Hypercoagulability State Combined with Post-Treatment Hypofibrinolysis in Invasive Breast Cancer: A Seven-Year Follow-Up Evaluating Disease-Free and Overall Survival
Abstract
1. Introduction
2. Materials and Methods
2.1. Study Participants and Design
2.2. Treatment Plan and Therapeutic Procedures
2.3. Clinical Outcomes and Survival Data
2.4. Laboratory Assays
2.4.1. Blood Sampling
2.4.2. Haemostatic Parameters
2.4.3. Immunohistochemistry Staining
2.5. Statistical and Bioinformatics Analysis
3. Results
3.1. Characteristics of Invasive Breast Cancer Patients
3.2. Clinical Presentation of Patients Regarding to Haemostatic Parameters
3.3. The Impact of Adjuvant Treatment on the TFPI, TF, t-PA, PAI-1 Antigen Concentrations and TFPI, TF Activities
3.4. Predictive Value of Haemostatic Parameters for Clinical Outcome
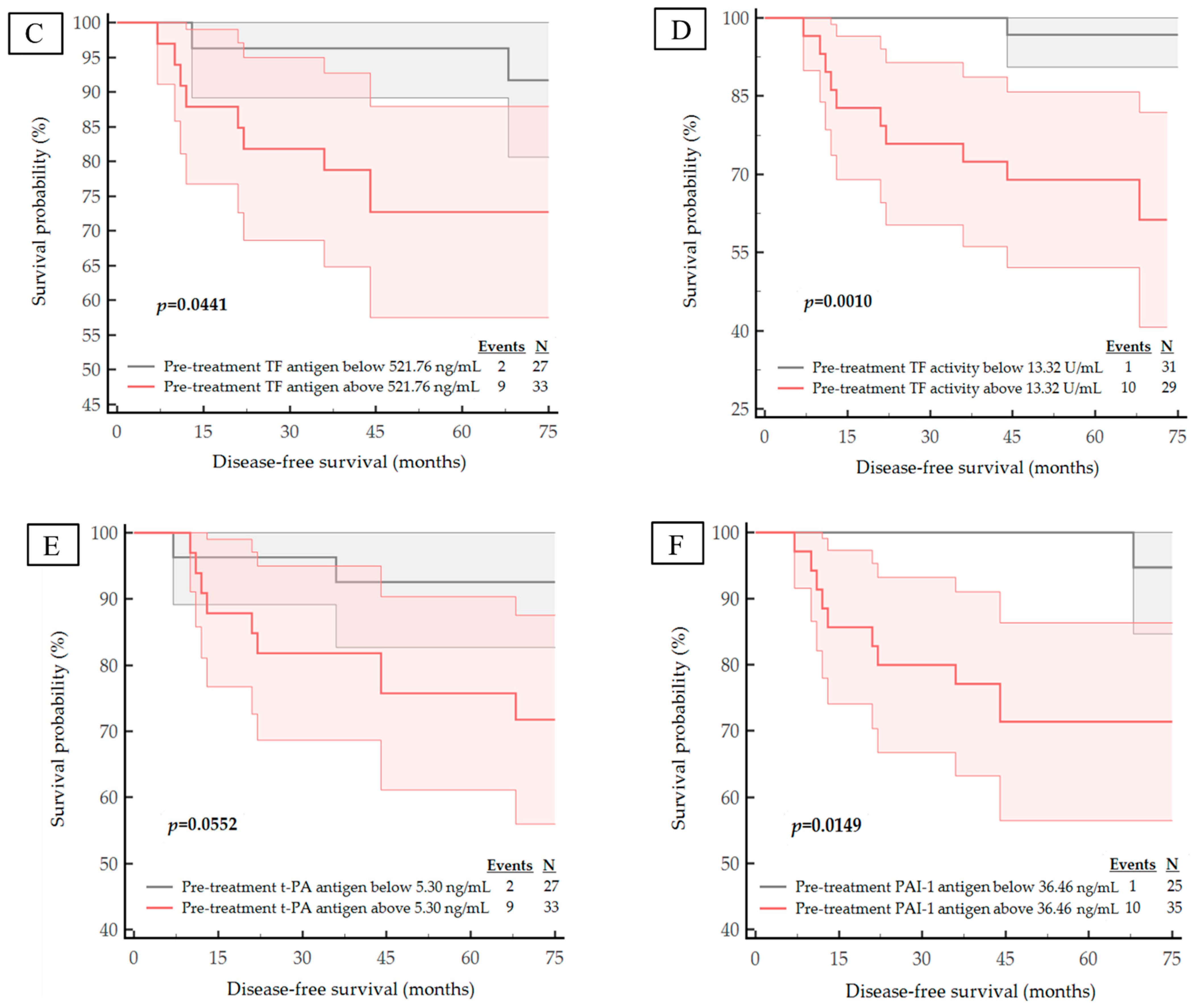
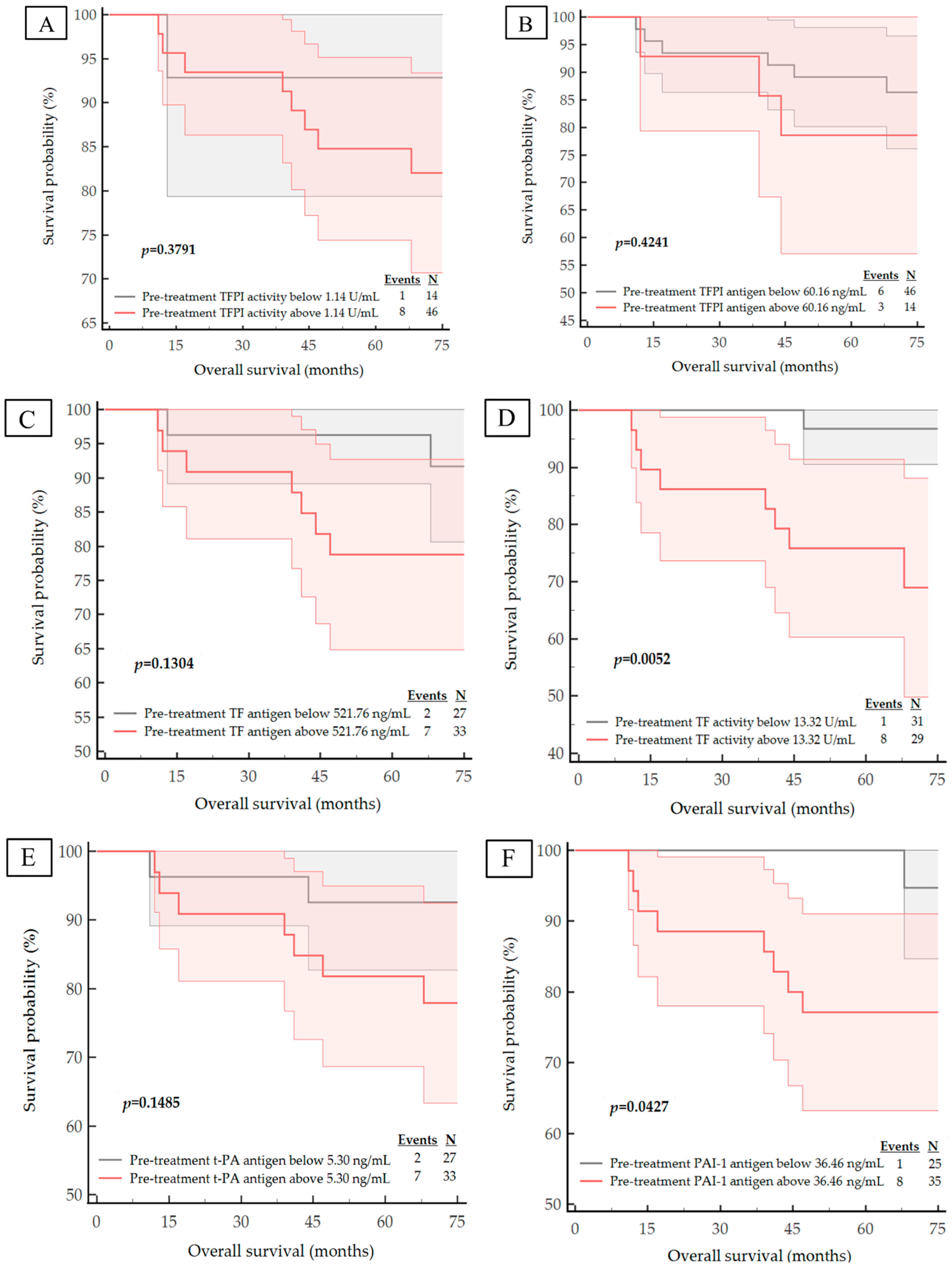
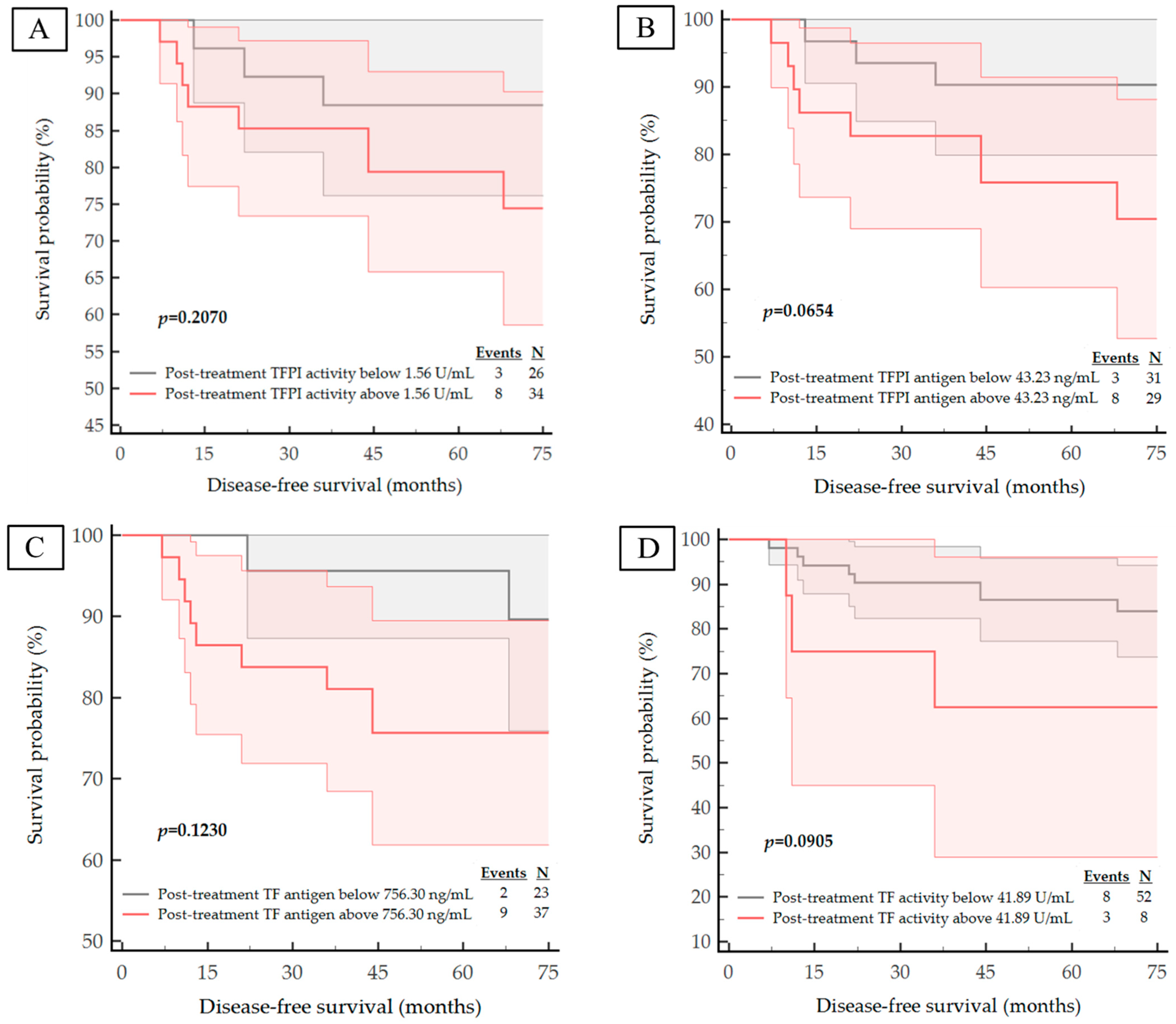
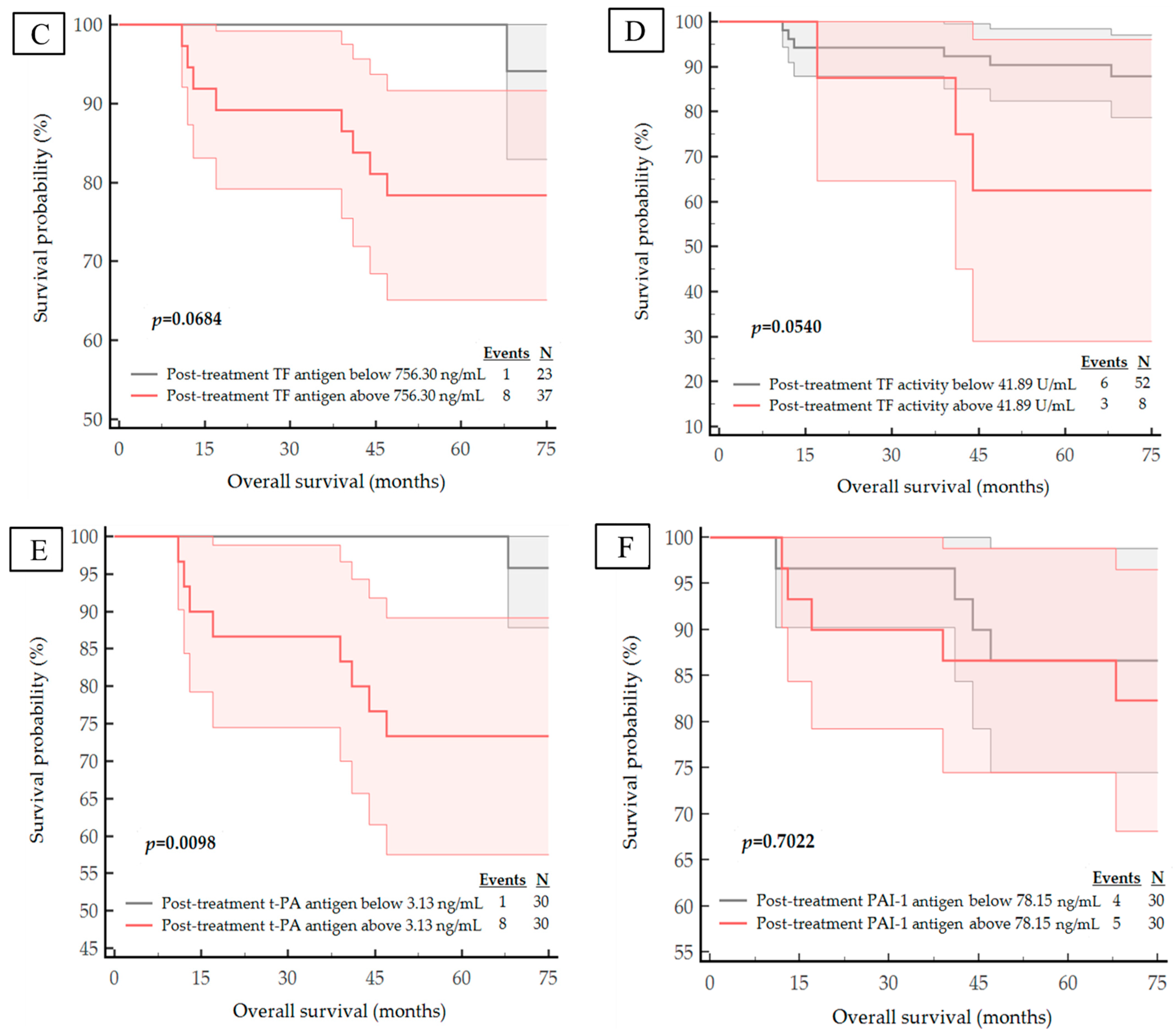
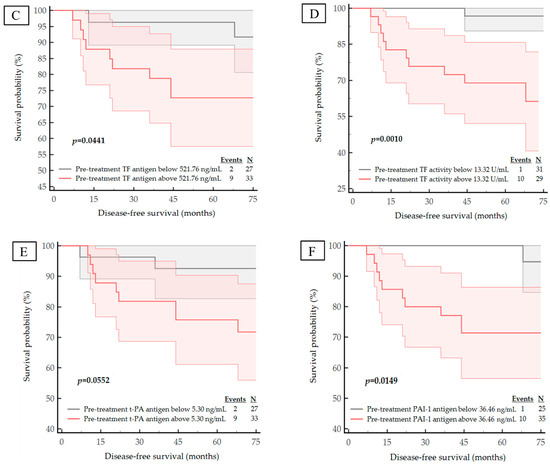
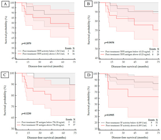
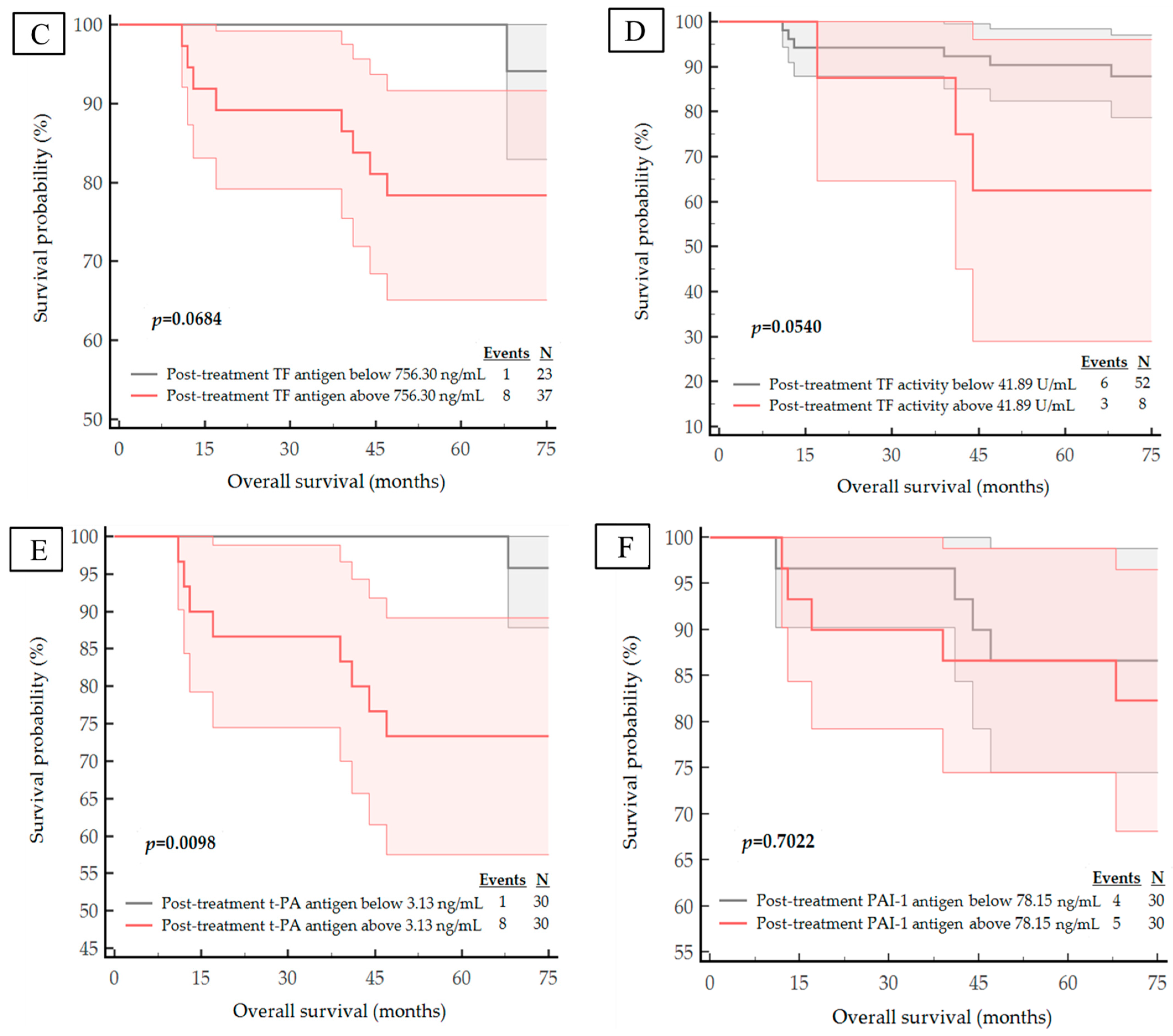
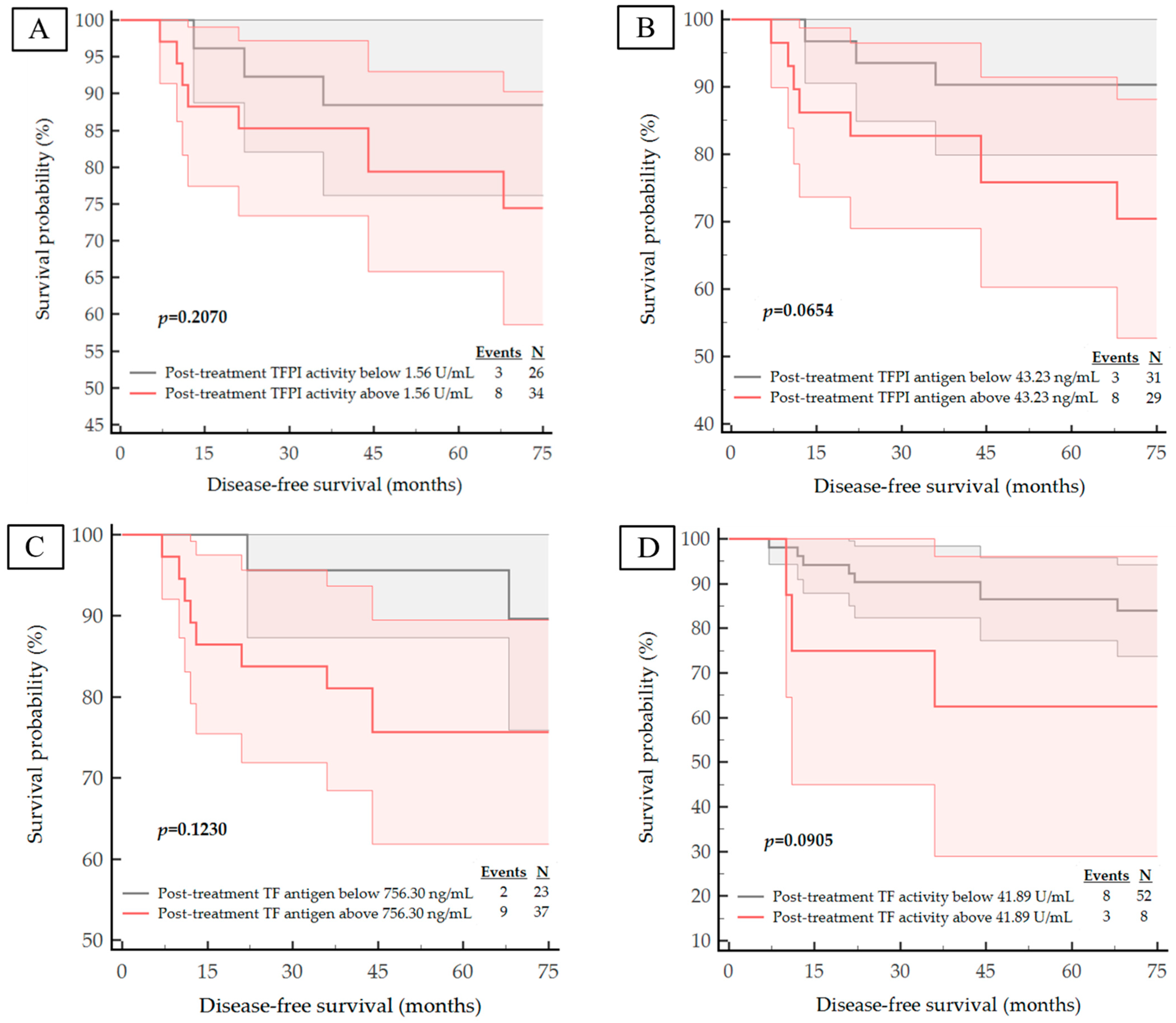
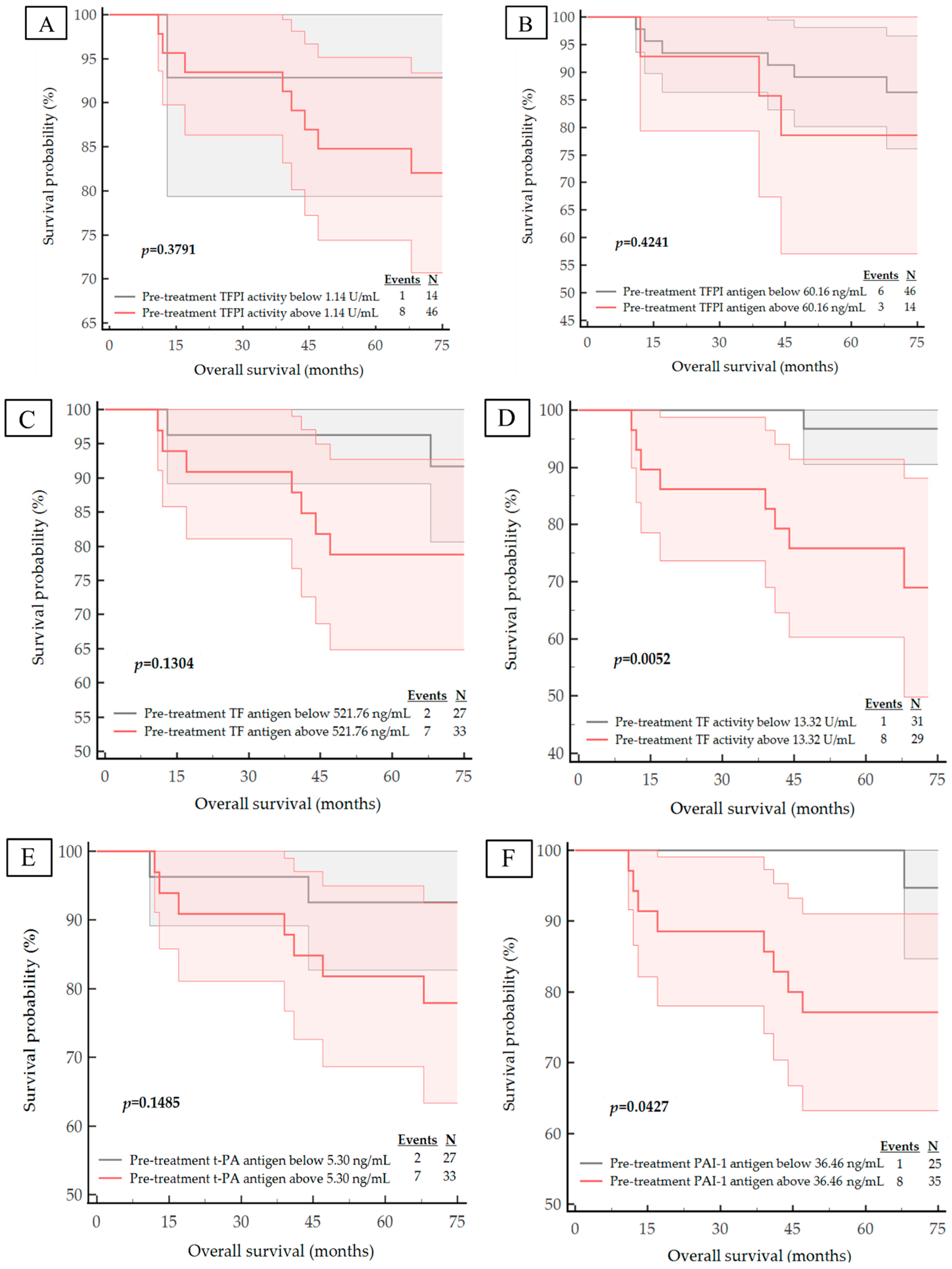
3.5. Survival Analysis Regarding TFPI, TF, t-PA, PAI-1 Antigen Concentrations and TFPI, TF Activities
3.6. Univariate and Multivariate Analyses of Haemostatic Parameters Contributing to DFS
4. Discussion
4.1. TF, TFPI, t-PA and PAI-1 as Prognostic Indicators of Survival
4.2. The Impact of Adjuvant Therapy on Haemostatic Parameter Levels
4.3. Limitations of the Study
5. Conclusions
Supplementary Materials
Author Contributions
Funding
Institutional Review Board Statement
Informed Consent Statement
Data Availability Statement
Acknowledgments
Conflicts of Interest
References
- Moo, T.A.; Sanford, R.; Dang, C.; Morrow, M. Overview of Breast Cancer Therapy. PET Clin. 2018, 13, 339–354. [Google Scholar] [CrossRef] [PubMed]
- Cheung, K.L. Treatment Strategies and Survival Outcomes in Breast Cancer. Cancers 2020, 12, 735. [Google Scholar] [CrossRef]
- Fragomeni, S.M.; Sciallis, A.; Jeruss, J.S. Molecular Subtypes and Local-Regional Control of Breast Cancer. Surg. Oncol. Clin. N. Am. 2018, 27, 95–120. [Google Scholar] [CrossRef]
- Flatley, M.J.; Dodwell, D.J. Adjuvant treatment for breast cancer. Surgery 2019, 37, 176–180. [Google Scholar]
- Nasser, N.J.; Fox, J.; Agbarya, A. Potential Mechanisms of Cancer-Related Hypercoagulability. Cancers 2020, 12, 566. [Google Scholar] [CrossRef]
- Cancer-Associated Hypercoagulable State: Causes and Mechanisms. Available online: https://www.medilib.ir/uptodate/show/1353 (accessed on 12 February 2023).
- Reyes Gil, M. Overview of the Coagulation System. In Transfusion Medicine and Hemostasis, 3rd ed.; Shaz, B.H., Hillyer, C.D., Reyes Gil, M., Eds.; Elsevier Science: Amsterdam, The Netherlands, 2019; pp. 559–564. [Google Scholar]
- Sánchez-Villegas, A.; Sánchez-Tainta, A. (Eds.) Virgin Olive Oil: A Mediterranean Diet Essential. In The Prevention of Cardiovascular Disease through the Mediterranean Diet; Academic Press: Cambridge, MA, USA, 2018; pp. 59–87. [Google Scholar]
- Fainchtein, K.; Tera, Y.; Kearn, N.; Noureldin, A.; Othman, M. Hypercoagulability and Thrombosis Risk in Prostate Cancer: The Role of Thromboelastography. Semin. Thromb. Hemost. 2023, 49, 111–118. [Google Scholar] [CrossRef]
- Falanga, A.; Marchetti, M.; Vignoli, A. Coagulation and cancer: Biological and clinical aspects. J. Thromb. Haemost. 2013, 11, 223–233. [Google Scholar] [CrossRef]
