COVID-19 Vaccination and Serological Profile of a Brazilian University Population
Abstract
:1. Introduction
2. Materials and Methods
2.1. Study Population and Sample Collection
2.2. Laboratory Analysis
2.3. Statistical Analysis and Data Visualization
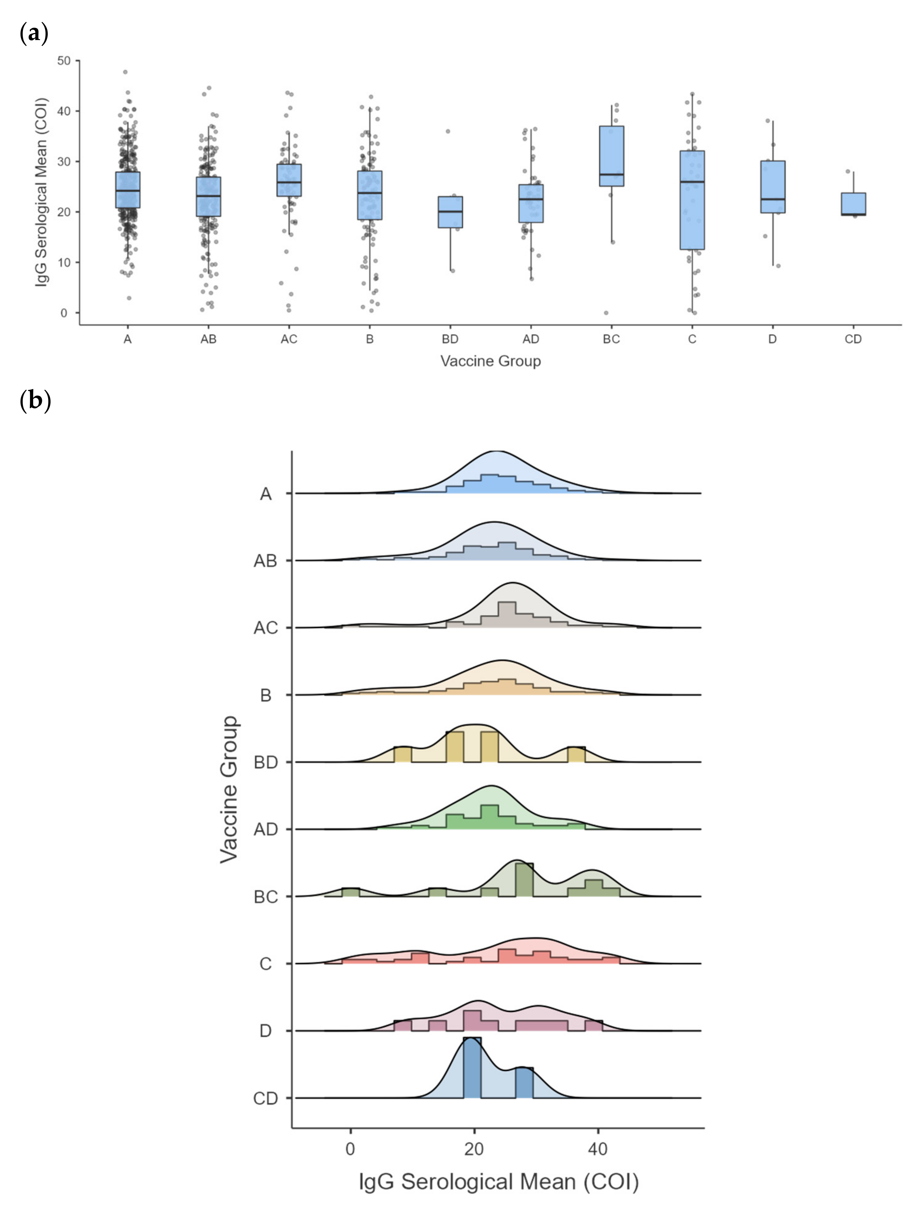
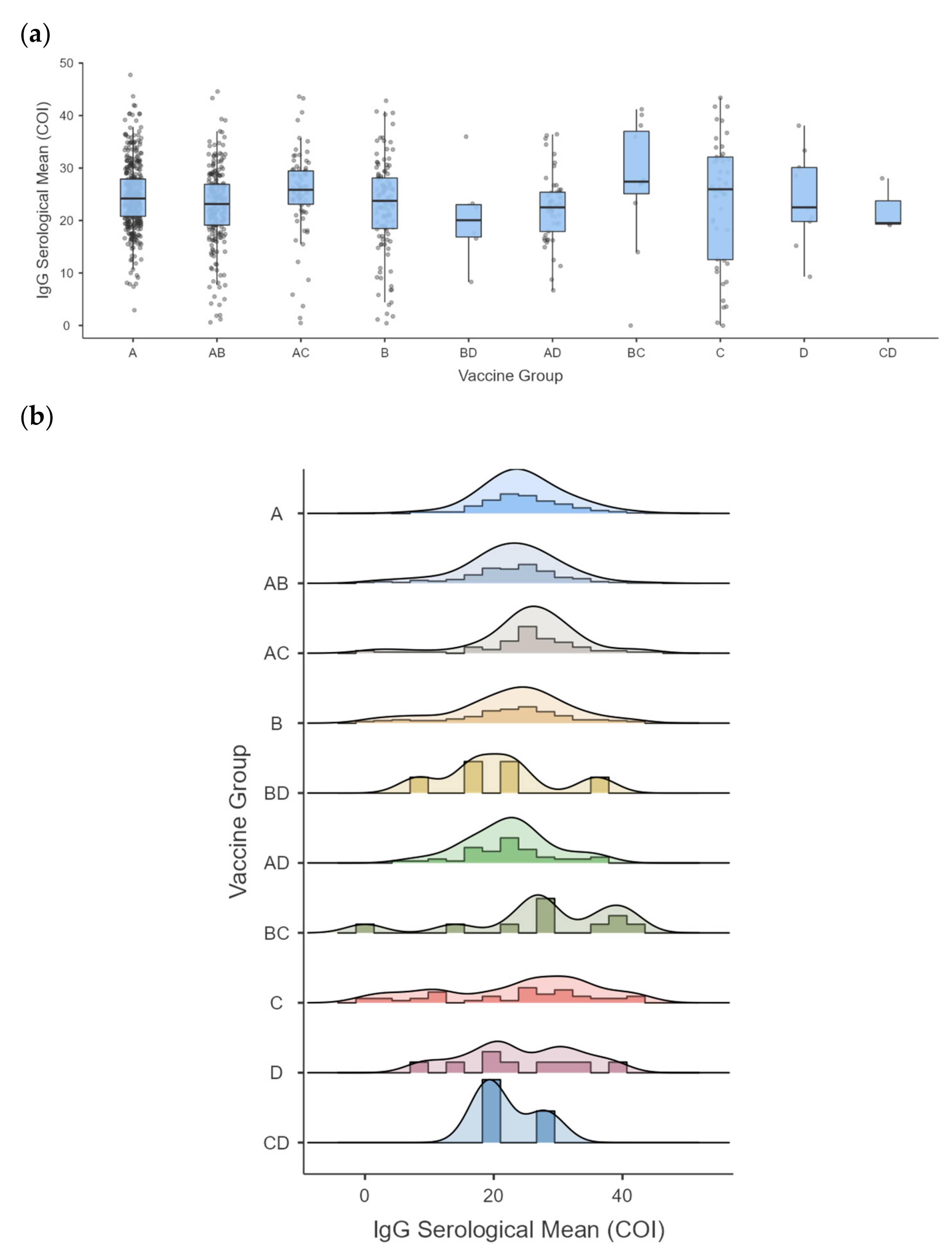
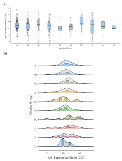
3. Results
4. Discussion
Supplementary Materials
Author Contributions
Funding
Institutional Review Board Statement
Informed Consent Statement
Data Availability Statement
Acknowledgments
Conflicts of Interest
References
- World Health Organization. Origin of SARS-CoV-2. 2020. Available online: https://www.who.int/emergencies/diseases/novel-coronavirus-2019/origins-of-the-virus (accessed on 8 December 2022).
