Thermally Induced Transitions of d(G4T4G3) Quadruplexes Can Be Described as Kinetically Driven Processes
Abstract
:1. Introduction
2. Materials and Methods
2.1. Sample Preparation and UV Spectroscopy
2.2. CD Spectroscopy Melting Experiments
2.3. Gel Electrophoresis
2.4. Differential Scanning Calorimetry (DSC)
2.5. Model Analysis of Structural Transitions
3. Results and Discussion
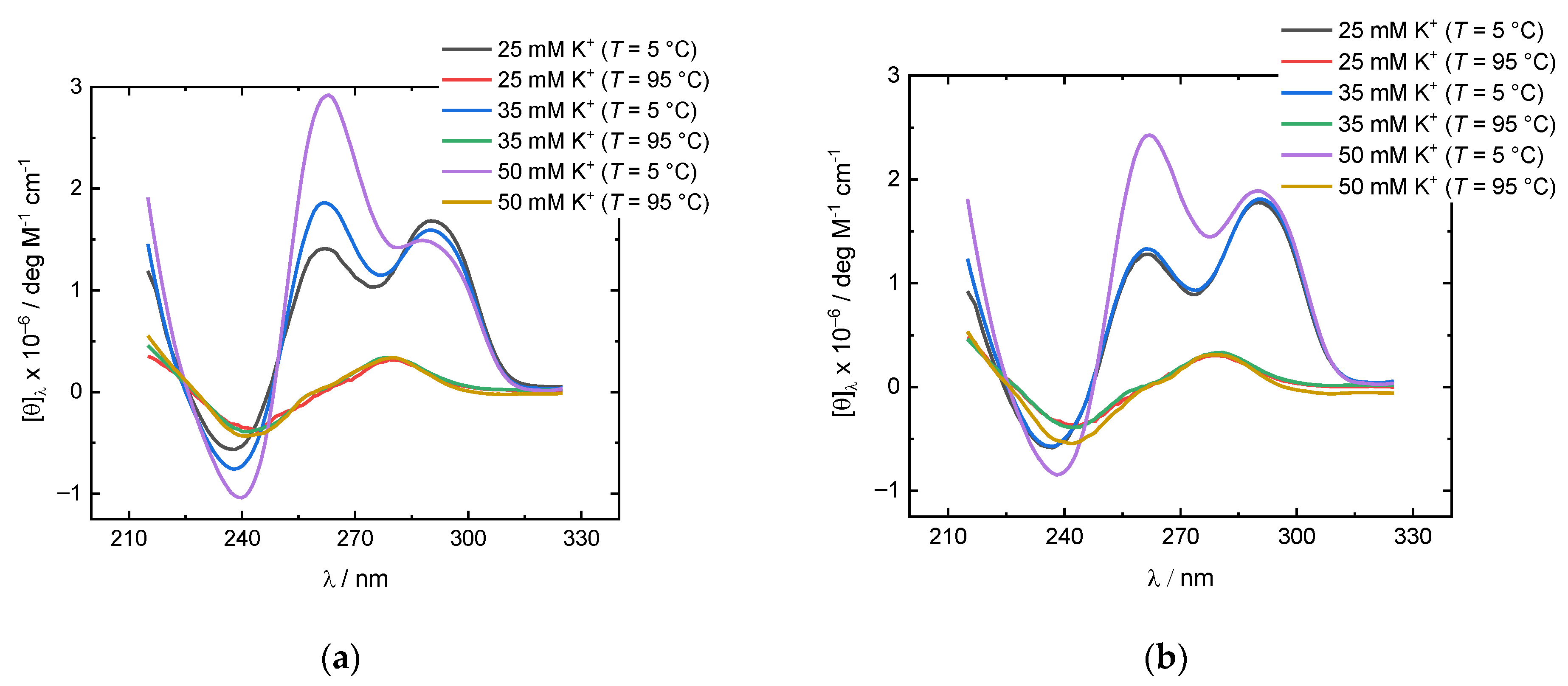
3.1. Observing Polymorphism of d(G4T4G3) Quadruplexes in K+ Solution
3.2. Thermally Induced Structural Transitions and Model Analysis
4. Conclusions
Supplementary Materials
Author Contributions
Funding
Institutional Review Board Statement
Informed Consent Statement
Data Availability Statement
Acknowledgments
Conflicts of Interest
References
- Bruylants, G.; Wouters, J.; Michaux, C. Differential Scanning Calorimetry in Life Science: Thermodynamics, Stability, Molecular Recognition and Application in Drug Design. Curr. Med. Chem. 2005, 12, 2011–2020. [Google Scholar] [CrossRef] [PubMed] [Green Version]
- Ouldridge, T.E. The Importance of Thermodynamics for Molecular Systems, and the Importance of Molecular Systems for Thermodynamics. Nat. Comput. 2018, 17, 3–29. [Google Scholar] [CrossRef] [PubMed] [Green Version]
- Rhodes, D.; Lipps, H.J. Survey and Summary G-Quadruplexes and Their Regulatory Roles in Biology. Nucleic Acids Res. 2015, 43, 8627–8637. [Google Scholar] [CrossRef] [PubMed] [Green Version]
- Abiri, A.; Lavigne, M.; Rezaei, M.; Nikzad, S.; Zare, P.; Mergny, J.L.; Rahimi, H.R. Unlocking G-Quadruplexes as Antiviral Targets. Pharmacol. Rev. 2021, 73, 897–923. [Google Scholar] [CrossRef]
- Sasisekharan, V.; Zimmerman, S.; Davies, D.R. The Structure of Helical 5′-Guanosine Monophosphate. J. Mol. Biol. 1975, 92, 171–179. [Google Scholar] [CrossRef]
- Gellert, M.; Lipsett, M.N.; Davies, D.R. Helix Formation BY Guanylic Acid. Proc. Natl. Acad. Sci. USA 1962, 48, 2013–2018. [Google Scholar] [CrossRef] [Green Version]
- Largy, E.; Mergny, J.L.; Gabelica, V. Role of Alkali Metal Ions in G-Quadruplex Nucleic Acid Structure and Stability. In Metal Ions in Life Sciences; Springer: Berlin/Heidelberg, Germany, 2016; Volume 16, pp. 203–258. [Google Scholar]
