- Gao, M.; Li, Y.; Cao, P.; Liu, H.; Chen, J.; Kang, S. Exploring the therapeutic potential of targeting polycomb repressive complex 2 in lung cancer. Front. Oncol. 2023, 13, 1216289. [Google Scholar] [CrossRef] [PubMed]
- Kang, N.; Eccleston, M.; Clermont, P.-L.; Latarani, M.; Male, D.K.; Wang, Y.; Crea, F. EZH2 Inhibition: A Promising Strategy to Prevent Cancer Immune Editing. Epigenomics 2020, 12, 1457–1476. [Google Scholar] [CrossRef] [PubMed]
- Huang, J.; Zhang, J.; Guo, Z.; Li, C.; Tan, Z.; Wang, J.; Yang, J.; Xue, L. Easy or Not—The Advances of EZH2 in Regulating T Cell Development, Differentiation, and Activation in Antitumor Immunity. Front. Immunol. 2021, 12, 741302. [Google Scholar] [CrossRef] [PubMed]
- Wang, Y.; Ding, Y.; Guo, N.; Wang, S. MDSCs: Key Criminals of Tumor Pre-metastatic Niche Formation. Front. Immunol. 2019, 10, 172. [Google Scholar] [CrossRef]
- Böttcher, J.P.; Bonavita, E.; Chakravarty, P.; Blees, H.; Cabeza-Cabrerizo, M.; Sammicheli, S.; Rogers, N.C.; Sahai, E.; Zelenay, S.; Sousa, C.R.E. NK Cells Stimulate Recruitment of cDC1 into the Tumor Microenvironment Promoting Cancer Immune Control. Cell 2018, 172, 1022–1037.e14. [Google Scholar] [CrossRef]
- Goswami, S.; Apostolou, I.; Zhang, J.; Skepner, J.; Anandhan, S.; Zhang, X.; Xiong, L.; Trojer, P.; Aparicio, A.; Subudhi, S.K.; et al. Modulation of EZH2 expression in T cells improves efficacy of anti–CTLA-4 therapy. J. Clin. Investig. 2018, 128, 3813–3818. [Google Scholar] [CrossRef]
- Wang, D.; Quiros, J.; Mahuron, K.; Pai, C.-C.; Ranzani, V.; Young, A.; Silveria, S.; Harwin, T.; Abnousian, A.; Pagani, M.; et al. Targeting EZH2 Reprograms Intratumoral Regulatory T Cells to Enhance Cancer Immunity. Cell Rep. 2018, 23, 3262–3274. [Google Scholar] [CrossRef]
- Kuntz, K.W.; Campbell, J.E.; Keilhack, H.; Pollock, R.M.; Knutson, S.K.; Porter-Scott, M.; Richon, V.M.; Sneeringer, C.J.; Wigle, T.J.; Allain, C.J.; et al. The Importance of Being Me: Magic Methyls, Methyltransferase Inhibitors, and the Discovery of Tazemetostat. J. Med. Chem. 2016, 59, 1556–1564. [Google Scholar] [CrossRef]
- Morin, R.D.; Arthur, S.E.; Assouline, S. Treating lymphoma is now a bit EZ-er. Blood Adv. 2021, 5, 2256–2263. [Google Scholar] [CrossRef]
- Otsuka, Y.; Nishikori, M.; Arima, H.; Izumi, K.; Kitawaki, T.; Hishizawa, M.; Takaori-Kondo, A. EZH2 inhibitors restore epigenetically silenced CD58 expression in B-cell lymphomas. Mol. Immunol. 2020, 119, 35–45. [Google Scholar] [CrossRef]
- Challa-Malladi, M.; Lieu, Y.K.; Califano, O.; Dominguez-Sola, D.; Pasqualucci, L.; Dalla-Favera, R. Combined Genetic Inactivation of β2-Microglobulin and CD58 Reveals Frequent Escape from Immune Recognition in Diffuse Large B Cell Lymphoma. Cancer Cell. 2011, 20, 728–740. [Google Scholar] [CrossRef] [PubMed]