- Khan, M.; Adil, S.F.; Alkhathlan, H.Z.; Tahir, M.N.; Saif, S.; Khan, M.; Khan, S.T. COVID-19: A Global Challenge with Old History, Epidemiology and Progress So Far. Molecules 2020, 26, 39. [Google Scholar] [CrossRef]
- World Health Organization. Schooling during the COVID-19. Recommendations from the European Technical Advisory Group for Schooling during COVID-19. 2021. Available online: http://apps.who.int/bookorders (accessed on 5 February 2023).
- Brasil. Poder Judiciário. Portaria Diretoria-Geral Nº 63, de 17 de Março de 2020. 2020. Available online: https://www.cnj.jus.br/wp-content/uploads/2020/03/Portaria_DG_632020.pdf (accessed on 12 April 2023).
- Akaishi, T.; Kushimoto, S.; Katori, Y.; Sugawara, N.; Igarashi, K.; Fujita, M.; Kure, S.; Takayama, S.; Abe, M.; Tanaka, J.; et al. COVID-19 Transmission at Schools in Japan. Tohoku J. Exp. Med. 2021, 255, 239–246. [Google Scholar] [CrossRef] [PubMed]
- Brasil. Ministério da Educação. Available online: http://portal.mec.gov.br/ (accessed on 11 July 2023).
- Brasil. Ministério da Saúde. Portaria Nº 188, de 3 de Fevereiro de 2020. Declara Emergência em Saúde Pública de Importância Nacional (ESPIN) em Decorrência da Infecção Humana Pelo Novo Coronavírus (2019-nCoV). Available online: https://bvsms.saude.gov.br/bvs/saudelegis/gm/2020/prt0188_04_02_2020.html (accessed on 7 December 2022).
- Brasil. Ministério da Saúde. Available online: https://www.gov.br/saude/pt-br (accessed on 11 July 2023).
- Bai, Y.; Yao, L.; Wei, T.; Tian, F.; Jin, D.Y.; Chen, L.; Wang, M. Presumed Asymptomatic Carrier Transmission of COVID-19. JAMA 2020, 323, 1406–1407. [Google Scholar] [CrossRef] [PubMed]
- Ioannidis, J.P.A. COVID-19 Vaccination in Children and University Students. Eur. J. Clin. Investig. 2021, 51, e13678. [Google Scholar] [CrossRef] [PubMed]
- UNICEF. Schools Still Closed for Nearly 77 Million Students 18 Months into Pandemic. Available online: https://www.unicef.org/chad/press-releases/schools-still-closed-nearly-77-million-students-18-months-pandemic-unicef (accessed on 31 January 2023).
- Aristovnik, A.; Keržič, D.; Ravšelj, D.; Tomaževič, N.; Umek, L. Impacts of the COVID-19 Pandemic on Life of Higher Education Students: A Global Perspective. Sustainability 2020, 12, 8438. [Google Scholar] [CrossRef]
- Biwer, F.; Wiradhany, W.; oude Egbrink, M.; Hospers, H.; Wasenitz, S.; Jansen, W.; de Bruin, A. Changes and Adaptations: How University Students Self-Regulate Their Online Learning During the COVID-19 Pandemic. Front. Psychol. 2021, 12, 1206. [Google Scholar] [CrossRef] [PubMed]
- Elharake, J.A.; Akbar, F.; Malik, A.A.; Gilliam, W.; Omer, S.B. Mental Health Impact of COVID-19 among Children and College Students: A Systematic Review. Child. Psychiatry Hum. Dev. 2022, 54, 913–925. [Google Scholar] [CrossRef]
- Ferreras-Garcia, R.; Sales-Zaguirre, J.; Serradell-López, E. Generic Competences and Learning Results during the COVID-19 Pandemic: A Comparative Study. Campus Virtuales 2022, 11, 147–160. [Google Scholar] [CrossRef]
