Bone Disease in Long-Term Lung Transplant Survivors
Abstract
1. Introduction
2. Materials and Methods
2.1. Patients
2.2. Methods
2.3. Statistical Analysis
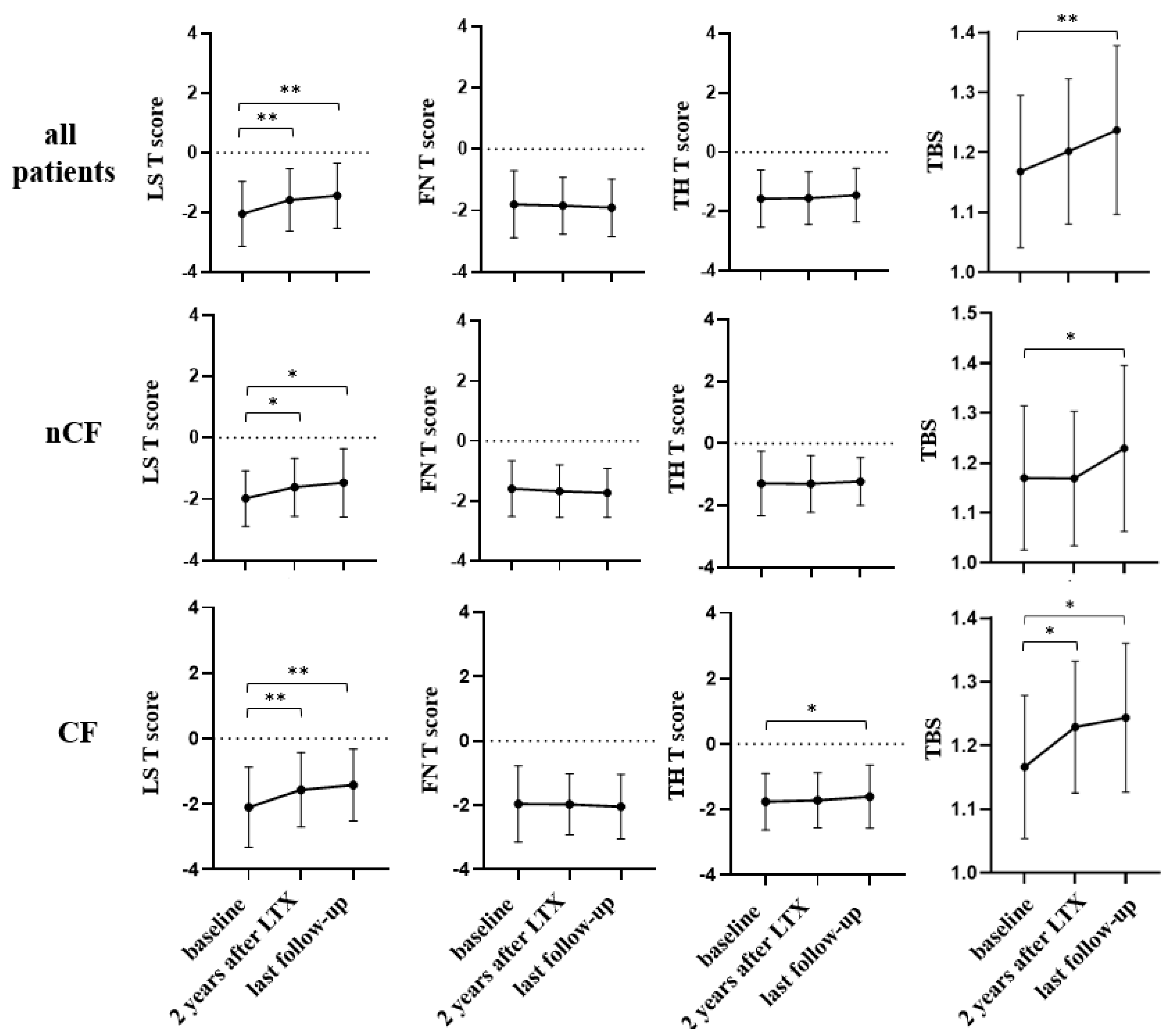
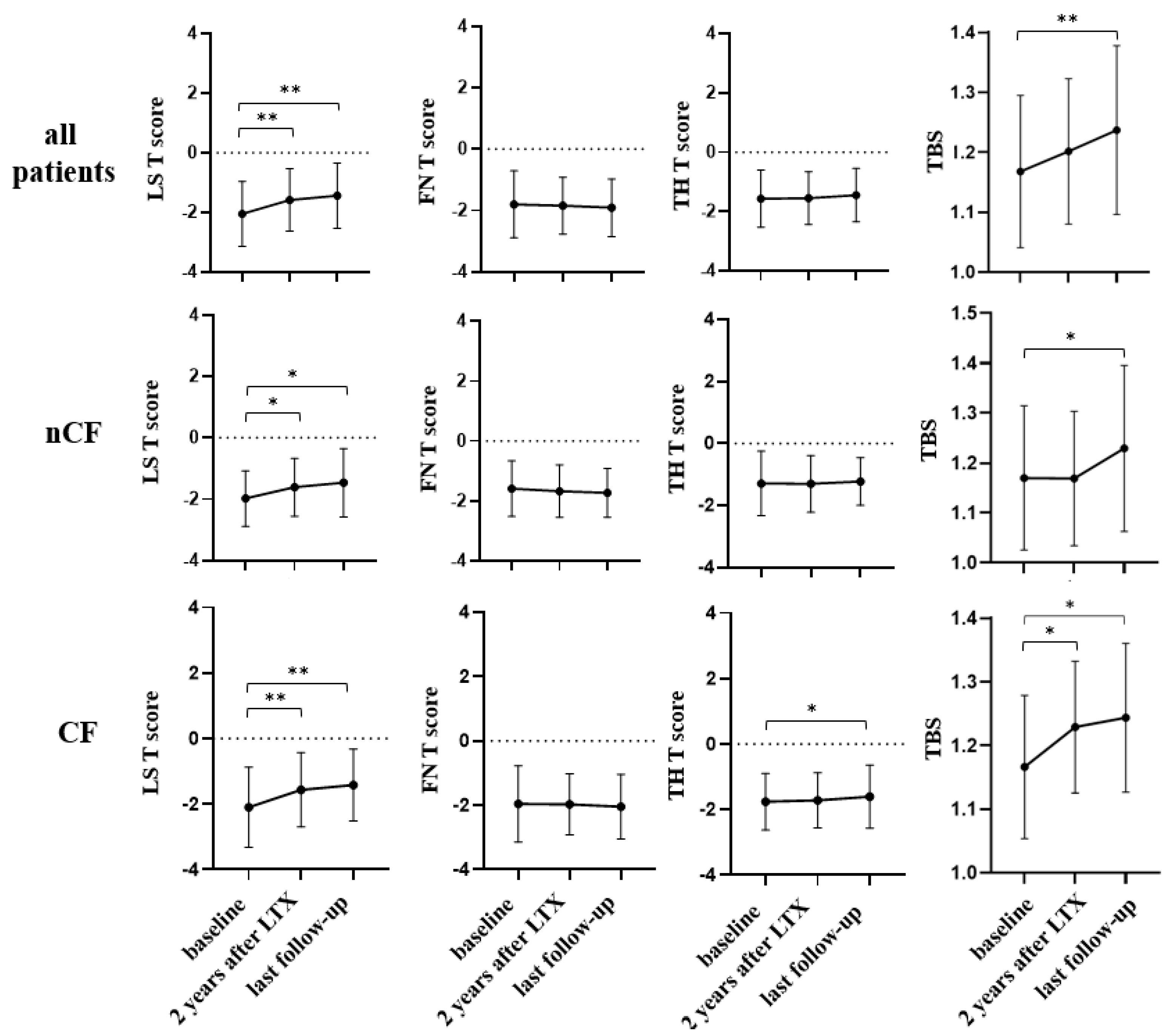
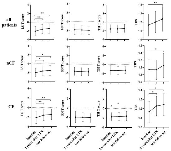
3. Results
4. Discussion
Author Contributions
Funding
Institutional Review Board Statement
Informed Consent Statement
Data Availability Statement
Conflicts of Interest
References
- Cairoli, E.; Eller-Vainicher, C.; Morlacchi, L.; Tarsia, P.; Rossetti, V.; Pappalettera, M.; Arosio, M.; Chiodini, I.; Blasi, F. Bone involvement in young adults with cystic fibrosis awaiting lung transplantation for end-stage respiratory failure. Osteoporos. Int. 2019, 30, 1255–1263. [Google Scholar] [CrossRef] [PubMed]
- Cahill, B.C.; ORourke, M.K.; Parker, S.; Stringham, J.C.; Karwande, S.V.; Knecht, T.P. Prevention of bone loss and fracture after lung transplantation. Transplantation 2001, 72, 1251–1255. [Google Scholar] [CrossRef] [PubMed]
- Trombetti, A.; Gerbase, M.W.; Spiliopoulos, A.; Slosman, D.O.; Nicod, L.P.; Rizzoli, R. Bone mineral density in lung-transplant recipients before and after graft: Prevention of lumbar spine post-transplantation-accelerated bone loss by pamidronate. J. Heart Lung Transplant. 2000, 19, 736–743. [Google Scholar] [CrossRef] [PubMed]
- Spira, A.; Gutierrez, C.; Chaparro, C.; Hutcheon, M.A.; Chan, C.K.N. Osteoporosis and Lung Transplantation. Chest 2000, 117, 476–481. [Google Scholar] [CrossRef] [PubMed]
- Lakey, W.C.; Spratt, S.; Vinson, E.N.; Gesty-Palmer, D.; Weber, T.; Palmer, S. Osteoporosis in lung transplant candidates compared to matched healthy controls. Clin. Transplant. 2011, 25, 426–435. [Google Scholar] [CrossRef]
- Ferrari, S.; Nicod, L.; Hamacher, J.; Spiliopoulos, A.; Slosman, D.; Rochat, T.; Bonjour, J.; Rizzoli, R. Osteoporosis in patients undergoing lung transplantation. Eur. Respir. J. 1996, 9, 2378–2382. [Google Scholar] [CrossRef]