- Moik, F.; Ay, C. Hemostasis and cancer: Impact of haemostatic biomarkers for the prediction of clinical outcomes in patients with cancer. J. Thromb. Haemost. 2022, 20, 2733–2745. [Google Scholar] [CrossRef]
- Bauer, A.T.; Gorzelanny, C.; Gebhardt, C.; Pantel, K.; Schneider, S.W. Interplay between coagulation and inflammation in cancer: Limitations and therapeutic opportunities. Cancer Treat. Rev. 2022, 102, 102322. [Google Scholar] [CrossRef] [PubMed]
- Falanga, A. Mechanisms of hypercoagulation in malignancy and during chemotherapy. Haemostasis 1998, 28, 50–60. [Google Scholar] [CrossRef]
- Kwaan, H.C.; Lindholm, P.F. Fibrin and Fibrinolysis in Cancer. Semin. Thromb. Hemost. 2019, 45, 413–422. [Google Scholar] [CrossRef] [PubMed]
- Haddad, T.C.; Greeno, E.W. Chemotherapy-induced thrombosis. Thromb. Res. 2006, 118, 555–568. [Google Scholar] [CrossRef] [PubMed]
- Serra, R.; Buffone, G.; Miglietta, A.M.; Abonante, S.; Giordano, V.; Renne, M.; Lugarà, M.; de Franciscis, S. Breast cancer and venous disease: A retrospective cohort study. Ann. Vasc. Surg. 2013, 27, 762–766. [Google Scholar] [CrossRef] [PubMed]
- Zaidi, A.; Green, L. Physiology of haemostasis. Anaesth. Intensive Care Med. 2019, 20, 152–158. [Google Scholar] [CrossRef]
- Palumbo, J.S. Crosstalk between hemostasis and immunity in cancer pathogenesis. Thromb. Res. 2022, 213, 3–7. [Google Scholar] [CrossRef]
- Soeroso, N.N.; Rizki Ananda, F.; Samosir, G.; Hariman, H.; Chairani Eyanoer, P. The correlation between hemostatic parameters and mortality rate in patients with non-small cell lung cancer. Hematol. Rep. 2021, 13, 8361. [Google Scholar] [CrossRef]
- Wojtukiewicz, M.Z.; Sierko, E.; Hempel, D.; Tucker, S.C.; Honn, K.V. Platelets and cancer angiogenesis nexus. Cancer Metastasis Rev. 2017, 36, 249–262. [Google Scholar] [CrossRef]
- Lima, L.G.; Monteiro, R.Q. Activation of blood coagulation in cancer: Implications for tumour progression. Biosci. Rep. 2013, 4, e00064. [Google Scholar] [CrossRef]
- Caine, G.J.; Stonelake, P.S.; Lip, G.Y.; Kehoe, S.T. The hypercoagulable state of malignancy: Pathogenesis and current debate. Neoplasia 2002, 4, 465–473. [Google Scholar] [CrossRef]
- Ueno, T.; Toi, M.; Koike, M.; Nakamura, S.; Tominaga, T. Tissue factor expression in breast cancer tissues: Its correlation with prognosis and plasma concentration. Br. J. Cancer 2000, 83, 164–170. [Google Scholar] [CrossRef]
- Stampfli, S.F.; Akhmedov, A.; Hausladen, S.; Varga, Z.; Dedes, K.J.; Hellermann, J.; Luscher, T.F.; Kristiansen, G.; Tanner, F.C.; Breitenstein, A. Tissue Factor Expression Does Not Predict Mortality in Breast Cancer Patients. Anticancer Res. 2017, 37, 3259–3264. [Google Scholar]
- Yu, B.; Zhang, G.; Jin, L.; Zhang, B.; Yan, D.; Yang, H.; Ye, Z.; Ma, T. Inhibition of PAI-1 Activity by Toddalolactone as a Mechanism for Promoting Blood Circulation and Removing Stasis by Chinese Herb Zanthoxylum nitidum var. tomentosum. Front. Pharmacol. 2017, 21, 489. [Google Scholar] [CrossRef] [PubMed]
- Kubala, M.H.; DeClerck, Y.A. The plasminogen activator inhibitor-1 paradox in cancer: A mechanistic understanding. Cancer Metastasis Rev. 2019, 38, 483–492. [Google Scholar] [CrossRef]
- Ferroni, P.; Roselli, M.; Portarena, I.; Formica, V.; Riondino, S.; La Farina, F.; Costarelli, L.; Melino, A.; Massimiani, G.; Cavaliere, F.; et al. Plasma plasminogen activator inhibitor-1 (PAI-1) levels in breast cancer-relationship with clinical outcome. Anticancer Res. 2014, 34, 1153–1161. [Google Scholar]