- Simeone, N.; Frezza, A.M.; Zaffaroni, N.; Stacchiotti, S. Tazemetostat for advanced epithelioid sarcoma: Current status and future perspectives. Future Oncol. 2021, 17, 1253–1263. [Google Scholar] [CrossRef] [PubMed]
- Kassabov, S.R.; Zhang, B.; Persinger, J.; Bartholomew, B. SWI/SNF Unwraps, Slides, and Rewraps the Nucleosome. Mol. Cell 2003, 11, 391–403. [Google Scholar] [CrossRef] [PubMed]
- Helming, K.C.; Wang, X.; Roberts, C.W.M. Vulnerabilities of Mutant SWI/SNF Complexes in Cancer. Cancer Cell 2014, 26, 309–317. [Google Scholar] [CrossRef]
- Knutson, S.K.; Kawano, S.; Minoshima, Y.; Warholic, N.M.; Huang, K.-C.; Xiao, Y.; Kadowaki, T.; Uesugi, M.; Kuznetsov, G.; Kumar, N.; et al. Selective Inhibition of EZH2 by EPZ-6438 Leads to Potent Antitumor Activity in EZH2-Mutant Non-Hodgkin Lymphoma. Mol. Cancer Ther. Am. Assoc. Cancer Res. 2014, 13, 842–854. [Google Scholar] [CrossRef]
- Morschhauser, F.; Salles, G.; Batlevi, C.L.; Tilly, H.; Chaidos, A.; Phillips, T.; Burke, J.; Melnick, A. Taking the EZ way: Targeting enhancer of zeste homolog 2 in B-cell lymphomas. Blood Rev. 2022, 56, 100988. [Google Scholar] [CrossRef]
- Johnston, L.D.; Knutson, S.; Warholic, N.; Klaus, C.R.; Wigle, T.J.; Iwanowicz, D.; Littlefield, B.A.; Scott, M.P.; Smith, J.J.; Moyer, M.P.; et al. EZH2 Inhibitor EPZ-6438 Synergizes with Anti-Lymphoma Therapies in Preclinical Models. Blood 2013, 122, 4416. [Google Scholar] [CrossRef]
- Sarkozy, C.; Morschhauser, F.; Michot, J.-M.; Suttle, B.; Karlin, L.; LE Gouill, S.; Jardin, F.; Tilly, H.; Herbaux, C.; Salles, G.A.; et al. Results from a Phase Ib Evaluation of Tazemetostat (EPZ-6438) in Combination with R-CHOP in Poor Prognosis Newly Diagnosed Diffuse Large B Cell Lymphoma (DLBCL): A Lysa Study. Blood 2018, 132, 4191. [Google Scholar] [CrossRef]
- Coiffier, B.; Sarkozy, C. Diffuse large B-cell lymphoma: R-CHOP failure—What to do? Hematology 2016, 2016, 366–378. [Google Scholar] [CrossRef]
- Morschhauser, F.; Tilly, H.; Chaidos, A.; McKay, P.; Phillips, T.; Assouline, S.; Batlevi, C.L.; Campbell, P.; Ribrag, V.; Damaj, G.L.; et al. Tazemetostat for patients with relapsed or refractory follicular lymphoma: An open-label, single-arm, multicentre, phase 2 trial. Lancet Oncol. 2020, 21, 1433–1442. [Google Scholar] [CrossRef]
- Chi, S.N.; Bourdeaut, F.; Laetsch, T.W.; Fouladi, M.; Macy, M.E.; Makin, G.W.; Shukla, N.N.; Wetmore, C.; Margol, A.S.; Casanova, M.; et al. Phase I study of tazemetostat, an enhancer of zeste homolog-2 inhibitor, in pediatric pts with relapsed/refractory integrase interactor 1-negative tumors. J. Clin. Oncol. 2020, 38, 10525. [Google Scholar] [CrossRef]