- Jastrzebski, D.; Lutogniewska, W.; Ochman, M.; Margas, A.; Kowalski, K.; Wyrwol, J.; Ksiazek, B.; Wojarski, J.; Zeglen, S.; Ziora, D.; et al. Osteoporosis in patients referred for lung transplantation. Eur. J. Med. Res. 2010, 15, 68. [Google Scholar] [CrossRef]
- Aris, R.M.; Neuringer, I.P.; Weiner, M.A.; Egan, T.M.; Ontjes, D. Severe Osteoporosis Before and After Lung Transplantation. Chest 1996, 109, 1176–1183. [Google Scholar] [CrossRef]
- Shane, E.; Silverberg, S.J.; Donovan, D.; Papadopoulos, A.; Staron, R.B.; Addesso, V.; Jorgesen, B.; McGregor, C.; Schulman, L. Osteoporosis in lung transplantation candidates with end-stage pulmonary disease. Am. J. Med. 1996, 101, 262–269. [Google Scholar] [CrossRef]
- Tschopp, O.; Boehler, A.; Speich, R.; Weder, W.; Seifert, B.; Russi, E.W.; Schmid, C. Osteoporosis Before Lung Transplantation: Association with Low Body Mass Index, but Not with Underlying Disease. Am. J. Transplant. 2002, 2, 167–172. [Google Scholar] [CrossRef]
- Tschopp, O.; Schmid, C.; Speich, R.; Seifert, B.; Russi, E.W.; Boehler, A. Pretransplantation Bone Disease in Patients with Primary Pulmonary Hypertension. Chest 2006, 129, 1002–1008. [Google Scholar] [CrossRef]
- Grassi, G.; Chiodini, I.; Cairoli, E.; Morlacchi, L.C.; Rossetti, V.; Rosso, L.; Righi, I.; Nosotti, M.; Arosio, M.; Blasi, F.; et al. Impact of bone-active drugs and underlying disease on bone health after lung transplantation: A longitudinal study. J. Cyst. Fibros. 2021, 20, e100–e107. [Google Scholar] [CrossRef] [PubMed]
- Anastasilakis, A.D.; Tsourdi, E.; Makras, P.; Polyzos, S.A.; Meier, C.; McCloskey, E.V.; Pepe, J.; Zillikens, M.C. Bone disease following solid organ transplantation: A narrative review and recommendations for management from The European Calcified Tissue Society. Bone 2019, 127, 401–418. [Google Scholar] [CrossRef] [PubMed]
- Yu, T.M.; Lin, C.L.; Chang, S.N.; Sung, F.C.; Huang, S.T.; Kao, C.H. Osteoporosis and Fractures After Solid Organ Transplantation. Mayo Clin. Proc. 2014, 89, 888–895. [Google Scholar] [CrossRef]
