A Pilot Study of Dietetic, Phenotypic, and Genotypic Features Influencing Hypertensive Disorders of Pregnancy in Women with Pregestational Diabetes Mellitus
Abstract
1. Introduction
2. Materials and Methods
2.1. Subjects
2.2. Diet Groups and Nutritional Guidance
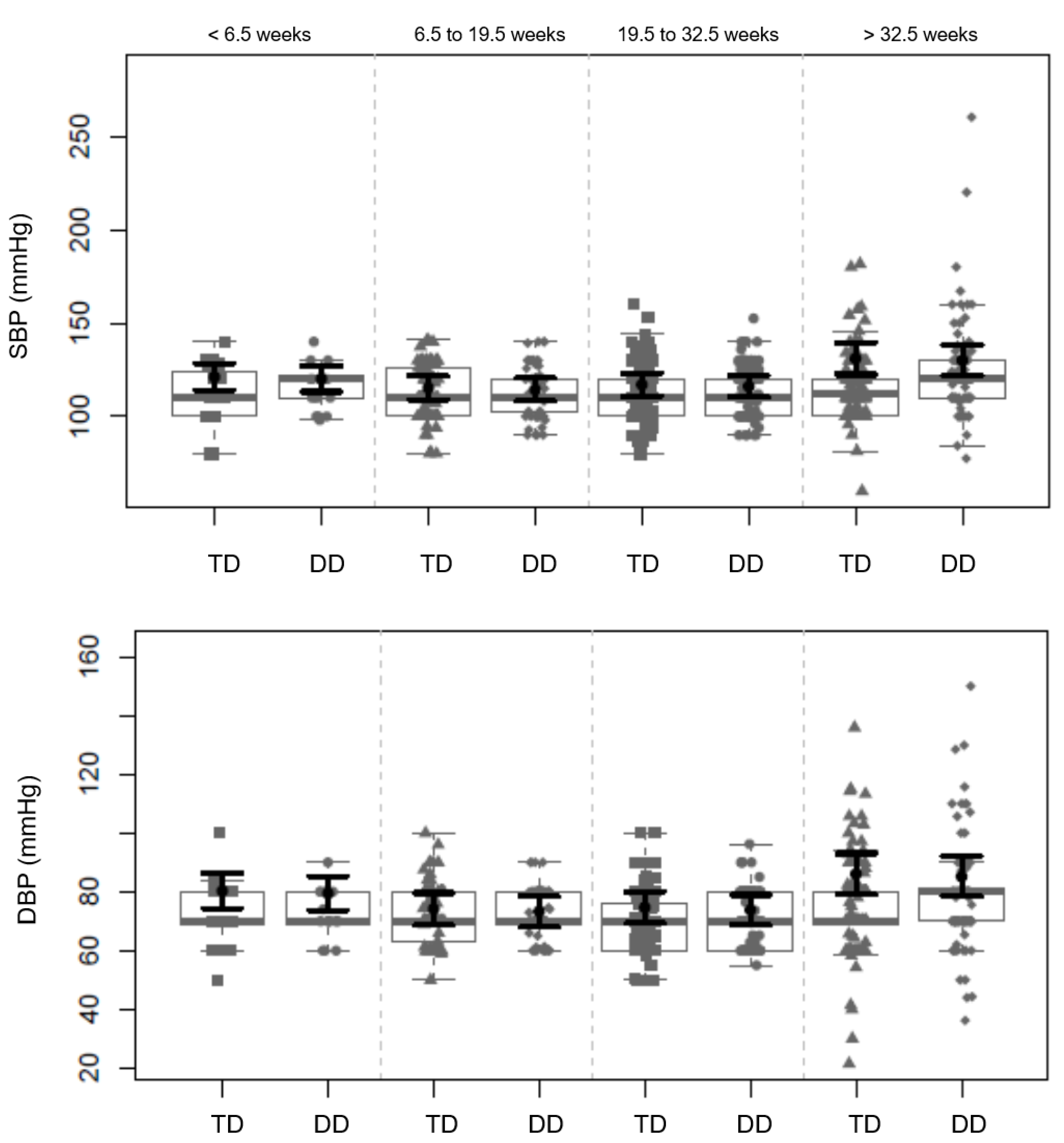
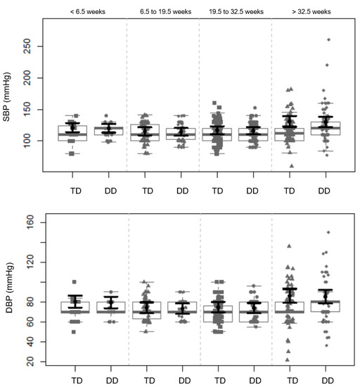
2.3. Blood Pressure Measurements and Outcome Assessment
2.4. Genotyping
2.5. Covariates
2.6. Statistical Analyses
3. Results
4. Discussion
5. Conclusions
Supplementary Materials
Author Contributions
Funding
Institutional Review Board Statement
Informed Consent Statement
Data Availability Statement
Acknowledgments
Conflicts of Interest
References
- Magee, L.A.; Brown, M.A.; Hall, D.R.; Gupte, S.; Hennessy, A.; Karumanchi, S.A.; Kenny, L.C.; McCarthy, F.; Myers, J.; Poon, L.C.; et al. The Hypertensive Disorders of Pregnancy: The 2021 International Society for the Study of Hypertension in Pregnancy classification, diagnosis & management recommendations for international practice. Pregnancy Hypertens 2021, 27, 148–169. [Google Scholar] [CrossRef] [PubMed]
- Rezende, K.B.D.C.; Bornia, R.G.; Esteves, A.P.V.D.S.; da Cunha, A.J.L.A.; Junior, J.A. Preeclampsia: Prevalence and perinatal repercussions in a University Hospital in Rio de Janeiro, Brazil. Pregnancy Hypertens 2016, 6, 253–255. [Google Scholar] [CrossRef] [PubMed]
- Weissgerber, T.L.; Mudd, L.M. Preeclampsia and Diabetes. Curr. Diabetes Rep. 2015, 15, 1–10. [Google Scholar] [CrossRef] [PubMed]
- American College of Obstetricians and Gynecologists (ACOG). Gestational Hypertension and Preeclampsia: ACOG Practice Bulletin, Number 222. Obstet. Gynecol. 2020, 135, e237–e260. [Google Scholar] [CrossRef]
- Allen, R.; Rogozinska, E.; Sivarajasingam, P.; Khan, K.S.; Thangaratinam, S. Effect of diet- and lifestyle-based metabolic risk-modifying interventions on preeclampsia: A meta-analysis. Acta Obstet. Gynecol. Scand. 2014, 93, 973–985. [Google Scholar] [CrossRef]
- Goñi, L.; Cuervo, M.; Santiago, S.; Zazpe, I.; Martinez, J. Parity implications for anthropometrical variables, lifestyle behaviors and dietary habits in pregnant women. An. Sist. Sanit. Navar. 2014, 37, 349–362. [Google Scholar] [CrossRef]
- Cuervo, M.; Sayon-Orea, C.; Santiago, S.; Martínez, J.A. Dietary and Health Profiles of Spanish Women in Preconception, Pregnancy and Lactation. Nutrients 2014, 6, 4434–4451. [Google Scholar] [CrossRef]
- Cuervo, M.; Goni, L.; Santiago, S.; Zazpe, I.; García, A.; Martínez, J.A. Sociodemographic and dietary profile of 4471 childbearing-age women planning a pregnancy. Nutr. Hosp. 2014, 29, 337–343. [Google Scholar] [CrossRef]
- Svetkey, L.P.; Sacks, F.M.; Obarzanek, E.; Vollmer, W.M.; Appel, L.J.; Lin, P.-H.; Karanja, N.M.; Harsha, D.W.; Bray, G.A.; Aickin, M.; et al. The DASH Diet, Sodium Intake and Blood Pressure Trial (DASH-Sodium): Rationale and Design. J. Am. Diet. Assoc. 1999, 99, S96–S104. [Google Scholar] [CrossRef]
