Storage Quality Variation of Mushrooms (Flammulina velutipes) after Cold Plasma Treatment
Abstract
1. Introduction
2. Materials and Methods
2.1. Sample Source and Pre-Treatment
2.2. Cold Plasma Treatment Conditions Optimization
2.2.1. Single-Factor Experiment
2.2.2. Response Surface Method Optimization
2.3. Sample Preparation, Treatment, and Storage
2.4. Appearance Evaluation and Microbial Colony Assay of Mushrooms
2.4.1. Appearance Evaluation
2.4.2. Microbial Colony Assay of Mushrooms
2.5. Physico-Chemical Analysis
2.5.1. Weight Loss, Cap Opening Rate, and Elongation of the Mushroom Stem
2.5.2. Total Phenolic Content, Soluble Solids Content, and Vitamin C
2.5.3. Malondialdehyde Content and Browning Degree
2.5.4. Antioxidant Enzyme Activity
2.5.5. Free Radical Scavenging Ability
2.6. Transmission Electron Microscope (TEM) Observation
2.7. Statistical Analyses
3. Results
3.1. Physical Structure Evaluation
3.2. The Total Number of Colonies
3.3. Weight Loss, Cap Opening Rate, and Elongation of the Mushroom Stem
3.4. Soluble Solid Content and Vitamin C
3.5. Total Phenolic Content, MDA Content, PPO Enzyme Activity, and Degree of Browning
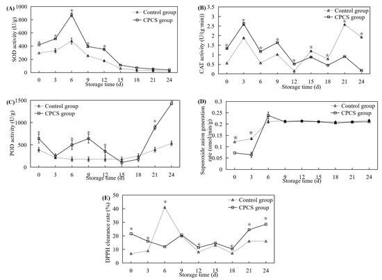
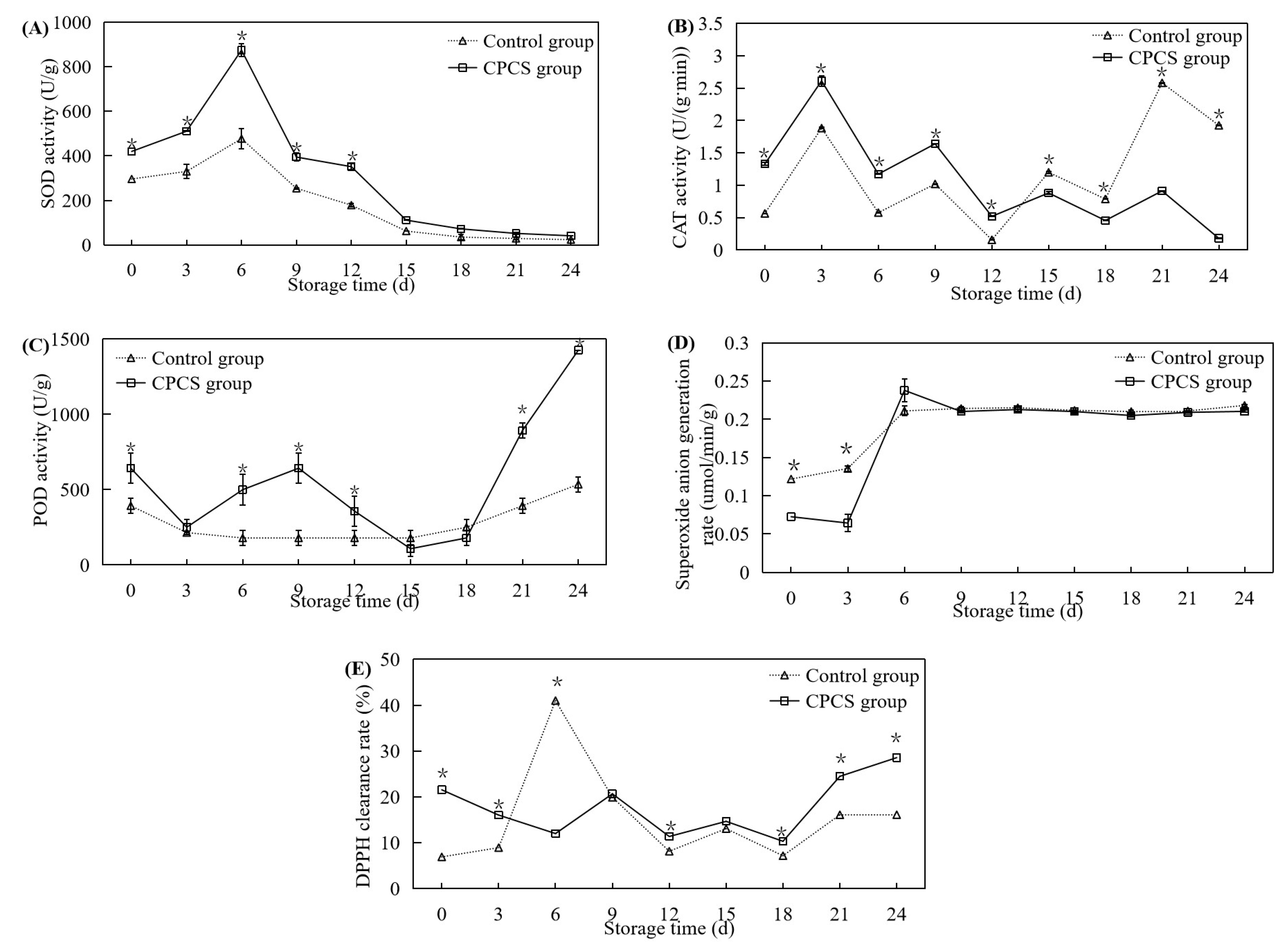
3.6. Antioxidant Enzyme Activity and Free Radical Scavenging Ability
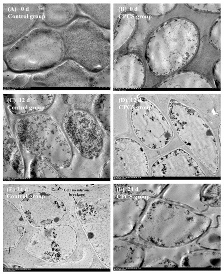
3.7. TEM Observation
4. Discussion
5. Conclusions
Supplementary Materials
Author Contributions
Funding
Institutional Review Board Statement
Informed Consent Statement
Data Availability Statement
Acknowledgments
Conflicts of Interest
References
- Wang, P.M.; Liu, X.B.; Dai, Y.C.; Egon, H.; Kari, S.; Yang, Z.L. Phylogeny and species delimitation of Flammulina: Taxonomic status of winter mushroom in East Asia and a new European species identified using an integrated approach. Mycol. Prog. 2018, 17, 1013–1030. [Google Scholar] [CrossRef]
- Fang, D.L.; Wang, H.T.; Deng, Z.L.; Benard, M.K.; Pei, F.; Hu, Q.H.; Ma, N. Nanocomposite packaging regulates energy metabolism of mushrooms (Flammulina filiformis) during cold storage: A study on mitochondrial proteomics. Postharvest Biol. Technol. 2022, 193, 112046. [Google Scholar] [CrossRef]
- Wang, C.T.; Wang, C.T.; Cao, Y.P.; Nout, M.J.R.; Sun, B.G.; Liu, L. Effect of modified atmosphere packaging (MAP) with low and super atmospheric oxygen on the quality and antioxidant enzyme system of golden needle mushrooms (Flammulina velutipes) during postharvest storage. Eur. Food Res. Technol. 2011, 232, 851–860. [Google Scholar] [CrossRef]
