A Machine Learning Model Based on MRI Radiomics to Predict Response to Chemoradiation Among Patients with Rectal Cancer
Abstract
1. Introduction
2. Materials and Methods
2.1. Patients
2.2. Imaging Protocol
2.3. Image Sets
2.4. Radiomic-Based Machine Learning Modeling
- The first model was based on the random forest (RF) algorithm combined with the Gini index, principal components analysis (PCA), and the Fisher discriminant ratio (FDR) with mean-vote rule.
- The second model was based on a support vector machine (SVM) algorithm combined with PCA and FDR with a mean-vote rule.
- The third model used a k-nearest neighbor (kNN) algorithm combined with PCA and FDR with a mean-vote rule.
2.5. Statistical Analysis
3. Results
4. Discussion
5. Conclusions
Author Contributions
Funding
Institutional Review Board Statement
Informed Consent Statement
Data Availability Statement
Conflicts of Interest
References
- Tonini, V.; Zanni, M. Why is early detection of colon cancer still not possible in 2023? World J. Gastroenterol. 2024, 30, 211–224. [Google Scholar] [CrossRef] [PubMed]
- Sung, H.; Ferlay, J.; Siegel, R.L.; Laversanne, M.; Soerjomataram, I.; Jemal, A.; Bray, F. Global Cancer Statistics 2020: GLOBOCAN Estimates of Incidence and Mortality Worldwide for 36 Cancers in 185 Countries. CA Cancer J. Clin. 2021, 71, 209–249. [Google Scholar] [CrossRef] [PubMed]
- Gately, L.; Wong, H.-L.; Tie, J.; Wong, R.; Lee, M.; Lee, B.; Jalali, A.; Gibbs, P. Emerging strategies in the initial management of locally advanced rectal cancer. Future Oncol. 2019, 15, 2955–2965. [Google Scholar] [CrossRef] [PubMed]
- Marchegiani, F.; Palatucci, V.; Capelli, G.; Guerrieri, M.; Belluco, C.; Rega, D.; Morpurgo, E.; Coco, C.; Restivo, A.; De Franciscis, S.; et al. Rectal Sparing Approach After Neoadjuvant Therapy in Patients with Rectal Cancer: The Preliminary Results of the ReSARCh Trial. Ann. Surg. Oncol. 2022, 29, 1880–1889. [Google Scholar] [CrossRef]
- Feeney, G.; Sehgal, R.; Sheehan, M.; Hogan, A.; Regan, M.; Joyce, M.; Kerin, M. Neoadjuvant radiotherapy for rectal cancer management. World J. Gastroenterol. 2019, 25, 4850–4869. [Google Scholar] [CrossRef]
- Rawat, N.; Evans, M.D. Paradigm Shift in the Management of Rectal Cancer. Indian J. Surg. 2014, 76, 474–481. [Google Scholar] [CrossRef]
- Fernandes, M.C.; Gollub, M.J.; Brown, G. The importance of MRI for rectal cancer evaluation. Surg. Oncol. 2022, 43, 101739. [Google Scholar] [CrossRef]
- Coppola, F.; Giannini, V.; Gabelloni, M.; Panic, J.; Defeudis, A.; Lo Monaco, S.; Cattabriga, A.; Cocozz, M.A.; Pastore, L.V.; Polici, M.; et al. Radiomics and Magnetic Resonance Imaging of Rectal Cancer: From Engineering to Clinical Practice. Diagnostics 2021, 11, 756. [Google Scholar] [CrossRef]
- Stanzione, A.; Verde, F.; Romeo, V.; Boccadifuoco, F.; Mainenti, P.P.; Maurea, S. Radiomics and machine learning applications in rectal cancer: Current update and future perspectives. World J. Gastroenterol. 2021, 27, 5306–5321. [Google Scholar] [CrossRef]