- Marelli, S.; Castelnuovo, A.; Somma, A.; Castronovo, V.; Mombelli, S.; Bottoni, D.; Leitner, C.; Fossati, A.; Ferini-Strambi, L. Impact of COVID-19 Lockdown on Sleep Quality in University Students and Administration Staff. J. Neurol. 2021, 268, 8–15. [Google Scholar] [CrossRef]
- Wang, J.; Peng, Y.; Xu, H.; Cui, Z.; Williams, R.O. The COVID-19 Vaccine Race: Challenges and Opportunities in Vaccine Formulation. AAPS PharmSciTech 2020, 21, 225. [Google Scholar] [CrossRef]
- Jeyanathan, M.; Afkhami, S.; Smaill, F.; Miller, M.S.; Lichty, B.D.; Xing, Z. Immunological Considerations for COVID-19 Vaccine Strategies. Nat. Rev. Immunol. 2020, 20, 615–632. [Google Scholar] [CrossRef] [PubMed]
- Tregoning, J.S.; Brown, E.S.; Cheeseman, H.M.; Flight, K.E.; Higham, S.L.; Lemm, N.M.; Pierce, B.F.; Stirling, D.C.; Wang, Z.; Pollock, K.M. Vaccines for COVID-19. Clin. Exp. Immunol. 2020, 202, 162–192. [Google Scholar] [CrossRef] [PubMed]
- Goyal, K.; Goel, H.; Baranwal, P.; Tewary, A.; Dixit, A.; Pandey, A.K.; Benjamin, M.; Tanwar, P.; Dey, A.; Khan, F.; et al. Immunological Mechanisms of Vaccine-Induced Protection against SARS-CoV-2 in Humans. Immunology 2021, 1, 442–456. [Google Scholar] [CrossRef]
- Deng, S.; Liang, H.; Chen, P.; Li, Y.; Li, Z.; Fan, S.; Wu, K.; Li, X.; Chen, W.; Qin, Y.; et al. Viral Vector Vaccine Development and Application during the COVID-19 Pandemic. Microorganisms 2022, 10, 1450. [Google Scholar] [CrossRef] [PubMed]
- Bellamkonda, N.; Lambe, U.P.; Sawant, S.; Nandi, S.S.; Chakraborty, C.; Shukla, D. Immune Response to SARS-CoV-2 Vaccines. Biomedicines 2022, 10, 1464. [Google Scholar] [CrossRef] [PubMed]
- Demonbreun, A.R.; Sancilio, A.; Velez, M.P.; Ryan, D.T.; Saber, R.; Vaught, L.A.; Reiser, N.L.; Hsieh, R.R.; D’Aquila, R.T.; Mustanski, B.; et al. Comparison of IgG and Neutralizing Antibody Responses after One or Two Doses of COVID-19 MRNA Vaccine in Previously Infected and Uninfected Individuals. eClinicalMedicine 2021, 38, 101018. [Google Scholar] [CrossRef] [PubMed]
- Lustig, Y.; Sapir, E.; Regev-Yochay, G.; Cohen, C.; Fluss, R.; Olmer, L.; Indenbaum, V.; Mandelboim, M.; Doolman, R.; Amit, S.; et al. BNT162b2 COVID-19 Vaccine and Correlates of Humoral Immune Responses and Dynamics: A Prospective, Single-Centre, Longitudinal Cohort Study in Health-Care Workers. Lancet Respir. Med. 2021, 9, 999–1009. [Google Scholar] [CrossRef]
- Vardhana, S.A.; Wolchok, J.D. The Many Faces of the Anti-COVID Immune Response. J. Exp. Med. 2020, 217, e20200678. [Google Scholar] [CrossRef]
- Yong, G.; Yi, Y.; Tuantuan, L.; Xiaowu, W.; Xiuyong, L.; Ang, L.; Mingfeng, H. Evaluation of the Auxiliary Diagnostic Value of Antibody Assays for the Detection of Novel Coronavirus (SARS-CoV-2). J. Med. Virol. 2020, 92, 1975–1979. [Google Scholar] [CrossRef]
- Sahu, P. Closure of Universities Due to Coronavirus Disease 2019 (COVID-19): Impact on Education and Mental Health of Students and Academic Staff. Cureus 2020, 12, e7514. [Google Scholar] [CrossRef]
- Universidade Federal de Sergipe. Portal UFS. Available online: https://coronavirus.ufs.br/ (accessed on 11 July 2023).