- Caffarelli, C.; Tomai Pitinca, M.D.; Alessandri, M.; Cameli, P.; Bargagli, E.; Bennett, D.; Fossi, A.; Bernazzali, S.; Gonnelli, S. Timing of Osteoporotic Vertebral Fractures in Lung and Heart Transplantation: A Longitudinal Study. J. Clin. Med. 2020, 9, 2941. [Google Scholar] [CrossRef]
- Stein, E.; Ebeling, P.; Shane, E. Post-Transplantation Osteoporosis. Endocrinol. Metab. Clin. N. Am. 2007, 36, 937–963. [Google Scholar] [CrossRef] [PubMed]
- Kulak, C.A.M.; Borba, V.Z.C.; Kulak Júnior, J.; Custódio, M.R. Bone disease after transplantation: Osteoporosis and fractures risk. Arq. Bras. Endocrinol. Metabol. 2014, 58, 484–492. [Google Scholar] [CrossRef]
- Hariman, A.; Alex, C.; Heroux, A.; Camacho, P. Incidence of Fractures after Cardiac and Lung Transplantation: A Single Center Experience. J. Osteoporos. 2014, 2014, 573041. [Google Scholar] [CrossRef]
- Aris, R.M.; Lester, G.E.; Renner, J.B.; Winders, A.; Denene Blackwood, A.; Lark, R.K.; Ontjes, D.A. Efficacy of Pamidronate for Osteoporosis in Patients with Cystic Fibrosis following Lung Transplantation. Am. J. Respir. Crit. Care Med. 2000, 162, 941–946. [Google Scholar] [CrossRef]
- Giannini, S.; Poci, C.; Fusaro, M.; Egan, C.G.; Marcocci, C.; Vignali, E.; Cetani, F.; Nannipieri, F.; Loy, M.; Gambino, A.; et al. Effect of neridronate in osteopenic patients after heart, liver or lung transplant: A multicenter, randomized, double-blind, placebo-controlled study. Panminerva Med. 2021, 63, 214–223. [Google Scholar] [CrossRef]
- Sithamparanathan, S.; Thirugnanasothy, L.; Clark, S.; Dark, J.H.; Fisher, A.J.; Gould, K.F.; Hasan, A.; Lordan, J.L.; Meachery, G.; Parry, G.; et al. Observational study of lung transplant recipients surviving 20 years. Respir. Med. 2016, 117, 103–108. [Google Scholar] [CrossRef] [PubMed]