- Bi, W.L.; Hosn, A.; Schabath, M.B.; Giger, M.L.; Birkbak, N.J.; Mehrtash, A.; Allison, T.; Arnaout, O.; Abbosh, C.; Dunn, I.F.; et al. Artificial intelligence in cancer imaging: Clinical challenges and applications. CA Cancer J. Clin. 2019, 69, 127–157. [Google Scholar] [CrossRef]
- Hou, M.; Sun, J.-H. Emerging applications of radiomics in rectal cancer: State of the art and future perspectives. World J. Gastroenterol. 2021, 27, 3802–3814. [Google Scholar] [CrossRef] [PubMed]
- Bao, Q.R.; Ferrari, S.; Capelli, G.; Ruffolo, C.; Scarpa, M.; Agnes, A.; Chiloiro, G.; Palazzari, E.; Urso, E.D.L.; Pucciarelli, S.; et al. Rectal Sparing Approaches after Neoadjuvant Treatment for Rectal Cancer: A Systematic Review and Meta-Analysis Comparing Local Excision and Watch and Wait. Cancers 2023, 15, 465. [Google Scholar] [CrossRef] [PubMed]
- Bossuyt, P.M.; Reitsma, J.B.; Bruns, D.E.; Gatsonis, C.A.; Glasziou, P.P.; Irwig, L.; Lijmer, J.G.; Moher, D.; Rennie, D.; de Vet, H.C.; et al. STARD 2015: An Updated List of Essential Items for Reporting Diagnostic Accuracy Studies. Radiology 2015, 277, 826–832. [Google Scholar] [CrossRef]
- Beets-Tan, R.G.H.; Lambregts, D.M.J.; Maas, M.; Bipat, S.; Barbaro, B.; Curvo-Semedo, L.; Fenlon, H.M.; Gollub, M.J.; Gourtsoyianni, S.; Halligan, S.; et al. Magnetic resonance imaging for clinical management of rectal cancer: Updated recommendations from the 2016 European Society of Gastrointestinal and Abdominal Radiology (ESGAR) consensus meeting. Eur. Radiol. 2018, 28, 1465–1475. [Google Scholar] [CrossRef]
- International Biomarker Standardization Initiative (IBSI) Guidelines. Available online: https://arxiv.org/abs/1612.07003 (accessed on 25 September 2024).
- Trace4Research© Radiomic Platform. Available online: http://www.deeptracetech.com/files/TechnicalSheet__TRACE4.pdf (accessed on 25 September 2024).
- Zhang, C.; Liu, C.; Zhang, X.; Almpanidis, G. An up-to-date comparison of state-of-the-art classification algorithms. Expert Syst. Appl. 2017, 82, 128–150. [Google Scholar] [CrossRef]
- Georgescu, D.E.; Georgescu, M.T.; Bobircă, F.T.; Georgescu, T.F.; Doran, H.; Pătraşcu, T. Synchronous Locally Advanced Rectal Cancer with Clinical Complete Remission and Important Downstaging after Neoadjuvant Radiochemotherapy—Personalised Therapeutic Approach. Chirurgia 2017, 112, 726–733. [Google Scholar] [CrossRef] [PubMed]
- Yardimci, A.H.; Kocak, B.; Sel, I.; Bulut, H.; Bektas, C.T.; Cin, M.; Dursun, N.; Bektas, H.; Mermut, O.; Yardimci, V.H.; et al. Radiomics of locally advanced rectal cancer: Machine learning-based prediction of response to neoadjuvant chemoradiotherapy using pre-treatment sagittal T2-weighted MRI. Jpn. J. Radiol. 2023, 41, 71–82. [Google Scholar] [CrossRef]
- Shin, J.; Seo, N.; Baek, S.E.; Son, N.H.; Lim, J.S.; Kim, N.K.; Koom, W.S.; Kim, S. MRI Radiomics Model Predicts Pathologic Complete Response of Rectal Cancer Following Chemoradiotherapy. Radiology 2022, 303, 351–358. [Google Scholar] [CrossRef]