- Moura, E.C.; Cortez-Escalante, J.; Cavalcante, F.V.; de H. C. Barreto, I.C.; Sanchez, M.N.; Santos, L.M.P. COVID-19: Evolução Temporal e Imunização Nas Três Ondas Epidemiológicas, Brasil, 2020–2022. Rev. Saúde Pública. 2022, 56, 105. [Google Scholar] [CrossRef] [PubMed]
- Kweon, O.J.; Lim, Y.K.; Kim, H.R.; Kim, M.C.; Choi, S.H.; Chung, J.W.; Lee, M.K. Antibody Kinetics and Serologic Profiles of SARS-CoV-2 Infection Using Two Serologic Assays. PLoS ONE 2020, 15, e0240395. [Google Scholar] [CrossRef] [PubMed]
- Boditech. Ichromax COVID-19 Ab. Available online: https://biovalent.com.br/wp-content/uploads/2021/10/BL3686-REV02-08-2020-ICHROMA-COVID-19-AB-Boditech.pdf (accessed on 10 January 2022).
- IBM Corp. Released 2019. IBM SPSS Statistics for Windows, Version 26.0; IBM Corp: Armonk, NY, USA, 2019. Available online: https://www.ibm.com/spss (accessed on 12 January 2023).
- The Jamovi Project. Jamovi. (Version 2.3) [Computer Software]. 2022. Available online: https://www.jamovi.org/ (accessed on 16 January 2023).
- GraphPad Prism Version 9.5.1 (733) for Windows, GraphPad Software, Boston, Massachusetts, USA. Available online: https://www.graphpad.com/features (accessed on 18 January 2023).
- Krzywinski, M.; Schein, J.; Birol, I.; Connors, J.; Gascoyne, R.; Horsman, D.; Jones, S.J.; Marra, M.A. Circos: An Information Aesthetic for Comparative Genomics. Genome Res. 2009, 19, 1639–1645. [Google Scholar] [CrossRef] [PubMed]
- Sergipe Governo do Estado. Sergipe Amplia Dose de Reforço Contra a COVID-19 a Partir de Sábado, 20. Available online: https://saude.se.gov.br/sergipe-amplia-dose-de-reforco-contra-a-COVID-19-a-partir-de-sabado-20/ (accessed on 9 August 2023).
- World Health Organization. WHO Coronavirus (COVID-19) Dashboard. Available online: https://covid19.who.int/table (accessed on 12 August 2023).
- Borges, L.P.; Guimarães, A.G.; Fonseca, D.L.M.; Freire, P.P.; Barreto, Í.D.C.; Souza, D.R.V.; Gurgel, R.Q.; Lopes, A.S.A.; Melquiades de Rezende Neto, J.; dos Santos, K.A.; et al. Cross-Sectional Analysis of Students and School Workers Reveals a High Number of Asymptomatic SARS-CoV-2 Infections during School Reopening in Brazilian Cities. Heliyon 2022, 8, e11368. [Google Scholar] [CrossRef] [PubMed]
- Sette, A.; Crotty, S. Immunological Memory to SARS-CoV-2 Infection and COVID-19 Vaccines. Immunol. Rev. 2022, 310, 27–46. [Google Scholar] [CrossRef] [PubMed]
- Post, N.; Eddy, D.; Huntley, C.; van Schalkwyk, M.C.I.; Shrotri, M.; Leeman, D.; Rigby, S.; Williams, S.V.; Bermingham, W.H.; Kellam, P.; et al. Antibody Response to SARS-CoV-2 Infection in Humans: A Systematic Review. PLoS ONE 2020, 15, e0244126. [Google Scholar] [CrossRef] [PubMed]
- Tretyn, A.; Szczepanek, J.; Skorupa, M.; Jarkiewicz-Tretyn, J.; Sandomierz, D.; Dejewska, J.; Ciechanowska, K.; Jarkiewicz-Tretyn, A.; Koper, W.; Pałgan, K. Differences in the Concentration of Anti-Sars-Cov-2 Igg Antibodies Post-COVID-19 Recovery or Post-Vaccination. Cells 2021, 10, 1952. [Google Scholar] [CrossRef] [PubMed]