- Placencio, V.R.; DeClerck, Y.A. Plasminogen Activator Inhibitor-1 in Cancer: Rationale and Insight for Future Therapeutic Testing. Cancer Res. 2015, 75, 2969–2974. [Google Scholar] [CrossRef] [PubMed]
- Isogai, C.; Laug, W.E.; Shimada, H.; Declerck, P.J.; Stins, M.F.; Durden, D.L.; Erdreich-Epstein, A.; DeClerck, Y.A. Plasminogen activator inhibitor-1 promotes angiogenesis by stimulating endothelial cell migration toward fibronectin. Cancer Res. 2001, 61, 5587–5594. [Google Scholar] [PubMed]
- Teliga-Czajkowska, J.; Sienko, J.; Jalinik, K.; Smolarczyk, R.; Czajkowski, K. Prognostic value of tissue plasminogen activator (tPA) in patients with epithelial ovarian cancer undergoing chemotherapy. Ginekol. Pol. 2019, 90, 235–241. [Google Scholar] [CrossRef] [PubMed]
- Corte, M.D.; Lamelas, M.L.; Allende, M.T.; Fueyo, A.; Vizoso, F.; Vérez, P.; Rodríguez, J.C.; Roibás, A.; Domínguez, M.L.; Vazquez, J.; et al. Tissue-Type plasminogen activator (tPA) in breast cancer: Relationship with clinicopathological parameters and prognostic significance. Breast Cancer Res. 2005, 90, 33–40. [Google Scholar] [CrossRef]
- Samuel, E.; Moore, M.; Voskoboynik, M.; Shackleton, M.; Haydon, A. An update on adjuvant systemic therapies in melanoma. Melanoma Manag. 2019, 6, MMT28. [Google Scholar] [CrossRef]
- Kosmider, S.; Lipton, L. Adjuvant therapies for colorectal cancer. World J. Gastroenterol. 2007, 13, 3799–3805. [Google Scholar] [CrossRef]
- Khorana, A.A.; Francis, C.W.; Menzies, K.E.; Wang, J.G.; Hyrien, O.; Hathcock, J.; Mackman, N.; Taubman, M.B. Plasma tissue factor may be predictive of venous thromboembolism in pancreatic cancer. J. Thromb. Haemost. 2008, 6, 1983–1985. [Google Scholar] [CrossRef] [PubMed]
- Bertomeu, M.C.; Gallo, S.; Lauri, D.; Levine, M.N.; Orr, F.W.; Buchanan, M.R. Chemotherapy enhances endothelial cell reactivity to platelets. Clin. Exp. Metastasis 1990, 8, 511–518. [Google Scholar] [CrossRef] [PubMed]
- Rella, C.; Coviello, M.; Giotta, F.; Maiello, E.; Colavito, P.; Colangelo, D.; Quaranta, M.; Colucci, G.; Schittulli, F. A prothrombotic state in breast cancer patients treated with adjuvant chemotherapy. Breast Cancer Res. Treat. 1996, 40, 151–159. [Google Scholar] [CrossRef] [PubMed]
- Lugassy, G.; Falanga, A.; Kakkar, A.K.; Rickles, F.R. Effects of cancer-related and chemotherapy-induced endothelial damage on fibrinolysis. In Thrombosis and Cancer, 1st ed.; Martin Dunitz: London, UK, 2004; p. 121. [Google Scholar]
- Saphner, T.; Tormey, D.C.; Gray, R. Venous and arterial thrombosis in patients who received adjuvant therapy for breast cancer. J. Clin. Oncol. 1991, 9, 286–294. [Google Scholar] [CrossRef]
- Hamza, M.S.; Mousa, S.A. Cancer-Associated Thrombosis: Risk Factors, Molecular Mechanisms, Future Management. Clin. Appl. Thromb. Hemost. 2020, 26, 1076029620954282. [Google Scholar] [CrossRef]
- Koster, T.; Rosendaal, F.R.; de Ronde, H.; Briet, E.; Vandenbroucke, J.P.; Bertina, R.M. Venous thrombosis due to poor anticoagulant response to activated protein C: Leiden thrombophilia study. Lancet 1993, 342, 1503–1506. [Google Scholar] [CrossRef]
- Liberti, G.; Bertina, R.M.; Rosendaal, F.R. Hormonal state rather than age influences cut-off values of protein S: Reevaluation of the thrombotic risk associated with protein S deficiency. Thromb. Haemost. 1999, 82, 1093–1096. [Google Scholar] [CrossRef]