- Sun, Y.; Hu, P.; Wang, J.; Shen, L.; Xia, F.; Qing, G.; Hu, W.; Zhang, Z.; Xin, C.; Peng, W.; et al. Radiomic features of pretreatment MRI could identify T stage in patients with rectal cancer: Preliminary findings. J. Magn. Reson. Imaging 2018, 48, 615–621. [Google Scholar] [CrossRef]
- Ma, X.; Shen, F.; Jia, Y.; Xia, Y.; Li, Q.; Lu, J. MRI-based radiomics of rectal cancer: Preoperative assessment of the pathological features. BMC Med. Imaging 2019, 19, 86. [Google Scholar] [CrossRef]
- Wen, L.; Liu, J.; Hu, P.; Bi, F.; Liu, S.; Jian, L.; Zhu, S.; Nie, S.; Cao, F.; Lu, Q.; et al. MRI-Based Radiomic Models Outperform Radiologists in Predicting Pathological Complete Response to Neoadjuvant Chemoradiotherapy in Locally Advanced Rectal Cancer. Acad. Radiol. 2023, 30, S176–S184. [Google Scholar] [CrossRef] [PubMed]
- Crimì, F.; Capelli, G.; Spolverato, G.; Bao, Q.R.; Florio, A.; Milite Rossi, S.; Cecchin, D.; Albertoni, L.; Campi, C.; Pucciarelli, S.; et al. MRI T2-weighted sequences-based texture analysis (TA) as a predictor of response to neoadjuvant chemo-radiotherapy (nCRT) in patients with locally advanced rectal cancer (LARC). Radiol. Med. 2020, 125, 1216–1224. [Google Scholar] [CrossRef] [PubMed]
- Cai, L.; Lambregts, D.M.J.; Beets, G.L.; Mass, M.; Pooch, E.H.P.; Guérendel, C.; Beets-Tan, R.G.H.; Benson, S. An automated deep learning pipeline for EMVI classification and response prediction of rectal cancer using baseline MRI: A multi-centre study. NPJ Precis. Oncol. 2024, 8, 17. [Google Scholar] [CrossRef] [PubMed]
- Peng, W.; Wan, L.; Wang, S.; Zou, S.; Zhao, X.; Zhang, H. A multiple-time-scale comparative study for the added value of magnetic resonance imaging-based radiomics in predicting pathological complete response after neoadjuvant chemoradiotherapy in locally advanced rectal cancer. Front. Oncol. 2023, 13, 1234619. [Google Scholar] [CrossRef]
- Santini, D.; Danti, G.; Bicci, E.; Galluzzo, A.; Bettarini, S.; Busoni, S.; Innocenti, T.; Galli, A.; Miele, V. Radiomic Features Are Predictive of Response in Rectal Cancer Undergoing Therapy. Diagnostics 2023, 13, 2573. [Google Scholar] [CrossRef]
- Wei, Q.; Chen, Z.; Tang, Y.; Chen, W.; Zhong, L.; Mao, L.; Hu, S.; Wu, Y.; Deng, K.; Yang, W.; et al. External validation and comparison of MR-based radiomics models for predicting pathological complete response in locally advanced rectal cancer: A two-centre, multi-vendor study. Eur. Radiol. 2022, 33, 1906–1917. [Google Scholar] [CrossRef]
- El Homsi, M.; Bane, O.; Fauveau, V.; Hectors, S.; Vietti Violi, N.; Sylla, P.; Ko, H.B.; Cuevas, J.; Carbonell, G.; Nehlsen, A.; et al. Prediction of locally advanced rectal cancer response to neoadjuvant chemoradiation therapy using volumetric multiparametric MRI-based radiomics. Abdom. Radiol. 2023, 49, 791–800. [Google Scholar] [CrossRef]
- Shi, L.; Zhang, Y.; Hu, J.; Zhou, W.; Hu, X.; Cui, T.; Yue, N.J.; Sun, X.; Nie, K. Radiomics for the Prediction of Pathological Complete Response to Neoadjuvant Chemoradiation in Locally Advanced Rectal Cancer: A Prospective Observational Trial. Bioengineering 2023, 10, 634. [Google Scholar] [CrossRef]