- Dickson, E.; Palmateer, N.E.; Murray, J.; Robertson, C.; Waugh, C.; Wallace, L.A.; Mathie, L.; Heatlie, K.; Mavin, S.; Gousias, P.; et al. Enhanced Surveillance of COVID-19 in Scotland: Population-Based Seroprevalence Surveillance for SARS-CoV-2 during the First Wave of the Epidemic. Public Health 2021, 190, 132–134. [Google Scholar] [CrossRef]
- Heavey, L.; Garvey, P.; Colgan, A.M.; Thornton, L.; Connell, J.; Roux, T.; Hunt, M.; O’Callaghan, F.; Culkin, F.; Keogan, M.; et al. The Study to Investigate COVID-19 Infection in People Living in Ireland (SCOPI): A Seroprevalence Study, June to July 2020. Eurosurveillance 2021, 26, 2001741. [Google Scholar] [CrossRef]
- Kasztelewicz, B.; Janiszewska, K.; Burzyńska, J.; Szydłowska, E.; Migdał, M.; Dzierżanowska-Fangrat, K. Prevalence of IgG Antibodies against SARS-CoV-2 among Healthcare Workers in a Tertiary Pediatric Hospital in Poland. PLoS ONE 2021, 16, e0249550. [Google Scholar] [CrossRef]
- Pollán, M.; Pérez-Gómez, B.; Pastor-Barriuso, R.; Oteo, J.; Hernán, M.A.; Pérez-Olmeda, M.; Sanmartín, J.L.; Fernández-García, A.; Cruz, I.; Fernández de Larrea, N.; et al. Prevalence of SARS-CoV-2 in Spain (ENE-COVID): A Nationwide, Population-Based Seroepidemiological Study. Lancet 2020, 396, 535–544. [Google Scholar] [CrossRef]
- Stringhini, S.; Wisniak, A.; Piumatti, G.; Azman, A.S.; Lauer, S.A.; Baysson, H.; de Ridder, D.; Petrovic, D.; Schrempft, S.; Marcus, K.; et al. Seroprevalence of Anti-SARS-CoV-2 IgG Antibodies in Geneva, Switzerland (SEROCoV-POP): A Population-Based Study. Lancet 2020, 396, 313–319. [Google Scholar] [CrossRef] [PubMed]
- Inbaraj, L.R.; George, C.E.; Chandrasingh, S. Seroprevalence of COVID-19 Infection in a Rural District of South India: A Population-Based Seroepidemiological Study. PLoS ONE 2021, 16, e0249247. [Google Scholar] [CrossRef] [PubMed]
- Robertson, L.J.; Price, R.; Moore, J.S.; Curry, G.; Farnan, J.; Black, A.; Blighe, K.; Nesbit, M.A.; McLaughlin, J.A.D.; Moore, T. IgG Antibody Production and Persistence to 6 Months Following SARS-CoV-2 Vaccination: A Northern Ireland Observational Study. Vaccine 2022, 40, 2535. [Google Scholar] [CrossRef] [PubMed]
- Wei, J.; Pouwels, K.B.; Stoesser, N.; Matthews, P.C.; Diamond, I.; Studley, R.; Rourke, E.; Cook, D.; Bell, J.I.; Newton, J.N.; et al. Antibody Responses and Correlates of Protection in the General Population after Two Doses of the ChAdOx1 or BNT162b2 Vaccines. Nat. Med. 2022, 28, 1072–1082. [Google Scholar] [CrossRef] [PubMed]
- Wilson, C. Do Some People Have Naturally Stronger Immune Systems? New Sci. 2023, 257, 40. [Google Scholar] [CrossRef]
- Adam, M.H.; Mohamoud, J.H.; Mohamood, A.S.; Mohamed, A.A.; Garba, B.; Dirie, N.I. Seroprevalence of Anti-SARS-CoV-2 Antibodies in Benadir Region, Somalia. Vaccines 2022, 10, 220. [Google Scholar] [CrossRef]