- Li, S.; Gan, Y.; Chen, M.; Wang, M.; Wang, X.; Santos, H.O.; Okunade, K.; Kathirgamathamby, V. Effects of the Dietary Approaches to Stop Hypertension (DASH) on Pregnancy/Neonatal Outcomes and Maternal Glycemic Control: A Systematic Review and Meta-analysis of Randomized Clinical Trials. Complement. Ther. Med. 2020, 54, 102551. [Google Scholar] [CrossRef]
- Agius, A.; Sultana, R.; Camenzuli, C.; Calleja-Agius, J.; Balzan, R. An update on the genetics of pre-eclampsia. Minerva Obstet. Gynecol. 2018, 70, 465–479. [Google Scholar] [CrossRef] [PubMed]
- Ferguson, L.R.; De Caterina, R.; Görman, U.; Allayee, H.; Kohlmeier, M.; Prasad, C.; Choi, M.S.; Curi, R.; de Luis, D.A.; Gil, A.; et al. Guide and Position of the International Society of Nutrigenetics/Nutrigenomics on Personalised Nutrition: Part 1—Fields of Precision Nutrition. Lifestyle Genom. 2016, 9, 12–27. [Google Scholar] [CrossRef] [PubMed]
- Eisenach, J.H.; Wittwer, E.D. β-Adrenoceptor gene variation and intermediate physiological traits: Prediction of distant phenotype. Exp. Physiol. 2010, 95, 757–764. [Google Scholar] [CrossRef]
- Eisenach, J.H.; Schroeder, D.R.; Pavey, E.S.; Penheiter, A.R.; Knutson, J.N.; Turner, S.T.; Joyner, M.J. Interactions between beta-2 adrenoceptor gene variation, cardiovascular control and dietary sodium in healthy young adults. J. Physiol. 2014, 592, 5221–5233. [Google Scholar] [CrossRef] [PubMed]
- Svetkey, L.P.; Harris, E.L.; Martin, E.; Vollmer, W.M.; Meltesen, G.T.; Ricchiuti, V.; Williams, G.; Appel, L.J.; Bray, G.A.; Moore, T.J.; et al. Modulation of the BP Response to Diet by Genes in the Renin-Angiotensin System and the Adrenergic Nervous System. Am. J. Hypertens. 2011, 24, 209–217. [Google Scholar] [CrossRef]
- Yang, Q.; Xiao, T.; Guo, J.; Su, Z. Complex Relationship between Obesity and the Fat Mass and Obesity Locus. Int. J. Biol. Sci. 2017, 13, 615–629. [Google Scholar] [CrossRef]
- Da Fonseca, A.C.P.; Marchesini, B.; Zembrzuski, V.M.; Voigt, D.D.; Ramos, V.G.; Carneiro, J.R.I.; Nogueira, J.F.; De Cabello, G.M.K.; Cabello, P.H.; Neto, J.F.N. Genetic variants in the fat mass and obesity-associated (FTO) gene confer risk for extreme obesity and modulate adiposity in a Brazilian population. Genet. Mol. Biol. 2020, 43, e20180264. [Google Scholar] [CrossRef]
- Steinthorsdottir, V.; McGinnis, R.; Williams, N.O.; Stefansdottir, L.; Thorleifsson, G.; Shooter, S.; Fadista, J.; Sigurdsson, J.K.; Auro, K.M.; Berezina, G.; et al. Genetic predisposition to hypertension is associated with preeclampsia in European and Central Asian women. Nat. Commun. 2020, 11, 1–14. [Google Scholar] [CrossRef]
- Mehrdad, M.; Vahid, F.; Shivappa, N.; Hébert, J.R.; Fardaei, M.; Eftekhari, M.H. High dietary inflammatory index (DII) scores increase odds of overweight in adults with rs9939609 polymorphism of FTO gene. Clin. Nutr. ESPEN 2021, 42, 221–226. [Google Scholar] [CrossRef]
- American Diabetes Association. 14. Management of Diabetes in Pregnancy: Standards of Medical Care in Diabetes—2021. Diabetes Care 2020, 44, S200–S210. [Google Scholar] [CrossRef]