- Xia, R.R.; Wang, L.; Xin, G.; Bao, X.J.; Sun, L.B.; Xu, H.R.; Hou, Z.S. Preharvest and postharvest applications of 1-MCP affect umami taste and aroma profiles of mushrooms (Flammulina velutipes). LWT-Food Sci. Technol. 2021, 144, 111176. [Google Scholar] [CrossRef]
- Fang, D.L.; Yang, W.J.; Kimatu, B.M.; Mariga, A.M.; Zhao, L.Y.; An, X.X.; Hu, Q.H. Effect of nanocomposite-based packaging on storage stability of mushrooms (Flammulina velutipes). Innovative Food Sci. Emerging Technol. 2016, 33, 489–497. [Google Scholar] [CrossRef]
- Xu, L.N.; Cao, W.H.; Li, R.; Zhang, H.J.; Xia, N.; Li, T.; Liu, X.X.; Zhao, X.T. Properties of soy protein isolate/nano-silica films and their applications in the preservation of Flammulina velutipes. J. Food Process. Preserv. 2019, 43, e14177. [Google Scholar] [CrossRef]
- PraveenK, M.; Pious, C.V.; Sabu, T.; Yves, G. Relevance of plasma processing on polymeric materials and interfaces. In Non-Thermal Plasma Technology for Polymeric Materials: Applications in Composites, Nanostructured Materials, and Biomedical Fields; Thomas, S., Mozetič, M., Cvelbar, U., Špatenka, P., Praveen, K.M., Eds.; Elsevier: Amsterdam, The Netherlands, 2019; pp. 1–21. [Google Scholar] [CrossRef]
- Dimitrakellis, P.; Gogolides, E. Atmospheric plasma etching of polymers: A palette of applications in cleaning/ashing, pattern formation, nanotexturing and superhydrophobic surface fabrication. Microelectron 2018, 194, 109–115. [Google Scholar] [CrossRef]
- Domonkos, M.; Ticha, P.; Trejbal, J.; Demo, P. Applications of cold atmospheric pressure plasma technology in medicine, agriculture and food industry. Appl. Sci. 2021, 11, 4809. [Google Scholar] [CrossRef]
- Thirumdas, R.; Sarangapani, C.; Annapure, U.S. Cold plasma: A novel non-thermal technology for food processing. Food Biophysics 2015, 10, 1–11. [Google Scholar] [CrossRef]
- Pankaj, S.K.; Bueno-Ferrer, C.; Misra, N.N.; Milosavljevic, V.; O’Donnell, C.P.; Bourke, P.; Keener, K.M.; Cullen, P.J. Applications of cold plasma technology in food packaging. Trends Food Sci. Technol. 2014, 31, 5–17. [Google Scholar] [CrossRef]
- Ali, M.; Cheng, J.H.; Sun, D.W. Effect of plasma activated water and buffer solution on fungicide degradation from tomato (Solanum lycopersicum) fruit. Food Chem. 2021, 350, 129195–129205. [Google Scholar] [CrossRef] [PubMed]