- Zauderer, M.G.; Szlosarek, P.W.; Le Moulec, S.; Popat, S.; Taylor, P.; Planchard, D.; Scherpereel, A.; Koczywas, M.; Forster, M.; Cameron, R.B.; et al. EZH2 inhibitor tazemetostat in patients with relapsed or refractory, BAP1-inactivated malignant pleural mesothelioma: A multicentre, open-label, phase 2 study. Lancet Oncol. 2022, 23, 758–767. [Google Scholar] [CrossRef] [PubMed]
- Wiese, M.; Schill, F.; Sturm, D.; Pfister, S.; Hulleman, E.; Johnsen, S.A.; Kramm, C.M. No Significant Cytotoxic Effect of the EZH2 Inhibitor Tazemetostat (EPZ-6438) on Pediatric Glioma Cells with Wildtype Histone 3 or Mutated Histone 3.3. Klin. Pädiatrie 2016, 228, 113–117. [Google Scholar] [CrossRef] [PubMed]
- Chi, S.N.; Yi, J.S.; Williams, P.M.; Roy-Chowdhuri, S.; Patton, D.R.; Coffey, B.; Reid, J.M.; Piao, J.; Saguilig, L.; Alonzo, T.A.; et al. Tazemetostat in patients with tumors with alterations in EZH2 or the SWI/SNF complex: Results from NCI-COG Pediatric MATCH trial Arm C (APEC1621C). J. Clin. Oncol. 2022, 40, 10009. [Google Scholar] [CrossRef]
- Jones, R.L.; Blay, J.-Y.; Agulnik, M.; Chugh, R.; Mir, O.; Italiano, A.; Thomas, D.; Gupta, A.; Jahan, T.; Cote, G.; et al. A phase II, multicenter study of the EZH2 inhibitor tazemetostat in adults (rhabdoid tumor cohort) (NCT02601950). Ann. Oncol. 2018, 29, viii580–viii581. [Google Scholar] [CrossRef]
- Eich, M.-L.; Athat, M.; Ferguson, J.E., III; Varambally, S. EZH2-Targeted Therapies in Cancer: Hype or Reality. Cancer Res. 2015, 80, 5449–5458. [Google Scholar] [CrossRef]
- Batlevi, C.L.; Park, S.I.; Nastoupil, L.; Phillips, T.; Amengual, J.E.; Andorsky, D.; Campbell, P.; McKay, P.; Pagel, J.M.; Leonard, J.P.; et al. Interim Analysis of the Randomized Phase 1b/3 Study Evaluating the Safety and Efficacy of Tazemetostat Plus Lenalidomide and Rituximab in Patients with Relapsed/Refractory Follicular Lymphoma. Blood 2021, 138, 2207. [Google Scholar] [CrossRef]
- Palomba, M.L.; Cartron, G.; Popplewell, L.; Ribrag, V.; Westin, J.; Huw, L.-Y.; Agarwal, S.; Shivhare, M.; Hong, W.-J.; Raval, A.; et al. Combination of Atezolizumab and Tazemetostat in Patients with Relapsed/Refractory Diffuse Large B-Cell Lymphoma: Results from a Phase Ib Study. Clin. Lymphoma Myeloma Leuk. 2022, 22, 504–512. [Google Scholar] [CrossRef]
- Gounder, M.; Schöffski, P.; Jones, R.L.; Agulnik, M.; Cote, G.M.; Villalobos, V.M.; Attia, S.; Chugh, R.; Chen, T.W.-W.; Jahan, T.; et al. Tazemetostat in advanced epithelioid sarcoma with loss of INI1/SMARCB1: An international, open-label, phase 2 basket study. Lancet Oncol. 2020, 21, 1423–1432. [Google Scholar] [CrossRef]
- Lu, C.; Zhang, Q.; Chen, X. New method for synthesis of EZH2 methyltransferase inhibitor GSK126. Synth. Commun. 2016, 46, 1215–1222. [Google Scholar] [CrossRef]