- Vassilaki, N.; Gargalionis, A.N.; Bletsa, A.; Papamichalopoulos, N.; Kontou, E.; Gkika, M.; Patas, K.; Theodoridis, D.; Manolis, I.; Ioannidis, A.; et al. Impact of Age and Sex on Antibody Response Following the Second Dose of COVID-19 Bnt162b2 Mrna Vaccine in Greek Healthcare Workers. Microorganisms 2021, 9, 1725. [Google Scholar] [CrossRef]
- Valenti, L.; Bergna, A.; Pelusi, S.; Facciotti, F.; Lai, A.; Tarkowski, M.; Lombardi, A.; Berzuini, A.; Caprioli, F.; Santoro, L.; et al. SARS-CoV-2 Seroprevalence Trends in Healthy Blood Donors during the COVID-19 Outbreak in Milan. Blood Transfus. 2021, 19, 181. [Google Scholar] [CrossRef]
- Levin, E.G.; Lustig, Y.; Cohen, C.; Fluss, R.; Indenbaum, V.; Amit, S.; Doolman, R.; Asraf, K.; Mendelson, E.; Ziv, A.; et al. Waning Immune Humoral Response to BNT162b2 COVID-19 Vaccine over 6 Months. N. Engl. J. Med. 2021, 385, e84. [Google Scholar] [CrossRef]
- Lo Sasso, B.; Giglio, R.V.; Vidali, M.; Scazzone, C.; Bivona, G.; Gambino, C.M.; Ciaccio, A.M.; Agnello, L.; Ciaccio, M. Evaluation of Anti-SARS-Cov-2 S-RBD IgG Antibodies after COVID-19 MRNA BNT162b2 Vaccine. Diagnostics 2021, 11, 1135. [Google Scholar] [CrossRef]
- Ikezaki, H.; Nomura, H.; Shimono, N. Dynamics of Anti-Spike IgG Antibody after a Third BNT162b2 COVID-19 Vaccination in Japanese Health Care Workers. Heliyon 2022, 8, e12125. [Google Scholar] [CrossRef]
- Levi, R.; Azzolini, E.; Pozzi, C.; Ubaldi, L.; Lagioia, M.; Mantovani, A.; Rescigno, M. One Dose of SARS-CoV-2 Vaccine Exponentially Increases Antibodies in Individuals Who Have Recovered from Symptomatic COVID-19. J. Clin. Investig. 2021, 131, e149154. [Google Scholar] [CrossRef]






| Antibodies Serological Mean (COI) | ||||
|---|---|---|---|---|
| Month (n) | Sex (n) | IgM | CI 95% | p |
| January (29) | Female (14) | 0.40 ± 0.62 | 0.04–0.76 | 0.03 |
| Male (15) | 0.69 ± 1.25 | 0.00–1.38 | 0.049 | |
| February (448) | Female (232) | 0.89 ± 1.38 | 0.71–1.07 | 0.001 |
| Male (216) | 0.75 ± 1.51 | 0.55–0.96 | 0.001 | |
| March (279) | Female (151) | 0.57 ± 0.99 | 0.41–0.73 | 0.001 |
| Male (128) | 0.84 ± 1.84 | 0.52–1.16 | 0.001 | |
| April (161) | Female (86) | 0.71 ± 1.30 | 0.44–1.00 | 0.001 |
| Male (75) | 0.54 ± 1.26 | 0.25–0.83 | 0.001 | |
| May (25) | Female (7) | 0.53 ± 0.55 | 0.02–1.04 | 0.045 |
| Male (18) | 0.60 ± 1.28 | −0.04–1.24 | 0.064 | |
| Sex (n) | IgG | CI 95% | p | |
| January (29) | Female (14) | 27.27 ± 4.17 | 24.86–29.68 | 0.001 |
| Male (15) | 26.21 ± 7.97 | 21.80–30.63 | 0.001 | |
| February (448) | Female (232) | 24.0 ± 8.68 | 22.92–25.17 | 0.001 |
| Male (216) | 24.64 ± 8.25 | 26.53–25.74 | 0.001 | |
| March (279) | Female (151) | 24.07 ± 5.22 | 23.23–24.91 | 0.001 |
| Male (128) | 23.04 ± 6.99 | 21.82–24.27 | 0.001 | |
| April (161) | Female (86) | 23.10 ± 7.68 | 21.46–24.75 | 0.001 |
| Male (75) | 22.71 ± 6.95 | 21.11–24.31 | 0.001 | |
| May (25) | Female (7) | 20.81 ± 7.45 | 13.92–27.71 | 0.001 |
| Male (18) | 20.21 ± 9.93 | 15.27–25.15 | 0.001 | |