- Kettani, A.; Gorin, A.; Majumdar, A.; Hermann, T.; Skripkin, E.; Zhao, H.; Jones, R.; Patel, D.J. A Dimeric DNA Interface Stabilized by Stacked A·(G·G·G·G)·A Hexads and Coordinated Monovalent Cations. J. Mol. Biol. 2000, 297, 627–644. [Google Scholar] [CrossRef] [Green Version]
- Strahan, G.D.; Keniry, M.A.; Shafer, R.H. NMR Structure Refinement and Dynamics of the K+-[d(G3T4G3)]2 Quadruplex via Particle Mesh Ewald Molecular Dynamics Simulations. Biophys. J. 1998, 75, 968–981. [Google Scholar] [CrossRef] [Green Version]
- Grün, J.T.; Schwalbe, H. Folding Dynamics of Polymorphic G-Quadruplex Structures. Biopolymers 2022, 113, e23477. [Google Scholar] [CrossRef]
- Bončina, M.; Lah, J.; Prislan, I.; Vesnaver, G. Energetic Basis of Human Telomeric DNA Folding into G-Quadruplex Structures. J. Am. Chem. Soc. 2012, 134, 9657–9663. [Google Scholar] [CrossRef]
- Čeru, S.; Šket, P.; Prislan, I.; Lah, J.; Plavec, J. A New Pathway of DNA G-Quadruplex Formation. Angew. Chem. 2014, 126, 4981–4984. [Google Scholar] [CrossRef]
- Marquevielle, J.; Robert, C.; Lagrabette, O.; Wahid, M.; Bourdoncle, A.; Xodo, L.E.; Mergny, J.L.; Salgado, G.F. Structure of Two G-Quadruplexes in Equilibrium in the KRAS Promoter. Nucleic Acids Res. 2020, 48, 9336–9345. [Google Scholar] [CrossRef] [PubMed]
- Greco, M.L.; Kotar, A.; Rigo, R.; Cristofari, C.; Plavec, J.; Sissi, C. Coexistence of Two Main Folded G-Quadruplexes within a Single G-Rich Domain in the EGFRpromoter. Nucleic Acids Res. 2017, 45, 10132–10142. [Google Scholar] [CrossRef] [PubMed] [Green Version]
- Lim, K.W.; Lacroix, L.; Yue, D.J.E.; Lim, J.K.C.; Lim, J.M.W.; Phan, A.T. Coexistence of Two Distinct G-Quadruplex Conformations in the HTERT Promoter. J. Am. Chem. Soc. 2010, 132, 12331–12342. [Google Scholar] [CrossRef]
- Bhattacharyya, D.; Arachchilage, G.M.; Basu, S. Metal Cations in G-Quadruplex Folding and Stability. Front. Chem. 2016, 4, 38. [Google Scholar] [CrossRef] [Green Version]
- Gray, R.D.; Trent, J.O.; Chaires, J.B. Folding and Unfolding Pathways of the Human Telomeric G-Quadruplex. J. Mol. Biol. 2014, 426, 1629–1650. [Google Scholar] [CrossRef] [Green Version]
- Marchand, A.; Gabelica, V. Folding and Misfolding Pathways of G-Quadruplex DNA. Nucleic Acids Res. 2016, 44, 10999–11012. [Google Scholar] [CrossRef]