- McCabe, M.T.; Ott, H.M.; Ganji, G.; Korenchuk, S.; Thompson, C.; Van Aller, G.S.; Liu, Y.; Graves, A.P.; Iii, A.D.P.; Diaz, E.; et al. EZH2 inhibition as a therapeutic strategy for lymphoma with EZH2-activating mutations. Nature 2012, 492, 108–112. [Google Scholar] [CrossRef] [PubMed]
- Chen, Y.; Zhu, H.; Luo, Y.; Tong, S.; Liu, Y. EZH2: The roles in targeted therapy and mechanisms of resistance in breast cancer. Biomed. Pharmacother. 2024, 175, 116624. [Google Scholar] [CrossRef] [PubMed]
- Adhikary, G.; Grun, D.; Balasubramanian, S.; Kerr, C.; Huang, J.M.; Eckert, R.L. Survival of Skin Cancer Stem Cells Requires the Ezh2 Polycomb Group Protein. Available online: https://academic.oup.com/carcin/article/36/7/800/1800488 (accessed on 12 May 2015).
- Konze, K.D.; Ma, A.; Li, F.; Barsyte-Lovejoy, D.; Parton, T.; MacNevin, C.J.; Liu, F.; Gao, C.; Huang, X.-P.; Kuznetsova, E.; et al. An Orally Bioavailable Chemical Probe of the Lysine Methyltransferases EZH2 and EZH1. ACS Chem. Biol. 2013, 8, 1324–1334. [Google Scholar] [CrossRef] [PubMed]
- Bisserier, M.; Wajapeyee, N. Mechanisms of resistance to EZH2 inhibitors in diffuse large B-cell lymphomas. Blood 2018, 131, 2125–2137. [Google Scholar] [CrossRef]
- Gulati, N.; Béguelin, W.; Giulino-Roth, L. Enhancer of zeste homolog 2 (EZH2) inhibitors. Leuk. Lymphoma 2018, 59, 1574–1585. [Google Scholar] [CrossRef]
- Keam, S.J. Valemetostat Tosilate: First Approval. Drugs 2022, 82, 1621–1627. [Google Scholar] [CrossRef]
- Jacobsen, E.; Maruyama, D.; Porcu, P.; Tobinai, K.; Allen, P.B.; Ishitsuka, K.; Tsukasaki, K.; Kusumoto, S.; Foss, F.M.; Yamauchi, N.; et al. Valemetostat for Relapsed or Refractory Peripheral T-Cell Lymphomas: Primary Results from a Phase 1 Trial. Blood 2023, 142, 303. [Google Scholar] [CrossRef]
- Zhou, Q.; Jia, L.; Du, F.; Dong, X.; Sun, W.; Wang, L.; Chen, G. Design, synthesis and biological activities of pyrrole-3-carboxamide derivatives as EZH2 (enhancer of zeste homologue 2) inhibitors and anticancer agents. New J. Chem. 2020, 44, 2247–2255. [Google Scholar] [CrossRef]
- Xia, J.; Li, J.; Tian, L.; Ren, X.; Liu, C.; Liang, C. Targeting Enhancer of Zeste Homolog 2 for the Treatment of Hematological Malignancies and Solid Tumors: Candidate Structure–Activity Relationships Insights and Evolution Prospects. J. Med. Chem. 2022, 65, 7016–7043. [Google Scholar] [CrossRef]
- Yamagishi, M.; Kuze, Y.; Kobayashi, S.; Nakashima, M.; Morishima, S.; Kawamata, T.; Makiyama, J.; Suzuki, K.; Seki, M.; Abe, K.; et al. Mechanisms of action and resistance in histone methylation-targeted therapy. Nature 2024, 627, 221–228. [Google Scholar] [CrossRef]