- Butscher, D.; Van Loon, H.; Waskow, A.; von Rohr, P.R.; Schuppler, M. Plasma inactivation of microorganisms on sprout seeds in a dielectric barrier discharge. Int. J. Food Microbiol. 2016, 238, 222–232. [Google Scholar] [CrossRef] [PubMed]
- Sadhu, S.; Thirumdas, R.; Deshmukh, R.R.; Annapure, U.S. Influence of cold plasma on the enzymatic activity in germinating mung beans (Vigna radiate). LWT-Food Sci. Technol. 2017, 78, 97–104. [Google Scholar] [CrossRef]
- Lacombe, A.; Niemira, B.A.; Gurtler, J.B.; Fan, X.T.; Sites, J.; Boyd, G.; Chen, H.Q. Atmospheric cold plasma inactivation of aerobic microorganisms on blueberries and effects on quality attributes. Food Microbiol. 2015, 46, 479–484. [Google Scholar] [CrossRef] [PubMed]
- Lee, T.; Puligundla, P.; Mok, C. Intermittent corona discharge plasma jet for improving tomato quality. J. Food Eng. 2018, 223, 168–174. [Google Scholar] [CrossRef]
- Fang, D.L.; Wang, C.F.; Deng, Z.L.; Ma, N.; Hu, Q.H.; Zhao, L.Y. Microflora and umami alterations of different packaging material preserved mushroom (Flammulina filiformis) during cold storage. Food Res. Int. 2021, 147, 110481. [Google Scholar] [CrossRef]
- Fang, D.L.; Zheng, Z.M.; Ma, N.; Yang, W.J.; Dai, C.; Zhao, M.W.; Deng, Z.L.; Hu, Q.H.; Zhao, L.Y. Label-free proteomic quantification of packaged Flammulina filiformis during commercial storage. Postharvest Biol. Technol. 2020, 169, 111312. [Google Scholar] [CrossRef]
- Bristy, A.T.; Islam, T.; Ahmed, R.; Hossain, J.; Reza, H.M.; Jain, P. Evaluation of total phenolic content, HPLC analysis, and antioxidant potential of three local varieties of mushroom: A comparative study. Int J Food Sci. 2022, 2022, 3834936. [Google Scholar] [CrossRef]
- Zhao, M.; Zhang, Z.; Cai, H.; Wang, L.; Hu, C.; Li, D.; Chen, Y.; Kang, Y.; Li, L. Controlled moisture permeability of thermoplastic starch/polylactic acid/poly butylene adipate-co-terephthalate film for the autolysis of straw mushroom Volvariella volvacea. Food Chem. 2022, 373, 131409. [Google Scholar] [CrossRef]
- Ghosh, S.; Nandi, S.; Banerjee, A.; Sarkar, S.; Chakraborty, N.; Acharya, K. Prospecting medicinal properties of Lion’s mane mushroom. J. Food Biochem. 2021, 45, e13833. [Google Scholar] [CrossRef]
- Li, P.; Zhang, X.; Hu, H.; Sun, Y.; Wang, Y.; Zhao, Y. High carbon dioxide and low oxygen storage effects on reactive oxygen species metabolism in Pleurotus eryngii. Postharvest. Biol. Technol. 2013, 85, 141–146. [Google Scholar] [CrossRef]