- Pemberton, K.D.; Melissari, E.; Kakkar, V.V. The influence of tamoxifen in vivo on the main natural anticoagulants and fibrinolysis. Blood Coagul. Fibrinolysis 1993, 4, 935–942. [Google Scholar] [CrossRef]
- Trappenburg, M.C.; van Schilfgaarde, M.; Bredewold, E.O.; van Aalderen, M.C.; Spronk, H.M.; Ten Cate, H.; Leyte, A.; Terpstra, W.E. Elevated numbers and altered subsets of procoagulant microparticles in breast cancer patients using endocrine therapy. Thromb. Res. 2011, 27, 363–369. [Google Scholar] [CrossRef]
- Aharon, A.; Sabbah, A.; Ben-Shaul, S.; Berkovich, H.; Loven, D.; Brenner, B.; Bar-Sela, G. Chemotherapy administration to breast cancer patients affects extracellular vesicles thrombogenicity and function. Oncotarget 2017, 8, 63265–63280. [Google Scholar] [CrossRef]
- Blondon, M.; Bodmer, A.; Thouvenin, L.; Lecompte, T.; Righini, M.; Fontana, P.; Casini, A. Differential impact of tamoxifen and aromatase inhibitors on thrombin generation: The prospective HEMOBREAST cohort. Blood Adv. 2022, 6, 2884–2892. [Google Scholar] [CrossRef] [PubMed]
- Al-Youzbaki, W.B.; Al-Youzbaki, N.B.; Telfah, M.M. Tissue polypeptide antigen & interleukin-6: Are their serum levels a predictor for response to chemotherapy in breast cancer? Pak. J. Med. Sci. 2014, 30, 1108–1112. [Google Scholar] [PubMed]
- von Tempelhoff, G.F.; Pollow, K.; Schneider, D.; Heilmann, L. State-of-the-Art Review: Chemotherapy and Thrombosis in Gynecologic Malignancy. Clin. Appl. Thromb. Hemost. 1999, 5, 92–104. [Google Scholar] [CrossRef] [PubMed]









| Demographic and Clinical Variables | Overall (n = 60; 100%) |
|---|---|
| Age | |
| <56 years | 27 (45%) |
| ≥56 years | 33 (55%) |
| Menopausal status | |
| pre-menopause | 14 (23%) |
| post-menopause | 46 (77%) |
| Body mass index | |
| Normal ≤ 24.99 kg/m2 | 30 (50%) |
| Overweight or obese ≥ 25 kg/m2 | 30 (50%) |
| Parity status | |
| 0 | 6 (10%) |
| 1–2 | 41 (68%) |
| 3 and more | 13 (22%) |
| Smoking status | |
| Smokers | 17 (28%) |
| Non-smokers | 43 (72%) |
| Tumour localization | |
| Left breast | 31 (52%) |
| Right breast | 29 (48%) |
| Histological type | |
| IDC | 51 (85%) |
| ILC | 9 (15%) |
| Histological grade | |
| G1 + G2 | 47 (78%) |
| G3 | 13 (22%) |
| cT category (7th ed.) | |
| T1 | 37 (59%) |
| T2 | 23 (41%) |
| cN category (7th ed.) | |
| N0 | 42 (68%) |
| N1 | 18 (32%) |
| cStage (7th ed.) | |
| IA | 24 (39%) |
| IIA + IIB | 36 (61%) |
| Molecular subtype | |
| Luminal A | 34 (57%) |
| Non-luminal A | 26 (43%) |
| Molecular components | |
| ER (+) | 51 (85%) |
| ER (−) | 9 (15%) |
| PR (+) | 45 (75%) |
| PR (−) | 15 (25%) |
| HER2 (+) | 8 (13%) |
| HER2 (−) | 52 (87%) |
| Proliferation marker expression | |
| Ki67 < 20% | 39 (65%) |
| Ki67 ≥ 20% | 21 (35%) |
| Surgery type | |
| Mastectomy | 5 (8%) |
| BCS | 46 (77%) |
| MRM | 9 (15%) |
| Radiotherapy | |
| Yes | 49 (82%) |
| No | 11 (18%) |
| Brachytherapy | |
| Yes | 28 (47%) |
| No | 32 (53%) |
| Chemotherapy | |
| Anthracykline | 27 (45%) |
| Non-anthracycline | 4 (7%) |
| No | 29 (48%) |
| Endocrine therapy | |
| Tamoxifen | 30 (50%) |
| Inhibitor aromatase | 13 (22%) |
| Tamoxifen + inhibitor aromatase | 7 (11%) |
| No | 10 (17%) |
| Immunotherapy | |
| Yes | 6 (10%) |
| No | 54 (90%) |
| Type of Treatment | Pre-Treatment TFPI Activity [U/mL] | Post-Treatment TFPI Activity [U/mL] | p-Value * | Pre-Treatment TFPI Antigen [ng/mL] | Post-Treatment TFPI Antigen [ng/mL] | p-Value ** | Pre-Treatment TF Antigen [ng/mL] | Post-Treatment TF Antigen [ng/mL] | p-Value *** |