- American College of Obstetricians and Gynecologists (ACOG). ACOG Committee Opinion No. 743: Low-Dose Aspirin Use During Pregnancy. Obstet. Gynecol. 2018, 132, e44–e52. [Google Scholar] [CrossRef] [PubMed]
- Saunders, C.; Moreira, T.M.; Belfort, G.P.; Da Silva, C.F.D.M.; Dos Santos, K.; Da Silva, L.B.G.; Scancetti, L.B.; Fagherazzi, S.; Pereira, A.F.; Rosado, E.L.; et al. Procedimentos metodológicos para elaboração de plano alimentar adaptado baseado na dieta dash para gestantes com diabetes mellitus / Methodological procedures for preparing an adapted food plan based on the dash diet for pregnant women with diabetes mellitus. Braz. J. Dev. 2021, 7, 116769–116788. [Google Scholar] [CrossRef]
- Dos Santos, K.; Rosado, E.L.; da Fonseca, A.C.P.; Belfort, G.P.; da Silva, L.B.G.; Ribeiro-Alves, M.; Zembrzuski, V.M.; Martínez, J.A.; Saunders, C. FTO and ADRB2 Genetic Polymorphisms Are Risk Factors for Earlier Excessive Gestational Weight Gain in Pregnant Women with Pregestational Diabetes Mellitus: Results of a Randomized Nutrigenetic Trial. Nutrients 2022, 14, 1050. [Google Scholar] [CrossRef] [PubMed]
- Fagherazzi, S.; Farias, D.R.; Belfort, G.P.; dos Santos, K.; de Lima, T.S.V.; dos Santos, M.S.; Saunders, C. Impact of the Dietary Approaches to Stop Hypertension (DASH) diet on glycaemic control and consumption of processed and ultraprocessed foods in pregnant women with pre-gestational diabetes mellitus: A randomised clinical trial. Br. J. Nutr. 2020, 126, 865–876. [Google Scholar] [CrossRef]
- Della Líbera, B.; Ribeiro, M.B.; Santos, M.M.S.; Padilha, P.; Dutra Alves, P.; Saunders, C. Adherence of pregnant women to dietary counseling and adequacy of total gestational weight gain. Nutr. Hosp. 2011, 26, 79–85. [Google Scholar]
- Hofmeyr, G.J.; Lawrie, T.A.; Atallah, Á.N.; Torloni, M.R. Calcium supplementation during pregnancy for preventing hypertensive disorders and related problems. Cochrane Database Syst Rev. 2017, 3, CD004454. [Google Scholar]
- Aidar, M.; Line, S.R.P. A simple and cost-effective protocol for DNA isolation from buccal epithelial cells. Braz. Dent. J. 2007, 18, 148–152. [Google Scholar] [CrossRef]
- Whelton, P.K.; Carey, R.M.; Aronow, W.S.; Casey, D.E., Jr.; Collins, K.J.; Himmelfarb, C.D.; DePalma, S.M.; Gidding, S.; Jamerson, K.A.; Jones, D.W.; et al. 2017 ACC/AHA/AAPA/ABC/ACPM/AGS/APhA/ASH/ASPC/NMA/PCNA Guideline for the Prevention, Detection, Evaluation, and Management of High Blood Pressure in Adults: A Report of the American College of Cardiology/American Heart Association Task Force on Clinical Practice Guidelines. Hypertension 2018, 71, e13–e115. [Google Scholar] [CrossRef]
- Asemi, Z.; Tabassi, Z.; Samimi, M.; Fahiminejad, T.; Esmaillzadeh, A. Favourable effects of the Dietary Approaches to Stop Hypertension diet on glucose tolerance and lipid profiles in gestational diabetes: A randomised clinical trial. Br. J. Nutr. 2012, 109, 2024–2030. [Google Scholar] [CrossRef]
- Courtney, A.U.; O’Brien, E.C.; Crowley, R.K.; Geraghty, A.A.; Brady, M.B.; Kilbane, M.T.; Twomey, P.J.; McKenna, M.J.; McAuliffe, F.M. DASH (Dietary Approaches to Stop Hypertension) dietary pattern and maternal blood pressure in pregnancy. J. Hum. Nutr. Diet. 2020, 33, 686–697. [Google Scholar] [CrossRef]