- Kagiyama, Y.; Fujita, S.; Shima, Y.; Yamagata, K.; Katsumoto, T.; Nakagawa, M.; Honma, D.; Adachi, N.; Araki, K.; Kato, A.; et al. CDKN1C-mediated growth inhibition by an EZH1/2 dual inhibitor overcomes resistance of mantle cell lymphoma to ibrutinib. Cancer Sci. 2021, 112, 2314–2324. [Google Scholar] [CrossRef] [PubMed]
- Izutsu, K.; Makita, S.; Nosaka, K.; Yoshimitsu, M.; Utsunomiya, A.; Kusumoto, S.; Morishima, S.; Tsukasaki, K.; Kawamata, T.; Ono, T.; et al. An open-label, single-arm phase 2 trial of valemetostat for relapsed or refractory adult T-cell leukemia/lymphoma. Blood 2023, 141, 1159–1168. [Google Scholar] [CrossRef] [PubMed]
- Foss, F.M.; Porcu, P.; Horwitz, S.M.; Izutsu, K.; Ishitsuka, K.; Kato, K.; Jin, J.; Du, Y.; Inoue, A. A Global Phase 2 Study of Valemetostat Tosylate (Valemetostat) in Patients with Relapsed or Refractory (R/R) Peripheral T-Cell Lymphoma (PTCL), Including R/R Adult T-Cell Leukemia/Lymphoma (ATL)—Valentine-PTCL01. Blood 2021, 138, 2533. [Google Scholar] [CrossRef]
- Agarwal, P.; Alzrigat, M.; Párraga, A.A.; Enroth, S.; Singh, U.; Ungerstedt, J.; Österborg, A.; Brown, P.J.; Ma, A.; Jin, J.; et al. Genome-wide profiling of histone H3 lysine 27 and lysine 4 trimethylation in multiple myeloma reveals the importance of Polycomb gene targeting and highlights EZH2 as a potential therapeutic target. Oncotarget 2016, 7, 6809–6823. [Google Scholar] [CrossRef] [PubMed]
- Nylund, P.; Atienza Párraga, A.; Haglöf, J.; De Bruyne, E.; Menu, E.; Garrido-Zabala, B.; Ma, A.; Jin, J.; Öberg, F.; Vanderkerken, K.; et al. A distinct metabolic response characterizes sensitivity to EZH2 inhibition in multiple myeloma. Cell Death Dis. 2021, 12, 167. [Google Scholar] [CrossRef]
- Al-Ghabkari, A.; Narendran, A. Targeting EZH2-mediated methylation of histone 3 inhibits proliferation of pediatric acute monocytic leukemia cells in vitro. Cancer Biol. Ther. 2021, 22, 333–344. [Google Scholar] [CrossRef]
- Xu, B.; On, D.M.; Ma, A.; Parton, T.; Konze, K.D.; Pattenden, S.G.; Allison, D.F.; Cai, L.; Rockowitz, S.; Liu, S.; et al. Selective inhibition of EZH2 and EZH1 enzymatic activity by a small molecule suppresses MLL-rearranged leukemia. Blood 2015, 125, 346–357. [Google Scholar] [CrossRef]
- Li, W.; Bi, C.; Han, Y.; Tian, T.; Wang, X.; Bao, H.; Xu, X.; Zhang, X.; Liu, L.; Zhang, W.; et al. Targeting EZH1/2 induces cell cycle arrest and inhibits cell proliferation through reactivation of p57CDKN1C and TP53INP1 in mantle cell lymphoma | Cancer Biology & Medicine. Cancer Biol. Med. 2019, 16, 530–541. [Google Scholar] [CrossRef]
- Rizk, M.; Rizq, O.; Oshima, M.; Nakajima-Takagi, Y.; Koide, S.; Saraya, A.; Isshiki, Y.; Chiba, T.; Yamazaki, S.; Ma, A.; et al. Akt inhibition synergizes with polycomb repressive complex 2 inhibition in the treatment of multiple myeloma. Cancer Sci. 2019, 110, 3695–3707. [Google Scholar] [CrossRef]