|---|---|---|---|---|---|---|---|---|---|
| Surgery type | |||||||||
| 1.28 | 1.68 | 61.88 | 32.87 | 466.34 | 822.71 | ||||
| Mastectomy | 1.26/1.36 | 1.56/1.96 | 0.2249 | 58.80/64.56 | 31.94/46.69 | 0.0796 | 392.64/577.40 | 452.43/841.96 | 0.2249 |
| 1.29 | 1.64 | 43.74 | 42.57 | 552.70 | 834.90 | ||||
| BCS | 1.12/1.48 | 1.10/2.06 | 0.0083 | 37.12/50.40 | 38.13/52.48 | 0.9956 | 400.86/718.70 | 660.92/999.12 | <0.0001 |
| 1.40 | 1.96 | 40.68 | 46.53 | 592.28 | 789.20 | ||||
| MRM | 1.30/1.58 | 1.72/2.52 | 0.0284 | 37.64/55.00 | 43.23/98.36 | 0.3743 | 521.76/896.86 | 689.43/904.71 | 0.0506 |
| Radiotherapy | |||||||||
| 1.28 | 1.70 | 43.44 | 42.77 | 562.47 | 831.91 | ||||
| Yes | 1.12/1.48 | 1.10/2.06 | 0.0030 | 37.64/50.80 | 38.39/51.59 | 0.8384 | 400.94/724.55 | 660.92/999.12 | <0.0001 |
| 1.40 | 1.72 | 53.92 | 44.84 | 521.76 | 822.71 | ||||
| No | 1.26/1.58 | 1.48/2.82 | 0.0619 | 39.08/61.88 | 31.94/98.36 | 0.5937 | 442.73/581.87 | 655.33/904.71 | 0.0044 |
| Brachytherapy | |||||||||
| 1.31 | 1.54 | 42.68 | 42.69 | 537.87 | 803.05 | ||||
| Yes | 1.12/1.53 | 1.00/1.92 | 0.0776 | 35.82/48.94 | 38.47/53.11 | 0.3995 | 386.85/723.82 | 666.14/979.33 | 0.0002 |
| 1.31 | 1.77 | 47.62 | 43.08 | 557.20 | 827.41 | ||||
| No | 1.15/1.49 | 1.39/2.20 | 0.0015 | 39.88/61.12 | 34.54/50.30 | 0.4001 | 439.56/689.41 | 658.13/1010.72 | <0.0001 |
| Chemotherapy | |||||||||
| 1.28 | 1.82 | 42.36 | 43.23 | 565.46 | 837.69 | ||||
| Anthracykline | 1.10/1.46 | 1.40/2.20 | 0.0004 | 34.36/61.88 | 37.87/53.46 | 0.6139 | 400.86/726.12 | 691.40/973.34 | 0.0001 |
| 1.41 | 2.45 | 40.04 | 78.01 | 517.51 | 727.67 | ||||
| Non-anthracycline | 1.25/1.51 | 1.57/2.67 | 0.1441 | 36.24/48.00 | 53.33/104.68 | 0.1441 | 413.55/792.09 | 567.50/1049.22 | 0.0679 |
| 1.30 | 1.50 | 46.44 | 41.91 | 520.76 | 789.20 | ||||
| No | 1.16/1.56 | 0.76/1.80 | 0.2993 | 40.68/53.92 | 33.76/46.51 | 0.2137 | 402.49/686.50 | 642.06/1002.68 | 0.0001 |
| Endocrine therapy | |||||||||
| 1.30 | 1.48 | 45.46 | 42.22 | 572.93 | 774.18 | ||||
| Tamoxifen | 1.14/1.50 | 0.90/1.82 | 0.2059 | 36.04/55.00 | 33.01/47.86 | 0.1915 | 387.68/718.70 | 642.06/884.08 | 0.0002 |
| 1.26 | 1.76 | 44.16 | 46.99 | 563.96 | 890.45 | ||||
| Inhibitor aromatase | 1.18/1.32 | 1.52/2.70 | 0.0088 | 40.68/60.36 | 42.77/105.84 | 0.1520 | 466.34/728.94 | 691.40/973.34 | 0.0046 |
| 1.48 | 1.96 | 55.76 | 46.51 | 562.47 | 1022.32 | ||||
| Tamoxifen+inhibitor aromatase | 0.94.1.68 | 1.74/2.62 | 0.2367 | 44.68/63.04 | 35.44/52.48 | 0.3980 | 520.76/774.32 | 985.32/1267.00 | 0.0180 |
| 1.38 | 1.84 | 40.50 | 40.29 | 439.56 | 725.55 | ||||
| No | 0.78/1.56 | 1.10/2.20 | 0.0745 | 32.68/43.44 | 37.87/52.76 | 0.3329 | 376.02/474.14 | 543.86/837.69 | 0.0284 |
| Immunotherapy | |||||||||
| 1.42 | 2.17 | 42.22 | 55.21 | 481.71 | 696.06 | ||||
| Yes | 1.42/1.60 | 0.76/2.96 | 0.2489 | 34.36/58.80 | 42.61/59.47 | 0.0277 | 386.02/718.70 | 479.66/1002.42 | 0.0747 |
| 1.29 | 1.69 | 44.58 | 42.65 | 552.70 | 827.31 | ||||
| No | 1.12/1.48 | 1.18/2.06 | 0.0007 | 38.00/55.76 | 35.44/49.00 | 0.3502 | 431.59/724.55 | 671.43/985.32 | <0.0001 |
| Type of Treatment | Pre-Treatment TF Activity [U/mL] | Post-Treatment TF Activity [U/mL] | p-Value * | Pre-Treatment t-PA Antigen [ng/mL] | Post-Treatment t-PA Antigen [ng/mL] | p-Value ** | Pre-Treatment PAI-1 Antigen [ng/mL] | Post-Treatment PAI-1 Antigen [ng/mL] | p-Value *** |