- Durette, G.; Jomphe, V.; Bureau, N.J.; Poirier, C.; Ferraro, P.; Lands, L.C.; Mailhot, G. Long-term bone mineral density changes and fractures in lung transplant recipients with cystic fibrosis. J. Cyst. Fibros. 2021, 20, 525–532. [Google Scholar] [CrossRef] [PubMed]
- Bertoldo, F.; Cianferotti, L.; Di Monaco, M.; Falchetti, A.; Fassio, A.; Gatti, D.; Gennari, L.; Giannini, S.; Girasole, G.; Gonnelli, S.; et al. Definition, Assessment, and Management of Vitamin D Inadequacy: Suggestions, Recommendations, and Warnings from the Italian Society for Osteoporosis, Mineral Metabolism and Bone Diseases (SIOMMMS). Nutrients 2022, 14, 4148. [Google Scholar] [CrossRef] [PubMed]
- Rossini, M.; Adami, S.; Bertoldo, F.; Diacinti, D.; Gatti, D.; Giannini, S.; Giusti, A.; Malavolta, N.; Minisola, S.; Osella, G.; et al. Guidelines for the diagnosis, prevention and management of osteoporosis. Reumatismo 2016, 68, 1–39. [Google Scholar] [CrossRef]
- Varenna, M.; Binelli, L.; Zucchi, F.; Ghiringhelli, D.; Sinigaglia, L. Unbalanced Diet to Lower Serum Cholesterol Level is a Risk Factor for Postmenopausal Osteoporosis and Distal Forearm Fracture. Osteoporos. Int. 2001, 12, 296–301. [Google Scholar] [CrossRef]
- Camacho, P.M.; Petak, S.M.; Binkley, N.; Diab, D.L.; Eldeiry, L.S.; Farooki, A.; Harris, S.T.; Hurley, D.L.; Kelly, J.; Lewiecki, E.M.; et al. American Association of Clinical Endocrinologists/American College of Endocrinology Clinical Practice Guidelines for the Diagnosis and Treatment of Postmenopausal Osteoporosis—2020 Update. Endocr. Pract. 2020, 26, 1–46. [Google Scholar] [CrossRef]
- Bazzocchi, A.; Ponti, F.; Diano, D.; Amadori, M.; Albisinni, U.; Battista, G.; Guglielmi, G. Trabecular bone score in healthy ageing. Br. J. Radiol. 2015, 88, 20140865. [Google Scholar] [CrossRef]
- Ferrari, S.; Bianchi, M.L.; Eisman, J.A.; Foldes, A.J.; Adami, S.; Wahl, D.A.; Stepan, J.J.; De Vernejoul, M.C.; Kaufman, J.M.; IOF Committee of Scientific Advisors Working Group on Osteoporosis Pathophysiology. Osteoporosis in young adults: Pathophysiology, diagnosis, and management. Osteoporos. Int. 2012, 23, 2735–2748. [Google Scholar] [CrossRef]