| Age Group | n | Antibody | Mean (SD) | 95% CI | p |
|---|---|---|---|---|---|
| 18–23 Years | 373 | IgM | 0.54 ± 1.13 | 0.43–0.66 | 0.001 |
| IgG | 24.51 ± 7.69 | 23.73–25.30 | 0.001 | ||
| 24–29 Years | 216 | IgM | 0.54 ± 0.95 | 0.42–0.67 | 0.001 |
| IgG | 24.51 ± 6.78 | 23.60–25.42 | 0.001 | ||
| 30–35 Years | 86 | IgM | 0.83 ± 1.12 | 0.59–1.08 | 0.001 |
| IgG | 22.50 ± 7.75 | 20.84–24.16 | 0.001 | ||
| 36–41 Years | 88 | IgM | 1.26 ± 1.92 | 0.85–1.67 | 0.001 |
| IgG | 23.15 ± 8.00 | 21.46–24.85 | 0.001 | ||
| 42–47 Years | 70 | IgM | 0.68 ± 1.11 | 0.42–0.94 | 0.001 |
| IgG | 23.69 ± 7.18 | 21.98–25.41 | 0.001 | ||
| 48–53 Years | 54 | IgM | 1.17 ± 1.81 | 0.67–1.66 | 0.001 |
| IgG | 23.49 ± 7.42 | 21.46–25.51 | 0.001 | ||
| >53 Years | 55 | IgM | 1.50 ± 2.72 | 0.77–2.24 | 0.001 |
| IgG | 20.41 ± 9.45 | 17.85–22.96 | 0.001 |
Disclaimer/Publisher’s Note: The statements, opinions and data contained in all publications are solely those of the individual author(s) and contributor(s) and not of MDPI and/or the editor(s). MDPI and/or the editor(s) disclaim responsibility for any injury to people or property resulting from any ideas, methods, instructions or products referred to in the content. |
© 2023 by the authors. Licensee MDPI, Basel, Switzerland. This article is an open access article distributed under the terms and conditions of the Creative Commons Attribution (CC BY) license (https://creativecommons.org/licenses/by/4.0/).
Share and Cite
Barreto, M.d.S.; Silva, B.S.d.; Santos, R.S.; Silva, D.M.R.R.; Silva, E.E.D.; Moura, P.H.M.; Souza, J.B.d.; Santana, L.A.d.M.; Fonseca, D.L.M.; Filgueiras, I.S.; et al. COVID-19 Vaccination and Serological Profile of a Brazilian University Population. Life 2023, 13, 1925. https://doi.org/10.3390/life13091925
Barreto MdS, Silva BSd, Santos RS, Silva DMRR, Silva EED, Moura PHM, Souza JBd, Santana LAdM, Fonseca DLM, Filgueiras IS, et al. COVID-19 Vaccination and Serological Profile of a Brazilian University Population. Life. 2023; 13(9):1925. https://doi.org/10.3390/life13091925
Chicago/Turabian StyleBarreto, Marina dos Santos, Beatriz Soares da Silva, Ronaldy Santana Santos, Deise Maria Rego Rodrigues Silva, Eloia Emanuelly Dias Silva, Pedro Henrique Macedo Moura, Jessiane Bispo de Souza, Lucas Alves da Mota Santana, Dennyson Leandro M. Fonseca, Igor Salerno Filgueiras, and et al. 2023. "COVID-19 Vaccination and Serological Profile of a Brazilian University Population" Life 13, no. 9: 1925. https://doi.org/10.3390/life13091925
APA StyleBarreto, M. d. S., Silva, B. S. d., Santos, R. S., Silva, D. M. R. R., Silva, E. E. D., Moura, P. H. M., Souza, J. B. d., Santana, L. A. d. M., Fonseca, D. L. M., Filgueiras, I. S., Guimarães, A. G., Cabral-Marques, O., Schimke, L. F., & Borges, L. P. (2023). COVID-19 Vaccination and Serological Profile of a Brazilian University Population. Life, 13(9), 1925. https://doi.org/10.3390/life13091925