|---|---|---|---|---|---|---|---|---|---|
| Surgery type | |||||||||
| 13.70 | 41.37 | 5.10 | 2.30 | 38.52 | 78.46 | ||||
| Mastectomy | 10.61/23.59 | 12.12/42.63 | 0.2249 | 4.55/5.87 | 2.02/3.01 | 0.0796 | 36.46/58.30 | 45.47/81.25 | 0.0796 |
| 12.46 | 23.72 | 5.70 | 3.03 | 37.38 | 78.68 | ||||
| BCS | 11.17/23.59 | 11.22/33.11 | 0.0008 | 4.28/6.87 | 2.05/4.96 | 0.0001 | 27.73/44.97 | 47.70/85.97 | <0.0001 |
| 29.88 | 32.97 | 6.86 | 3.28 | 40.80 | 73.27 | ||||
| MRM | 11.65/41.82 | 13.32/45.39 | 0.3743 | 4.14/7.78 | 1.98/3.95 | 0.0858 | 35.50/45.48 | 60.72/84.65 | 0.1097 |
| Radiotherapy | |||||||||
| 12.46 | 20.30 | 5.69 | 2.93 | 37.90 | 79.31 | ||||
| Yes | 11.03/23.59 | 11.20/33.11 | 0.0006 | 4.30/7.12 | 2.02/4.55 | <0.0001 | 27.87/45.48 | 47.70/85.97 | <0.0001 |
| 23.59 | 34.09 | 5.87 | 3.28 | 37.19 | 73.27 | ||||
| No | 11.65/39.18 | 123.32/43.56 | 0.2860 | 3.92/7.16 | 1.36/6.99 | 0.0754 | 35.50/44.60 | 47.83/79.44 | 0.0912 |
| Brachytherapy | |||||||||
| 12.39 | 27.84 | 5.83 | 3.67 | 36.16 | 79.85 | ||||
| Yes | 11.28/26.40 | 14.41/33.28 | 0.0067 | 4.50/7.43 | 2.25/5.06 | 0.0083 | 27.52/41.82 | 48.40/87.42 | <0.0001 |
| 13.65 | 18.28 | 5.41 | 2.97 | 39.50 | 75.87 | ||||
| No | 10.50/27.03 | 11.24/39.95 | 0.0215 | 4.04/7.00 | 1.63/3.82 | 0.0001 | 31.41/49.71 | 47.02/81.41 | 0.0004 |
| Chemotherapy | |||||||||
| 13.88 | 27.69 | 5.87 | 2.69 | 37.20 | 78.15 | ||||
| Anthracykline | 11.77/29.88 | 12.12/33.45 | 0.0517 | 4.34/6.87 | 1.79/4.21 | 0.0006 | 27.73/45.48 | 46.21/84.33 | <0.0001 |
| 27.14 | 22.74 | 5.19 | 2.84 | 39.35 | 73.93 | ||||
| Non-anthracycline | 7.89/46.00 | 13.05/41.14 | 0.7150 | 3.20/6.06 | 1.57/7.91 | 0.7150 | 34.10/126.33 | 58.95/82.05 | 0.7150 |
| 11.80 | 27.13 | 5.69 | 3.14 | 37.55 | 79.31 | ||||
| No | 10.39/23.31 | 11.28/37.68 | 0.0021 | 3.99/7.72 | 2.30/5.02 | 0.0008 | 28.10/44.97 | 47.70/86.75 | 0.0001 |
| Endocrine therapy | |||||||||
| 11.71 | 23.72 | 5.59 | 3.10 | 35.98 | 55.30 | ||||
| Tamoxifen | 10.61/23.59 | 12.12/38.10 | 0.0010 | 4.42/6.70 | 2.02/4.55 | 0.0007 | 28.10/44.60 | 44.20/81.25 | 0.0002 |
| 23.31 | 17.10 | 6.44 | 3.14 | 37.55 | 84.18 | ||||
| Inhibitor aromatase | 12.31/29.59 | 11.28/33.45 | 0.4631 | 4.83/7.72 | 2.57/6.42 | 0.0024 | 35.12/45.30 | 79.20/90.08 | 0.0277 |
| 13.70 | 27.99 | 4.30 | 6.84 | 49.60 | 85.97 | ||||
| Tamoxifen+inhibitor aromatase | 10.03/23.59 | 17.91/41.89 | 0.0180 | 3.86/6.06 | 1.18/11.20 | 0.6121 | 27.30/56.19 | 81.15/88.22 | 0.0180 |
| 13.89 | 26.43 | 5.51 | 2.12 | 39.97 | 73.64 | ||||
| No | 12.31/24.17 | 10.04/30.19 | 0.7989 | 4.4.23/7.38 | 1.16/3.34 | 0.0125 | 30.27/44.46 | 68.42/82.66 | 0.0069 |
| Immunotherapy | |||||||||
| 12.61 | 17.01 | 5.66 | 2.35 | 41.12 | 80.35 | ||||
| Yes | 11.77/15.20 | 15.65/20.30 | 0.0006 | 5.10/6.70 | 1.79/6.84 | 0.4631 | 37.90/49.60 | 49.48/81.43 | 0.0277 |
| 13.24 | 27.84 | 5.70 | 3.14 | 37.20 | 78.03 | ||||
| No | 11.03/26.92 | 11.28/37.68 | 0.3454 | 4.23/7.16 | 2.05/4.94 | <0.0001 | 28.10/45.30 | 47.33/85.97 | <0.0001 |
| Type of Adjuvant Therapy | Pre-Treatment TFPI Activity [U/mL] | Post-Treatment TFPI Activity [U/mL] | p-Value * | Pre-Treatment TFPI Antigen [ng/mL] | Post-Treatment TFPI Antigen [ng/mL] | p-Value ** | Pre-Treatment TF Antigen [ng/mL] | Post-Treatment TF Antigen [ng/mL] | p-Value *** |
|---|---|---|---|---|---|---|---|---|---|
| Adjuvant therapy (all types) | 1.31 | 1.71 | 0.0004 | 44.32 | 42.85 | 0.8195 | 552.70 | 827.31 | <0.0001 |