- Bandirali, M.; Poloni, A.; Sconfienza, L.M.; Messina, C.; Papini, G.D.E.; Petrini, M.; Ulivieri, F.M.; Di Leo, G.; Sardanelli, F. Short-term precision assessment of trabecular bone score and bone mineral density using dual-energy X-ray absorptiometry with different scan modes: An in vivo study. Eur. Radiol. 2015, 25, 2194–2198. [Google Scholar] [CrossRef]
- Amin, S.; Achenbach, S.J.; Atkinson, E.J.; Khosla, S.; Melton, L.J. Trends in Fracture Incidence: A Population-Based Study Over 20 Years. J. Bone Miner. Res. 2014, 29, 581–589. [Google Scholar] [CrossRef]
- Eller-Vainicher, C.; Falchetti, A.; Gennari, L.; Cairoli, E.; Bertoldo, F.; Vescini, F.; Scillitani, A.; Chiodini, I. DIAGNOSIS OF ENDOCRINE DISEASE: Evaluation of bone fragility in endocrine disorders. Eur. J. Endocrinol. 2019, 180, R213–R232. [Google Scholar] [CrossRef] [PubMed]
- Urquiaga, M.; Saag, K.G. Risk for osteoporosis and fracture with glucocorticoids. Best Pract. Res. Clin. Rheumatol. 2022, 36, 101793. [Google Scholar] [CrossRef] [PubMed]



| All Patients (68) | CF (38) | nCF (30) | p | |
|---|---|---|---|---|
| Age (years) | 41.2 (21.5) | 33.0 (15.0) | 54.5 (17.3) | 0.001 |
| BMI (kg/m2) | 22.1 ± 3.7 | 20.4 ± 2.4 | 24.1 ± 4.1 | 0.001 |
| Sex (Male) | 33 (48.5) | 20 (52.6) | 13 (43.3) | 0.474 |
| Waiting time until LTx (months) | 8.0 ± 7.0 | 7.5 ± 6.8 | 8.4 ± 6.6 | 0.607 |
| Prevalent fractures | 32 (47.1) | 17 (44.7) | 15 (50.0) | 0.807 |
| Mophometric vertebral fractures | 28 (42.4) | 14 (48.3) | 14 (37.8) | 0.457 |
| Spine Deformity Index | 1.5 (2.0) | 0.0 (1.0) | 0.0 (2.0) | 0.267 |
| Previous GC therapy | 30 (44.1) | 10 (26.3) | 20 (66.7) | 0.001 |
| GC cumulative dose (gr prednisone) | 4.8 (4.0) | 0.0 (0.3) | 3.7 (9.1) | 0.001 |
| Untreated hypogonadism | 21 (33.3) | 8 (23.5) | 13 (44.8) | 0.108 |
| Calcium intake (mg/day) | 625 ± 281 | 673 ± 290 | 563 ± 261 | 0.118 |