- Ouyang, G.; Chen, Z.; Dou, M.; Luo, X.; Wen, H.; Deng, X.; Meng, W.; Yu, Y.; Wu, B.; Jiang, D.; et al. Predicting Rectal Cancer Response to Total Neoadjuvant Treatment Using an Artificial Intelligence Model Based on Magnetic Resonance Imaging and Clinical Data. Technol. Cancer Res. Treat. 2023, 22, 15330338231186467. [Google Scholar] [CrossRef]
- Mbanu, P.; Saunders, M.P.; Mistry, H.; Mercer, J.; Malcomson, L.; Yousif, S.; Price, G.; Kochhar, R.; Renehan, A.G.; van Herk, M.; et al. Clinical and radiomics prediction of complete response in rectal cancer pre-chemoradiotherapy. Phys. Imaging Radiat. Oncol. 2022, 23, 48–53. [Google Scholar] [CrossRef]
- Amorim, B.J.; Torrado-Carvajal, A.; Esfahani, S.A.; Marcos, S.S.; Vangel, M.; Stein, D.; Groshar, D.; Catalano, O.A. PET/MRI Radiomics in Rectal Cancer: A Pilot Study on the Correlation Between PET- and MRI-Derived Image Features with a Clinical Interpretation. Mol. Imaging Biol. 2020, 22, 1438–1445. [Google Scholar] [CrossRef]
- Capelli, G.; Campi, C.; Bao, Q.R.; Morra, F.; Lacognata, C.; Zucchetta, P.; Cecchin, D.; Pucciarelli, S.; Spolverato, G.; Crimì, F. 18F-FDG-PET/MRI texture analysis in rectal cancer after neoadjuvant chemoradiotherapy. Nucl. Med. Commun. 2022, 43, 815–822. [Google Scholar] [CrossRef]




| (A) | ||||
| Training | Validation | Internal Testing (Mean) | Internal Testing (Majority Vote—50% Threshold) | |
| ROC-AUC (%) (95% CI) | 100 * (9–100) | 74 ** (72–77) | 73 ** (65–81) | 73 |
| Accuracy (%) (95% CI) | 100 * (99–100) | 71 ** (66–76) | 70 ** (61–79) | 72 |
| Sensitivity (%) (95% CI] | 100 * (99–100) | 78 ** (73–84) | 78 ** (73–84) | 81 |
| Specificity (%) (95% CI] | 100 * (99–100) | 52 ** (46–58) | 48 ** (29–67) | 50 |
| PPV (%) (95% CI) | 100 * (99–100) | 82 ** (79–86) | 80 ** (73–87) | 81 |
| NPV (%) (95% CI) | 100 * (99–100) | 52 ** (45–58) | 46 ** (31–61) | 50 |
| (B) | ||||
| Training | Validation | Internal Testing (Mean) | Internal Testing (Majority Vote—50% Threshold) | |
| ROC-AUC (%) (95% CI) | 76 ** (76–77) | 74 ** (70–78) | 69 ** (66–73) | 70 |
| Accuracy (%) (95% CI) | 71 ** (70–71) | 68 ** (67–68) | 63 ** (55–72) | 67 |
| Sensitivity (%) (95% CI) | 68 ** (67–69) | 66 ** (65–68) | 62 ** (55–69) | 63 |
| Specificity (%) (95% CI) | 73 ** (72–75) | 71 ** (68–73) | 67 (38–95) | 75 |
| PPV (%) (95% CI) | 73 ** (72–73) | 86 ** (82–90) | 83 * (71–96) | 87 |
| NPV (%) (95% CI) | 69 ** (68–70) | 49 ** (46–51) | 40 ** (30–50) | 44 |
| (C) | ||||
| Training | Validation | Internal Testing (Mean) | Internal Testing (Majority Vote—50% Threshold) | |
| ROC-AUC (%) (95% CI) | 90 ** (89–90) | 51 ** (46–55) | 51 ** (40–63) | 51 |
| Accuracy (%) (95% CI) | 80 ** (79–81) | 52 ** (48–57) | 54 ** (50–58) | 56 |
| Sensitivity (%) (95% CI) | 70 ** (70–71) | 56 ** (51–60) | 55 ** (52–58) | 58 |
| Specificity (%) (95% CI) | 90 ** (88–92) | 44 ** (35–54) | 50 ** (38–62) | 50 |
| PPV (%) (95% CI) | 88 ** (86–90) | 72 ** (67–77) | 74 ** (69–79) | 75 |
| NPV (%) (95% CI) | 75 ** (75–75) | 29 ** (23–35) | 30 ** (25–35) | 31 |
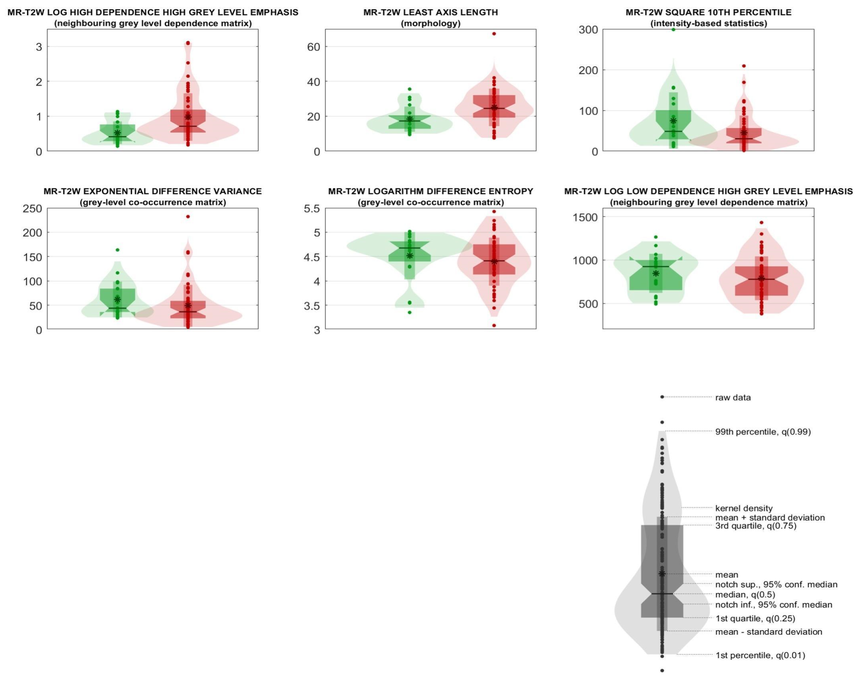