- Rizq, O.; Mimura, N.; Oshima, M.; Saraya, A.; Koide, S.; Kato, Y.; Aoyama, K.; Nakajima-Takagi, Y.; Wang, C.; Chiba, T.; et al. Dual Inhibition of EZH2 and EZH1 Sensitizes PRC2-Dependent Tumors to Proteasome Inhibition. Clin. Cancer Res. 2017, 23, 4817–4830. [Google Scholar] [CrossRef]
- Chen, Z.; Du, Y.; Liu, X.; Chen, H.; Weng, X.; Guo, J.; Wang, M.; Wang, X.; Wang, L. EZH2 inhibition suppresses bladder cancer cell growth and metastasis via the JAK2/STAT3 signaling pathway. Oncol. Lett. 2019, 18, 907–915. [Google Scholar] [CrossRef] [PubMed]
- Katona, B.W.; Liu, Y.; Ma, A.; Jin, J.; Hua, X. EZH2 inhibition enhances the efficacy of an EGFR inhibitor in suppressing colon cancer cells. Cancer Biol. Ther. 2014, 15, 1677–1687. [Google Scholar] [CrossRef] [PubMed]
- Yap, T.A.; Winter, J.N.; Giulino-Roth, L.; Longley, J.; Lopez, J.; Michot, J.-M.; Leonard, J.P.; Ribrag, V.; McCabe, M.T.; Creasy, C.L.; et al. Phase I Study of the Novel Enhancer of Zeste Homolog 2 (EZH2) Inhibitor GSK2816126 in Patients with Advanced Hematologic and Solid Tumors. Clin. Cancer Res. 2019, 25, 7331–7339. [Google Scholar] [CrossRef] [PubMed]
- Sarkozy, C.; Morschhauser, F.; Dubois, S.; Molina, T.; Michot, J.M.; Cullières-Dartigues, P.; Suttle, B.; Karlin, L.; Le Gouill, S.; Picquenot, J.-M.; et al. A LYSA Phase Ib Study of Tazemetostat (EPZ-6438) plus R-CHOP in Patients with Newly Diagnosed Diffuse Large B-Cell Lymphoma (DLBCL) with Poor Prognosis Features. Clin. Cancer Res. 2020, 26, 3145–3153. [Google Scholar] [CrossRef]
- The Lymphoma Academic Research Organisation. A Phase Ib-II Study of Tazemetostat (EPZ-6438) in Newly Diagnosed Diffuse Large B Cell Lymphoma (DLBCL) or High Risk Follicular Lymphoma (FL) Patients Treated by R-CHOP. Available online: https://clinicaltrials.gov/study/NCT02889523 (accessed on 14 November 2024).
- National Cancer Institute (NCI). NCI-COG Pediatric MATCH (Molecular Analysis for Therapy Choice)—Phase 2 Subprotocol of Tazemetostat in Patients with Tumors Harboring Alterations in EZH2 or Members of the SWI/SNF Complex. Available online: https://clinicaltrials.gov/study/NCT03213665 (accessed on 14 November 2024).
- Zinzani, P.L.; Izutsu, K.; Mehta-Shah, N.; Barta, S.K.; Ishitsuka, K.; Córdoba, R.; Kusumoto, S.; Bachy, E.; Cwynarski, K.; Gritti, G.; et al. Valemetostat for patients with relapsed or refractory peripheral T-cell lymphoma (VALENTINE-PTCL01): A multicentre, open-label, single-arm, phase 2 study. Lancet Oncol. 2024, 25, 1602–1613. [Google Scholar] [CrossRef]
- Choudhury, A. A Phase Ia/Ib Study of Talazoparib in Combination with Tazemetostat in Metastatic Castration-resistant Prostate Cancer (mCRPC). Available online: https://clinicaltrials.gov/study/NCT04846478?term=NCT04846478&rank=1 (accessed on 14 November 2024).