| TBS | 1.186 ± 0.145 | 1.166 ± 0.112 | 1.170 ± 0.144 | 0.915 |
| TBS Z-score | −3.2 ± 2.0 | −3.7 ± 2.0 | −3.0 ± 2.0 | 0.189 |
| LS T-score | −2.0 ± 1.2 | −2.2 ± 1.2 | −1.8 ± 1.1 | 0.164 |
| LS Z-score | −1.6 ± 1.3 | −2.0 ± 1.2 | −1.0 ± 1.3 | 0.006 |
| FN T-score | −1.9 ± 0.9 | −2.1 ± 0.9 | −1.6 ± 0.9 | 0.039 |
| FN Z-score | −1.4 ± 1.1 | −1.8 ± 1.1 | −0.8 ± 0.9 | 0.001 |
| TH T-score | −1.6 ± 0.9 | −1.8 ± 0.8 | −1.3 ± 1.0 | 0.001 |
| TH Z-score | −1.3 ± 1.0 | −1.6 ± 0.9 | −0.8 ± 1.0 | 0.026 |
| T-score BMD < −2.5 at ≥1 site | 33 (48.5) | 22 (57.9) | 11 (36.7) | 0.094 |
| Z-score BMD < −2.0 at ≥1 site | 30 (49.2) | 21 (63.6) | 9 (32.1) | 0.021 |
| 25OHD (ng/mL) | 20.1 (13.7) | 24.1 (10.9) | 15.0 (13.0) | 0.005 |
| 25OHD < 30 ng/mL | 58 (86.6) | 31 (83.8) | 27 (90.0) | 0.721 |
| 25OHD < 10 ng/mL | 13 (19.4) | 4 (10.8) | 9 (30.0) | 0.065 |
| Previous bone-active therapy | 6 (8.8) | 3 (7.9) | 3 (10.0) | 1.000 |
| All Patients (68) | CF (38) | nCF (30) | p | |
|---|---|---|---|---|
| Spine Deformity Index | 0 (2) | 0 (1) | 0.5 (4) | 0.114 |
| Prevalent fractures | 36 (52.9) | 19 (50.0) | 17 (56.7) | 0.474 |
| GC cumulative dose (gr prednisone) | 23.0 (11.0) | 21.2 (9.1) | 27.0 (19.8) | 0.005 |
| High doses of GC at follow-up | 17 (25) | 9 (23.7) | 8 (26.7) | 0.786 |
| TBS | 1.199 ± 0.205 | 1.243 ± 0.117 | 1.229 ± 0.242 | 0.731 |
| TBS Z-score | −2.4 ± 1.4 | −2.5 ± 1.4 | −2.1 ± 1.5 | 0.383 |
| LS T-score | −1.4 ± 1.1 | −1.4 ± 1.1 | −1.5 ± 1.1 | 0.795 |
| LS Z-score | −0.9 ± 1.1 | −1.1 ± 1.1 | −0.5 ± 1.1 | 0.036 |
| FN T-score | −1.9 ± 0.9 | −2.1 ± 1.0 | −1.7 ± 0.8 | 0.195 |
| FN Z-score | −1.2 ± 1.0 | −1.6 ± 1.0 | −0.7 ± 0.6 | 0.001 |
| TH T-score | −1.4 ± 0.9 | −1.6 ± 1.0 | −1.2 ± 0.8 | 0.149 |
| TH Z-score | −1.0 ± 1.0 | −1.4 ± 1.0 | −0.6 ± 0.8 | 0.002 |
| T-score BMD < −2.5 at ≥1 site ^ | 23 (41.8) | 23 (53.1) | 6 (23.1) | 0.057 |
| Z-score BMD < −2.0 at ≥1 site ^ | 16 (29.1) | 14 (43.8) | 2 (8.7) | 0.006 |