- Wang, X.M.; Zhang, J.; Wu, L.H.; Zhao, Y.L.; Li, T.; Li, J.Q.; Wang, Y.Z.; Liu, H.G. A mini-review of chemical composition and nutritional value of edible wild-grown mushroom from China. Food Chem. 2014, 151, 279–285. [Google Scholar] [CrossRef]
- Yang, W.S.; Stockwell, B.R. Ferroptosis: Death by lipid peroxidation. Trends Cell Biol. 2016, 26, 165–176. [Google Scholar] [CrossRef]
- Chris, B.; Wim, V.C.; Marc, V.M.; Dirk, I.; Professor, K.A. Superoxide dismutase in plants. Crit. Rev. Plant Sci. 1994, 13, 199–218. [Google Scholar] [CrossRef]
- del Rio, L.A.; Pastori, G.M.; Palma, J.M.; Sandalio, L.M.; Sevilla, F.; Corpas, F.J.; Jimenez, A.; Lopez-Huertas, E.; Hernandez, J.A. The activated oxygen role of peroxisomes in senescence. Plant Physiol. 1998, 116, 1195–1200. [Google Scholar] [CrossRef]
- Nguyen, P.M. Corona discharge power of plasma treatment influence on the physicochemical and microbial quality of enoki mushroom (Flammulina velutipes). J. Pure Appl. Microbiol. 2022, 16, 182–192. [Google Scholar] [CrossRef]
- Bermudez-Aguirre, D.; Wemlinger, E.; Pedrow, P.; Barbosa-Canovas, G.; Garcia-Perez, M. Effect of atmospheric pressure cold plasma (APCP) on the inactivation of Escherichia coli in fresh produce. Food Control 2013, 34, 149–157. [Google Scholar] [CrossRef]
- Jiang, T. Effect of alginate coating on physicochemical and sensory qualities of button mushrooms (Agaricus bisporus) under a high oxygen modified atmosphere. Postharvest Biol. Technol. 2013, 76, 91–97. [Google Scholar] [CrossRef]
- He, F.; Liang, N.N.; Mu, L.; Pan, Q.H.; Wang, J.; Reeves, M.J.; Duan, C.Q. Anthocyanins and their variation in red wines I. Monomeric anthocyanins and their color expression. Molecules 2012, 17, 1571–1601. [Google Scholar] [CrossRef]
- Niedzwiedz, I.; Plotka-Wasylka, J.; Kapusta, I.; Simeonov, V.; Stoj, A.; Wasko, A.; Pawlat, J.; Polak-Berecka, M. The impact of cold plasma on the phenolic composition and biogenic amine content of red wine. Food Chem. 2022, 381, 132257. [Google Scholar] [CrossRef]
- Pan, Y.W.; Cheng, J.H.; Sun, D.W. Inhibition of fruit softening by cold plasma treatments: Affecting factors and applications. Crit. Rev. Food Sci. Nutr. 2020, 61, 1935–1946. [Google Scholar] [CrossRef] [PubMed]
- Wu, X.R.; Zhao, W.Q.; Zeng, X.Y.; Zhang, Q.A.; Gao, G.T.; Song, S.J. Effects of cold plasma treatment on cherry quality during storage. Food Sci. Technol. Int. 2020, 27, 441–455. [Google Scholar] [CrossRef] [PubMed]