- Stadlbauer, P.; Kührová, P.; Banáš, P.; Koča, J.; Bussi, G.; Trantírek, L.; Otyepka, M.; Šponer, J. Hairpins Participating in Folding of Human Telomeric Sequence Quadruplexes Studied by Standard and T-REMD Simulations. Nucleic Acids Res. 2015, 43, 9626–9644. [Google Scholar] [CrossRef] [Green Version]
- Miller, M.C.; Le, H.T.; Dean, W.L.; Holt, P.A.; Chaires, J.B.; Trent, J.O. Polymorphism and Resolution of Oncogene Promoter Quadruplex-Forming Sequences. Org. Biomol. Chem. 2011, 9, 7633–7637. [Google Scholar] [CrossRef] [Green Version]
- Grün, J.T.; Blümler, A.; Burkhart, I.; Wirmer-Bartoschek, J.; Heckel, A.; Schwalbe, H. Unraveling the Kinetics of Spare-Tire DNA G-Quadruplex Folding. J. Am. Chem. Soc. 2021, 143, 6185–6193. [Google Scholar] [CrossRef]
- Zhang, A.Y.Q.; Balasubramanian, S. The Kinetics and Folding Pathways of Intramolecular G-Quadruplex Nucleic Acids. J. Am. Chem. Soc. 2012, 134, 19297–19308. [Google Scholar] [CrossRef] [PubMed]
- Nguyen, T.Q.N.; Lim, K.W.; Phan, A.T. Folding Kinetics of G-Quadruplexes: Duplex Stem Loops Drive and Accelerate G-Quadruplex Folding. J. Phys. Chem. B 2020, 124, 5122–5130. [Google Scholar] [CrossRef] [PubMed]
- Prislan, I.; Lah, J.; Milanic, M.; Vesnaver, G. Kinetically Governed Polymorphism of d(G4T4G 3) Quadruplexes in K+ Solutions. Nucleic Acids Res. 2011, 39, 1933–1942. [Google Scholar] [CrossRef] [PubMed] [Green Version]
- Prislan, I.; Lah, J.; Vesnaver, G. Diverse Polymorphism of G-Quadruplexes as a Kinetic Phenomenon. J. Am. Chem. Soc. 2008, 130, 14161–14169. [Google Scholar] [CrossRef]
- Dalgleish, D. Biophysical Chemistry: Part III ’The Behaviour of Biological Macromolecules. Biochem. Educ. 1981, 9, 157. [Google Scholar] [CrossRef]
- Seiler, M.C.; Seiler, F.A. Numerical Recipes in C: The Art of Scientific Computing. Risk Anal. 1989, 9, 415–416. [Google Scholar] [CrossRef]
- Rujan, I.N.; Meleney, J.C.; Bolton, P.H. Vertebrate Telomere Repeat DNAs Favor External Loop Propeller Quadruplex Structures in the Presence of High Concentrations of Potassium. Nucleic Acids Res. 2005, 33, 2022–2031. [Google Scholar] [CrossRef] [Green Version]
- Kypr, J.; Kejnovská, I.; Renčiuk, D.; Vorlíčková, M. Circular Dichroism and Conformational Polymorphism of DNA. Nucleic Acids Res. 2009, 37, 1713–1725. [Google Scholar] [CrossRef] [Green Version]