| 1.14/1.49 | 1.15/2.09 | 37.82/57.28 | 36.97/52.62 | 401.72/721.63 | 660.89/992.22 | ||||
| Monotherapy | 1.48 | 1.48 | 1.0000 | 53.92 | 33.71 | 1.0000 | 466.34 | 655.33 | 0.8434 |
| 1.30/1.60 | 0.76/2.82 | 33.40/60.36 | 32.87/98.36 | 442.73/752.35 | 498.44/841.96 | ||||
| Combination therapy with chemotherapy | 1.30 | 1.87 | 0.0003 | 41.68 | 46.52 | 0.3820 | 566.96 | 834.90 | <0.0001 |
| 1.10/1.42 | 1.40/2.20 | 35.60/58.80 | 38.93/56.46 | 400.86/726.12 | 691.40/973.34 | ||||
| Combination therapy with endocrine therapy | 1.28 | 1.72 | 0.0015 | 44.48 | 43.23 | 0.8434 | 577.40 | 866.51 | <0.0001 |
| 1.14/1.48 | 1.30/2.08 | 38.00/55.76 | 38.39/52.48 | 431.59/726.12 | 679.30/1022.32 |
| Type of Adjuvant Therapy | Pre-Treatment TF Activity [U/mL] | Post-Treatment TF Activity [U/mL] | p-Value * | Pre-Treatment t-PA Antigen [ng/mL] | Post-Treatment t-PA Antigen [ng/mL] | p-Value ** | Pre-Treatment PAI-1 Antigen [ng/mL] | Post-Treatment PAI-1 Antigen [ng/mL] | p-Value *** |
|---|---|---|---|---|---|---|---|---|---|
| Adjuvant therapy (all types) | 12.96 | 27.13 | 0.0003 | 5.70 | 3.07 | <0.0001 | 37.73 | 78.31 | <0.0001 |
| 11.10/26.40 | 11.67/35.89 | 4.26/7.14 | 2.00/4.95 | 29.19/45.39 | 47.77/85.19 | ||||
| Monotherapy | 12.31 | 25.17 | 0.4990 | 7.16 | 3.01 | 0.1282 | 38.52 | 68.42 | 0.0425 |
| 10.61/39.18 | 11.28/43.56 | 3.04/9.68 | 2.18/7.41 | 35.50/44.60 | 47.33/81.39 | ||||
| Combination therapy with chemotherapy | 13.79 | 27.41 | 0.0270 | 5.79 | 2.91 | 0.0013 | 37.55 | 78.31 | 0.0001 |
| 11.77/29.88 | 12.12/33.45 | 4.42/6.86 | 1.98/4.21 | 30.27/45.48 | 47.83/84.33 | ||||
| Combination therapy with endocrine therapy | 12.46 | 27.13 | 0.0002 | 5.69 | 3.14 | 0.0001 | 36.50 | 79.20 | <0.0001 |
| 11.03/26.92 | 12.12/37.68 | 4.28/6.70 | 2.02/5.02 | 27.87/45.48 | 47.70/85.97 |
| ROC Data | Pre-Treatment TFPI Activity | Pre-Treatment TFPI Antigen | Pre-Treatment TF Antigen | Pre-Treatment TF Activity | Pre-Treatment t-PA Antigen | Pre-Treatment PAI-1 Antigen |
|---|---|---|---|---|---|---|
| AUC | 0.545 | 0.496 | 0.620 | 0.701 | 0.596 | 0.659 |
| Youden index | 0.17 | 0.16 | 0.33 | 0.52 | 0.33 | 0.40 |
| Cut-off point | 1.14 | 60.16 | 521.76 | 13.32 | 5.30 | 36.46 |
| Sensitivity (%) | 90.9 | 36.4 | 81.8 | 90.9 | 81.8 | 90.9 |
| Specificity (%) | 26.5 | 79.6 | 51.0 | 61.2 | 51.0 | 49.0 |
| Positive predictive value (%) | 21.7 | 28.6 | 27.3 | 34.5 | 27.3 | 28.6 |
| Negative predictive value (%) | 92.9 | 84.8 | 92.6 | 96.8 | 92.6 | 96.0 |
| Accuracy (%) | 38.3 | 71.7 | 56.7 | 66.7 | 56.7 | 56.7 |
| p-value | 0.6224 | 0.9724 | 0.2088 | 0.0143 | 0.3449 | 0.0472 |
| ROC Data | Post-Treatment TFPI Activity | Post-Treatment TFPI Antigen | Post-Treatment TF Antigen | Post-Treatment TF Activity | Post-Treatment t-PA Antigen | Post-Treatment PAI-1 Antigen |
|---|---|---|---|---|---|---|
| AUC | 0.606 | 0.573 | 0.579 | 0.544 | 0.757 | 0.635 |
| Youden index | 0.27 | 0.30 | 0.25 | 0.26 | 0.50 | 0.26 |
| Cut-off point | 1.56 | 43.23 | 756.30 | 41.89 | 3.13 | 78.15 |
| Sensitivity (%) | 81.8 | 72.7 | 81.8 | 36.4 | 90.9 | 72.7 |
| Specificity (%) | 44.9 | 57.1 | 42.9 | 89.8 | 59.2 | 53.1 |
| Positive predictive value (%) | 25.0 | 27.6 | 24.3 | 44.4 | 33.3 | 25.8 |
| Negative predictive value (%) | 91.7 | 90.3 | 91.3 | 86.3 | 96.7 | 89.7 |
| Accuracy (%) | 51.7 | 60.0 | 50.0 | 80.0 | 65.0 | 56.7 |
| p-value | 0.2299 | 0.4281 | 0.3529 | 0.6792 | 0.0001 | 0.1616 |
| Variables | Univariate | Multivariate | ||
|---|---|---|---|---|