- Green, L.J.; Kennedy, S.H.; Mackillop, L.; Gerry, S.; Purwar, M.; Urias, E.S.; Ismail, L.C.; Barros, F.; Victora, C.; Carvalho, M.; et al. International gestational age-specific centiles for blood pressure in pregnancy from the INTERGROWTH-21st Project in 8 countries: A longitudinal cohort study. PLoS Med. 2021, 18, e1003611. [Google Scholar] [CrossRef] [PubMed]
- Fulay, A.P.; Rifas-Shiman, S.L.; Oken, E.; Perng, W. Associations of the dietary approaches to stop hypertension (DASH) diet with pregnancy complications in Project Viva. Eur. J. Clin. Nutr. 2018, 72, 1385–1395. [Google Scholar] [CrossRef] [PubMed]
- Jiang, F.; Li, Y.; Xu, P.; Li, J.; Chen, X.; Yu, H.; Gao, B.; Xu, B.; Li, X.; Chen, W. The efficacy of the Dietary Approaches to Stop Hypertension diet with respect to improving pregnancy outcomes in women with hypertensive disorders. J. Hum. Nutr. Diet. 2019, 32, 713–718. [Google Scholar] [CrossRef]
- Doherty, A.; McLaughlin, K.; Kingdom, J.C. Hemodynamic Complications in Pregnancy: Preeclampsia and Beyond. Clin. Perinatol. 2020, 47, 653–670. [Google Scholar] [CrossRef]
- Ganeff, I.M.M.; Bos, M.M.; van Heemst, D.; Noordam, R. BMI-associated gene variants in FTO and cardiometabolic and brain disease: Obesity or pleiotropy? Physiol. Genom. 2019, 51, 311–322. [Google Scholar] [CrossRef] [PubMed]
- Fontil, V.; Pacca, L.; Bellows, B.K.; Khoong, E.; McCulloch, C.E.; Pletcher, M.; Bibbins-Domingo, K. Association of Differences in Treatment Intensification, Missed Visits, and Scheduled Follow-up Interval with Racial or Ethnic Disparities in Blood Pressure Control. JAMA Cardiol. 2022, 7, 204. [Google Scholar] [CrossRef] [PubMed]
- Bartsch, E.; Medcalf, K.E.; Park, A.L.; Ray, J.G. Clinical risk factors for pre-eclampsia determined in early pregnancy: Systematic review and meta-analysis of large cohort studies. BMJ 2016, 353, i1753. [Google Scholar] [CrossRef]
- Darwin, K.C.; Federspiel, J.J.; Schuh, B.L.; Baschat, A.A.; Vaught, A.J. ACC-AHA Diagnostic Criteria for Hypertension in Pregnancy Identifies Patients at Intermediate Risk of Adverse Outcomes. Am. J. Perinatol. 2020, 38, e249–e255. [Google Scholar] [CrossRef]
- Bello, N.A.; Zhou, H.; Cheetham, T.C.; Miller, E.; Getahun, D.T.; Fassett, M.J.; Reynolds, K. Prevalence of Hypertension Among Pregnant Women When Using the 2017 American College of Cardiology/American Heart Association Blood Pressure Guidelines and Association with Maternal and Fetal Outcomes. JAMA Netw. Open 2021, 4, e213808. [Google Scholar] [CrossRef]
- McLaren, R.A.; Atallah, F.; Persad, V.V.D.; Narayanamoorthy, S.; Gougol, N.; Silver, M.; Minkoff, H. Pregnancy outcomes among women with American College of Cardiology—American Heart Association defined hypertension. J. Matern. Neonatal Med. 2019, 34, 4097–4102. [Google Scholar] [CrossRef]
- Wójtowicz, A.; Zembala-Szczerba, M.; Babczyk, D.; Kołodziejczyk-Pietruszka, M.; Lewaczyńska, O.; Huras, H. Early- and Late-Onset Preeclampsia: A Comprehensive Cohort Study of Laboratory and Clinical Findings according to the New ISHHP Criteria. Int. J. Hypertens. 2019, 2019, 1–9. [Google Scholar] [CrossRef] [PubMed]