- Choudhury, A.D.; Xie, W.; Tewari, A.; Miyamoto, D.T.; Kochupurakkal, B.; Ellis, L.; Bandel, M.; Leisner, C.; Shapiro, G.; D’Andrea, A.D.; et al. A phase Ia/Ib study of talazoparib in combination with tazemetostat in metastatic castration-resistant prostate cancer (mCRPC). J. Clin. Oncol. 2022, 40, TPS195. [Google Scholar] [CrossRef]
- Hussain, M.H.A.; Kocherginsky, M.; Singh, P.; Myint, Z.; Jiang, D.M.; Wulff-Burchfield, E.M.; Sharon, E.; Piekarz, R.; Meeks, J.J.; VanderWeele, D.J. A pilot study of tazemetostat and pembrolizumab in advanced urothelial carcinoma (ETCTN 10183). J. Clin. Oncol. 2023, 41, 506. [Google Scholar] [CrossRef]
- National Cancer Institute (NCI). A Pilot Study of Tazemetostat and Pembrolizumab (MK-3475) in Advanced Urothelial Carcinoma. Available online: https://clinicaltrials.gov/study/NCT03854474?term=NCT03854474&rank=1 (accessed on 14 November 2024).
- National Cancer Institute (NCI). A Phase II Study of Tazemetostat (EPZ-6438) in Recurrent or Persistent Endometrioid or Clear Cell Carcinoma of the Ovary, and Recurrent or Persistent Endometrioid Endometrial Adenocarcinoma. Available online: https://clinicaltrials.gov/study/NCT03348631?term=NCT03348631&rank=1 (accessed on 14 November 2024).
- Epizyme, Inc. CELLO-1: A Phase 1b/2 Open-Label Study Evaluating Tazemetostat in Combination with Enzalutamide or Abiraterone/Prednisone in Chemotherapy Naive Subjects with Metastatic Castration-Resistant Prostate Cancer. Available online: https://clinicaltrials.gov/study/NCT04179864?term=NCT04179864&rank=1 (accessed on 14 November 2024).
- Broderick, J.M. Follow-Up Data Show Tazemetostat Remains Safe, Elicits Benefit in Patients with Prostate Cancer. Cancer Network. 2 December 2022. Available online: https://www.cancernetwork.com/conference/suo (accessed on 14 November 2024).
- The Lymphoma Academic Research Organisation. A Phase II Open-Label Study Evaluating Valemetostat Tosylate as a Single Agent in Patients with Relapse/Refractory B-cell Lymphoma. Available online: https://clinicaltrials.gov/study/NCT04842877?term=NCT04842877&rank=1 (accessed on 14 November 2024).
- Sutopo, N.C.; Kim, J.H.; Cho, J.Y. Role of histone methylation in skin cancers: Histone methylation–modifying enzymes as a new class of targets for skin cancer treatment. Biochim. Biophys. Acta Rev. Cancer 2023, 1878, 188865. [Google Scholar] [CrossRef]
- Taplin, M.-E.; Hussain, A.; Shah, S.; Shore, N.D.; Agrawal, M.; Clark, W.; Edenfield, W.J.; Nordquist, L.T.; Sartor, O.A.; Butrynski, J.E.; et al. ProSTAR: A phase Ib/II study of CPI-1205, a small molecule inhibitor of EZH2, combined with enzalutamide (E) or abiraterone/prednisone (A/P) in patients with metastatic castration-resistant prostate cancer (mCRPC). J. Clin. Oncol. 2019, 37, TPS335. [Google Scholar] [CrossRef]
- Gehling, V.S.; Vaswani, R.G.; Nasveschuk, C.G.; Duplessis, M.; Iyer, P.; Balasubramanian, S.; Zhao, F.; Good, A.C.; Campbell, R.; Lee, C.; et al. Discovery, design, and synthesis of indole-based EZH2 inhibitors. Bioorganic Med. Chem. Lett. 2015, 25, 3644–3649. [Google Scholar] [CrossRef]
- Multani, P.S. Study of ORIC-944 in Patients with Metastatic Prostate Cancer—NCI. 1 June 2022. Available online: https://www.cancer.gov/about-cancer/treatment/clinical-trials/search/v?id=NCI-2022-05394 (accessed on 27 July 2024).