| Bone-active therapy at transplant | 54 (79.4) | 28 (73.7) | 26 (86.7) | 0.236 |
| Bone-active therapy at follow up | 17 (25.0) | 6 (15.8) | 11 (36.7) | 0.089 |
| Rejection | 33 (48.5) | 18 (47.4) | 15 (50.0) | 1.000 |
Disclaimer/Publisher’s Note: The statements, opinions and data contained in all publications are solely those of the individual author(s) and contributor(s) and not of MDPI and/or the editor(s). MDPI and/or the editor(s) disclaim responsibility for any injury to people or property resulting from any ideas, methods, instructions or products referred to in the content. |
© 2023 by the authors. Licensee MDPI, Basel, Switzerland. This article is an open access article distributed under the terms and conditions of the Creative Commons Attribution (CC BY) license (https://creativecommons.org/licenses/by/4.0/).
Share and Cite
Grassi, G.; Cairoli, E.; Gentile, L.M.S.; Chiodini, I.; Zampogna, M.; Ghielmetti, A.; Morlacchi, L.C.; Rossetti, V.; Rosso, L.; Righi, I.; et al. Bone Disease in Long-Term Lung Transplant Survivors. Life 2023, 13, 928. https://doi.org/10.3390/life13040928
Grassi G, Cairoli E, Gentile LMS, Chiodini I, Zampogna M, Ghielmetti A, Morlacchi LC, Rossetti V, Rosso L, Righi I, et al. Bone Disease in Long-Term Lung Transplant Survivors. Life. 2023; 13(4):928. https://doi.org/10.3390/life13040928
Chicago/Turabian StyleGrassi, Giorgia, Elisa Cairoli, Lucrezia Maria Silvana Gentile, Iacopo Chiodini, Marta Zampogna, Alberto Ghielmetti, Letizia Corinna Morlacchi, Valeria Rossetti, Lorenzo Rosso, Ilaria Righi, and et al. 2023. "Bone Disease in Long-Term Lung Transplant Survivors" Life 13, no. 4: 928. https://doi.org/10.3390/life13040928
APA StyleGrassi, G., Cairoli, E., Gentile, L. M. S., Chiodini, I., Zampogna, M., Ghielmetti, A., Morlacchi, L. C., Rossetti, V., Rosso, L., Righi, I., Nosotti, M., Arosio, M., Blasi, F., & Eller Vainicher, C. (2023). Bone Disease in Long-Term Lung Transplant Survivors. Life, 13(4), 928. https://doi.org/10.3390/life13040928