| DASH Diet | Traditional Diet | |
|---|---|---|
| Calcium | 2280 mg | 1500 mg |
| Magnesium | 496 mg | 315 mg |
| Potassium | 4418 mg | 4081 mg |
| Fiber | 55 g | 42 g |
| Saturated fatty acids | 7.2% E * | 9.7% E |
| Monounsaturated fatty acids | 9.2% E | 8.5% E |
| Polyunsaturated fatty acids | 5.6% E | 2.8% E |
| Overall n = 70 | DASH Diet n = 29 | Traditional Diet n = 41 | p-Value * | |
|---|---|---|---|---|
| Age (years) | 32 (25.7–36.0) | 34 (28–37) | 31 (25.0–35.0) | 0.28 |
| Gestational age (weeks) | 15.0 (11.1–20.1) | 16.0 (10.1–18.6) | 14.4 (11.6–21.6) | 0.66 |
| Skin color (n (%)) | ||||
| Brown | 27 (38.6) | 12 (41.4) | 15 (36.6) | 0.59 |
| White | 22 (31.4) | 10 (34.5) | 12 (29.3) | |
| Black | 16 (22.9) | 5 (17.2) | 11 (26.8) | |
| Yellow | 1 (1.4) | 1 (3.4) | 0 (0) | |
| Unknown | 4 (5.7) | 1 (3.4) | 3 (7.3) | |
| Marital status (n (%)) | ||||
| Married | 56 (82.3) | 23 (79.3) | 33 (84.6) | 0.57 |
| Single | 12 (17.7) | 6 (20.7) | 6 (15.4) | |
| Education level (n (%)) | ||||
| Up to 12 years schooling | 46 (66.7) | 20 (69.0) | 26 (65.0) | 0.73 |
| Higher education | 23 (33.3) | 9 (31.0) | 14 (35.0) | |
| Employment status (n (%)) | ||||
| Employed | 42 (60.9) | 16 (55.2) | 26 (65.0) | 0.41 |
| Unemployed | 27 (39.1) | 13 (44.8) | 14 (35.0) | |
| Per capita income (US$ †) | 151.51 (103.04–227.27) | 136.36 (91.67–221.04) | 154.54 (113.33–228.78) | 0.59 |
| Housing Conditions (n (%)) | ||||
| Adequate sanitation | 64 (95.5) | 27 (96.4) | 37 (94.9) | 1.00 |
| Inadequate sanitation | 3 (4.5) | 1 (3.6) | 2 (5.1) | |
| Parity | 1 (0–1.25) | 1 (0–1.5) | 1 (0–1.5) | 0.92 |
| Pre-pregnancy BMI (kg/m2) | 27.85 (24.4–32.3) | 28.60 (25.7 –3.3) | 27.10 (24.3–31.9) | 0.16 |
| Chronic hypertension (n (%)) | ||||
| No | 56 (84.8) | 23 (79.3) | 33 (89.2) | 0.31 |
| Yes | 10 (15.2) | 6 (20.7) | 4 (10.8) | |
| Previous preeclampsia (n (%)) | ||||
| No | 63 (90.0) | 25 (86.2) | 38 (92.7) | 0.38 |
| Yes | 7 (10.0) | 4 (13.8) | 7 (7.3) | |
| DM type (n (%)) | ||||
| Type 1 DM | 36 (51.4) | 15 (51.7) | 21 (51.2) | 0.97 |
| Type 2 DM | 34 (48.6) | 14 (48.3) | 20 (48.8) | |
| Years since onset of DM | 8 (2.0–13.5) | 9 (2–14.5) | 6 (1.9–12.5) | 0.36 |
| SBP (mmHg) | 110 (100–120) | 110 (100–120) | 110 (100–120) | 0.90 |
| DBP (mmHg) | 70 (62–80) | 70 (70–80) | 70 (60–80) | 0.14 |
| Calcium supplement (n (%)) | ||||
| No | 60 (85.7) | 23 (79.3) | 37 (90.2) | 0.30 |
| Yes | 10 (14.3) | 6 (20.7) | 4 (9.8) | |
| HbA1c (%) | 6.8 (6.2–7.9) | 6.9 (6.4–8.0) | 6.8 (6.1–7.7) | 0.28 |
| Development of HDP (n (%)) | ||||
| GH | 5 (7.14) | 3 (10.3) | 2 (4.9) | 0.64 |
| PE | 11 (15.7) | 4 (13.8) | 7 (17.1) | 0.75 |
| Overall n = 70 | DASH Diet n = 29 | Traditional Diet n = 41 | p-Value * | |
|---|---|---|---|---|
| FTO rs9939609 (n (%)) | ||||
| TT | 28 (40.0) | 11 (37.9) | 17 (41.5) | 0.48 |
| AT | 34 (48.6) | 13 (44.8) | 21 (51.2) | |
| AA | 8 (11.4) | 5 (17.2) | 3 (7.3) | |