- Marx, M.A.; Burns, A.C.; Arora, N.; Bobinski, T.P.; Briere, D.M.; Calinisan, A.; Gunn, R.J.; Ketcham, J.M.; Lawson, D.; Lee, M.; et al. Abstract ND04: Discovery of ORIC-944, a novel inhibitor of PRC2 with best-in-class properties for the treatment of prostate cancer. Cancer Res. 2024, 84, ND04. [Google Scholar] [CrossRef]
- Andrieu, G.P.; Kohn, M.; Simonin, M.; Smith, C.L.; Cieslak, A.; Dourthe, M.-É.; Charbonnier, G.; Graux, C.; Huguet, F.; Lhéritier, V.; et al. PRC2 loss of function confers a targetable vulnerability to BET proteins in T-ALL. Blood 2021, 138, 1855–1869. [Google Scholar] [CrossRef] [PubMed]
- Stathis, A.; Bertoni, F. BET Proteins as Targets for Anticancer Treatment. Cancer Discov. 2018, 8, 24–36. [Google Scholar] [CrossRef]
- Gonzalez, M.E.; Moore, H.M.; Li, X.; Toy, K.A.; Huang, W.; Sabel, M.S.; Kidwell, K.M.; Kleer, C.G. EZH2 expands breast stem cells through activation of NOTCH1 signaling. Proc. Natl. Acad. Sci. USA 2014, 111, 3098–3103. [Google Scholar] [CrossRef] [PubMed]





Disclaimer/Publisher’s Note: The statements, opinions and data contained in all publications are solely those of the individual author(s) and contributor(s) and not of MDPI and/or the editor(s). MDPI and/or the editor(s) disclaim responsibility for any injury to people or property resulting from any ideas, methods, instructions or products referred to in the content. |
© 2024 by the authors. Licensee MDPI, Basel, Switzerland. This article is an open access article distributed under the terms and conditions of the Creative Commons Attribution (CC BY) license (https://creativecommons.org/licenses/by/4.0/).
Share and Cite
Wang, M.S.; Sussman, J.; Xu, J.A.; Patel, R.; Elghawy, O.; Rawla, P. Pharmacological Advancements of PRC2 in Cancer Therapy: A Narrative Review. Life 2024, 14, 1645. https://doi.org/10.3390/life14121645
Wang MS, Sussman J, Xu JA, Patel R, Elghawy O, Rawla P. Pharmacological Advancements of PRC2 in Cancer Therapy: A Narrative Review. Life. 2024; 14(12):1645. https://doi.org/10.3390/life14121645
Chicago/Turabian StyleWang, Michael S., Jonathan Sussman, Jessica A. Xu, Reema Patel, Omar Elghawy, and Prashanth Rawla. 2024. "Pharmacological Advancements of PRC2 in Cancer Therapy: A Narrative Review" Life 14, no. 12: 1645. https://doi.org/10.3390/life14121645
APA StyleWang, M. S., Sussman, J., Xu, J. A., Patel, R., Elghawy, O., & Rawla, P. (2024). Pharmacological Advancements of PRC2 in Cancer Therapy: A Narrative Review. Life, 14(12), 1645. https://doi.org/10.3390/life14121645