| # | Feature Family | Feature Nomenclature | Median in the pCRT Not Responding Class (95% CI) | Median in the pCR Class (95% CI) | Uncorrected p-Value | Corrected p-Value |
|---|---|---|---|---|---|---|
| 1 | Neighbouring Grey Level Dependence Matrix | MR-T2W_LoG_high Dependence High Grey Level Emphasis | 7120.79 [5690.59–8550.98] | 4117.66 [2431.26–5804.06] | <0.005 | <0.05 |
| 2 | Morphology | MR-T2W_least Axis Length | 24.48 [21.68–27.28] | 17.27 [14.56–19.99] | <0.05 | <0.05 |
| 3 | Intensity-Based Statistics | MR-T2W_square_10th Percentile | 30.26 [22.1–38.42] | 48.43 [23.34–73.52] | <0.05 | 0.24 |
| 4 | Grey-Level Co-Occurrence Matrix | MR-T2W_exponential_difference Variance | 36.44 [28.61–44.26] | 43.76 [26.81–60.72] | 5.21 × 10−2 | 0.31 |
| 5 | Grey-Level Co-Occurrence Matrix | MR-T2W_logarithm_difference Entropy | 4.41 [4.28–4.55] | 4.68 [4.53–4.82] | 0.15 | 0.88 |
| 6 | Neighbouring Grey Level Dependence Matrix | MR-T2W_LoG_low Dependence High Grey Level Emphasis | 779.14 [705.33–852.94] | 924.49 [803.63–1045.35] | 0.3 | 1 |
Disclaimer/Publisher’s Note: The statements, opinions and data contained in all publications are solely those of the individual author(s) and contributor(s) and not of MDPI and/or the editor(s). MDPI and/or the editor(s) disclaim responsibility for any injury to people or property resulting from any ideas, methods, instructions or products referred to in the content. |
© 2024 by the authors. Licensee MDPI, Basel, Switzerland. This article is an open access article distributed under the terms and conditions of the Creative Commons Attribution (CC BY) license (https://creativecommons.org/licenses/by/4.0/).
Share and Cite
Crimì, F.; D’Alessandro, C.; Zanon, C.; Celotto, F.; Salvatore, C.; Interlenghi, M.; Castiglioni, I.; Quaia, E.; Pucciarelli, S.; Spolverato, G. A Machine Learning Model Based on MRI Radiomics to Predict Response to Chemoradiation Among Patients with Rectal Cancer. Life 2024, 14, 1530. https://doi.org/10.3390/life14121530
Crimì F, D’Alessandro C, Zanon C, Celotto F, Salvatore C, Interlenghi M, Castiglioni I, Quaia E, Pucciarelli S, Spolverato G. A Machine Learning Model Based on MRI Radiomics to Predict Response to Chemoradiation Among Patients with Rectal Cancer. Life. 2024; 14(12):1530. https://doi.org/10.3390/life14121530
Chicago/Turabian StyleCrimì, Filippo, Carlo D’Alessandro, Chiara Zanon, Francesco Celotto, Christian Salvatore, Matteo Interlenghi, Isabella Castiglioni, Emilio Quaia, Salvatore Pucciarelli, and Gaya Spolverato. 2024. "A Machine Learning Model Based on MRI Radiomics to Predict Response to Chemoradiation Among Patients with Rectal Cancer" Life 14, no. 12: 1530. https://doi.org/10.3390/life14121530
APA StyleCrimì, F., D’Alessandro, C., Zanon, C., Celotto, F., Salvatore, C., Interlenghi, M., Castiglioni, I., Quaia, E., Pucciarelli, S., & Spolverato, G. (2024). A Machine Learning Model Based on MRI Radiomics to Predict Response to Chemoradiation Among Patients with Rectal Cancer. Life, 14(12), 1530. https://doi.org/10.3390/life14121530