| FTO rs17817449 (n (%)) | ||||
| TT | 32 (45.7) | 13 (44.8) | 19 (46.3) | 0.73 |
| GT | 31 (44.3) | 12 (41.4) | 19 (46.3) | |
| GG | 7 (10.0) | 4 (13.8) | 3 (7.3) | |
| ADRB2 rs1042713 (n (%)) | ||||
| GG | 25 (35.7) | 13 (44.8) | 12 (29.3) | 0.35 |
| AG | 37 (52.9) | 14 (48.3) | 23 (56.1) | |
| AA | 8 (11.4) | 2 (6.9) | 6 (14.6) | |
| ADRB2 rs1042714 (n (%)) | ||||
| CC | 35 (50.0) | 15 (51.7) | 20 (48.3) | 0.28 |
| CG | 31 (44.3) | 14 (48.3) | 17 (41.5) | |
| GG | 4 (5.7) | 0 (0) | 4 (9.8) |
| Characteristics | Outcome | pY | Crude Incidence/ 100 pY (95% CI) | HR (95% CI) | p Value | aHR * (95% CI) | p Value |
|---|---|---|---|---|---|---|---|
| (a) | |||||||
| Overall | 16 | 49.22 | 32.51 (18.58–52.79) | - | - | - | - |
| Diet | |||||||
| Traditional diet | 9 | 28.38 | 31.71 (14.50–60.19) | Reference | - | Reference | - |
| DASH diet | 7 | 20.83 | 33.60 (13.51–69.23) | 0.98 (0.36–2.64) | 0.97 | 0.81 (0.25–2.61) | 0.72 |
| Type of DM | |||||||
| Type 1 DM | 9 | 24.82 | 36.26 (16.58–68.84) | Reference | - | Reference | - |
| Type 2 DM | 7 | 24.4 | 28.69 (11.54–59.12) | 0.73 (0.27–1.96) | 0.53 | 0.22 (0.04–1.12) | 0.07 |
| Age (years) | |||||||
| <32 | 8 | 25.72 | 31.11 (13.43–61.30) | Reference | - | Reference | - |
| ≥32 | 8 | 23.50 | 34.04 (14.7–67.08) | 1.03 (0.39–2.76) | 0.95 | 0.74 (0.23–2.35) | 0.60 |
| Color of skin | |||||||
| Brown | 5 | 19.40 | 25.78 (8.37–60.16) | Reference | - | Reference | - |
| White | 3 | 15.17 | 19.77 (4.08–57.78) | 0.73 (0.17–3.07) | 0.67 | 1.10 (0.19–6.32) | 0.91 |
| Black | 7 | 11.07 | 63.22 (25.42–130.26) | 3.73 (1.17–11.91) | 0.03 | 8.63 (1.85–40.18) | 0.01 |
| Pre-pregnancy BMI | |||||||
| Normal weight | 3 | 13.67 | 21.94 (4.52–64.12) | Reference | - | Reference | - |
| Overweight | 6 | 17.57 | 34.14 (12.53–74.31) | 1.80 (0.45–7.20) | 0.41 | 2.69 (0.31–23.33) | 0.37 |
| Obesity | 7 | 17.97 | 38.96 (15.66–80.27) | 1.82 (0.47–7.03) | 0.39 | 1.37 (0.18–10.49) | 0.76 |
| Gestational weight gain (kg) | |||||||
| <12.2 | 9 | 24.28 | 37.07 (16.95–70.37) | Reference | - | Reference | - |
| ≥12.2 | 7 | 24.24 | 28.88 (11.61–59.50) | 0.82 (0.30–2.20) | 0.69 | 1.47 (0.35–6.24) | 0.60 |
| Chronic diseases | |||||||
| None | 9 | 34.20 | 26.32 (12.03–49.96) | Reference | - | Reference | - |
| Chronic hypertension | 3 | 6.36 | 47.15 (9.72–137.79) | 1.73 (0.47–6.44) | 0.41 | 1.93 (0.47–7.98) | 0.36 |
| Hypothyroidism | 3 | 5.76 | 52.08 (10.74–152.2) | 1.82 (0.49–6.73) | 0.37 | 1.02 (0.13–7.93) | 0.98 |
| HbA1c 1st trimester (%) | |||||||
| <7.77 | 3 | 10.69 | 28.05 (5.79–81.98) | Reference | - | Reference | - |
| ≥7.77 | 3 | 10.78 | 27.84 (5.74–81.36) | 0.89 (0.18–4.44) | 0.89 | 1.28 (0.08–21.01) | 0.86 |
| HbA1c 2nd trimester (%) | |||||||
| <6.47 | 4 | 22.49 | 17.78 (4.85–45.53) | Reference | - | Reference | - |
| ≥6.47 | 9 | 21.71 | 41.45 (18.95–78.69) | 3.33 (1.01–10.94) | 0.05 | 2.26 (0.46–11.02) | 0.31 |
| HbA1c 3rd trimester (%) | |||||||
| <6.41 | 3 | 19.55 | 15.35 (3.17–44.86) | Reference | - | Reference | - |
| ≥6.41 | 6 | 18.24 | 32.89 (12.07–71.59) | 2.75 (0.68–11.05) | 0.15 | 4.76 (1.14–19.86) | 0.03 |