- Chang, C.C.; Chien, C.W.; Lin, Y.H.; Kang, C.C.; Chang, T.C. Investigation of Spectral Conversion of d(TTAGGG)4 and d(TTAGGG)13 upon Potassium Titration by a G-Quadruplex Recognizer BMVC Molecule. Nucleic Acids Res. 2007, 35, 2846–2860. [Google Scholar] [CrossRef] [Green Version]
- Luu, K.N.; Phan, A.T.; Kuryavyi, V.; Lacroix, L.; Patel, D.J. Structure of the Human Telomere in K+ Solution: An Intramolecular (3 + 1) G-Quadruplex Scaffold. J. Am. Chem. Soc. 2006, 128, 9963–9970. [Google Scholar] [CrossRef] [Green Version]
- Sun, X.; Cao, E.; He, Y.; Qin, J. Fluorescence Studies on the Interaction of Ethidium Bromide with Duplex, Triplex and Quadruplex DNA Structures. Sci. China Ser. B Chem. 1999, 42, 62–69. [Google Scholar] [CrossRef]
- Petraccone, L.; Pagano, B.; Esposito, V.; Randazzo, A.; Piccialli, G.; Barone, G.; Mattia, C.A.; Giancola, C. Thermodynamics and Kinetics of PNA-DNA Quadruplex-Forming Chimeras. J. Am. Chem. Soc. 2005, 127, 16215–16223. [Google Scholar] [CrossRef] [PubMed]
- Ren, J.; Qu, X.; Trent, J.O.; Chaires, J.B. Tiny Telomere DNA. Nucleic Acids Res. 2002, 30, 2307–2315. [Google Scholar] [CrossRef] [PubMed] [Green Version]
- Jin, R.; Gaffney, B.L.; Wang, C.; Jones, R.A.; Breslauer, K.J. Thermodynamics and Structure of a DNA Tetraplex: A Spectroscopic and Calorimetric Study of the Tetramolecular Complexes of d(TG3T) and d(TG3T2G3T). Proc. Natl. Acad. Sci. USA 1992, 89, 8832–8836. [Google Scholar] [CrossRef] [Green Version]
- Carrino, S.; Hennecker, C.D.; Murrieta, A.C.; Mittermaier, A. Frustrated Folding of Guanine Quadruplexes in Telomeric DNA. Nucleic Acids Res. 2021, 49, 3063–3076. [Google Scholar] [CrossRef]
- Long, X.; Stone, M.D. Kinetic Partitioning Modulates Human Telomere DNA G-Quadruplex Structural Polymorphism. PLoS ONE 2013, 8, e83420. [Google Scholar] [CrossRef] [Green Version]
- Müller, D.; Bessi, I.; Richter, C.; Schwalbe, H. The Folding Landscapes of Human Telomeric RNA and DNA G-Quadruplexes Are Markedly Different. Angew. Chem. Int. Ed. 2021, 60, 10895–10901. [Google Scholar] [CrossRef]
- Bardin, C.; Leroy, J.L. The Formation Pathway of Tetramolecular G-Quadruplexes. Nucleic Acids Res. 2008, 36, 477–488. [Google Scholar] [CrossRef] [Green Version]