| HR (95% CI) | p-Values | HR (95% CI) | p-Values | |
| Pre-treatment TFPI activity | ||||
| Low | 3.20 | 3.21 | ||
| High | (0.41–24.97) | 0.2675 | (0.39–26.49) | 0.2786 |
| Pre-treatment TFPI antigen | ||||
| Low | 1.96 | 0.51 | ||
| High | (0.57–6.72) | 0.2822 | (0.12–2.19) | 0.3643 |
| Pre-treatment TF antigen | ||||
| Low | 4.24 | 4.20 | ||
| High | (0.91–19.65) | 0.0649 | (0.79–22.26) | 0.0921 |
| Pre-treatment TF activity | ||||
| Low | 14.33 | 7.91 | ||
| High | (1.81–113.28) | 0.0116 | (0.87–71.74) | 0.0660 |
| Pre-treatment t-PA antigen | ||||
| Low | 3.99 | 2.68 | ||
| High | (0.86–18.48) | 0.0768 | (0.53–13.61) | 0.2332 |
| Pre-treatment PAI-1 antigen | ||||
| Low | 8.39 | 11.84 | ||
| High | (1.07–65.58) | 0.0427 | (0.49–286.23) | 0.1283 |
| Variables | Univariate | Multivariate | ||
|---|---|---|---|---|
| HR (95% CI) | p-Values | HR (95% CI) | p-Values | |
| Post-treatment TFPI activity | ||||
| Low | 2.30 | 2.16 | ||
| High | (0.61–8.69) | 0.2207 | (0.54–8.68) | 0.2768 |
| Post-treatment TFPI antigen | ||||
| Low | 3.25 | 3.18 | ||
| High | (0.86–12.27) | 0.0822 | (0.66–15.33) | 0.1499 |
| Post-treatment TF antigen | ||||
| Low | 3.13 | 2.03 | ||
| High | (0.68–14.49) | 0.1445 | (0.35–11.64) | 0.4262 |
| Post-treatment TF activity | ||||
| Low | 2.98 | 0.49 | ||
| High | (0.79–11.25) | 0.1074 | (0.06–3.71) | 0.4895 |
| Post-treatment t-PA antigen | ||||
| Low | 11.29 | 2.74 | ||
| High | (1.43–89.25) | 0.0216 | (0.68–14.63) | 0.9954 |
| Post-treatment PAI-1 antigen | ||||
| Low | 1.82 | 2.93 | ||
| High | (0.53–6.21) | 0.3405 | (0.68–12.59) | 0.1476 |
Disclaimer/Publisher’s Note: The statements, opinions and data contained in all publications are solely those of the individual author(s) and contributor(s) and not of MDPI and/or the editor(s). MDPI and/or the editor(s) disclaim responsibility for any injury to people or property resulting from any ideas, methods, instructions or products referred to in the content. |
© 2023 by the authors. Licensee MDPI, Basel, Switzerland. This article is an open access article distributed under the terms and conditions of the Creative Commons Attribution (CC BY) license (https://creativecommons.org/licenses/by/4.0/).
Share and Cite
Wrzeszcz, K.; Rhone, P.; Kwiatkowska, K.; Ruszkowska-Ciastek, B. Hypercoagulability State Combined with Post-Treatment Hypofibrinolysis in Invasive Breast Cancer: A Seven-Year Follow-Up Evaluating Disease-Free and Overall Survival. Life 2023, 13, 1106. https://doi.org/10.3390/life13051106
Wrzeszcz K, Rhone P, Kwiatkowska K, Ruszkowska-Ciastek B. Hypercoagulability State Combined with Post-Treatment Hypofibrinolysis in Invasive Breast Cancer: A Seven-Year Follow-Up Evaluating Disease-Free and Overall Survival. Life. 2023; 13(5):1106. https://doi.org/10.3390/life13051106
Chicago/Turabian StyleWrzeszcz, Katarzyna, Piotr Rhone, Katarzyna Kwiatkowska, and Barbara Ruszkowska-Ciastek. 2023. "Hypercoagulability State Combined with Post-Treatment Hypofibrinolysis in Invasive Breast Cancer: A Seven-Year Follow-Up Evaluating Disease-Free and Overall Survival" Life 13, no. 5: 1106. https://doi.org/10.3390/life13051106
APA StyleWrzeszcz, K., Rhone, P., Kwiatkowska, K., & Ruszkowska-Ciastek, B. (2023). Hypercoagulability State Combined with Post-Treatment Hypofibrinolysis in Invasive Breast Cancer: A Seven-Year Follow-Up Evaluating Disease-Free and Overall Survival. Life, 13(5), 1106. https://doi.org/10.3390/life13051106