| (b) | |||||||
| Overall | 16 | 49.22 | 32.51 (18.58–52.79) | - | - | - | - |
| Previous HDP | |||||||
| None | 9 | 26.45 | 34.03 (15.56–64.59) | Reference | - | Reference | - |
| Preeclampsia | 3 | 4.76 | 62.97 (12.99–184.04) | 3.18 (0.85–11.95) | 0.09 | 11.66 (2.22–61.07) | <0.01 |
| SBP peak > 130 mmHg | |||||||
| No | 4 | 24.48 | 16.34 (4.45–41.84) | Reference | - | Reference | - |
| Yes | 12 | 24.74 | 48.51 (25.07–84.74) | 3.38 (1.09–10.48) | 0.03 | 3.98 (0.96–16.41) | 0.06 |
| DBP peak > 80 mmHg | |||||||
| No | 0 | 11.62 | 0 | Reference | - | Reference | - |
| Yes | 16 | 37.60 | 42.55 (24.32–69.10) | - | - | - | - |
| MBP peak > 100 mmHg | |||||||
| No | 1 | 23.85 | 4.19 (0.11–23.36) | Reference | - | Reference | - |
| Yes | 15 | 25.37 | 59.13 (33.1–97.53) | 17.67 (2.33–134.04) | <0.01 | 18.42 (1.38–245.98) | 0.03 |
| SBP 1st trimester (mmHg) | |||||||
| <111 | 4 | 11.45 | 34.94 (9.52–89.45) | Reference | - | Reference | - |
| ≥111 | 6 | 12.02 | 49.92 (18.32–108.65) | 1.55 (0.44–5.51) | 0.50 | 1.70 (0.20–14.49) | 0.63 |
| SBP 2nd trimester (mmHg) | |||||||
| <111 | 6 | 23.80 | 25.21 (9.25–54.87) | Reference | - | Reference | - |
| ≥111 | 9 | 21.86 | 41.17 (18.83–78.16) | 1.86 (0.66–5.24) | 0.24 | 3.03 (0.71–12.86) | 0.13 |
| SBP 3rd trimester (mmHg) | |||||||
| <114 | 3 | 25.31 | 11.85 (2.44–34.64) | Reference | - | Reference | - |
| ≥114 | 13 | 23.91 | 54.38 (28.95–92.99) | 5.81 (1.65–20.44) | 0.01 | 5.56 (1.09–28.42) | 0.04 |
| DBP 1st trimester (mmHg) | |||||||
| <70 | 3 | 12.90 | 23.25 (4.79–67.94) | Reference | - | Reference | - |
| ≥70 | 7 | 10.57 | 66.25 (26.64–136.51) | 3.31 (0.85–12.80) | 0.08 | 70.15 (1.43–3450.19) | 0.03 |
| DBP 2nd trimester (mmHg) | |||||||
| <69.7 | 7 | 23.79 | 29.42 (11.83–60.63) | Reference | - | Reference | - |
| ≥69.7 | 8 | 21.87 | 36.58 (15.79–72.08) | 1.40 (0.51–3.87) | 0.51 | 1.54 (0.40–5.98) | 0.53 |
| DBP 3rd trimester (mmHg) | |||||||
| <72 | 6 | 25.26 | 23.76 (8.72–51.71) | Reference | - | Reference | - |
| ≥72 | 10 | 23.96 | 41.74 (20.01–76.76) | 2.08 (0.75–5.73) | 0.16 | 3.34 (0.81–13.76) | 0.09 |
| Outcome | pY | Crude Incidence/100 pY (95% CI) | HR (95% CI) | p-Value | aHR * (95% CI) | p-Value | |
|---|---|---|---|---|---|---|---|
| Overall | 16 | 49.22 | 32.51 (18.58–52.79) | - | - | - | - |
| FTO rs9939609 | |||||||
| TT | 8 | 19.83 | 40.35 (17.42–79.5) | Reference | - | Reference | - |
| AT/AA | 8 | 29.39 | 27.22 (11.75–53.64) | 0.64 (0.24–1.71) | 0.38 | 0.68 (0.22–2.10) | 0.50 |
| FTO rs17817449 | |||||||
| TT | 10 | 22.67 | 44.11 (21.15–81.12) | Reference | - | Reference | - |
| GT/GG | 6 | 26.55 | 22.60 (8.29–49.19) | 0.46 (0.17–1.28) | 0.14 | 0.63 (0.20–1.96) | 0.42 |
| ADRB2 rs1042713 | |||||||
| GG | 4 | 17.80 | 22.47 (6.12–57.52) | Reference | - | Reference | - |
| AG/AA | 12 | 31.41 | 38.20 (19.74–66.73) | 1.60 (0.52–4.98) | 0.41 | 1.59 (0.43–5.94) | 0.49 |
| ADRB2 rs1042714 | |||||||
| CC | 8 | 24.40 | 32.79 (14.16–64.61) | Reference | - | Reference | - |
| GC/GG | 8 | 24.82 | 32.23 (13.92–63.51) | 1.05 (0.39–2.79) | 0.93 | 1.87 (0.61–5.72) | 0.27 |