| Parameter | CK+ = 25 mM | CK+ = 35 mM | CK+ = 50 mM |
|---|---|---|---|
| A′BS | 74 ± 5 | 79 ± 5 | 81 ± 5 |
| A′SB | 19 ± 3 | 19 ± 3 | 19 ± 3 |
| A′AS | 49 ± 2 | 49 ± 2 | 49 ± 2 |
| A′TS | 100 ± 10 | 100 ± 10 | 100 ± 10 |
| A′CS | 54 ± 2 | 53 ± 2 | 50 ± 2 |
| A′BA | 15.5 ± 0.8 | 15.0 ± 0.8 | 14.9 ± 0.8 |
| A′AB | 7.2 ± 0.4 | 7.2 ± 0.4 | 7.2 ± 0.4 |
| A′BT | 66 ± 4 | 66 ± 4 | 66 ± 4 |
| A′BC | 24 ± 2 | 25 ± 2 | 30 ± 2 |
| EBS | (3.9 ± 0.2) × 104 | (4.1 ± 0.2) × 104 | (4.0 ± 0.2) × 104 |
| EAS | (3.2 ± 0.1) × 104 | (3.2 ± 0.1) × 104 | (3.2 ± 0.1) × 104 |
| ETS | (6.0 ± 0.2) × 104 | (6.0 ± 0.2) × 104 | (6.0 ± 0.2) × 104 |
| ECS | (3.7 ± 0.1) × 104 | (3.6 ± 0.1) × 104 | (3.7 ± 0.1) × 104 |
| EBA | (7.0 ± 0.5) × 103 | (7.0 ± 0.5) × 103 | (7.0 ± 0.5) × 103 |
| EBT | (3.2 ± 0.1) × 104 | (3.2 ± 0.1) × 104 | (3.2 ± 0.1) × 104 |
| EBC | (1.5 ± 0.1) × 104 | (1.4 ± 0.1) × 104 | (1.7 ± 0.1) × 104 |
Publisher’s Note: MDPI stays neutral with regard to jurisdictional claims in published maps and institutional affiliations. |
© 2022 by the authors. Licensee MDPI, Basel, Switzerland. This article is an open access article distributed under the terms and conditions of the Creative Commons Attribution (CC BY) license (https://creativecommons.org/licenses/by/4.0/).
Share and Cite
Prislan, I.; Urbic, T.; Poklar Ulrih, N. Thermally Induced Transitions of d(G4T4G3) Quadruplexes Can Be Described as Kinetically Driven Processes. Life 2022, 12, 825. https://doi.org/10.3390/life12060825
Prislan I, Urbic T, Poklar Ulrih N. Thermally Induced Transitions of d(G4T4G3) Quadruplexes Can Be Described as Kinetically Driven Processes. Life. 2022; 12(6):825. https://doi.org/10.3390/life12060825
Chicago/Turabian StylePrislan, Iztok, Tomaz Urbic, and Natasa Poklar Ulrih. 2022. "Thermally Induced Transitions of d(G4T4G3) Quadruplexes Can Be Described as Kinetically Driven Processes" Life 12, no. 6: 825. https://doi.org/10.3390/life12060825
APA StylePrislan, I., Urbic, T., & Poklar Ulrih, N. (2022). Thermally Induced Transitions of d(G4T4G3) Quadruplexes Can Be Described as Kinetically Driven Processes. Life, 12(6), 825. https://doi.org/10.3390/life12060825