- Hodges, D.M.; Lester, G.E.; Munro, K.D.; Toivonen, P.M. Oxidative stress: Importance for postharvest quality. Hortscience 2004, 39, 924–929. [Google Scholar] [CrossRef]








| Storage Time (d) | |||||||||
|---|---|---|---|---|---|---|---|---|---|
| 0 | 3 | 6 | 9 | 12 | 15 | 18 | 21 | 24 | |
| Control group (×107 CFU/g) | 0.035 ± 0.003 f | 0.189 ± 0.049 e | 0.192 ± 0.015 e | 0.475 ± 0.021 d | 0.720 ± 0.098 d | 4.245 ± 0.304 c | 4.650 ± 0.304 c | 8.150 ± 0.636 b | 11.000 ± 1.414 a |
| CPCS group (×105 CFU/g) | 0.004 ± 0.002 e | 0.009 ± 0.004 e | 0.013 ± 0.010 e | 0.122 ± 0.009 d | 0.172 ± 0.008 c | 0.866 ± 0.024 b | 1.040 ± 1.130 a,b | 1.900 ± 1.830 a | 3.950 ± 1.950 a |
| Sterilization rate (%) | 99.88 b | 99.95 a | 99.93 a | 99.74 c | 99.76 c | 99.79 c | 99.78 c | 99.77 c | 99.64 d |
Disclaimer/Publisher’s Note: The statements, opinions and data contained in all publications are solely those of the individual author(s) and contributor(s) and not of MDPI and/or the editor(s). MDPI and/or the editor(s) disclaim responsibility for any injury to people or property resulting from any ideas, methods, instructions or products referred to in the content. |
© 2022 by the authors. Licensee MDPI, Basel, Switzerland. This article is an open access article distributed under the terms and conditions of the Creative Commons Attribution (CC BY) license (https://creativecommons.org/licenses/by/4.0/).
Share and Cite
Ding, Y.; Mo, W.; Deng, Z.; Kimatu, B.M.; Gao, J.; Fang, D. Storage Quality Variation of Mushrooms (Flammulina velutipes) after Cold Plasma Treatment. Life 2023, 13, 70. https://doi.org/10.3390/life13010070
Ding Y, Mo W, Deng Z, Kimatu BM, Gao J, Fang D. Storage Quality Variation of Mushrooms (Flammulina velutipes) after Cold Plasma Treatment. Life. 2023; 13(1):70. https://doi.org/10.3390/life13010070
Chicago/Turabian StyleDing, Yuxuan, Weixian Mo, Zilong Deng, Benard Muinde Kimatu, Juan Gao, and Donglu Fang. 2023. "Storage Quality Variation of Mushrooms (Flammulina velutipes) after Cold Plasma Treatment" Life 13, no. 1: 70. https://doi.org/10.3390/life13010070
APA StyleDing, Y., Mo, W., Deng, Z., Kimatu, B. M., Gao, J., & Fang, D. (2023). Storage Quality Variation of Mushrooms (Flammulina velutipes) after Cold Plasma Treatment. Life, 13(1), 70. https://doi.org/10.3390/life13010070