| Characteristics | Outcome | pY | Crude Incidence/ 100 pY (95% CI) | HR (95% CI) | p Value | aHR * (95% CI) | p Value |
|---|---|---|---|---|---|---|---|
| ADRB2 rs1042713:rs1042714 | |||||||
| AC | 13 | 36.45 | 35.67 (18.99–60.99) | - | - | - | - |
| GC | 11 | 34.38 | 31.99 (15.97–57.24) | 0.90 (0.40–2.01) | 0.79 | 0.79 (0.34–1.82) | 0.58 |
| GG | 8 | 27.60 | 28.98 (12.51–57.11) | 0.88 (0.36–2.12) | 0.77 | 1.09 (0.43–2.76) | 0.85 |
| FTO rs9939609:rs17817449 | |||||||
| TT | 24 | 62.44 | 38.44 (24.63–57.19) | - | - | - | - |
| AG | 6 | 30.91 | 19.41 (7.12–42.25) | 0.46 (0.19–1.13) | 0.08 | 0.52 (0.20–1.35) | 0.24 |
| AT | 2 | 4.34 | 46.09 (5.58–166.48) | 1.14 (0.27–4.84) | 0.85 | 0.60 (0.11–3.35) | 0.57 |
Disclaimer/Publisher’s Note: The statements, opinions and data contained in all publications are solely those of the individual author(s) and contributor(s) and not of MDPI and/or the editor(s). MDPI and/or the editor(s) disclaim responsibility for any injury to people or property resulting from any ideas, methods, instructions or products referred to in the content. |
© 2023 by the authors. Licensee MDPI, Basel, Switzerland. This article is an open access article distributed under the terms and conditions of the Creative Commons Attribution (CC BY) license (https://creativecommons.org/licenses/by/4.0/).
Share and Cite
dos Santos, K.; Rosado, E.L.; da Fonseca, A.C.P.; Belfort, G.P.; da Silva, L.B.G.; Ribeiro-Alves, M.; Zembrzuski, V.M.; Campos, M., Jr.; Zajdenverg, L.; Drehmer, M.; et al. A Pilot Study of Dietetic, Phenotypic, and Genotypic Features Influencing Hypertensive Disorders of Pregnancy in Women with Pregestational Diabetes Mellitus. Life 2023, 13, 1104. https://doi.org/10.3390/life13051104
dos Santos K, Rosado EL, da Fonseca ACP, Belfort GP, da Silva LBG, Ribeiro-Alves M, Zembrzuski VM, Campos M Jr., Zajdenverg L, Drehmer M, et al. A Pilot Study of Dietetic, Phenotypic, and Genotypic Features Influencing Hypertensive Disorders of Pregnancy in Women with Pregestational Diabetes Mellitus. Life. 2023; 13(5):1104. https://doi.org/10.3390/life13051104
Chicago/Turabian Styledos Santos, Karina, Eliane Lopes Rosado, Ana Carolina Proença da Fonseca, Gabriella Pinto Belfort, Letícia Barbosa Gabriel da Silva, Marcelo Ribeiro-Alves, Verônica Marques Zembrzuski, Mario Campos, Jr., Lenita Zajdenverg, Michele Drehmer, and et al. 2023. "A Pilot Study of Dietetic, Phenotypic, and Genotypic Features Influencing Hypertensive Disorders of Pregnancy in Women with Pregestational Diabetes Mellitus" Life 13, no. 5: 1104. https://doi.org/10.3390/life13051104
APA Styledos Santos, K., Rosado, E. L., da Fonseca, A. C. P., Belfort, G. P., da Silva, L. B. G., Ribeiro-Alves, M., Zembrzuski, V. M., Campos, M., Jr., Zajdenverg, L., Drehmer, M., Martínez, J. A., & Saunders, C. (2023). A Pilot Study of Dietetic, Phenotypic, and Genotypic Features Influencing Hypertensive Disorders of Pregnancy in Women with Pregestational Diabetes Mellitus. Life, 13(5), 1104. https://doi.org/10.3390/life13051104

